Health Risk and Water Quality Assessment of Surface Water in an Urban River of Bangladesh
Abstract
1. Introduction
2. Materials and Methods
2.1. Study Area
2.2. Sampling
2.3. In-Situ Measurement of Physical Parameters
2.4. Sample Processing and Analysis
2.5. Quality Control
2.6. Risk Assessment of Metals in Water
2.6.1. Hazard Quintet and Hazard Index
2.6.2. Carcinogenic Risks
2.6.3. Metal Pollution Index (MPI)
2.7. Statistical Methods
3. Results and Discussions
3.1. Analysis of Physical Parameters
3.2. Concentration of Heavy Metals in Water and their Spatial Variability in the River
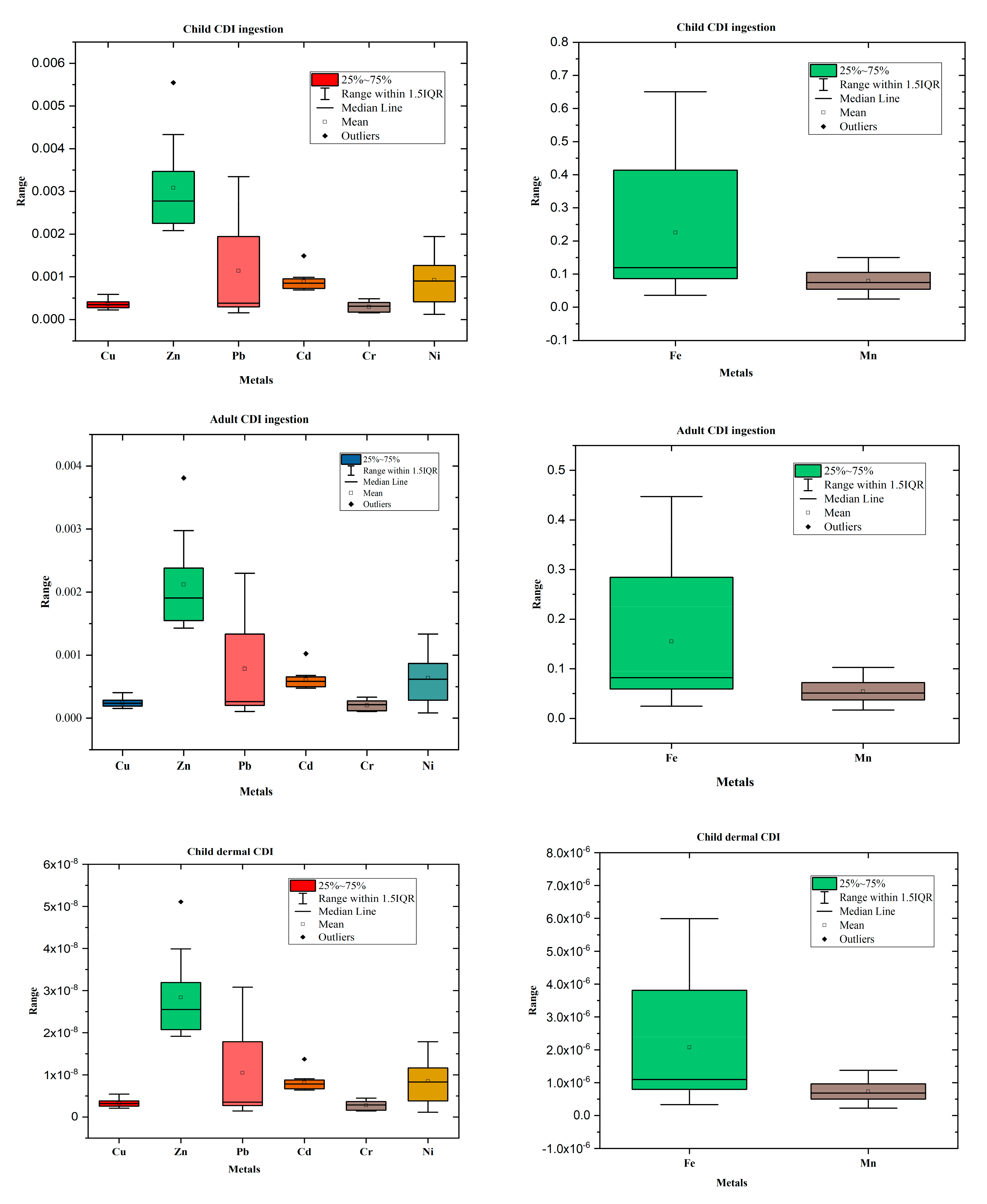
3.3. Health Risk Assessment of Heavy Metals
3.4. Cancer Risk Assessment
3.5. Metal Pollution Index (MPI)
3.6. Source Identification
4. Conclusions
Author Contributions
Funding
Institutional Review Board Statement
Informed Consent Statement
Data Availability Statement
Acknowledgments
Conflicts of Interest
References
- Bhuyan, M.S.; Bakar, M.A.; Akhtar, A.; Hossain, M.B.; Ali, M.M.; Islam, M.S. Heavy Metal Contamination in Surface Water and Sediment of the Meghna River, Bangladesh. Environ. Nanotechnol. Monit. Manag. 2017, 8, 273–279. [Google Scholar] [CrossRef]
- Kazi, T.G.; Afridi, H.I.; Kazi, N.; Jamali, M.K.; Arain, M.B.; Jalbani, N.; Kandhro, G.A. Copper, Chromium, Manganese, Iron, Nickel, and Zinc Levels in Biological Samples of Diabetes Mellitus Patients. Biol. Trace Elem. Res. 2008, 122, 1–18. [Google Scholar] [CrossRef] [PubMed]
- Salam, M.A.; Kabir, M.M.; Yee, L.F.; Khan, M.S. Water Quality Assessment of Perak River, Malaysia. Pollution 2019, 5, 637–648. [Google Scholar]
- Salam, M.A.; Fazlin, S.; Othman, B.; Khan, S.; Kabir, M.M.; Bashundhra, R.A. Assessment of Water Quality and Sedimentary Nutrient Status of Tumpat Mangrove Swamp Forest at Kelantan Delta, Malaysia. BJoST 2019, 1, 21–28. [Google Scholar]
- Caruso, B.S.; Bishop, M. Seasonal and Spatial Variation of Metal Loads from Natural Flows in the Upper Tenmile Creek Watershed, Montana. Mine Water Environ. 2009, 28, 166–181. [Google Scholar] [CrossRef]
- Giri, S.; Singh, A.K. Assessment of Surface Water Quality Using Heavy Metal Pollution Index in Subarnarekha River, India. Water Qual. Expo. Health 2014, 5, 173–182. [Google Scholar] [CrossRef]
- Islam, M.S.; Ahmed, M.K.; Raknuzzaman, M.; Habibullah-Al-Mamun, M.; Islam, M.K. Heavy Metal Pollution in Surface Water and Sediment: A Preliminary Assessment of an Urban River in a Developing Country. Ecol. Indic. 2015, 48, 282–291. [Google Scholar] [CrossRef]
- Zhang, Y.; Guo, F.; Meng, W.; Wang, X.Q. Water Quality Assessment and Source Identification of Daliao River Basin Using Multivariate Statistical Methods. Environ. Monit. Assess. 2009, 152, 105–121. [Google Scholar] [CrossRef]
- Nazeer, S.; Hashmi, M.Z.; Malik, R.N. Heavy Metals Distribution, Risk Assessment and Water Quality Characterization by Water Quality Index of the River Soan, Pakistan. Ecol. Indic. 2014, 43, 262–270. [Google Scholar] [CrossRef]
- Jain, C.K. Metal Fractionation Study on Bed Sediments of River Yamuna, India. Water Res. 2004, 38, 569–578. [Google Scholar] [CrossRef]
- Wang, J.; Liu, G.; Lu, L.; Zhang, J.; Liu, H. Geochemical Normalization and Assessment of Heavy Metals (Cu, Pb, Zn, and Ni) in Sediments from the Huaihe River, Anhui, China. Catena 2015, 129, 30–38. [Google Scholar] [CrossRef]
- Liu, W.; Ma, L.; Li, Y.; Abuduwaili, J.; Uulu, S.A. Heavy Metals and Related Human Health Risk Assessment for River Waters in the Issyk−kul Basin, Kyrgyzstan, Central Asia. Int. J. Environ. Res. Public Health 2020, 17, 3506. [Google Scholar] [CrossRef]
- Singh, U.K.; Kumar, B. Pathways of Heavy Metals Contamination and Associated Human Health Risk in Ajay River Basin, India. Chemosphere 2017, 174, 183–199. [Google Scholar] [CrossRef]
- Emenike, P.G.C.; Tenebe, I.; Ogarekpe, N.; Omole, D.; Nnaji, C. Probabilistic Risk Assessment and Spatial Distribution of Potentially Toxic Elements in Groundwater Sources in Southwestern Nigeria. Sci. Rep. 2019, 9, 15920. [Google Scholar] [CrossRef]
- Islam, A.; Islam, H.; Mia, M.U.; Khan, R.; Habib, M.A.; Bodrud-Doza, M.; Siddique, M.; Chu, R. Co-Distribution, Possible Origins, Status and Potential Health Risk of Trace Elements in Surface Water Sources from Six Major River Basins, Bangladesh. Chemosphere 2020, 249, 126180. [Google Scholar] [CrossRef]
- Islam, A.T.; Shen, S.; Bodrud-Doza, M.; Rahman, M.A.; Das, S. Assessment of trace elements of groundwater and their spatial distribution in Rangpur district, Bangladesh. Arabian J. Geosci. 2017, 10, 95. [Google Scholar] [CrossRef]
- US Environmental Protection Agency (US EPA). Risk Assessment Guidance for Superfund, Volume I: Human Health Evaluation Manual (Part A); Office of Emergency and Remedial Response: Washington, DC, USA, 1989.
- Li, K.; Cui, S.; Zhang, F.; Hough, R.; Fu, Q.; Zhang, Z.; Gao, S.; An, L. Concentrations, Possible Sources and Health Risk of Heavy Metals in Multi-Media Environment of the Songhua River, China. Int. J. Environ. Res. Public Health 2020, 17, 1766. [Google Scholar] [CrossRef]
- Karim, M.; Das, S.K.; Paul, S.C.; Islam, M.F.; Hossain, M.S. Water Quality Assessment of Karrnaphuli River, Bangladesh Using Multivariate Analysis and Pollution Indices. Asian J. Environ. Ecol. 2018, 7, 1–11. [Google Scholar] [CrossRef]
- Ahmed, A.S.S.; Sultana, S.; Habib, A.; Ullah, H.; Musa, N.; Hossain, M.B.; Rahman, M.M.; Sarker, M.S.I. Bioaccumulation of Heavy Metals in Some Commercially Important Fishes from a Tropical River Estuary Suggests Higher Potential Health Risk in Children than Adults. PLoS ONE 2019, 14, e0219336. [Google Scholar] [CrossRef]
- Rahman, M.S.; Hossain, M.B.; Babu, S.M.O.F.; Rahman, M.; Ahmed, A.S.S.; Jolly, Y.N.; Choudhury, T.R.; Begum, B.A.; Kabir, J.; Akter, S. Source of Metal Contamination in Sediment, Their Ecological Risk, and Phytoremediation Ability of the Studied Mangrove Plants in Ship Breaking Area, Bangladesh. Mar. Pollut. Bull. 2019, 141, 137–146. [Google Scholar] [CrossRef]
- Bodrud-Doza, M.D.; Islam, A.T.; Ahmed, F.; Das, S.; Saha, N.; Rahman, M.S. Characterization of Groundwater Quality using Water Evaluation Indices, Multivariate Statistics and Geostatistics in Central Bangladesh. Water Sci. 2016, 30, 19–40. [Google Scholar] [CrossRef]
- Rahman, M.M.; Islam, A.R.M.T.; Shammi, M. Emerging Trends of Water Quality Monitoring and Applications of Multivariate Tools. In Water Engineering Modeling and Mathematic Tools; Samui, P., Bonakdari, H., Deo, R., Eds.; Elsevier Science Publishing Co Inc.: New York, NY, USA, 2021. [Google Scholar] [CrossRef]
- Wu, B.; Zhao, D.Y.; Jia, H.Y.; Zhang, Y.; Zhang, X.X.; Cheng, S.P. Preliminary Risk Assessment of Trace Metal Pollution in Surface Water from Yangtze River in Nanjing Section, China. Bull. Environ. Contam. Toxicol. 2009, 82, 405–409. [Google Scholar] [CrossRef]
- US Environmental Protection Agency (US EPA). Quantitative Uncertainty Analysis of Super Fund Residential Risk Path Way Models for Soil and Ground Water: White Paper; Office of Health and Environmental Assessment: Oak Ridge, TN, USA, 1996.
- De Miguel, E.; Iribarren, I.; Chacón, E.; Ordoñez, A.; Charlesworth, S. Risk-Based Evaluation of the Exposure of Children to Trace Elements in Playgrounds in Madrid (Spain). Chemosphere 2007, 66, 505–513. [Google Scholar] [CrossRef]
- US Environmental Protection Agency (US EPA). Supplemental Guidance for Developing Soil Screening Levels for Superfund Sites, Appendix D-Dispersion Factors Calculations; US Environmental Protection Agency: Washington, DC, USA, 2002.
- US Environmental Protection Agency (US EPA). Human Health Evaluation Manual, Supplemental Guidance, Standard Default Exposure Factors; US Environmental Protection Agency: Washington, DC, USA, 1991.
- US Environmental Protection Agency (US EPA). Exposure Factors Handbook; United States Environmental Protection Agency: Washington, DC, USA, 2011. Available online: http://cfpub.epa.gov/ncea/risk/recordisplay.cfm.deid.236252 (accessed on 10 September 2020).
- US Environmental Protection Agency (US EPA). Integrated Risk Information System (IRIS); United States Environmental Protection Agency: Washington, DC, USA, 2010. Available online: http://www.Epa.Gov/irrris/index.infml (accessed on 12 September 2020).
- US Environmental Protection Agency (US EPA). ENERGY STAR Overview of 2006 Achievements; United States Environmental Protection Agency: Washington, DC, USA, 2006.
- WHO. Guidelines for Drinking-Water Quality, 3rd ed.; Word Health Organanization: Geneva, Switzerland, 2006. [Google Scholar]
- Chen, S.C.; Liao, C.M. Health Risk Assessment on Human Exposed to Environmental Polycyclic Aromatic Hydrocarbons Pollution Sources. Sci. Total Environ. 2006, 366, 112–123. [Google Scholar] [CrossRef]
- Zhang, L.; Mo, Z.; Qin, J.; Li, Q.; Wei, Y.; Ma, S.; Xiong, Y.; Liang, G.; Qing, L.; Chen, Z.; et al. Change of Water Sources Reduces Health Risks from Heavy Metals via Ingestion of Water, Soil, and Rice in a Riverine Area, South China. Sci. Total Environ. 2015, 530–531, 163–170. [Google Scholar] [CrossRef]
- Bhattacharya, B.D.; Nayak, D.C.; Sarkar, S.K.; Biswas, S.N.; Rakshit, D.; Ahmed, M.K. Distribution of Dissolved Trace Metals in Coastal Regions of Indian Sundarban Mangrove Wetland: A Multivariate Approach. J. Clean. Prod. 2015, 96, 233–243. [Google Scholar] [CrossRef]
- Department of Public Health Engineering (DPHE). Available online: http://old.dphe.gov.bd/index.php?option=com_content&view=article&id=125&Itemid=133 (accessed on 15 September 2020).
- Mitra, S.; Ghosh, S.; Satpathy, K.K.; Bhattacharya, B.D.; Sarkar, S.K.; Mishra, P.; Raja, P. Water Quality Assessment of the Ecologically Stressed Hooghly River Estuary, India: A Multivariate Approach. Mar. Pollut. Bull. 2018, 126, 592–599. [Google Scholar] [CrossRef]
- Reza, R.; Singh, G. Heavy Metal Contamination and Its Indexing Approach for River Water. Int. J. Environ. Sci. Technol. 2010, 7, 785–792. [Google Scholar] [CrossRef]
- WHO. Water, Sanitation and Hygiene Links to Health Facts and Figures; World Health Organization: Geneva, Switzerland, 2004. [Google Scholar]
- Mahato, M.K.; Singh, P.K.; Tiwari, A.K. Evaluation of Metals in Mine Water and Assessment of Heavy Metal Pollution Index of East Bokaro Coalfield Area, Jharkhand, India. Int. J. Earth Sci. Eng. 2014, 7, 1611–1618. [Google Scholar]
- Khang, H.V.; Hatayama, M.; Inoue, C. Arsenic Accumulation by Aquatic Macrophyte Coontail (Ceratophyllum Demersum L.) Exposed to Arsenite, and the Effect of Iron on the Uptake of Arsenite and Arsenate. Environ. Exp. Bot. 2012, 83, 47–52. [Google Scholar] [CrossRef]
- Wu, X.; Jia, Y.; Zhu, H. Bioaccumulation of Cadmium Bound to Ferric Hydroxide and Particulate Organic Matter by the Bivalve M. Meretrix. Environ. Pollut. 2012, 165, 133–139. [Google Scholar] [CrossRef] [PubMed]
- Malm, O.; Pfeiffer, W.C.; Fiszman, M.; Azcue, J.M. Transport and Availability of Heavy Metals in the Paraiba Do Sul-Guandu River System, Rio de Janeiro State, Brazil. Sci. Total Environ. 1988, 75, 201–209. [Google Scholar] [CrossRef]
- Subrahmanyam, K.; Yadaiah, P. Assessment of the Impact of Industrial Effluents on Water Quality in Patancheru and Environs. India. Hydrogeol. 2001, 9, 297–312. [Google Scholar] [CrossRef]
- Lee, J.M.; Boyle, E.A.; Echegoyen-Sanz, Y.; Fitzsimmons, J.N.; Zhang, R.; Kayser, R.A. Analysis of Trace Metals (Cu, Cd, Pb, and Fe) in Seawater Using Single Batch Nitrilotriacetate Resin Extraction and Isotope Dilution Inductively Coupled Plasma Mass Spectrometry. Anal. Chim. Acta 2011, 686, 93–101. [Google Scholar] [CrossRef] [PubMed]
- Klavinš, M.; Briede, A.; Rodinov, V.; Kokorite, I.; Parele, E.; Klavina, I. Heavy Metals in Rivers of Latvia. Sci. Total Environ. 2000, 262, 175–183. [Google Scholar] [CrossRef]
- Buragohain, M.; Bhuyan, B.; Sarma, H.P. Seasonal Variations of Lead, Arsenic, Cadmium and Aluminium Contamination of Groundwater in Dhemaji District, Assam, India. Environ. Monit. Assess. 2010, 170, 345–351. [Google Scholar] [CrossRef] [PubMed]
- Wuana, R.A.; Okieimen, F.E. Heavy Metals in Contaminated Soils: A Review of Sources, Chemistry, Risks and Best Available Strategies for Remediation. ISRN Ecol. 2011, 2011, 402647. [Google Scholar] [CrossRef]
- Marchiol, L.; Assolari, S.; Sacco, P.; Zerbi, G. Phytoextraction of Heavy Metals by Canola (Brassica Napus) and Radish (Raphanus Sativus) Grown on Multicontaminated Soil. Environ. Pollut. 2004, 132, 21–27. [Google Scholar] [CrossRef]
- Achary, M.S.; Panigrahi, S.; Satpathy, K.K.; Prabhu, R.K.; Panigrahy, R.C. Health Risk Assessment and Seasonal Distribution of Dissolved Trace Metals in Surface Waters of Kalpakkam, Southwest Coast of Bay of Bengal. Reg. Stud. Mar. Sci. 2016, 6, 96–108. [Google Scholar] [CrossRef]
- Ismail, A.; Toriman, M.E.; Juahir, H.; Zain, S.M.; Habir, N.L.A.; Retnam, A.; Kamaruddin, M.K.A.; Umar, R.; Azid, A. Spatial Assessment and Source Identification of Heavy Metals Pollution in Surface Water Using Several Chemometric Techniques. Mar. Pollut. Bull. 2016, 106, 292–300. [Google Scholar] [CrossRef]
- Neff, T.M.W. Disease Control Priorities, Third Edition (Volume 2): Reproductive, Maternal, Newborn, and Child Health. Available online: https://elibrary.worldbank.org/doi/pdf/10.1596/978-1-4648-0348-2#page=183 (accessed on 26 August 2020).
- Paul, D. Research on Heavy Metal Pollution of River Ganga: A Review. Ann. Agrar. Sci. 2017, 15, 278–286. [Google Scholar] [CrossRef]
- Shin, J.Y.; Artigas, F.; Hobble, C.; Lee, Y.S. Assessment of Anthropogenic Influences on Surface Water Quality in Urban Estuary, Northern New Jersey: Multivariate Approach. Environ. Monit. Assess. 2013, 185, 2777–2794. [Google Scholar] [CrossRef]
- Ali, M.M.; Ali, M.L.; Islam, M.S.; Rahman, M.Z. Preliminary Assessment of Heavy Metals in Water and Sediment of Karnaphuli River, Bangladesh. Environ. Nanotechnol. Monit. Manag. 2016, 5, 27–35. [Google Scholar] [CrossRef]
- Mohiuddin, K.M.; Zakir, H.M.; Otomo, K.; Sharmin, S.; Shikazono, N. Geochemical Distribution of Trace Metal Pollutants in Water and Sediments of Downstream of an Urban River. Int. J. Environ. Sci. Technol. 2010, 7, 17–28. [Google Scholar] [CrossRef]
- Salam, M.A.; Paul, S.C.; Shaari, F.I.; Rak, A.E.; Ahmad, R.B.; Kadir, W.R. Geostatistical Distribution and Contamination Status of Heavy Metals in the Sediment of Perak River, Malaysia. Hydrology 2019, 6, 30. [Google Scholar] [CrossRef]












| Physicochemical Parameters | ||||||
|---|---|---|---|---|---|---|
| Sample Station | Temperature (°C) | pH | Salinity | EC (mS/cm) | TDS (g/L) | Turbidity (NTU) | 
| S1 | 30.5 | 7.00 ± 0.12 | 0 | 0.09 ± 0.002 | 0.09 ± 0.002 | 4.93 ± 0.91 | 
| S2 | 31.9 | 7.12 ± 0.33 | 0 | 0.10 ± 0.015 | 0.10 ± 0.015 | 5.22 ± 0.98 | 
| S3 | 30.9 | 7.60 ± 0.19 | 0 | 0.15 ± 0.017 | 0.15 ± 0.017 | 20.23 ± 2.2 | 
| S4 | 29.8 | 7.25 ± 0.12 | 0 | 0.09 ± 0 | 0.09 ± 0.001 | 6.33 ± 0.77 | 
| S5 | 30.0 | 6.83 ± 0.05 | 0 | 0.13 ± 0.035 | 0.13 ± 0.035 | 40.10 ± 12.23 | 
| S6 | 29.8 | 5.86 ± 0.16 | 0 | 0.13 ± 0.006 | 0.13 ± 0.006 | 32.37 ± 1.95 | 
| S7 | 30.1 | 5.78 ± 0.08 | 0 | 0.14 ± 0.034 | 0.14 ± 0.035 | 39.20 ± 4.39 | 
| S8 | 30.2 | 5.92 ± 0.14 | 0 | 0.12 ± 0.011 | 0.12 ± 0.011 | 46.13 ± 6.5 | 
| S9 | 29.9 | 5.86 ± 0.06 | 0 | 0.19 ± 0.016 | 0.19 ± 0.017 | 34.47 ± 19.73 | 
| S10 | 30.2 | 5.93 ± 0.11 | 0 | 0.17 ± 0.007 | 0.17 ± 0.007 | 86.10 ± 7.65 | 
| S11 | 30.3 | 6.36 ± 0.25 | 1.67 ± 0.21 | 3.19 ± 0.37 | 3.19 ± 0.36 | 115.03 ± 31.41 | 
| S12 | 30.0 | 6.61 ± 0.18 | 2.90 ± 0.17 | 5.30 ± 0.279 | 5.31 ± 0.284 | 125.93 ± 21.69 | 
| S13 | 30.4 | 6.50 ± 0.4 | 3.00 ± 0.1 | 5.44 ± 0.216 | 5.44 ± 0.226 | 92.73 ± 19.13 | 
| S14 | 29.9 | 6.24 ± 0.08 | 3.03 ± 0.06 | 5.59 ± 0.125 | 5.59 ± 0.122 | 242.30 ± 37.62 | 
| S15 | 29.9 | 6.39 ± 0.2 | 3.20 ± 0 | 5.83 ± 0.01 | 5.83 ± 0.015 | 319.93 ± 73.24 | 
| Mean | 30.3 | 6.48 ± 0.6 | 0.92 ± 1.39 | 10.38 ± 0.076 | 1.78 ± 2.48 | 80.73 ± 91.19 | 
| Range | 29.8–31.9 | 5.78–7.60 | 0–3.20 | 0.09–5.83 | 0.09–5.83 | 4.93–319.93 | 
| Bangladesh Standard | 20–30 | - | 0 | - | 1 | 10 | 
| WHO | - | 6.5–8.5 | - | 1 | - | - | 
| Heavy Metals (mg/L) | ||||||||
|---|---|---|---|---|---|---|---|---|
| Sample Station | Cu | Fe | Mn | Zn | Pb | Cd | Cr | Ni | 
| S1 | 0.006 ± 0.002 | 0.75 ± 0.07 | 0.56 ± 0.15 | 0.043 ± 0.006 | 0.064 ± 0.016 | 0.029 ± 0.008 | 0.007 ± 0.001 | 0.017 ± 0.004 | 
| S2 | 0.006 ± 0.001 | 0.69 ± 0.21 | 0.47 ± 0.09 | 0.047 ± 0.006 | 0.037 ± 0.008 | 0.018 ± 0.006 | 0.003 ± 0.001 | 0.014 ± 0.003 | 
| S3 | 0.004 ± 0.001 | 1.66 ± 0.37 | 1.04 ± 0.18 | 0.043 ± 0.006 | 0.058 ± 0.014 | 0.014 ± 0.003 | 0.006 ± 0.001 | 0.017 ± 0.008 | 
| S4 | 0.007 ± 0.001 | 1.45 ± 0.61 | 0.79 ± 0.11 | 0.067 ± 0.006 | 0.006 ± 0.003 | 0.017 ± 0.003 | 0.006 ± 0.002 | 0.024 ± 0.006 | 
| S5 | 0.005 ± 0.001 | 2.26 ± 0.64 | 1.43 ± 0.33 | 0.05 ± 0.01 | 0.005 ± 0.002 | 0.014 ± 0.002 | 0.005 ± 0.001 | 0.008 ± 0.001 | 
| S6 | 0.005 ± 0.001 | 2.17 ± 0.71 | 1.13 ± 0.12 | 0.047 ± 0.015 | 0.007 ± 0.002 | 0.016 ± 0.003 | 0.007 ± 0.002 | 0.002 ± 0.002 | 
| S7 | 0.005 ± 0.001 | 2.29 ± 0.82 | 1.16 ± 0.28 | 0.04 ± 0.01 | 0.037 ± 0.21 | 0.018 ± 0.003 | 0.008 ± 0.001 | 0.008 ± 0.001 | 
| S8 | 0.007 ± 0.001 | 2.27 ± 0.62 | 1.62 ± 0.48 | 0.053 ± 0.015 | 0.007 ± 0.002 | 0.014 ± 0.004 | 0.005 ± 0.003 | 0.028 ± 0.01 | 
| S9 | 0.008 ± 0.001 | 2.93 ± 0.84 | 1.85 ± 0.23 | 0.063 ± 0.012 | 0.003 ± 0.001 | 0.013 ± 0.003 | 0.003 ± 0.002 | 0.019 ± 0.009 | 
| S10 | 0.006 ± 0.002 | 3.82 ± 0.59 | 1.4 ± 0.16 | 0.043 ± 0.015 | 0.004 ± 0.002 | 0.017 ± 0.005 | 0.003 ± 0.001 | 0.037 ± 0.013 | 
| S11 | 0.007 ± 0.002 | 8.49 ± 1.78 | 2.09 ± 0.8 | 0.057 ± 0.015 | 0.007 ± 0.004 | 0.016 ± 0.003 | 0.008 ± 0.002 | 0.024 ± 0.008 | 
| S12 | 0.009 ± 0.001 | 7.96 ± 1.48 | 2.02 ± 0.53 | 0.083 ± 0.012 | 0.007 ± 0.002 | 0.016 ± 0.003 | 0.003 ± 0.002 | 0.03 ± 0.007 | 
| S13 | 0.007 ± 0.002 | 3.9 ± 1.34 | 1.67 ± 0.62 | 0.067 ± 0.021 | 0.050 ± 0.019 | 0.016 ± 0.005 | 0.004 ± 0.001 | 0.008 ± 0.003 | 
| S14 | 0.010 ± 0.002 | 11.88 ± 2.19 | 2.79 ± 0.29 | 0.08 ± 0.01 | 0.024 ± 0.026 | 0.019 ± 0.005 | 0.009 ± 0.002 | 0.012 ± 0.003 | 
| S15 | 0.011 ± 0.001 | 12.52 ± 1.82 | 2.88 ± 0.48 | 0.107 ± 0.012 | 0.013 ± 0.011 | 0.019 ± 0.005 | 0.009 ± 0.002 | 0.018 ± 0.005 | 
| Mean | 0.007 ± 0.002 | 4.34 ± 3.93 | 1.53 ± 0.72 | 0.059 ± 0.019 | 0.022 ± 0.022 | 0.017 ± 0.004 | 0.006 ± 0.002 | 0.018 ± 0.01 | 
| Range | 0.004–0.011 | 0.693–12.517 | 0.470–2.880 | 0.04–0.107 | 0.003–0.064 | 0.013–0.029 | 0.003–0.009 | 0.002–0.037 | 
| Bangladesh Standard | 1 | 0.3–1.0 | 0.1 | 5 | 0.05 | 0.005 | 0.05 | 0.1 | 
| WHO | 2.000 | 0.300 | 0.500 | 3.000 | 0.010 | 0.003 | 0.050 | 0.020 | 
| Adult | Station | Child | ||||
|---|---|---|---|---|---|---|
| Pb | Cd | Cr | Pb | Cd | Cr | |
| 1.95 × 10−5 | 1.54 × 10−2 | 1.19 × 10−4 | 1 | 2.84 × 10−5 | 2.24 × 10−2 | 1.73 × 10−4 | 
| 1.11 × 10−5 | 9.82 × 10−3 | 5.36 × 10−5 | 2 | 1.62 × 10−5 | 1.43 × 10−2 | 7.80 × 10−5 | 
| 1.75 × 10−5 | 7.32 × 10−3 | 1.07 × 10−4 | 3 | 2.55 × 10−5 | 1.07 × 10−2 | 1.56 × 10−4 | 
| 1.72 × 10−6 | 9.11 × 10−3 | 1.13 × 10−4 | 4 | 2.50 × 10−6 | 1.33 × 10−2 | 1.65 × 10−4 | 
| 1.62 × 10−6 | 7.50 × 10−3 | 8.33 × 10−5 | 5 | 2.36 × 10−6 | 1.09 × 10−2 | 1.21 × 10−4 | 
| 2.12 × 10−6 | 8.75 × 10−3 | 1.25 × 10−q4 | 6 | 3.09 × 10−6 | 1.27 × 10−2 | 1.82 × 10−4 | 
| 1.13 × 10−5 | 9.46 × 10−3 | 1.37 × 10−4 | 7 | 1.65 × 10−5 | 1.38 × 10−2 | 1.99 × 10−4 | 
| 2.23 × 10−6 | 7.32 × 10−3 | 8.33 × 10−5 | 8 | 3.24 × 10−6 | 1.07 × 10−2 | 1.21 × 10−4 | 
| 9.11 × 10−7 | 7.14 × 10−3 | 5.95 × 10−5 | 9 | 1.33 × 10−6 | 1.04 × 10−2 | 8.67 × 10−5 | 
| 1.11 × 10−6 | 9.29 × 10−3 | 5.36 × 10−5 | 10 | 1.62 × 10−6 | 1.35 × 10−2 | 7.80 × 10−5 | 
| 2.02 × 10−6 | 8.75 × 10−3 | 1.37 × 10−4 | 11 | 2.95 × 10−6 | 1.27 × 10−2 | 1.99 × 10−4 | 
| 2.23 × 10−6 | 8.75 × 10−3 | 5.95 × 10−5 | 12 | 3.24 × 10−6 | 1.27 × 10−2 | 8.67 × 10−5 | 
| 1.52 × 10−5 | 8.57 × 10−3 | 7.14 × 10−5 | 13 | 2.21 × 10−5 | 1.25 × 10−2 | 1.04 × 10−4 | 
| 7.18 × 10−6 | 1.02 × 10−2 | 1.67 × 10−4 | 14 | 1.05 × 10−5 | 1.48 × 10−2 | 2.43 × 10−4 | 
| 3.85 × 10−6 | 1.02 × 10−2 | 1.61 × 10−4 | 15 | 5.60 × 10−6 | 1.48 × 10−2 | 2.34 × 10−4 | 
| Publisher’s Note: MDPI stays neutral with regard to jurisdictional claims in published maps and institutional affiliations. | 
© 2021 by the authors. Licensee MDPI, Basel, Switzerland. This article is an open access article distributed under the terms and conditions of the Creative Commons Attribution (CC BY) license (https://creativecommons.org/licenses/by/4.0/).
Share and Cite
Hasan, M.F.; Nur-E-Alam, M.; Salam, M.A.; Rahman, H.; Paul, S.C.; Rak, A.E.; Ambade, B.; Towfiqul Islam, A.R.M. Health Risk and Water Quality Assessment of Surface Water in an Urban River of Bangladesh. Sustainability 2021, 13, 6832. https://doi.org/10.3390/su13126832
Hasan MF, Nur-E-Alam M, Salam MA, Rahman H, Paul SC, Rak AE, Ambade B, Towfiqul Islam ARM. Health Risk and Water Quality Assessment of Surface Water in an Urban River of Bangladesh. Sustainability. 2021; 13(12):6832. https://doi.org/10.3390/su13126832
Chicago/Turabian StyleHasan, Md. Foysal, Md. Nur-E-Alam, Mohammed Abdus Salam, Hafizur Rahman, Shujit Chandra Paul, Aweng Eh Rak, Balram Ambade, and Abu Reza Md. Towfiqul Islam. 2021. "Health Risk and Water Quality Assessment of Surface Water in an Urban River of Bangladesh" Sustainability 13, no. 12: 6832. https://doi.org/10.3390/su13126832
APA StyleHasan, M. F., Nur-E-Alam, M., Salam, M. A., Rahman, H., Paul, S. C., Rak, A. E., Ambade, B., & Towfiqul Islam, A. R. M. (2021). Health Risk and Water Quality Assessment of Surface Water in an Urban River of Bangladesh. Sustainability, 13(12), 6832. https://doi.org/10.3390/su13126832
 
         
                                                




 
       