Road Performance and Emission Reduction Effect of Graphene/Tourmaline-Composite-Modified Asphalt
Abstract
:1. Introduction
2. Materials and Experimental
2.1. Materials
2.2. Preparation Method and Scheme of Modified Asphalt
- The graphene/tourmaline composites were prepared by ball milling [16]. Absolute ethanol was used as the ball milling medium and poured into the beaker. The beaker was placed in the ultrasonic dispersion instrument. Then, graphene was slowly added into the beaker and stirred with a glass rod until the graphene was evenly dispersed in absolute ethanol. Tourmaline powder was slowly added into beaker to form graphene-tourmaline-absolute ethanol suspension. Then, the suspension was poured into the container of the ball mill. After rinsing the beaker with some absolute ethanol, the rinsing liquid was poured into the container. Next, the ball mill was started. The conditions were as follows: ball milling speed was 200 rpm and ball milling time was 2 h. After completion, the composite was dried, dispersed and stored for use.
- A certain mass of dehydrated AH-70# asphalt was weighed and heated. According to the mass of asphalt and the content of graphene/tourmaline composite powder, the dried graphene/tourmaline composite powder and titanate coupling agent TC-131 (1.0 wt% of asphalt) were weighed and mixed evenly. When the asphalt had a certain fluidity, the composite powder material was poured into asphalt and stirred manually for 5 min.
- After the asphalt was heated to the specified temperature, the high-speed shear disperser was started. First, the asphalt was sheared and dispersed at 1000 rpm for 10 min. Then, the speed was adjusted to the specified shear speed and the asphalt was sheared and dispersed for a specified time. The temperature must be accurately controlled in the process of asphalt modification.
- The prepared graphene/tourmaline-composite-modified asphalt was manually stirred for 10 min to remove the bubbles in the modified asphalt, and then stored for use.
2.3. Basic Performance Test Method
- Penetration
- Softening point
- Ductility
- DSR test
- RTFOT
2.4. Emission Reduction Effect Test Method
- Test method of asphalt fume reduction in asphalt heating process
- Test method of emission reduction in asphalt heating process
- The required aggregates and asphalt were prepared according to the preparation method of asphalt mixture specimen.
- The heated aggregates were poured into the asphalt mixer, and then the required weight of asphalt was poured in. Next, the pollutant emission test device was connected, and the mixer was started. At the same time, the air inlet valve of the test device was opened to collect the pollutants emitted from the asphalt mixture mixing process. After 90 s of mixing, the mixer and the air inlet valve were closed.
- The weighed mineral powder (including graphene/tourmaline composite) was added into the asphalt mixer, and then the mixer was started again. The air inlet valve of the device was opened to collect pollutants again. After 90 s of mixing, different gas detectors were used to detect the pollutant concentrations at the gas detection port of the device. The average of three valid test results was reported.
2.5. Microscopic Characterization Method
- Scanning electron microscopy (SEM)
- Differential scanning calorimeter (DSC)
3. Results and Discussion
3.1. Optimization of Modified Asphalt Preparation Process Parameters
3.2. Micromorphology and Modifier Dispersion of Modified Asphalt
3.3. Basic Performance
3.3.1. Temperature Susceptibility Performance
3.3.2. High Temperature Performance
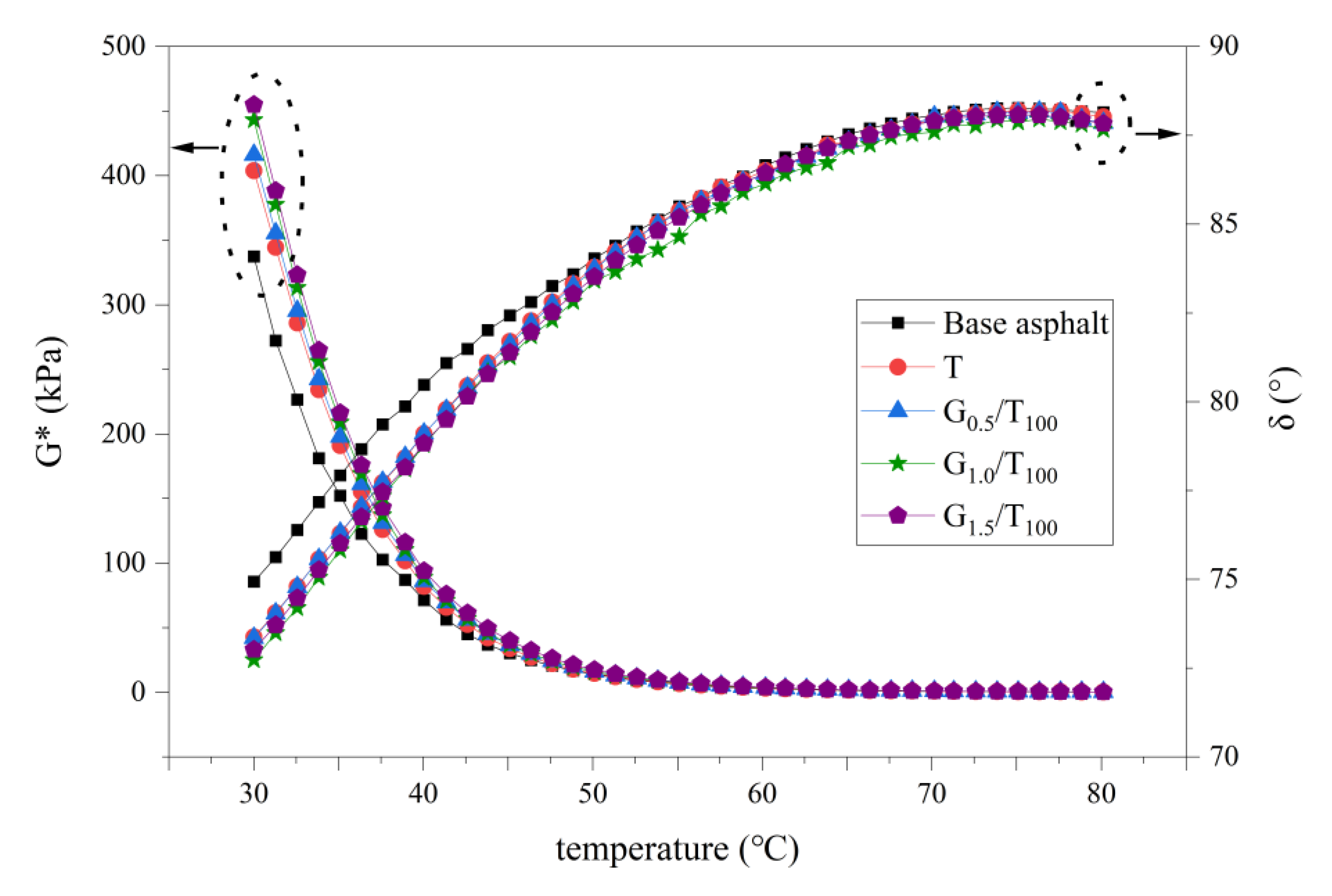
3.3.3. Rheological Performance
3.3.4. Anti-Aging Performance
3.4. The Emission Reduction Effect of Hot Mixing
3.4.1. Analysis of Asphalt Fume Emission Reduction Effect
3.4.2. Analysis of NOX and COX Emission Reduction Effect
3.5. Analysis of Modification Mechanism
4. Conclusions
- The basic properties of graphene/tourmaline-composite-modified asphalt are better than those of tourmaline-modified asphalt and base asphalt, and the improvement effect is more obvious with the increase of graphene content. Compared with tourmaline-modified asphalt, the temperature susceptibility performance, high temperature stability and anti-aging performance of graphene/tourmaline-composite-modified asphalt increased by 87%, 8% and 58%, respectively.
- Graphene/tourmaline composites do not change the viscoelastic performance of asphalt. It improves the rutting resistance of asphalt. Compared with base asphalt, the rutting factor of composite modified asphalt is increased by 19 to 20%.
- The asphalt fume reduction effect of graphene/tourmaline-composite-modified asphalt is better than that of tourmaline-modified asphalt. With the increase of graphene content, the emission reduction performance is improved. The asphalt fume reduction rate of the composite modified asphalt can reach 83%.
- The emission reduction effect of NOX and COX in the mixing process of graphene/tourmaline-composite-modified asphalt mixture is better than that of tourmaline-modified asphalt mixture, and the emission reduction rates can reach 70% and 80%, respectively.
- Compared with tourmaline-modified asphalt, the glass transition temperature of graphene/tourmaline-composite-modified asphalt decreased, and the heat absorption and heat release were higher. The thermal stability and anti-aging properties are improved.
Author Contributions
Funding
Institutional Review Board Statement
Informed Consent Statement
Data Availability Statement
Conflicts of Interest
References
- Wang, C.; Wang, S.; Gao, Z.; Song, Z. Effect evaluation of road piezoelectric micro-energy collection-storage system based on laboratory and on-site tests. Appl. Energy 2021, 287, 116581. [Google Scholar] [CrossRef]
- Fu, H.; Wang, C.; Yu, G.; Chen, Q.; Liu, L. Design optimization and performance evaluation of the open graded friction course with small particle size aggregate. Adv. Civ. Eng. 2021, 2021, 6668378. [Google Scholar]
- Fu, H.; Wang, C.; Niu, L.; Yang, G.; Liu, L. Composition optimisation and performance evaluation of waterborne epoxy resin emulsified asphalt tack coat binder for pavement. Int. J. Pavement Eng. 2021. [Google Scholar] [CrossRef]
- Chen, Q.; Wang, S.S.; Wang, C.H.; Wang, F.; Fu, H.; Yang, X. Modified waterborne epoxy as a cold pavement binder: Preparation and long-term working properties. J. Mater. Civ. Eng. 2021, 33, 04021079. [Google Scholar] [CrossRef]
- Chen, Q.; Lu, Y.F.; Wang, C.H.; Han, B.; Fu, H. Effect of raw material composition on the working performance of waterborne epoxy resin for road. Int. J. Pavement Eng. 2020. [Google Scholar] [CrossRef]
- Wang, C.H.; Wang, P.; Li, Y.W.; Zhao, Y.Z. Laboratory investigation of dynamic rheological properties of tourmaline modified bitumen. Constr. Build. Mater. 2015, 80, 195–199. [Google Scholar] [CrossRef]
- Vargas, M.A.; Moreno, L.; Montiel, R.; Manero, O.; Vaquez, H. Effects of montmorillonite (Mt) and two different organo-Mt additives on the performance of asphalt. Appl. Clay Sci. 2017, 139, 20–27. [Google Scholar] [CrossRef]
- Siddig, E.A.A.; Feng, C.P.; Ming, L.Y. Effects of ethylene vinyl acetate and nanoclay additions on high-temperature performance of asphalt binders. Constr. Build. Mater. 2018, 169, 276–282. [Google Scholar] [CrossRef]
- Liu, H.B.; Zhang, M.S.; Jiao, Y.B.; Fu, L.X. Preparation parameter analysis and optimization of sustainable asphalt binder modified by waste rubber and diatomite. Adv. Mater. Sci. Eng. 2018, 2018, 1–14. [Google Scholar] [CrossRef] [Green Version]
- Liu, S.; Zhou, S.B.; Xu, Y. Evaluation of cracking properties of SBS-modified binders containing organic montmorillonite. Constr. Build. Mater. 2018, 175, 196–205. [Google Scholar] [CrossRef]
- Moghadas Nejad, F.; Azarhoosh, A.R.; Hamedi, G.H.; Azarhoosh, M.J. Characterization of permanent deformation resistance of precipitated calcium carbonate modified asphalt mixture. J. Civ. Eng. Manag. 2015, 21, 615–622. [Google Scholar] [CrossRef]
- Liang, J.S.; Hui, N.; Zhao, T.Y.; Zhang, H. The mineralization of polymer electrospun fibrous membranes modified with tourmaline nanoparticles. J. Mater. Res. 2019, 34, 1900–1910. [Google Scholar] [CrossRef]
- Safak, S.; Karaca, E. Production and characterization of poly(ethylene terephthalate) nanofibrous mat including tourmaline additive. Text. Res. J. 2016, 35, 258–262. [Google Scholar] [CrossRef]
- Kim, S.J.; Ko, H.S.; Jeong, G.H.; Yun, J.J.; Park, K.H.; Han, E.M. The effect of tourmaline additives in TiOphotoanode for high-efficiency dye sensitized solar cells. Mol. Cryst. Liq. Cryst. 2016, 629, 200–205. [Google Scholar] [CrossRef]
- García-Sánchez, T.; Muscat, A.; Leray, I.; Mir, L.M. Pyroelectricity as a possible mechanism for cell membrane permeabilization. Bioelectrochemistry 2017, 119, 227–233. [Google Scholar] [CrossRef]
- Wang, C.H.; Chen, Q.; Guo, T.T.; Li, Q. Environmental effects and enhancement mechanism of graphene/tourmaline composites. J. Clean. Prod. 2020, 262, 121313. [Google Scholar] [CrossRef]
- Chen, Q.; Wang, C.H.; Qiao, Z.; Guo, T.T. Graphene/tourmaline composites as a filler of hot mix asphalt mixture: Preparation and properties. Constr. Build. Mater. 2020, 239, 117859. [Google Scholar] [CrossRef]
- Guo, T.T.; Wang, C.H.; Chen, H.J.; Li, Z.X.; Chen, Q.; Han, A.H.; Jiang, D.W.; Wang, Z.W. Rheological properties of graphene-tourmaline composite modified asphalt. Pet. Sci. Technol. 2019, 37, 2190–2198. [Google Scholar] [CrossRef]
- Wang, C.H.; Li, Y.W.; Sun, X.L.; Gao, Z.W. Automobile exhaust–purifying performance of tourmaline-modified asphalt concrete. J. Mater. Civ. Eng. 2017, 29, 04017004. [Google Scholar] [CrossRef]
- Chen, Q.; Wang, C.H.; Wen, P.H.; Wang, M.H.; Zhao, J.X. Comprehensive performance evaluation of low-carbon modified asphalt based on efficacy coefficient method. J. Clean. Prod. 2018, 203, 633–644. [Google Scholar] [CrossRef]
- Wu, Q.F. Study on high temperature performance of tourmaline modified asphalt mortar. Road Mach. Constr. Mech. 2017, 34, 70–74. (In Chinese) [Google Scholar]
- Ding, H.B.; Rahman, A.; Li, Q.S.; Qiu, Y.J. Advanced mechanical characterization of asphalt mastics containing tourmaline modifier. Constr. Build. Mater. 2017, 150, 520–528. [Google Scholar] [CrossRef]
- Rad, A.S.; Foukolaei, V.P. Density functional study of Al-doped graphene nanostructure towards adsorption of CO, CO2, and H2O. Synth. Met. 2015, 210, 171–178. [Google Scholar]
- Chella, S.; Kollu, P.; Komarala, E.V.P.R.; Doshi, S.; Saranya, M.; Felix, S.; Ramachandran, R.; Saravanan, P.; Koneru, V.L.; Venugopal, V.; et al. Solvothermal synthesis of MnFe2O4-graphene composite—Investigation of its adsorption and antimicrobial properties. Appl. Surf. Sci. 2015, 327, 27–36. [Google Scholar] [CrossRef]
- Dervin, S.; Dionysiou, D.D.; Pillai, S.C. 2D nanostructures for water purification: Graphene and beyond. Nanoscale 2016, 8, 15115. [Google Scholar] [CrossRef]
- Zhou, X.X.; Zhang, X.; Xu, S.; Wu, S.P.; Liu, Q.T.; Fan, Z.P. Evaluation of thermo-mechanical properties of graphene/carbon-nanotubes modified asphalt with molecular simulation. Mol. Simul. 2017, 43, 312–319. [Google Scholar] [CrossRef]
- Zhu, J.C.; Zhang, K.; Liu, K.F.; Shi, X.M. Performance of hot and warm mix asphalt mixtures enhanced by nano-sized graphene oxide. Constr. Build. Mater. 2019, 217, 273–282. [Google Scholar] [CrossRef]
- Ingrassia, L.P.; Lu, X.; Marasteanu, M.; Canestrari, F. Tribological characterization of graphene nano-platelet (GNP) bituminous binders. In Airfield and Highway Pavements 2019: Innovation and Sustainability in Highway and Airfield Pavement Technology, Proceedings of the International Airfield and Highway Pavements Conference, Chicago, IL, USA, 21–24 July 2019; American Society of Civil Engineers: Reston, VA, USA, 2019; pp. 96–105. [Google Scholar]
- Yan, T.; Ingrassia, L.P.; Kumar, R.; Turos, M.; Canestrari, F.; Lu, X.; Marasteanu, M. Evaluation of graphite nanoplatelets influence on the lubrication properties of asphalt binders. Materials 2020, 13, 772. [Google Scholar] [CrossRef] [PubMed] [Green Version]
- Su, Z.B.; Muhammad, Y.; Sahibzada, M.; Li, J.; Zhang, L. Preparation and properties of aminated graphene fiber incorporated modified asphalt. Constr. Build. Mater. 2019, 229, 116836. [Google Scholar] [CrossRef]
- Guo, H.Y.; Meng, Y.J.; Xu, R.G.; Zhang, R.J.; Ma, C.X. The rheological and microscopic properties of graphene rubber composite modified asphalt. J. Build. Mater. 2020, 23, 1246–1251. (In Chinese) [Google Scholar]
- Wang, C.H.; Chen, S.; Gou, J.; Wang, X.Q.; Jiang, T.T.; Guo, T.T.; Chen, J. A Test Device for Pollutant Emission of Asphalt Mixture, ZL201420856851.1; State Intellectual Property Office: Beijing, China, 2014; pp. 1–4. (In Chinese) [Google Scholar]














| Technical Index | Penetration (25 °C)/0.1 mm | Penetration Index | Softening Point/°C | Ductility (10 °C)/cm | 60 °C Dynamic Viscosity/(Pa·s) | Anti-Aging Resistant Performance (RTFOT) | ||
|---|---|---|---|---|---|---|---|---|
| Weight Change/% | Residual Penetration Ratio/% | Ductility (10 °C)/cm | ||||||
| Test value | 64 | −1.37 | 47.9 | 38.3 | 226 | 0.12 | 74.1 | 12.4 |
| No. | Factors and Levels | ||
|---|---|---|---|
| Shear Temperature/°C | Shear Speed/rmp | Shear Time/min | |
| 1 | 170 | 4000 | 20 |
| 2 | 130 | 3000 | 60 |
| 3 | 170 | 2000 | 60 |
| 4 | 130 | 4000 | 40 |
| 5 | 150 | 4000 | 60 |
| 6 | 170 | 3000 | 40 |
| 7 | 150 | 3000 | 20 |
| 8 | 150 | 2000 | 40 |
| 9 | 130 | 2000 | 20 |
| No. | Asphalt Type | Modifier Content/% | ||
|---|---|---|---|---|
| 1 | Base asphalt | -- | ||
| 2 | T modification | 10 | 20 | 30 |
| 3 | G0.5/T100 modification | 10 | 20 | 30 |
| 4 | G1.0/T100 modification | 10 | 20 | 30 |
| 5 | G1.5/T100 modification | 10 | 20 | 30 |
| Index | Factor | Si2 | fi | Si2/fi | Fi | Sig. |
|---|---|---|---|---|---|---|
| Penetration | Temperature | 0.304 | 2 | 0.152 | 0.123 | 0.890 |
| speed | 0.322 | 2 | 0.161 | 0.130 | 0.885 | |
| Time | 27.094 | 2 | 13.547 | 10.950 | 0.084 | |
| Error | 2.474 | 2 | 1.237 | / | / | |
| Sum | 30.195 | 8 | F0.05(2, 2) = 19; F0.1(2, 2) = 9 | |||
| Softening point | Temperature | 0.254 | 2 | 0.127 | 1.309 | 0.433 |
| speed | 3.871 | 2 | 1.935 | 19.963 | 0.048 | |
| Time | 10.524 | 2 | 5.262 | 54.278 | 0.018 | |
| Error | 0.194 | 2 | 0.097 | / | / | |
| Sum | 14.842 | 8 | F0.05(2, 2) = 19; F0.1(2, 2) = 9 | |||
| Ductility | Temperature | 78.691 | 2 | 39.346 | 127.480 | 0.008 |
| speed | 83.877 | 2 | 41.938 | 135.880 | 0.001 | |
| Time | 446.988 | 2 | 223.494 | 724.120 | 0.007 | |
| Error | 0.617 | 2 | 0.309 | / | / | |
| Sum | 610.173 | 8 | F0.05(2, 2) = 19; F0.1(2, 2) = 9 | |||
| Factor | 25 °C Penetration/(0.1 mm) | Softening Point/°C | 10 °C Ductility/mm | |||||||||
|---|---|---|---|---|---|---|---|---|---|---|---|---|
| k1 | k2 | k3 | Range | k1 | k2 | k3 | Range | k1 | k2 | k3 | Range | |
| Temperature | 55.67 | 55.71 | 55.30 | 0.41 | 49.83 | 50.23 | 49.95 | 0.40 | 80.56 | 78.67 | 73.57 | 6.99 |
| Speed | 55.35 | 55.51 | 55.81 | 0.46 | 49.70 | 50.92 | 49.40 | 1.52 | 73.33 | 80.33 | 79.11 | 7.00 |
| Time | 53.39 | 55.66 | 57.63 | 4.24 | 49.18 | 49.30 | 51.53 | 2.35 | 84.00 | 81.00 | 67.78 | 16.22 |
| Mixture Type | Content/wt% | NOx | COx | ||
|---|---|---|---|---|---|
| Concentration/ppm | Emission Reduction Rate/% | Concentration/ppm | Emission Reduction Rate/% | ||
| Base Asphalt | -- | 92.75 | -- | 87.89 | -- |
| Tourmaline-modified asphalt | 10 | 60.62 | 34.64 | 56.91 | 35.25 |
| 20 | 32.58 | 64.87 | 21.65 | 75.37 | |
| 30 | 28.46 | 69.32 | 18.50 | 78.95 | |
| G0.5/T100-modified asphalt | 10 | 60.32 | 34.97 | 56.24 | 36.01 |
| 20 | 32.25 | 65.23 | 21.00 | 76.11 | |
| 30 | 27.66 | 70.18 | 17.95 | 79.58 | |
| G1.0/T100-modified asphalt | 10 | 59.17 | 36.21 | 54.50 | 37.99 |
| 20 | 29.83 | 67.84 | 19.46 | 77.86 | |
| 30 | 25.68 | 72.31 | 16.73 | 80.97 | |
| G1.5/T100-modified asphalt | 10 | 59.71 | 35.62 | 55.41 | 36.95 |
| 20 | 30.63 | 66.98 | 20.31 | 76.89 | |
| 30 | 26.57 | 71.35 | 17.61 | 79.96 | |
| Sample Information | Heat Absorption (J/g) | Heat Release (J/g) | Glass Transition Temperature Tg (°C) |
|---|---|---|---|
| Base Asphalt | 0.33 | 0.36 | −9.53 |
| Tourmaline-modified asphalt | 0.35 | 0.38 | −7.69 |
| G0.5/T100-modified asphalt | 0.37 | 0.43 | −8.33 |
| G1.0/T100-modified asphalt | 0.40 | 0.49 | −8.64 |
| G1.5/T100-modified asphalt | 0.44 | 0.57 | −9.02 |
Publisher’s Note: MDPI stays neutral with regard to jurisdictional claims in published maps and institutional affiliations. |
© 2021 by the authors. Licensee MDPI, Basel, Switzerland. This article is an open access article distributed under the terms and conditions of the Creative Commons Attribution (CC BY) license (https://creativecommons.org/licenses/by/4.0/).
Share and Cite
Guo, T.; Fu, H.; Wang, C.; Chen, H.; Chen, Q.; Wang, Q.; Chen, Y.; Li, Z.; Chen, A. Road Performance and Emission Reduction Effect of Graphene/Tourmaline-Composite-Modified Asphalt. Sustainability 2021, 13, 8932. https://doi.org/10.3390/su13168932
Guo T, Fu H, Wang C, Chen H, Chen Q, Wang Q, Chen Y, Li Z, Chen A. Road Performance and Emission Reduction Effect of Graphene/Tourmaline-Composite-Modified Asphalt. Sustainability. 2021; 13(16):8932. https://doi.org/10.3390/su13168932
Chicago/Turabian StyleGuo, Tengteng, Hao Fu, Chaohui Wang, Haijun Chen, Qian Chen, Qing Wang, Yuanzhao Chen, Zhenxia Li, and Aijiu Chen. 2021. "Road Performance and Emission Reduction Effect of Graphene/Tourmaline-Composite-Modified Asphalt" Sustainability 13, no. 16: 8932. https://doi.org/10.3390/su13168932
APA StyleGuo, T., Fu, H., Wang, C., Chen, H., Chen, Q., Wang, Q., Chen, Y., Li, Z., & Chen, A. (2021). Road Performance and Emission Reduction Effect of Graphene/Tourmaline-Composite-Modified Asphalt. Sustainability, 13(16), 8932. https://doi.org/10.3390/su13168932

