Evaluation of Linear Deformation and Unloading Stiffness Characteristics of Asphalt Mixtures Incorporating Various Aggregate Gradations
Abstract
:1. Introduction
- Comparison of MRI and MRT with load duration, i.e., 0.1 s and 0.3 s.
- Comparison of linear and non-linear viscoelastic deformation induced during 0.1 s and 0.3 s load durations for WC and BC.
- Relation of coarse aggregate proportion versus instantaneous and total resilient moduli (i.e., MRI and MRT).
- Relation of stability, density and indirect tensile strength (ITS) versus MRI and MRT.
2. Materials and Methods
2.1. Asphalt Binder
2.2. Aggregate
2.3. Marshal Mix Design
2.4. Asphalt Mixtures
2.5. Indirect Tensile Strength (ITS) Test
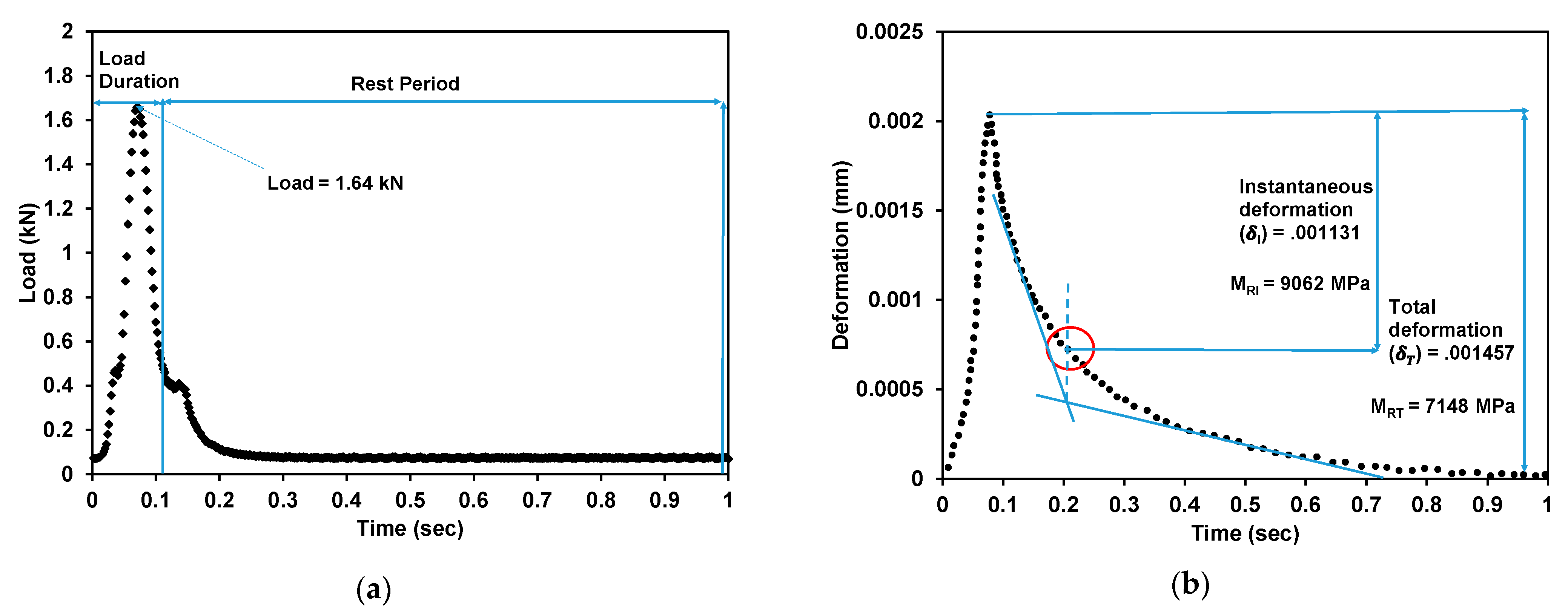
2.6. Resilient Modulus (MR) Test
3. Results
3.1. Asphalt Binder Test Results
3.2. Aggregate Test Results
3.3. Asphalt Mixture Test Results
3.4. Indirect Tensile Strength (ITS) Test Results
3.5. Resilient Modulus (MR) Test Results
4. Discussion
5. Conclusions
- MRI increased from 10.2% to 25.5% and MRT increased from 11.8% to 26.5%, depicting that the resilience of asphalt mixtures increases with an increase in PCA.
- An increase in PCA increased linear viscoelastic deformation from 53% to 69.2% and decreased the non-linear viscoelastic deformation from 47.0% to 30.8% for asphalt mixtures, which is a novel finding in the area of flexible pavement construction.
- An increase in PCA results in an increase of ITS of 18.2% for BC and 17.6% for WC, from which it is inferred that an increase in PCA shows an almost equivalent effect in BC and WC.
- The relations of PCA, ITS and stability versus MRI and MRT are presented using MINITAB–19 statistical software, for rapid and cost-effective assessment of response of flexible pavements using simple laboratory tests.
Author Contributions
Funding
Institutional Review Board Statement
Informed Consent Statement
Data Availability Statement
Acknowledgments
Conflicts of Interest
References
- ASTM D7369. Standard Test Method for Determining the Resilient Modulus of Bituminous Mixtures by Indirect Tension Test; ASTM International: West Conshohocken, PA, USA, 2020. [Google Scholar]
- Shalaby, A.; Liske, T.; Kavussi, A. Comparing back-calculated and laboratory resilient moduli of bituminous paving mixtures. Can. J. Civ. Eng. 2004, 31, 988–996. [Google Scholar] [CrossRef]
- Loulizi, A.; Flintsch, G.W.; Al-Qadi, I.L.; Mokarem, D.W. Comparing Resilient Modulus and Dynamic Modulus of Hot-Mix Asphalt as Material Properties for Flexible Pavement Design. Trans. Res. Rec. 2006, 23, 161–170. [Google Scholar] [CrossRef]
- AASHTO. Guide for Design of Pavement Structures, 157; AASHTO: Washington, DC, USA, 1993. [Google Scholar]
- Tahmoorian, F.; Yeaman, J.; Mirzababaei, M. Comparisons of the Resilient Moduli of Asphalt Mixes Containing Recycled Materials through Empirical and Experimental Methods. J. Mat. Civ. Eng. 2020, 32, 04020255. [Google Scholar] [CrossRef]
- Timm, D.H.; Peters-Davis, K. Recalibration of the Asphalt Layer Coefficient; NCAT Rep. No. 09-03; National Center for Asphalt Technology: Auburn, AL, USA, 2009. [Google Scholar]
- Clyne, T.R.; Li, X.; Marasteanu, M.O.; Skok, E.L. Dynamic and Resilient Modulus of Mn/DOT Asphalt Mixtures; No. MN/RC-2003-09; University of Minnesota: Twin Cities, MN, USA, 2003. [Google Scholar]
- Kaseer, F.; Yin, F.; Arámbula-Mercado, E.; Martin, A.E. Stiffness characterization of asphalt mixtures with high recycled material content and recycling agents. Transp. Res. Rec. 2017, 2633, 58–68. [Google Scholar] [CrossRef]
- Mamlouk, M.; Sarofim, R.T. Modulus of asphalt mixtures-an unresolved dilemma. Transp. Res. Rec. 1988, 1711, 193–198. [Google Scholar]
- Czech, K.; Gardziejczyk, W. Dynamic Stiffness of Bituminous Mixtures for the Wearing Course of the Road Pavement—A Proposed Method of Measurement. Materials 2020, 13, 1973. [Google Scholar] [CrossRef] [Green Version]
- Iwański, M. Effect of Hydrated Lime on Indirect Tensile Stiffness Modulus of Asphalt Concrete Produced in Half-Warm Mix Technology. Materials 2020, 13, 4731. [Google Scholar] [CrossRef]
- Mackiewicz, P.; Mączka, E. The Impact of Water and Road Salt with Anti-Caking Agent on the Stiffness of Select Mixes Used for the Road Surface. Materials 2021, 14, 1345. [Google Scholar] [CrossRef]
- Wu, Z.; Zhang, C.; Xiao, P.; Li, B.; Kang, A. Performance Characterization of Hot Mix Asphalt with High RAP Content and Basalt Fiber. Materials 2020, 13, 3145. [Google Scholar] [CrossRef]
- Li, L.; Jiang, X.; Lin, Y.; Yan, H. A Prediction Model on Viscoelastic Fatigue Damage of Asphalt Mixture. Materials 2020, 13, 3782. [Google Scholar] [CrossRef]
- Złotowska, M.; Nagórski, R.; Błażejowski, K. Concept of Similarity Method for Prediction of Fatigue Life of Pavement Structures with HiMA Binder in Asphalt Layers. Materials 2021, 14, 480. [Google Scholar] [CrossRef] [PubMed]
- Crisman, B.; Ossich, G.; Lorenzi, L.D.; Bevilacqua, P.; Roberti, R. A Laboratory Assessment of the Influence of Crumb Rubber in Hot Mix Asphalt with Recycled Steel Slag. Sustainability 2020, 12, 8045. [Google Scholar] [CrossRef]
- Woszuk, A.; Wróbel, M.; Bandura, L.; Franus, W. Brick Debris Dust as an Ecological Filler and Its Effect on the Durability of Asphalt Mix. Materials 2020, 13, 5023. [Google Scholar] [CrossRef] [PubMed]
- Skotnicki, L.; Kuźniewski, J.; Szydlo, A. Stiffness Identification of Foamed Asphalt Mixtures with Cement, Evaluated in Laboratory and In Situ in Road Pavements. Materials 2020, 13, 1128. [Google Scholar] [CrossRef] [Green Version]
- Chomicz-Kowalska, A.; Maciejewski, K.; Iwański, M.M. Study of the Simultaneous Utilization of Mechanical Water Foaming and Zeolites and Their Effects on the Properties of Warm Mix Asphalt Concrete. Materials 2020, 13, 357. [Google Scholar] [CrossRef] [PubMed] [Green Version]
- Skaf, M.; Pasquini, E.; Revilla-Cuesta, V.; Ortega-López, V. Performance and Durability of Porous Asphalt Mixtures Manufactured Exclusively with Electric Steel Slags. Materials 2019, 12, 3306. [Google Scholar] [CrossRef] [Green Version]
- White, G. A Synthesis on the Effects of Two Commercial Recycled Plastics on the Properties of Bitumen and Asphalt. Sustainability 2020, 12, 8594. [Google Scholar] [CrossRef]
- Omranian, S.R.; Hamzah, M.O.; Pipintakos, G.; Van den bergh, W.; Vuye, C.; Hasan, M.R.M. Effects of Short-Term Aging on the Compactibility and Volumetric Properties of Asphalt Mixtures Using the Response Surface Method. Sustainability 2020, 12, 6181. [Google Scholar] [CrossRef]
- Elliot, R.P.; Ford, M.C.; Ghanim, M.; Tu, Y.F. Effect of Aggregate Gradation Variation on Asphalt Concrete Mix Properties. Trans. Res. Rec. 1991, 1317, 52–60. [Google Scholar]
- Lim, C.T.; Tan, S.A. Specimen size effects on the diametrical mechanical testing of cylindrical asphalt mixes. J. Test. Eval. 1995, 23, 436–441. [Google Scholar]
- Tongyan, P.; Tutumluer, E.; Carpenter, S. Effect of coarse aggregate morphology on the resilient modulus of hot-mix asphalt, Trans. Res. Rec. 2005, 1929, 1–9. [Google Scholar]
- Brown, E.R.; Bassett, C.E. Effects of maximum aggregate size on rutting potential and other properties of asphalt-aggregate mixtures. Trans. Res. Rec. 1990, 1259, 107–119. [Google Scholar]
- Bagampadde, U.; Isacsson, U.; Kiggundu, B.M. Impact of bitumen and aggregate composition on stripping in bituminous mixtures. Mater. Struct. 2006, 39, 303–315. [Google Scholar] [CrossRef]
- Luo, R.; Liu, H.; Zhang, Y. Characterization of linear viscoelastic, nonlinear viscoelastic and damage stages of asphalt mixtures. Constr. Build. Mater. 2016, 125, 72–80. [Google Scholar] [CrossRef] [Green Version]
- Ban, H.; Im, S.; Kim, Y.R. Non-linear viscoelastic approach to model damage-associated performance behaviour of asphaltic mixture and pavement structure. Can. J. Civ. Eng. 2013, 40, 313–323. [Google Scholar] [CrossRef]
- Luo, X. Characterization of Fatigue Cracking and Healing of Asphalt Mixtures. Ph. D. Thesis, Texas A & M University, College Station, TX, USA, 2012. [Google Scholar]
- ASTM D5. Standard Test Method for Penetration of Bituminous Materials; ASTM International: West Conshohocken, PA, USA, 2020. [Google Scholar]
- ASTM D36. Standard Test Method for Softening Point of Bitumen (Ring-and-Ball Apparatus); ASTM International: West Conshohocken, PA, USA, 2014. [Google Scholar]
- ASTM D113. Standard Test Method for Ductility of Asphalt Materials; ASTM International: West Conshohocken, PA, USA, 2017. [Google Scholar]
- ASTM D92. Standard Test Method for Flash and Fire Points by Cleveland Open Cup Tester; ASTM International: West Conshohocken, PA, USA, 2018. [Google Scholar]
- AASHTO-M 320. Standard Specification for Performance-Graded Asphalt Binder; American Association of State Highway and Transportation Officials: Washington, DC, USA, 2017. [Google Scholar]
- AASHTO-T 316. Standard Method of Test for Viscosity Determination of Asphalt Binder Using Rotational Viscometer; American Association of State Highway and Transportation Officials: Washington, DC, USA, 2019. [Google Scholar]
- AASHTO-T 315. Standard Method of Test for Determining the Rheological Properties of Asphalt Binder Using a Dynamic Shear Rheometer; American Association of State Highway and Transportation Officials: Washington, DC, USA, 2010. [Google Scholar]
- AASHTO-T 240. Standard Method of Test for Effect of Heat and Air on a Moving Film of Asphalt Binder (Rolling Thin-Film Oven Test); American Association of State Highway and Transportation Officials: Washington, DC, USA, 2013. [Google Scholar]
- AASHTO-R 28. Standard Practice for Accelerated Aging of Asphalt Binder Using a Pressurized Aging Vessel (PAV); American Association of State Highway and Transportation Officials: Washington, DC, USA, 2012. [Google Scholar]
- AASHTO-T 313. Standard Method of Test for Determining the Flexural Creep Stiffness of Asphalt Binder Using the Bending Beam Rheometer (BBR); American Association of State Highway and Transportation Officials: Washington, DC, USA, 2011. [Google Scholar]
- Abbas, S.; Munir, M.J.; Kazmi, S.M.S.; Khitab, A.; Ashiq, S.Z.; Arshad, M.T. Engineering characteristics of widely used coarse aggregates in Pakistan: A comparative study. Pak. J. Eng. Appl. Sci. 2017, 20, 85–93. [Google Scholar]
- ASTM D3515. Standard Specification for Hot-Mixed, Hot-Laid Bituminous Paving Mixtures; ASTM International: West Conshohocken, PA, USA, 2009. [Google Scholar]
- Halladay, M. The Strategic Highway Research Program: An Investment that Has Paid Off; Public Roads: Washington, DC, USA, 1998; Volume 61. [Google Scholar]
- Asphalt Institute, Mix Design Methods for Asphalt Concrete and Other Hot-Mix Types; Asphalt Institute: Lexington, KY, USA, 1997.
- BS EN 13108-1 2016: Part 1. Bituminous Mixtures Materials Specification-Asphalt Concrete; European Committee for Standardization, British Standards Institution: London, UK, 2016. [Google Scholar]
- ASTM D6926. Standard Practice for Preparation of Asphalt Mixture Specimens Using Marshall Apparatus; ASTM International: West Conshohocken, PA, USA, 2010. [Google Scholar]
- AASHTO-T 312. Standard Method of Test for Preparing and Determining the Density of Asphalt Mixture Specimens by Means of the Superpave Gyratory Compactor; American Association of State and Washington Highway Transportation Officials: Washington, DC, USA, 2019. [Google Scholar]
- ASTM D6931. Standard Test Method for Indirect Tensile (IDT) Strength of Asphalt Mixtures; ASTM International: West Conshohocken, PA, USA, 2007. [Google Scholar]
- ASTM D 946/D946 M-20. Standard Specification for Penetration-Graded Asphalt Binder for USE in Pavement Construction; ASTM International: West Conshohocken, PA, USA, 2020. [Google Scholar]
- AASHTO-M 20. Standard Specification for Penetration-Graded Asphalt Cement; American Association of State Highway and Transportation Officials: Washington, DC, USA, 1970. [Google Scholar]
- ASTM D5821-13 2017. Standard Test Method for Determining the Percentage of Fractured Particles in Coarse Aggregate; ASTM International: West Conshohocken, PA, USA, 2017. [Google Scholar]
- ASTM D4791-19. Standard Test Method for Flat Particles, Elongated Particles, or Flat and Elongated Particles in Coarse Aggregate; ASTM International: West Conshohocken, PA, USA, 2019. [Google Scholar]
- ASTM C131/C131M-20. Standard Test Method for Resistance to Degradation of Small-Size Coarse Aggregate by Abrasion and Impact in the Los Angeles Machine; ASTM International: West Conshohocken, PA, USA, 2020. [Google Scholar]
- ASTM C127-15. Standard Test Method for Relative Density (Specific Gravity) and Absorption of Coarse Aggregate; ASTM International: West Conshohocken, PA, USA, 2015. [Google Scholar]
- ASTM C88/C88M-18. Standard Test Method for Soundness of Aggregates by Use of Sodium Sulphate or Magnesium Sulphate; ASTM International: West Conshohocken, PA, USA, 2018. [Google Scholar]
- ASTM C 1252-17. Standard Test Methods for Uncompacted Void Content of Fine Aggregate (as Influenced by Particle Shape, Surface Texture, and Grading); ASTM International: West Conshohocken, PA, USA, 2017. [Google Scholar]
- ASTM D 2419-14. Standard Test Method for Sand Equivalent Value of Soils and Fine Aggregate; ASTM International: West Conshohocken, PA, USA, 2017. [Google Scholar]
- Li, P.; Zheng, M.; Wang, F.; Che, F.; Li, H.; Ma, Q.; Wang, Y. Laboratory performance evaluation of high modulus asphalt concrete modified with different additives. Adv. Mater. Sci. Eng. 2017, 217, 7236153. [Google Scholar] [CrossRef] [Green Version]
- Lytton, R.L.; Gu, F.; Zhang, Y.; Luo, X. Characteristics of undamaged asphalt mixtures in tension and compression. Int. J. Pav. Eng. 2018, 19, 192–204. [Google Scholar] [CrossRef] [Green Version]
- Sun, Y.; Gu, B.; Gao, L.; Li, L.; Guo, R.; Yue, Q.; Wang, J. Viscoelastic mechanical responses of HMAP under moving load. Materials 2018, 11, 2490. [Google Scholar] [CrossRef] [PubMed] [Green Version]
- Mackiewics, P.; Szydlo, A. Viscoelastic parameters of asphalt mixtures identified in static and dynamic tests. Materials 2019, 12, 2084. [Google Scholar] [CrossRef] [Green Version]




















| Parameter | Result | |||
|---|---|---|---|---|
| S1 1 | S2 | S3 | Average | |
| (a) | ||||
| Penetration (0.1 mm) | 47 | 48 | 45 | 47 |
| Flash Point (°C) | 335 | 336 | 333 | 335 |
| Ductility (cm) | 121 | 119 | 122 | 121 |
| Softening Point (°C) | 51.5 | 52.0 | 51.3 | 51.6 |
| Solubility (%) | 99.91 | 99.76 | 99.93 | 99.87 |
| (b) | ||||
| Viscosity at 125 °C (cP 2) | 812.5 | 820.5 | 803.5 | 812.2 |
| Viscosity at 135 °C (cP) | 462.5 | 450.5 | 475.5 | 462.8 |
| Viscosity at 145 °C (cP) | 287.5 | 289.5 | 285.5 | 287.5 |
| Viscosity at 155 °C (cP) | 187.5 | 184.5 | 189.5 | 187.2 |
| Viscosity at 165 °C (cP) | 125.0 | 122.0 | 128.0 | 125.0 |
| Viscosity at 175 °C (cP) | 87.5 | 84.5 | 89.5 | 87.2 |
| Viscosity at 185 °C (cP) | 62.5 | 60.5 | 64.5 | 62.5 |
| True Grade Temperature (°C) (Original) | 70.5 | 70.0 | 71.0 | 70.5 |
| True Grade Temperature (°C) (RTFO) | 67.5 | 68.0 | 67.0 | 67.5 |
| True Grade Temperature (°C) (PAV) | 23.5 | 24.0 | 23.0 | 23.5 |
| BBR Low Temperature (°C) | −10.1 | −10.0 | −10.3 | −10.1 |
| Performance Grade | PG 64−16 | |||
| Sieve Size (mm) | Gradation (% Passing) | |||||
|---|---|---|---|---|---|---|
| Wearing Course (WC) | Base Course (BC) | |||||
| D-4 | D-5 | SP-B | MS-2 | DBM | SP-2 | |
| 37.5 | 100 | 100 | 100 | 100 | 100 | 100 |
| 25.4 | 100 | 100 | 100 | 100 | 95 | 95 |
| 19 | 95 | 100 | 100 | 100 | 85 | 83 |
| 12.5 | 76 | 82 | 95 | 95 | 60 | 70 |
| 9.0 | 63 | 70 | 84 | 82 | 47 | 65 |
| 6.4 | 52 | 59 | 57 | 69 | 35 | 57 |
| 4.75 | 42.5 | 50 | 45 | 59 | 30 | 52 |
| 2.36 | 29 | 30 | 30 | 43 | 20 | 39 |
| 1.18 | 20 | 20 | 20 | 30 | 15 | 30 |
| 0.6 | 13 | 15 | 15 | 20 | 12 | 23 |
| 0.3 | 8.5 | 10 | 10 | 13 | 8 | 14 |
| 0.15 | 6 | 7 | 6 | 8.5 | 6 | 10 |
| 0.075 | 5 | 5 | 4 | 6 | 4 | 5.5 |
| Test | Standard | Wearing Course (WC) | Base Course (BC) | ||||
|---|---|---|---|---|---|---|---|
| D-4 | SP-B | D-5 | MS-2 | DBM | SP-2 | ||
| Fractured Faces (%) | ASTM D 5821 [51] | 100 | 100 | 100 | 100 | 100 | 100 |
| Flakiness Index (%) | ASTM D 4791 [52] | 5.42 | 6.21 | 6.87 | 7.32 | 5.78 | 7.48 |
| Elongation Index (%) | ASTM D 4791 | 16.68 | 18.52 | 19.43 | 17.31 | 19.15 | 18.78 |
| Los Angeles Abrasion Value (%) | ASTM C 131 [53] | 22.08 | 24.43 | 23.11 | 25.62 | 26.83 | 24.88 |
| Water Absorption (%) | ASTM C 127 [54] | 0.3 | 0.33 | 0.31 | 0.32 | 0.33 | 0.31 |
| Soundness (%) | ASTM C 88 [55] | 0.87 | 0.59 | 0.61 | 0.43 | 0.93 | 0.82 |
| Uncompacted Voids (%) | ASTM C 1252 [56] | 42 | 44 | 46 | 47 | 49 | 50 |
| Sand Equivalent (%) | ASTM D 2419 [57] | 80 | 79 | 79 | 78 | 77 | 78 |
| Gradations | MM 1 | ITS (25 °C) | MR (25 °C) | |
|---|---|---|---|---|
| 0.1 s | 0.3 s | |||
| D-4 | x | x | x | x |
| SP-B | x | x | x | x |
| D-5 | x | x | x | x |
| MS-2 | x | x | x | x |
| DBM | x | x | x | x |
| SP-2 | x | x | x | x |
| Gradation | VMA 1 (%) | VFA (%) | Stability (kg) | OBC (%) | Flow (0.25 mm) | Unit Weight (kg/m3) | AV (%) |
|---|---|---|---|---|---|---|---|
| D-4 | 12.68 | 66.35 | 1305 | 3.99 | 12.2 | 2378 | 4 |
| SP-B | 12.75 | 60.16 | 1250 | 3.87 | 13.4 | 2364 | 4 |
| D-5 | 12.42 | 64.81 | 1215 | 4.11 | 13.8 | 2362 | 4 |
| MS-2 | 13.72 | 66.75 | 1170 | 4.65 | 11.4 | 2360 | 4 |
| DBM | 12.19 | 61.96 | 3422 | 3.88 | 12.6 | 2436 | 4 |
| SP-2 | 12.42 | 61.38 | 2412 | 3.95 | 11.2 | 2401 | 4 |
| Mix Type | Load Duration | Regression Model | R2 |
|---|---|---|---|
| WC | 0.1 s | MRI = −10983 − 3.537 ITS + 81.80 PCA + 17.67 Stability | 0.91 |
| MRT = 3704 + 6.504 ITS + 35.79 PCA − 8.446 Stability | 0.88 | ||
| 0.3 s | MRI = −6913 + 2.133 ITS − 36.52 PCA + 8.916 Stability | 0.86 | |
| MRT = −9630 + 1.370 ITS − 32.30 PCA + 10.80 Stability | 0.89 | ||
| BC | 0.1 s | MRI = 2173 + 4.614 ITS − 18.75 PCA | 0.87 |
| MRT = 1058 + 3.957 ITS − 17.27 PCA | 0.81 | ||
| 0.3 s | MRI = −908.3 + 6.709 ITS − 34.32 PCA | 0.84 | |
| MRT = 1573 + 1.185 ITS + 8.245 PCA | 0.83 |
Publisher’s Note: MDPI stays neutral with regard to jurisdictional claims in published maps and institutional affiliations. |
© 2021 by the authors. Licensee MDPI, Basel, Switzerland. This article is an open access article distributed under the terms and conditions of the Creative Commons Attribution (CC BY) license (https://creativecommons.org/licenses/by/4.0/).
Share and Cite
Rizvi, M.A.; Khan, A.H.; Rehman, Z.u.; Inam, A.; Masoud, Z. Evaluation of Linear Deformation and Unloading Stiffness Characteristics of Asphalt Mixtures Incorporating Various Aggregate Gradations. Sustainability 2021, 13, 8865. https://doi.org/10.3390/su13168865
Rizvi MA, Khan AH, Rehman Zu, Inam A, Masoud Z. Evaluation of Linear Deformation and Unloading Stiffness Characteristics of Asphalt Mixtures Incorporating Various Aggregate Gradations. Sustainability. 2021; 13(16):8865. https://doi.org/10.3390/su13168865
Chicago/Turabian StyleRizvi, Mujasim Ali, Ammad Hassan Khan, Zia ur Rehman, Aasim Inam, and Zubair Masoud. 2021. "Evaluation of Linear Deformation and Unloading Stiffness Characteristics of Asphalt Mixtures Incorporating Various Aggregate Gradations" Sustainability 13, no. 16: 8865. https://doi.org/10.3390/su13168865
APA StyleRizvi, M. A., Khan, A. H., Rehman, Z. u., Inam, A., & Masoud, Z. (2021). Evaluation of Linear Deformation and Unloading Stiffness Characteristics of Asphalt Mixtures Incorporating Various Aggregate Gradations. Sustainability, 13(16), 8865. https://doi.org/10.3390/su13168865

