Abstract
Plant growth-promoting rhizobacteria play a substantial role in plant growth and development under biotic and abiotic stress conditions. However, understanding about the functional role of rhizobacterial strains for wheat growth under salt stress remains largely unknown. Here we investigated the antagonistic bacterial strain Bacillus aryabhattai PM34 inhabiting ACC deaminase and exopolysaccharide producing ability to ameliorate salinity stress in wheat seedlings under in vitro conditions. The strain PM34 was isolated from the potato rhizosphere and screened for different PGP traits comprising nitrogen fixation, potassium, zinc solubilization, indole acetic acid, siderophore, and ammonia production, along with various extracellular enzyme activities. The strain PM34 showed significant tolerance towards both abiotic stresses including salt stress (NaCl 2 M), heavy metal (nickel, 100 ppm, and cadmium, 300 ppm), heat stress (60 °C), and biotic stress through mycelial inhibition of Rhizoctonia solani (43%) and Fusarium solani (41%). The PCR detection of ituC, nifH, and acds genes coding for iturin, nitrogenase, and ACC deaminase enzyme indicated the potential of strain PM34 for plant growth promotion and stress tolerance. In the in vitro experiment, NaCl (2 M) decreased the wheat growth while the inoculation of strain PM34 enhanced the germination% (48%), root length (76%), shoot length (75%), fresh biomass (79%), and dry biomass (87%) over to un-inoculated control under 2M NaCl level. The results of experiments depicted the ability of antagonistic bacterial strain Bacillus aryabhattai PM34 to augment salt stress tolerance when inoculated to wheat plants under saline environment.
1. Introduction
Wheat (Triticum aestivum) is one of the widely grown food crops globally with an annual production of 760 million tons in 2019–2020 [1]. It fulfills the nutritional requirements of 21% of the world’s population [2]. However, the world population is increasing day by day, and is anticipated to reach up to 9.6 billion, with food demand doubled by 2050 (https://population.un.org/wpp/2019). Moreover, wheat crop encounters various abiotic (e.g., temperature, drought, heavy metals, and salt stress) and biotic (e.g., insect attack, weed, and disease infestation) stresses during the developmental stages. These environmental stresses deteriorate the plant’s major metabolic activities, such as decreased photosynthesis, cell wall injury, the buildup of compatible solutes including soluble sugars, proline, and electrolyte leakage, all of which lead to retarded germination and growth [3]. Among all abiotic stresses, salinity stress has potential impact on limiting plant growth, photosynthesis activity, and protein synthesis, and negatively affects lipid metabolism which devastates plant growth and reduces yield production [4,5]. It has been reported that 1125 million hectares land is salt-affected worldwide, reducing average yields by 50–80% [6,7]. Besides, among biotic stresses, the phytopathogens are responsible for yield losses about 20–40% and loss of USD 40 billion worldwide [8]. Fungal pathogens including Rhizoctonia solani (R. solani) and Fusarium solani (F. solani) are the most damaging soil-born plant pathogens which cause diseases in various crops throughout the world and significantly reduce the crop yield [9,10]. Therefore, environmentally friendly strategies are critically required to minimize the massive impact of salinity on crop production.
So far, various practices are recommended to counteract the problem of soil salinity, such as saline soils being reclaimed through gypsum (CaSO4.2H2O) application This practice has some environmental and economic risks owing to its chemical nature and increasing production costs for farmers. Therefore, it is a matter of great interest to use low-cost and environmentally friendly organic materials [4,11,12,13] for reclamation of saline soils. For example, the root-associated microbes have a close relationship with one another and can play a significant role in key physiological processes, including nutrient acquisition and plant stress (biotic and abiotic) tolerance [4]. Plant growth-promoting rhizobacteria (PGPR) have been used extensively to increase plant growth and induce resistance in plants to biotic and abiotic stresses. These PGPR have significant capacity to improve sustainable crop production under abiotic and biotic stress conditions [14,15] through the stress tolerance mechanism. By altering plant physiology, the PGPR induces systemic immunity to abiotic stress factors such as salinity, drought, and heavy metals [16]. Furthermore, a few PGPR strains colonizing plant roots cause an induced systemic resistance (ISR) reaction that works systemically across the plant body and is often effective against a wide range of plant pathogens. These beneficial rhizobacteria may be an excellent choice for improving crop plant salinity and disease resistance.
Various studies have found that PGPRs have substantial impact in improving crop growth owing to salt stress resistance [4,17]. Numerous bacterial genera have been tested for their capacity to develop resistance against various stresses and to solubilize nutrients as well as bio-control potential in crop production systems [18]. However, application of the rhizobacteria from lab to greenhouse or field conditions face the prevalence of various stress factors including salinity, high temperature, and drought where the survival of the applied rhizobacteria becomes a major apprehension [19]. Thus, in such prevailing situation, these challenges can be controlled through application of capable multi-stress tolerant PGPR.
The screening of multi-stress resistant PGPR is critical for their practical use under field conditions to achieve sustainable crop production. Thus, the objectives of our present research were as follows: (1) To isolate the bacteria equipped with plant growth-promoting traits, salt stress tolerance, and bio-control capacity; (2) to identify the bacterial isolate PM34 using 16S rRNA sequencing, and to test the bacterial isolate PM34 to ameliorate abiotic (salt) stress conditions and biotic (R. solani and F. solani) stress.
2. Materials and Methods
2.1. Bacterial Strain Isolation and Fungal Strain Acquisition
The rhizosphere soil samples of potato were collected from potato cultivated in Chitral, Pakistan (35.991119° N, 71.557720° E) and the strain PM34 was isolated from the rhizosphere soil through serial dilution method [20]. Both fungus Rhizoctonia solani and Fusarium solani were obtained from Crop Disease Research Institute, NARC, Islamabad, Pakistan (33.677113° N, 73.139111° E). Pathogenicity test for the fungal strains was done by following [21].
2.2. Plant Growth-Promoting Traits of Strain PM34
Bacterial strain PM34 with 109 CFU/mL was used throughout the study. Atmospheric nitrogen fixation capability of the strain PM34 was assessed by inoculating in nitrogen-free medium [9]. Alexandrov agar medium (g L−1 glucose, 5.0; MgSO4, 0.5, CaCO3, 0.1; FeCl2, 0.006; Ca3(PO4)2, 2.0; insoluble potassium source (Feldspar), 3.0, and agar 15 with pH 7.5) was used to check the potassium solubilization activity of the strain PM34. For this purpose, the single bacterial colony of the isolate PM34 was inoculated on the Alexandrov agar medium plates in triplicate and the plates were incubated at 32 °C for 7 days (d). The halo zone surrounding the bacterial colony indicated solubilization of potassium [22]. For zinc solubilization, the respective zinc medium (g L−1, (NH4)2SO4, 1.0; glucose, 10; KCl, 0.2; MgSO4, 0.2; K2HPO4, 0.1 and agar 15 at pH 7.0, supplemented with insoluble zinc oxide or zinc carbonate), was prepared and the bacterial colony was inoculated on the plates containing the insoluble Zn medium. Spot inoculated plates were incubated at 32 °C for 7 d [23]. LB-broth medium (Luria-Bertani) amended with L-tryptophan (1.0 g L−1) was used for indole-3-acetic acid (IAA) assay. After inoculation, the samples were kept on shaking at 28 °C and 120 rpm for 3 to 4 d. The appearance of cherry-red colored ring upon addition of 5 drops Kovacs reagents was the indication of IAA production [24]. Siderophore production by bacterium was assessed using Chrome azurol S blue agar plates, which has firmed complexes of HDTMA with ferric iron that generates dark blue color. Upon bacterial inoculation, iron chelator like siderophore produces by bacteria removes iron from the dye, and the color shifts from blue to yellow-orange. The respective medium was prepared by suspending 60.5 mg Chrome azurol S in 50 mL of deionized water and was added to 10 mL iron (III) solution (1 mM FeCl3.6H2O, 10 mM HCl). The prepared solution was mixed with another solution prepared by dissolving hexadecyl trimethyl ammonium in 40 mL of deionized water. After inoculation, plates were incubated at 32 °C for 2 to 3 d. Formation of yellow-orange-colored zone surrounding the colony was an indication of siderophore production [16]. To check ammonia production, the strain PM34 was inoculated in 10 mL of peptone water medium prepared by dissolving 15 g peptone water in 1 L and incubated on shaking at 28 °C for 2 to 3 d. The appearance of dark brown color upon addition of 0.5 mL of Nessler’s reagent (HgCl2, 10 g; KI, 7 g; NaOH, 16 g; water, 100 mL with pH 13.2 ± 0.05) to test tube was indication of ammonia production [25].
2.3. Extracellular Enzymes, ACC Deaminase, and Exopolysaccharide (EPS) Production by Strain PM34
ACC-deaminase enzyme detection was assessed by utilizing ACC as the only supply of nitrogen using the procedure adopted previously [26]. The ability of the strain PM34 to produce pectinase, protease, amylase, and catalase was evaluated followed by [16]. Cellulase and chitinase activity of the strain PM34 was assessed by following [27]. Chitinase enzyme production assay was performed using a basal production media (g L−1 colloidal chitin, 3; yeast extract, 3; diammonium sulphate, 1.0; potassium dihydrogen phosphate, 1.36; hydrated magnesium sulphate, 0.5 at 7.2). For this purpose, single bacterial colony was inoculated on the plates containing the basal production medium in triplicate and the inoculated plates were incubated for 7d at 30 °C. The emergence of clear-cut halo zones around the bacterial colonies showed the production of chitinase by the bacterial isolate. To observe the production of EPS by the isolate PM34, the bacterial isolate was inoculated on the plates containing ATCC medium No.14 and the plates were incubated at 32 °C for 3 d. Slimy growth of bacteria on the ATCC plates was an indication of EPS production by the bacterial strain PM34 [4].
2.4. Molecular Profiling (Amplification of 16S rRNA, nifH, ituC, and Acds Gene
The genomic DNA extraction of strain PM34 was executed [28]. Primers used to amplify the 16S rRNA, nifH, ituC, and acds gene are summarized in Table 1. The reaction mixture consisted of 50 µL volume containing 2 µL genomic DNA, 5 µL 10 × PCR buffer, 200 µM dNTPs, 100 µM of each primer, and 1.25 U Top Taq DNA polymerase. For 16S rRNA, PCR products were supplied to Macrogen, Korea for sequencing. Homology of the sequence was determined by BLAST analysis on the NCBI database. Similar sequences were downloaded, and phylogenetic tree was constructed using MEGA 6.0 software. For amplification of iturin gene (ituC) from strain PM34, the conditions retained included 95 °C for 4 min next 40 cycles of 94 °C for 1 min, 58 °C for 1 min and 70 °C for 1 min with the last stage (extension) for 5 min at 70 °C. For nifH gene amplification, PCR reaction conditions included initial denaturation at 97 °C for 3 min; 97 °C, 55 °C for 50 s, and 72 °C for 35 s, 40 cycles; final extension 72 °C for 5 min. For ACC deaminase enzyme (acds) PCR reaction conditions included initial denaturation at 94 °C for 180 sec, subsequent denaturation for 60 s at 94 °C (30 cycles), annealing for 60 s at 58 °C, extension for 180 s at 72 °C, and a final primer extension at 72 °C for 30 s. Two percent agarose gel was used to analyze for PCR products using gel electrophoresis.
Table 1.
Primers used for the PCR detection of 16S rRNA, nifH, ituC, and acds gene in strain PM34.
2.5. Abiotic and Biotic Stress Tolerance Assay
The bacterial isolate PM34 was tested for its tolerance level against the different levels of NaCl. The isolate was inoculated in nutrient broth with two NaCl levels of 0, 1, and 2 M. The samples were incubated for 7 days at 32 °C in a shaking incubator. The optical density (OD600) of samples was calculated and a growth curve was developed to predict bacterial growth daily for 7 days [16]. The nutrient agar medium was supplemented with different heavy metal concentrations for the heavy metal tolerance (Nickel and Cadmium 100–500 mg/L). Then strain PM34 was further evaluated in nutrient broth with 100 mg/L Ni and 300 mg/L Cd and OD600 was noted over 6 days. The strain PM34 was incubated at various temperature ranges, i.e., 40–60 °C for 6 d. More than 0.2 OD600 of bacterial culture was found to be thermo-tolerant at 45 °C [29,30,31,32]. To check the antagonistic potential of strain PM34 dual culture technique was applied. A fungal disc of 5 mm was positioned on dual culture medium (PDA and LB = 1:1) and bacterial strain was streaked at an equal distance beside the fungus plug. For control, the plates were inoculated with only fungal plug. The inoculated plates were kept at 28 ± 2 °C for 7 days. Inhibition of fungal mycelium was evaluated through following equation:
I = 1 − T/C × 100
The radial expansion of the fungus in control is denoted by “C,” and the radial expansion of the fungal pathogen next to the PM34 strain is denoted by “T.”
2.6. In Vitro Experiment
Seeds of wheat (Variety Pakistan-13) were obtained from NARC, Islamabad, Pakistan (33.677113° N, 73.139111° E) and seed sterilization was carried out through soaking in 75% ethanol and 0.1% HgCl2 for 5 and 1 min, respectively. Surface sterilization of soaked seeds was done by washing thrice in distilled water [4]. The isolate PM34 was grown in LB broth medium for 3 d and harvested at log phase, centrifuged (10,000 rpm), washed with 0.80% (w/v) NaCl, and resuspended in double distilled water, and the strength of the inoculum (109 CFU/mL; OD600 = 1.0) were maintained. Then 2 mL of the bacterial culture was applied to wheat seeds for 2–4 h in respective treatments. Wheat seeds (10 seeds/plate) treated with B. aryabhattai PM34 were put in sterilized Petri plates lined with double layer of Whatman No.1 and different levels of NaCl (1M and 2M NaCl) were added to the plates. For control, just distilled water was applied at the rate of 3 mL/day. Likewise, and an additional set of Petri plates was prepared with same conditions except seed treated with 2 mL sterilized broth medium. The experiment was conducted in a growth chamber with a relative humidity of 60%, a temperature of 24 + 2 °C, and a photoperiod of 14 h per day and 10 h at night. After every 24 h interval, seed germination was assessed for 10 days. Biochemical growth parameter, i.e., chlorophyll content, on fresh weight basis after 15 days of sowing were assessed upon harvesting [33]. To estimate photosynthetic pigments (chlorophyll a, b, and carotenoids), 100 mg fresh wheat seedling leaf samples were crushed in 8 mL acetone (80%) After centrifugation at 4000 rpm for 10 min OD of the supernatant was recorded at 645, 663, and 470 nm by using UV-spectrophotometer [34,35]. Chlorophyll-a, chlorophyll-b, and carotenoids were estimated by using equation; Chlorophyll a = 1.07 (OD663) − 0.09 (OD645), Chlorophyll b = 1.77 (OD645) − 0.28 (OD663), and Carotenoids = OD470 × 4.
Electrolyte leakage of the wheat leaf was assessed by following [36]. Wheat leaves were sliced into 5 mm long pieces and put into test tubes containing 10 mL deionized water. The electrical conductivity of medium (EC1) was determined after the tubes were put on shaking at 30 °C for 4 h. Then all test tubes were autoclaved at 121 °C for 20 min and cooled to 25 °C, and final electrical conductivity (EC2) was recorded. Electrolyte leakage was calculated by using the following formula.
Electrolyte leakage = EC1/EC2 × 100
2.7. Statistical Analysis
Whole experimental data were analyzed statistically using one-way analysis of variance (ANOVA) through Statistix 8.1 package. The least significant difference (LSD) test was applied to detect differences among the data set (p ≤ 0.05). R plot software was used to carry out Principal Component Analysis (PCA) through and Pearson correlation analysis to whole data of the experiment as a single set. For PCA, built-in R function “prcomp” and “ggplot2” library was used.
3. Results
3.1. Biochemical and Molecular Characterization of the Strain PM34
Based on various plant-growth promoting characters and extracellular enzyme activities, the strain PM34 was classified as a PGPR. The strain exhibited nitrogen fixation, potassium, and zinc solubilization activity. Indole acetic acid, siderophore, and ammonia production by the strain PM34 were also positive (Figures S4, S6 and S7). The strain also exhibited positive response for several extracellular enzyme activities including ACC deaminase, pectinase, protease, amylase, catalase, cellulase, and chitinase enzyme (Table 2). The strain PM34 was identified as Bacillus aryabhattai on the basis of 16S rRNA gene sequencing and phylogenetic tree showed its relationship with its closest phylogeny (Figure S3). The bacterial strain was submitted to NCBI with the accession number MW316894. PCR was used to amplify genes (ituC and nifH and acds) potentially involved in the biosynthesis of lipopeptides, nitrogenase, and ACC deaminase enzyme, respectively. Amplicons of expected sizes were obtained with the primer pairs designed to detect these genes (Figure S1).
Table 2.
Morpho-biochemical characteristics of Bacillus aryabhattai PM34 (MW316894).
3.2. Abiotic and Biotic Stress Tolerance Assay
Salt stress assay showed that the strain Bacillus sp. PM34 has tolerance against both levels (1M-2M NaCl) of salinity stress (Figure 1a). However, the growth of bacterial strain PM34 was dramatically decreased with increase in salt stress. Moreover, the strain PM34 also revealed a significant increase in growth and tolerance at 100 mg/L Ni and 300 levels of Cd (Figure 1c). After incubation for 7 d at ideal temperature, maximum OD (600 nm) of bacterial cells was 1.61 and at 50 °C and 60 °C was 0.8 and 0.7, respectively (Figure 1d). The results of biocontrol assay showed that the growth of R. solani and F. solani was significantly minimized with inoculation of antagonistic bacterial strain PM34 in dual culture assay as compared to control (Figure 1b and Figure S5). Maximum inhibition (40.1%) was observed against R. solani as compared to control.
Figure 1.
Growth curve analysis of B. aryabhattai PM34 at various levels of salt stress (a), represents mycelial inhibition of R. solani and F. solani (b), 100 and 300 ppm nickel, and cadmium, respectively (c), various levels of heat stress (d).
3.3. Wheat Germination and Growth Responses under Salt Stress
Wheat growth and biomass including shoot and root length were substantially influenced with application of the strain PM34 under saline and normal conditions (Table 3). The decrease in growth of wheat seedling was experienced under salinity stress conditions (1.0 M–2.0 M) compared with respective controls. The influence of strain PM34 on growth parameters of wheat was more noticeable than uninoculated control treatment. The application of salt stress decreased the wheat germination significantly (p < 0.05) and maximum decrease in germination, i.e., 64% was noted under 2 M NaCl conditions. While the inoculation of strain PM34 enhanced the germination% significantly (p < 0.05) by 48% as compared to un-inoculated control under 2 M NaCl level (Table 3). In the same way, root length of wheat seedling was decreased significantly by 96% with 2 M salt. However, the inoculation of strain PM34 enhanced the root length significantly by 80% over un-inoculated control at 2 M NaCl level. The shoot length of wheat seedling was decreased significantly by 91% with 2 M salt. However, the inoculation of strain PM34 enhanced the shot length significantly by 75% over to un-inoculated control at 2 M NaCl level. Fresh and dry biomass of wheat seedling were decreased with both levels of salt stress but the maximum decrease in fresh and dry biomass was observed with 2 M salt stress. On the other hand, bacterial inoculation improved fresh and dry biomass significantly (p < 0.05) under normal and both levels of salt stress. Electrolyte leakage was significantly increased under both levels of salt stress and maximum increase (39%) in EL was observed under 2 M NaCl as compared to control. Inoculation of strain PM34 significantly (p < 0.05) decreased the membrane damage under both levels of salt stress over un-inoculated control under both levels of salt stress (Figure 2a, Figure S2).
Table 3.
Effects of B. aryabhattai PM34 on germination %, root length shoot length fresh weight and dry weight of wheat plants grown in Petri plates at two levels of salt stress.
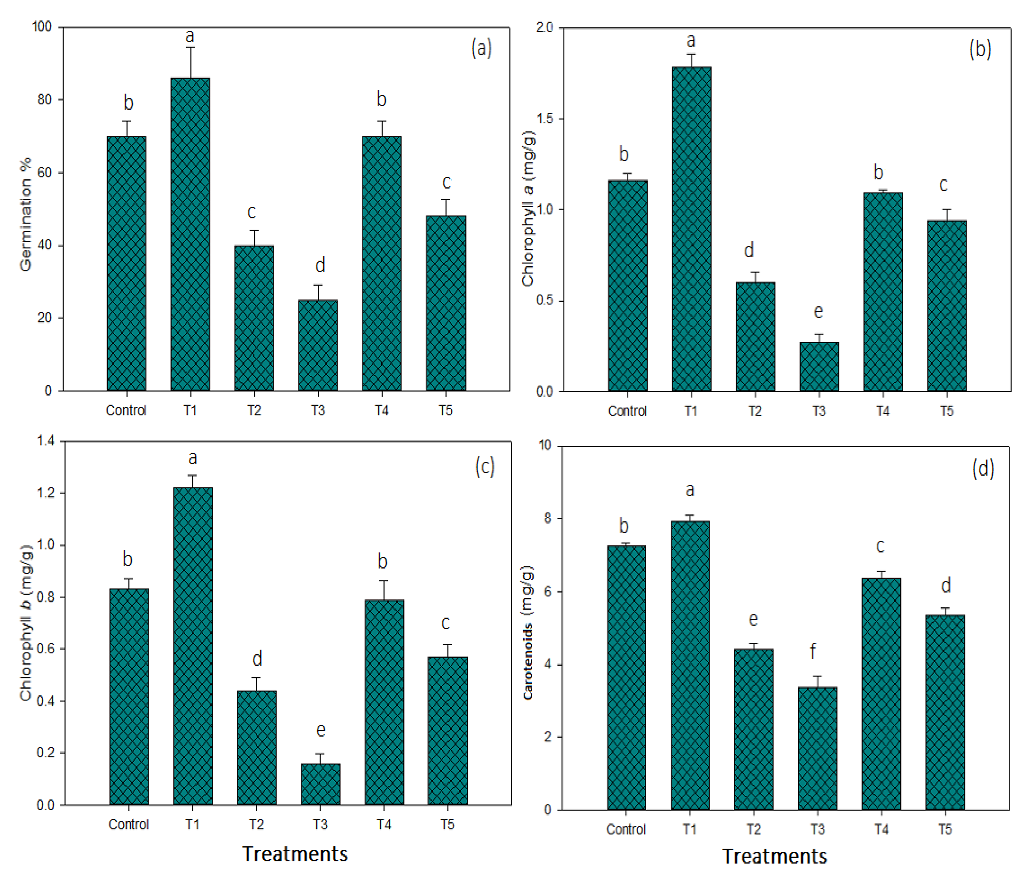
Figure 2.
Effects of B. aryabhattai PM34 on electrolyte leakage (a), chlorophyll a (b), chlorophyll b (c), and carotenoids (d), of wheat under various levels of salinity stress. Each treatment value is presented as means of three replications (n = 3) with SE. Control represents non-inoculated (control), T1 (B. aryabhattai PM34), T2 (NaCl 1M), T3 (NaCl 2M), T4 (B. aryabhattai PM34 + NaCl 1M), and T5 (B. aryabhattai PM34 + 2M NaCl). Treatment means sharing different letter(s) are significantly different at p < 0.05 level.
3.4. Chlorophyll Contents
Chlorophyll content (Chlorophyll a, b, and carotenoids) were significantly (p < 0.05) decreased under both levels of applied salt stress. However, the inoculation of strain PM34 significantly (p < 0.05) improved the leaf chlorophyll content (Figure 2). Maximum significant increase (28%) in chlorophyll a was observed with inoculation of strain PM34 as compared to control without salt stress. As the salt stress increased the chlorophyll content decreased while maximum significant decrease, i.e., 60% in chlorophyll a was observed under 2M NaCl stress without inoculation but with inoculation of strain PM34 the chlorophyll a was significantly enhanced by 72% as compared to non-inoculated control under 2M NaCl level. In the same way, chlorophyll b and carotenoids content were also decreased significantly as the salt stress increased but inoculation of strain PM34 enhanced chlorophyll b and carotenoids significantly under normal as well as both levels of salinity.
3.5. Principal Component and Pearson Correlation Analysis
The principal component analysis clusters the input and response variables into numerous clusters based on similarity and difference in their correlation and variance. PCA separated the wheat plant’s response variables under bacterial strain Bacillus aryabhattai PM34 application (Figure 3a). The chlorophyll pigments were grouped, showing their similar increasing response under bacterial strain PM34 inoculation under normal and stress conditions. Biomass parameters root shoot length and fresh and dry weight were also positively correlated. Biplot divided six treatments into separate groups, indicating that the results of these treatments for different plant response attributes differed from each other (Figure 3b). A strong correlation was observed among all studied parameters of wheat seedlings (Figure 4).
Figure 3.
The PCA biplots showing effect of strain PM34 on correlation among various growth variables of wheat seedlings (a) and various treatments (b) under two levels (1 M and 2 M NaCl) of salt stress.
Figure 4.
Pearson correlation analysis of applied treatments (strain PM34) on biomass and biochemical attributes of wheat seedling sunder two levels (1 M and 2 M NaCl) of salt stress.
4. Discussion
The selection, screening, and application of multi-stress tolerant bacterial strains would be a key solution to encounter abiotic and biotic stress challenges due to changing climate, low crop yield, and increasing food demand [17,31]. These environment-friendly approaches can also reduce the toxic influences of synthetic fertilizer and pesticide residue in the food chain [37,38,39,40]. In this study, salt (NaCl) stress was applied to in vitro germinating seedlings of wheat and examined the plant growth potential in the presence and absence of Bacillus aryabhattai PM34 under salt stress conditions. The bacterial strain B. aryabhattai PM34 was equipped with multiple plant growth-promoting (PGP) attributes including nitrogen fixation, potassium, zinc solubilization, indole acetic acid, siderophore, and ammonia production along with various extracellular enzyme activities [17,32,33]. These attributes previously appeared to promote plant growth under normal and stress conditions. Siderophore production, IAA, potassium, and zinc solubilization are beneficial for plant growth under both normal as well stressful environment [41]. Moreover, detection of ituC gene responsible for iturin, nifH gene responsible for nitrogenase, and acds gene responsible for ACC deaminase are well-known traits with the potential to promote plant growth under abiotic and biotic stress conditions [18]. These traits (ituC, nifH, and acds genes by bacterial strain PM34) are confirmed in this study, and thus these conferred the PGP activity of strain PM34.
The strain PM34 showed significant tolerance at 2 M salt stress. Isolation and characterization of salt tolerant bacterial strains have been well documented [3,4,42]. The growth curve analysis of strain PM34 demonstrates its ability to tolerate high levels of salt stress. The NaCl tolerance of Bacillus aryabhattai has been reported previously [42,43,44]. However, we demonstrated tolerance at high NaCl concentrations than previous reports. In another study at low salt concentrations (80–160 mM) Kocuria rhizophila 14ASP and Cronobacter sakazakii OF115 inoculation increased photosynthetic pigments in the wheat seedling [4].
In the in vitro experiment, the germination, plant biomass, and physiological parameters including chlorophyll content of germinating wheat seedlings were improved under normal and NaCl stress conditions upon inoculation of strain PM34. It might be due to production of IAA and exopolysaccharides by strain PM34. EPS contain 97% H2O in the form of polymer matrix, EPS has strong potential to protect seedlings under stressful environment (3). Germination and growth of plant are boosted because of such attributes under stress condition. Moreover, PGPR also enhances not only metabolic activity within seed but also provides cell adhesion, cell-cell signaling, and protection from NaCl stress [25].
When coping with single abiotic stress the main constraint in the agriculture cropping system is the prevalence of multiple stresses (biotic and abiotic), where the resilience of applied bio-inoculants is a significant apprehension [17]. The strain PM34 showed strong antagonistic activity against two fungal strain (R. solani and F. solani) that shows its potential to endure both abiotic and biotic stresses. The application of multiple-stress tolerant bacteria such as PM34 for dual purpose usage against salinity and fungal stress can play a significant role towards global food security. Results presented by [17] are in line with our results, in which the growth of sugar cane was significantly enhanced with the application of multi stress tolerant bacteria under fugal biotic stress. B. aryabhattai PM34 was positive for extracellular enzymes (protease, catalase, amylase, pectinase, cellulase, chitinase) with significant inhibition of both the fungal pathogens (F. solani and R. solani) in the present study. The strain PM34 might produce numerous secondary metabolites, which have been reported the potential source of fungal mycelial growth restriction. Both diffusible and volatile metabolites have been produced by bacteria which may act against phytopathogenic fungi by many mechanisms including minimizing germination, inhibition, and the lysis of fungal mycelium [45,46,47]. Furthermore, it has been well documented that plant growth promotion and fungal pathogen control can be achieved by the production of extracellular enzymes (protease, catalase, amylase, pectinase, cellulase, chitinase) by bacteria that can degrade the fungal cell wall [18].
Combined PCA analysis of data including percent germination, plant biomass, and chlorophyll content was carried out which depicted that the overall effect of strain PM34 on plant responses varied from each other and control. Categorization of plant biomass with chlorophyll content in the PCA depicted an increasing response under bacterial treatment. The application of multivariate analysis has acquired considerable significance to find possible trends and relationships among data sets [36,37]. It was also suggested that under particular situations, the common statistical investigation may not enough to find significance among different treatments and variables but multivariate analysis like PCA analysis separates data sets on the basis of their overall effect to various response variables.
The current investigation opens potential ways for scientists to explore the genetic mechanisms implicated in the induction of salt tolerance by strain PM34 in germinating wheat seedlings. A study on expression profiling of stress-responsive genes in wheat in response to applied bacterial inoculation might be helping to understand the molecular cross-talk between plants and bacterial strains. Treatment with PGPR promotes different molecular mechanisms in plants to safeguard them not only from salt stress but also from soil-borne diseases and increase plant growth and development.
5. Conclusions
Inoculation of B. aryabhattai strain PM34 to wheat seedlings under salt stress resulted in a significant reduction of toxic ions, and electrolyte leakage whereas a positive impact on seed germination, biomass, and chlorophyll pigments. The isolated strain PM34 was equipped with various PGP traits including nitrogen fixation, ACC deaminase, potassium, zinc solubilization, and indole acetic acid as well as extracellular enzyme activities. Some of the traits such as ituC, nifH, and acds were confirmed by the PCR. The strain PM34 showed significant tolerance at 2 M salt stress (NaCl) and inhibited the pathogenic activity significantly by retarding the mycelial growth of R. solani and F. solani. It could be concluded that in vitro characterization of B. aryabhattai PM34 and seedling experiment accomplished its role to improve wheat growth under fungal and salt stress.
Supplementary Materials
The following are available online at https://www.mdpi.com/article/10.3390/su13148030/s1, Figure S1: PCR product showing amplified iturin (A), nifH (B) and acds (C) gene fragment of bacterial strain PM34 on 1.5% agarose electrophoresis. Lanes: M, Molecular mass standards, Figure S2. Effects of strain PM34 on growth of wheat seedlings under the 2molar NaCl stress, Figure S3. The evolutionary history was constructed by Neighbor-Joining method. Bootstrap test—800 replicates, Figure S4. Gram staining results of strain PM34, Figure S5. Mycelial inhibition of F. solani (A) and R. solani (B) in dual culture experiment by strain PM34, Figure S6. Siderophore production by strain PM34, Figure S7. Zinc solubilization by strain PM34.
Author Contributions
Writing—original draft, Investigation, Conceptualization, S.M.; Funding acquisition, A.A.K.; Funding acquisition, F.S.; Writing—review & editing, M.T.; Methodology, T.S.; Validation, M.F.H.M.; Resources, P.K.; Funding acquisition, M.N.A.; Project administration, Supervision, H.J.C. All authors have read and agreed to the published version of the manuscript.
Funding
This work was supported by King Saud University: Project Number (RSP-2021/180), King Saud University, Riyadh, Saudi Arabia.
Institutional Review Board Statement
Not applicable.
Informed Consent Statement
Not applicable.
Data Availability Statement
Not Applicable.
Acknowledgments
The authors would like to extend their sincere appreciation to the Researchers Supporting Project Number (RSP-2021/180), King Saud University, Riyadh, Saudi Arabia.
Conflicts of Interest
The authors declare no conflict of interest.
References
- Jasrotia, P.; Kashyap, P.L.; Bhardwaj, A.K.; Kumar, S.; Singh, G.P. Scope and applications of nanotechnology for wheat production: A review of recent advances. Wheat Barley Res. 2018, 10, 1–14. [Google Scholar]
- Tsvetanov, T.; Qi, L.; Mukherjee, D.; Shah, F.; Bravo-Ureta, B. Climate change and land use in Southeastern US: Did the “dumb farmer” get it wrong? Clim. Chang. Econ. 2016, 7, 1650005. [Google Scholar] [CrossRef]
- Tiwari, P.; Indoliya, Y.; Singh, P.K.; Singh, P.C.; Chauhan, P.S.; Pande, V.; Chakrabarty, D. Role of dehydrin-FK506-binding protein complex in enhancing drought tolerance through the ABA-mediated signaling pathway. Environ. Exp. Bot. 2019, 158, 136–149. [Google Scholar] [CrossRef]
- Afridi, M.S.; Mahmood, T.; Salam, A.; Mukhtar, T.; Mehmood, S.; Ali, J.; Chaudhary, H.J. Induction of tolerance to salinity in wheat genotypes by plant growth promoting endophytes: Involvement of ACC deaminase and antioxidant enzymes. Plant Physiol. Biochem. 2019, 139, 569–577. [Google Scholar] [CrossRef]
- Hashem, A.; Abd_Allah, E.F.; Alqarawi, A.A.; A.l-Huqail, A.A.; Wirth, S.; Egamberdieva, D. The interaction between arbuscular mycorrhizal fungi and endophytic bacteria enhances plant growth of Acacia gerrardii under salt stress. Front. Microbiol. 2016, 7, 1089. [Google Scholar] [CrossRef] [PubMed] [Green Version]
- Bruinsma, J. (Ed.) World Agriculture: Towards 2015/2030: An FAO Perspective; Earthscan: London, UK, 2003. [Google Scholar]
- Panta, S.; Flowers, T.J.; Lane, P.; Doyle, R.; Haros, G.; Shabala, S. Halophyte agriculture: Success stories. Environ. Exp. Bot. 2014, 107, 71–83. [Google Scholar] [CrossRef]
- Figueroa, M.; Hammond-Kosack, K.E.; Solomon, P.S. A review of wheat diseases—A field perspective. Mol. Plant Pathol. 2018, 19, 1523–1536. [Google Scholar] [CrossRef] [PubMed]
- Ben-Khedher, S.B.; Mejdoub-Trabelsi, B.; Tounsi, S. Biological potential of Bacillus subtilis V26 for the control of Fusarium wilt and tuber dry rot on potato caused by Fusarium species and the promotion of plant growth. Biol. Control 2021, 152, 104444. [Google Scholar] [CrossRef]
- Mejdoub-Trabelsi, B.; Touihri, S.; Ammar, N.; Riahi, A.; Daami-Remadi, M. Effect of chitosan for the control of potato diseases caused by Fusarium species. J. Phytopathol. 2020, 168, 18–27. [Google Scholar] [CrossRef]
- De-Oliveira, D.F.; de Sousa Lopes, L.; Gomes-Filho, E. Metabolic changes associated with differential salt tolerance in sorghum genotypes. Planta 2020, 252, 1–18. [Google Scholar] [CrossRef]
- Zainab, N.; Din, B.U.; Javed, M.T.; Afridi, M.S.; Mukhtar, T.; Kamran, M.A.; Chaudhary, H.J. Deciphering metal toxicity responses of flax (Linum usitatissimum L.) with exopolysaccharide and ACC-deaminase producing bacteria in industrially contaminated soils. Plant Physiol. Biochem. 2020, 152, 90–99. [Google Scholar] [CrossRef] [PubMed]
- Amin, I.; Rasool, S.; Mir, M.A.; Wani, W.; Masoodi, K.Z.; Ahmad, P. Ion homeostasis for salinity tolerance in plants: A molecular approach. Physiol. Plant. 2021, 171, 578–594. [Google Scholar] [CrossRef]
- Egamberdieva, D.; Davranov, K.; Wirth, S.; Hashem, A.; Abd_Allah, E.F. Impact of soil salinity on the plant-growth–promoting and biological control abilities of root associated bacteria. Saudi J. Biol. Sci. 2017, 24, 1601–1608. [Google Scholar] [CrossRef]
- Egamberdieva, D.; Wirth, S.; Bellingrath-Kimura, S.D.; Mishra, J.; Arora, N.K. Salt-tolerant plant growth promoting rhizobacteria for enhancing crop productivity of saline soils. Front. Microbiol. 2019, 10, 2791. [Google Scholar] [CrossRef] [Green Version]
- Ahmad, I.; Akhtar, M.J.; Mehmood, S.; Akhter, K.; Tahir, M.; Saeed, M.F.; Hussain, S. Combined application of compost and Bacillus sp. CIK-512 ameliorated the lead toxicity in radish by regulating the homeostasis of antioxidants and lead. Ecotoxicol. Environ. Saf. 2018, 148, 805–812. [Google Scholar] [CrossRef]
- Amna, S.S.; Xia, Y.; Kamran, M.A.; Javed, M.T.; Sultan, T.; Chaudhary, H.J. Mechanistic elucidation of germination potential and growth of wheat inoculated with exopolysaccharide and ACC-deaminase producing Bacillus strains under induced salinity stress. Ecotoxicol. Environ. Saf. 2019, 183, 109466. [Google Scholar] [CrossRef] [PubMed]
- Amna, X.Y.; Farooq, M.A.; Javed, M.T.; Kamran, M.A.; Mukhtar, T.; Ali, J.; Chaudhary, H.J. Multi-stress tolerant PGPR Bacillus xiamenensis PM14 activating sugarcane (Saccharum officinarum L.) red rot disease resistance. Plant Physiol. Biochem. 2020, 151, 640–649. [Google Scholar] [CrossRef]
- Kumar, A.; Singh, V.K.; Tripathi, V.; Singh, P.P.; Singh, A.K. Plant growth-promoting rhizobacteria (PGPR): Perspective in agriculture under biotic and abiotic stress. In Crop Improvement through Microbial Biotechnology; Elsevier: Amsterdam, The Netherlands, 2018; pp. 333–342. [Google Scholar]
- Marzan, L.W.; Hossain, M.; Mina, S.A.; Akter, Y.; Chowdhury, A.M.A. Isolation and biochemical characterization of heavy-metal resistant bacteria from tannery effluent in Chittagong city, Bangladesh: Bioremediation viewpoint. Egypt. J. Aquat. Res. 2017, 43, 65–74. [Google Scholar] [CrossRef]
- Mejdoub-Trabelsi, B.; Jabnoun-Khiareddine, H.; Daami-Remadi, M. Effect of Fusarium species and temperature of storage on the susceptibility ranking of potato cultivars to tuber dry rot. Pest. Technol. 2012, 6, 41–46. [Google Scholar]
- Parmar, P.; Sindhu, S.S. Potassium solubilization by rhizosphere bacteria: Influence of nutritional and environmental conditions. J. Microbiol. Res. 2013, 3, 25–31. [Google Scholar]
- Gontia-Mishra, I.; Sapre, S.; Tiwari, S. Zinc solubilizing bacteria from the rhizosphere of rice as prospective modulator of zinc biofortification in rice. Rhizosphere 2017, 3, 185–190. [Google Scholar] [CrossRef]
- Tahir, M.; Khalid, U.; Khan, M.B.; Shahid, M.; Ahmad, I.; Akram, M.; Ahmad, N. Auxin and 1-Aminocyclopropane-1-carboxylate deaminase activity exhibiting rhizobacteria improved maize quality and productivity under drought conditions. Int. J. Agric. Biol. 2019, 21, 943–954. [Google Scholar]
- Dinesh, R.; Anandaraj, M.; Kumar, A.; Bini, Y.K.; Subila, K.P.; Aravind, R. Isolation, characterization, and evaluation of multi-trait plant growth promoting rhizobacteria for their growth promoting and disease suppressing effects on ginger. Microbiol. Res. 2015, 173, 34–43. [Google Scholar] [CrossRef] [PubMed]
- Maqbool, S.; Amna, A.; Mehmood, S.; Suhaib, M.; Sultan, T.; Munis, M.F.H. Interaction Of Acc Deaminase And Antioxidant Enzymes To Induce Drought Tolerance In Enterobacter Cloacae 2wc2 Inoculated Maize Genotypes. Pak. J. Bot. 2021, 53, 3. [Google Scholar] [CrossRef]
- Hjort, K.; Presti, I.; Elväng, M.F.; Sjöling, S. Bacterial chitinase with phytopathogen control capacity from suppressive soil revealed by functional metagenomics. Appl. Microbiol. Biotechnol. 2014, 98, 2819–2828. [Google Scholar] [CrossRef] [PubMed] [Green Version]
- Khan, N.; Bano, A. Role of plant growth promoting rhizobacteria and Ag-nano particle in the bioremediation of heavy metals and maize growth under municipal wastewater irrigation. Int. J. Phytoremediation 2016, 18, 211–221. [Google Scholar] [CrossRef]
- Mukhtar, T.; Smith, D.; Sultan, T.; Seleiman, M.F.; Alsadon, A.A.; Ali, S.; Saad, M.A. Mitigation of heat stress in Solanum lycopersicum L. by ACC-deaminase and exopolysaccharide producing Bacillus cereus: Effects on biochemical profiling. Sustainability 2020, 12, 2159. [Google Scholar] [CrossRef] [Green Version]
- Zehr, J.P.; McREYNOLDS, L.A. Use of degenerate oligonucleotides for amplification of the nifH gene from the marine cyanobacterium Trichodesmium thiebautii. Appl. Environ. Microbiol. 1989, 55, 2522–2526. [Google Scholar] [CrossRef] [Green Version]
- Ferreira, C.M.; Soares, H.M.; Soares, E.V. Promising bacterial genera for agricultural practices: An insight on plant growth-promoting properties and microbial safety aspects. Sci. Total Environ. 2019, 682, 779–799. [Google Scholar] [CrossRef] [Green Version]
- Ali, S.Z.; Sandhya, V.; Grover, M.; Kishore, N.; Rao, L.V.; Venkateswarlu, B. Pseudomonas sp. strain AKM-P6 enhances tolerance of sorghum seedlings to elevated temperatures. Biol. Fertil. Soils 2009, 46, 45–55. [Google Scholar] [CrossRef]
- Din, B.U.; Rafique, M.; Javed, M.T.; Kamran, M.A.; Mehmood, S.; Khan, M.; Chaudhary, H.J. Assisted phytoremediation of chromium spiked soils by Sesbania Sesban in association with Bacillus xiamenensis PM14: A biochemical analysis. Plant Physiol. Biochem. 2020, 146, 249–258. [Google Scholar] [CrossRef]
- Muneer, M.A.; Wang, P.; Zhang, J.; Li, Y.; Munir, M.Z.; Ji, B. Formation of common mycorrhizal networks significantly affect plant biomass and soil properties of the neighboring plants under various nitrogen levels. Microorganisms 2020, 8, 230. [Google Scholar] [CrossRef] [Green Version]
- Muneer, M.A.; Wang, P.; Lin, C.; Ji, B. Potential role of common mycorrhizal networks in improving plant growth and soil physicochemical properties under varying nitrogen levels in a grassland ecosystem. Glob. Ecol. Conserv. 2020, 24, e01352. [Google Scholar] [CrossRef]
- Natasha, S.M.; Niazi, N.K.; Khalid, S.; Murtaza, B.; Bibi, I.; Rashid, M.I. A critical review of selenium biogeochemical behavior in soil-plant system with an inference to human health. Environ. Pollut. 2018, 234, 915–934. [Google Scholar] [CrossRef] [PubMed]
- Shahid, M.; Farooq, A.B.U.; Rabbani, F.; Khalid, S.; Dumat, C. Risk assessment and biophysiochemical responses of spinach to foliar application of lead oxide nanoparticles: A multivariate analysis. Chemosphere 2020, 245, 125605. [Google Scholar]
- Duan, J.; Müller, K.M.; Charles, T.C.; Vesely, S.; Glick, B.R. 1-aminocyclopropane-1-carboxylate (ACC) deaminase genes in rhizobia from southern Saskatchewan. Microb. Ecol. 2009, 57, 423–436. [Google Scholar] [CrossRef] [PubMed]
- Ahanger, M.A.; Aziz, U.; Alsahli, A.A.; Alyemeni, M.N.; Ahmad, P. Influence of exogenous salicylic acid and nitric oxide on growth, photosynthesis, and ascorbate-glutathione cycle in salt stressed Vigna angularis. Biomolecules 2020, 10, 42. [Google Scholar] [CrossRef] [Green Version]
- Ali, J.; Ali, F.; Ahmad, I.; Rafique, M.; Munis, M.F.H.; Hassan, S.W.; Chaudhary, H.J. Mechanistic elucidation of germination potential and growth of Sesbania sesban seedlings with Bacillus anthracis PM21 under heavy metals stress: An in vitro study. Ecotoxicol. Environ. Saf. 2021, 208, 111769. [Google Scholar] [CrossRef]
- Yoo, S.J.; Weon, H.Y.; Song, J.; Sang, M.K. Induced tolerance to salinity stress by halotolerant bacteria Bacillus aryabhattai H19-1 and B. mesonae H20-5 in tomato plants. J. Microbiol. Biotechnol. 2019, 29, 1124–1136. [Google Scholar] [CrossRef]
- Alam, P.; Albalawi, T.H.; Altalayan, F.H.; Bakht, M.A.; Ahanger, M.A.; Raja, V.; Ahmad, P. 24-Epibrassinolide (EBR) confers tolerance against NaCl stress in soybean plants by up-regulating antioxidant system, ascorbate-glutathione cycle, and glyoxalase system. Biomolecules 2019, 9, 640. [Google Scholar] [CrossRef] [Green Version]
- Kaya, C.; Higgs, D.; Ashraf, M.; Alyemeni, M.N.; Ahmad, P. Integrative roles of nitric oxide and hydrogen sulfide in melatonin-induced tolerance of pepper (Capsicum annuum L.) plants to iron deficiency and salt stress alone or in combination. Physiol. Plant. 2020, 168, 256–277. [Google Scholar] [CrossRef] [PubMed] [Green Version]
- Ahmad, P.; Ahanger, M.A.; Alam, P.; Alyemeni, M.N.; Wijaya, L.; Ali, S.; Ashraf, M. Silicon (Si) supplementation alleviates NaCl toxicity in mung bean [Vigna radiata (L.) Wilczek] through the modifications of physio-biochemical attributes and key antioxidant enzymes. J. Plant Growth Reg. 2019, 38, 70–82. [Google Scholar] [CrossRef]
- Bibi, F.; Yasir, M.; Al-Sofyani, A.; Naseer, M.I.; Azhar, E.I. Antimicrobial activity of bacteria from marine sponge Suberea mollis and bioactive metabolites of Vibrio sp. EA348. Saudi J. Biol. Sci. 2020, 27, 1139–1147. [Google Scholar] [CrossRef]
- Haidar, R.; Roudet, J.; Bonnard, O.; Dufour, M.C.; Corio-Costet, M.F.; Fert, M.; Fermaud, M. Screening and modes of action of antagonistic bacteria to control the fungal pathogen Phaeomoniella chlamydospora involved in grapevine trunk diseases. Microbiol. Res. 2017, 192, 172–184. [Google Scholar] [CrossRef]
- Cray, J.A.; Houghton, J.D.; Cooke, L.R.; Hallsworth, J.E. A simple inhibition coefficient for quantifying potency of biocontrol agents against plant-pathogenic fungi. Biol. Control. 2015, 81, 93–100. [Google Scholar] [CrossRef]
Publisher’s Note: MDPI stays neutral with regard to jurisdictional claims in published maps and institutional affiliations. |
© 2021 by the authors. Licensee MDPI, Basel, Switzerland. This article is an open access article distributed under the terms and conditions of the Creative Commons Attribution (CC BY) license (https://creativecommons.org/licenses/by/4.0/).



