Growth Responses, Physiological Alterations and Alleviation of Salinity Stress in Sunflower (Helianthus annuus L.) Amended with Gypsum and Composted Cow Dung
Abstract
1. Introduction
2. Materials and Methods
2.1. Preparation of Saline-Sodic Soil
2.2. Procurement of Cow Dung, Composting and Experimental Design
2.3. Plant Growth and Yield Traits
2.4. Physiological Measurements
2.5. Antioxidant Assay Measurement
2.6. Elemental Analysis
2.7. Statistical Analysis
3. Results
3.1. Growth Parameters
3.2. Yield Parameters
3.3. Physiological Parameters and Water Relativity
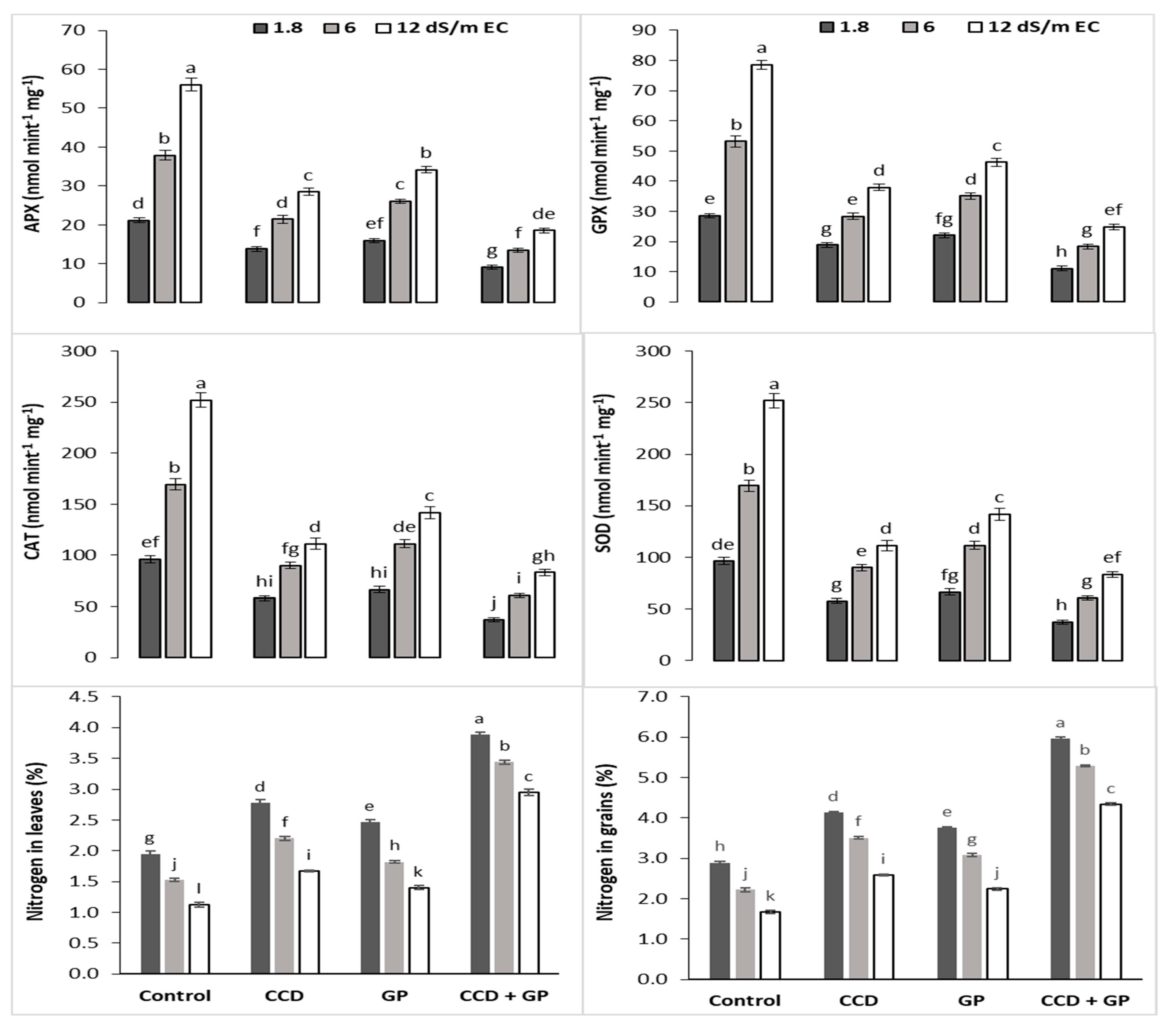
3.4. Antioxidant Enzymes Analysis
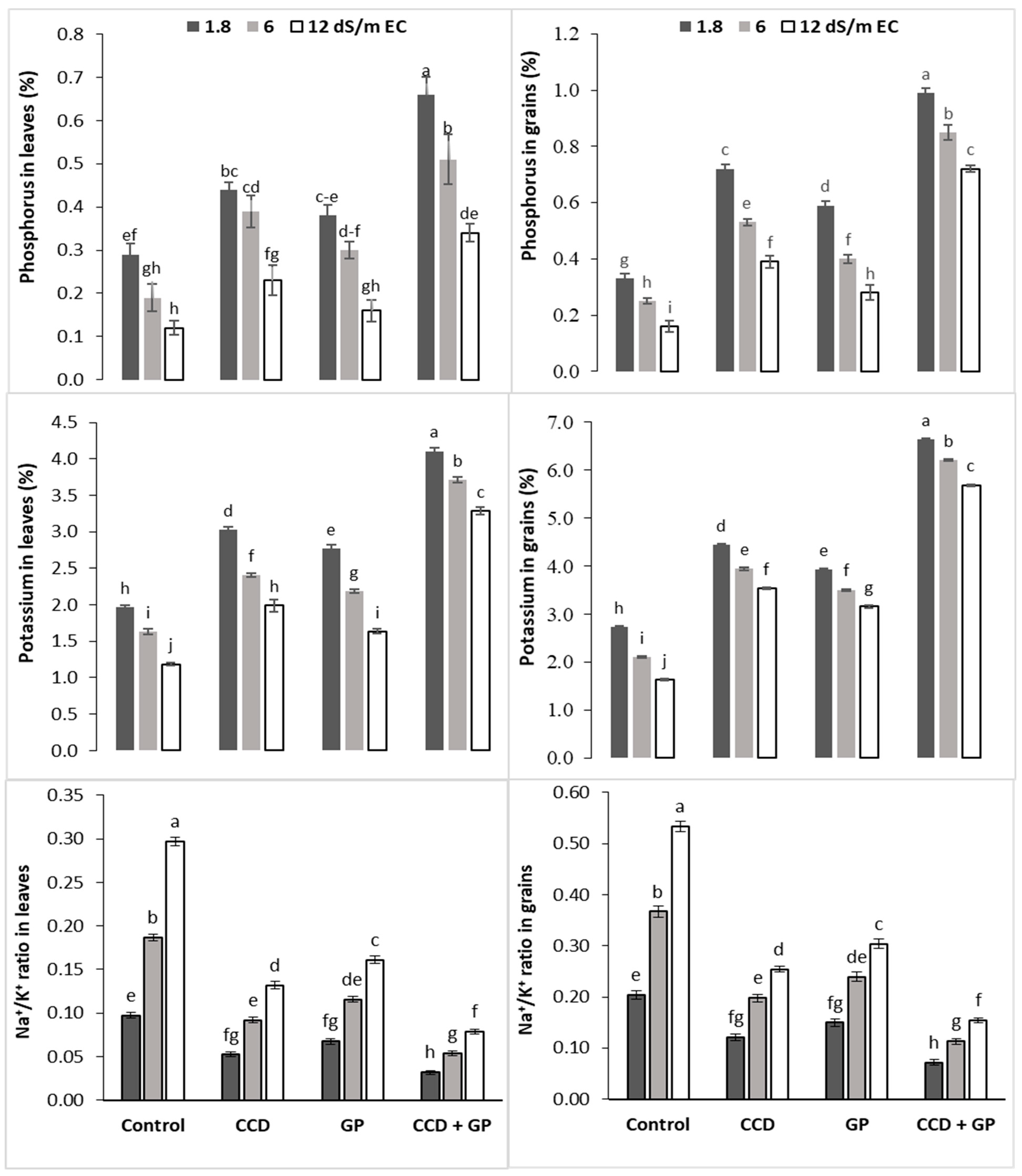
3.5. Elemental Analysis
3.6. Results from the Correlation Matrix
4. Discussion
5. Conclusions
Author Contributions
Funding
Institutional Review Board Statement
Informed Consent Statement
Data Availability Statement
Acknowledgments
Conflicts of Interest
References
- Athar, H.R.; Ashraf, M. Strategies for crop improvement against salt and water stress: An overview. In Salinity and Water Stress: Improving Crop Efficiency; Ashraf, M., Ozturk, M., Athar, H.R., Eds.; Springer: Amsterdam, The Netherlands, 2009; pp. 1–16. [Google Scholar]
- Jamil, A.; Riaz, S.; Ashraf, M.; Foolad, M.R. Gene expression profiling of plants under salt stress. Crit. Rev. Plant Sci. 2011, 30, 435–458. [Google Scholar] [CrossRef]
- Kumar, P.; Sharma, P.K. Soil salinity and food Security in India. Front. Sustain. Food Syst. 2020, 4, 533781. [Google Scholar] [CrossRef]
- Lal, R. Soil degradation as a reason for inadequate human nutrition. Food Secur. 2009, 1, 45–57. [Google Scholar] [CrossRef]
- Munns, R.; Tester, M. Mechanism of salinity tolerance. Annu. Rev. Plant Biol. 2008, 59, 651–681. [Google Scholar] [CrossRef] [PubMed]
- Panuccio, M.R.; Jacobsen, S.E.; Akhtar, S.S.; Muscolo, A. Effect of saline water on seed germination and early seedling growth of the halophyte quinoa. AoB Plants 2014, 6, plu047. [Google Scholar] [CrossRef] [PubMed]
- Hmaeid, N.; Wali, M.; Mahmoud, O.M.B.; Pueyo, J.J.; Ghnaya, T.; Abdelly, C. Efficient rhizobacteria promote growth and alleviate NaCl-induced stress in the plant species Sulla carnosa. Appl. Soil Ecol. 2019, 133, 104–113. [Google Scholar] [CrossRef]
- Munns, R. Comparative physiology of salt and water stress. Plant Cell Environ. 2002, 25, 239–250. [Google Scholar] [CrossRef] [PubMed]
- Abrar, M.M.; Saqib, M.; Abbas, G.; Rehman, A.; Mustafa, A.; Shah, S.A.A.; Mehmood, K.; Maitlo, M.A.; Hassan, M.; Sun, N.; et al. Evaluating the contribution of growth, physiological and ionic components towards salinity and drought stress tolerance in Jatropha curcas. Plants 2020, 9, 1574. [Google Scholar] [CrossRef] [PubMed]
- Vimal, S.R.; Singh, J.S.; Arora, N.K.; Singh, S. Soil-plant-microbe interactions in stressed agriculture management: A review. Pedosphere 2017, 27, 177–192. [Google Scholar] [CrossRef]
- Shrivastava, P.; Kumar, R. Soil salinity: A serious environmental issue and plant growth promoting bacteria as one of the tools for its alleviation. Saudi J. Biol. Sci. 2015, 22, 123–131. [Google Scholar] [CrossRef]
- Supper, S. Verstecktes Wasser; Sustainable Austria (Nachhaltiges Österreich): Vienna, Austria, 2003; Nr. 25. [Google Scholar]
- Porcel, R.; Aroca, R.; Ruiz-Lozano, J.M. Salinity stress alleviation using arbuscular mycorrhizal fungi. A review. Agron. Sustain. Dev. 2012, 32, 181–200. [Google Scholar] [CrossRef]
- Barrett-Lennard, E.G. Restoration of saline land through revegetation. Agric. Water Manag. 2002, 53, 213–226. [Google Scholar] [CrossRef]
- Sarwar, G.; Ibrahim, M.; Tahir, M.A.; Iftikhar, Y.; Haider, M.S.; Noor-Us-Sabah, N.-U.-S.; Han, K.-H.; Ha, S.-K.; Zhang, Y.-S. Effect of compost and gypsum application on the chemical properties and fertility status of saline-sodic soil. Korean J. Soil Sci. Fertil. 2011, 44, 510–516. [Google Scholar] [CrossRef][Green Version]
- Evelin, H.; Devi, T.S.; Gupta, S.; Kapoor, R. Mitigation of salinity stress in plants by arbuscular mycorrhizal symbiosis: Current understanding and new challenges. Front. Plant Sci. 2019, 10, 470. [Google Scholar] [CrossRef]
- Gupta, R.K.; Abrol, I.P. Salt-affected soils: Their reclamation and management for crop production. Adv. Soil Sci. 1990, 11, 223–288. [Google Scholar]
- Mace, J.E.; Amrhein, C.; Oster, J.D. Comparison of gypsum and sulfuric acid for sodic soil reclamation. Arid Soil Res. Rehab. 1999, 13, 171–188. [Google Scholar] [CrossRef]
- Amezketa, E.; Aragues, R.; Gazol, R. Efficiency of sulfuric acid, mined gypsum, and two gypsum by-products in soil crusting prevention and sodic soil reclamation. Agron. J. 2005, 97, 983–989. [Google Scholar] [CrossRef]
- Yaduvanshi, N.P.S.; Sharma, D.R. Tillage and residual organic manures/chemical amendment effects on soil organic matter and yield of wheat under sodic water irrigation. Soil Tillage Res. 2008, 98, 11–16. [Google Scholar] [CrossRef]
- Clark, G.J.; Dodgshun, N.; Sale, P.W.G.; Tang, C. Changes in chemical and biological properties of a sodic clay subsoil with addition of organic amendments. Soil Biol. Biochem. 2007, 39, 2806–2817. [Google Scholar] [CrossRef]
- Sarwar, G.; Schmeisky, H.; Hussain, N.; Muhammad, S.; Ibrahim, M.; Safdar, E. Improvement of soil physical and chemical properties with compost application in rice-wheat cropping system. Pak. J. Bot. 2008, 40, 275–282. [Google Scholar]
- Mustafa, A.; Minggang, X.; Shah, S.A.A.; Abrar, M.M.; Nan, S.; Baoren, W.; Zejiang, C.; Saeed, Q.; Naveed, M.; Mehmood, K.; et al. Soil aggregation and soil aggregate stability regulate organic carbon and nitrogen storage in a red soil of southern China. J. Environ. Manag. 2020, 270, 110894. [Google Scholar] [CrossRef]
- Niamat, B.; Naveed, M.; Ahmad, Z.; Yaseen, M.; Ditta, A.; Mustafa, A.; Rafique, M.; Bibi, R.; Sun, N.; Xu, M. Calcium-enriched animal manure alleviates the adverse effects of salt stress on growth, physiology and nutrients homeostasis of Zea mays L. Plants 2019, 8, 480. [Google Scholar] [CrossRef] [PubMed]
- Meena, M.D.; Joshi, P.K.; Jat, H.S.; Chinchmalatpure, A.R.; Narjary, B.; Sheoran, P.; Sharma, D.K. Changes in biological and chemical properties of saline soil amended with municipal solid waste compost and chemical fertilizers in a mustard–pearl millet cropping system. Catena 2016, 140, 1–8. [Google Scholar] [CrossRef]
- Wong, V.N.L.; Dalal, R.C.; Greene, R.S.B. Carbon dynamics of sodic and saline soils following gypsum and organic material additions: A laboratory incubation. Appl. Soil Ecol. 2009, 41, 29–40. [Google Scholar] [CrossRef]
- Estefan, G.; Sommer, R.; Ryan, J. Methods of Soil, Plant and Water Analysis: A Manual for the West Asia and North Africa Region, 3rd ed.; ICARDA: Beirut, Lebanon, 2013. [Google Scholar]
- Ehsanzadeh, P.; Nekoonam, M.S.; Azhar, J.N.; Pourhadian, H.; Shaydaee, S. Growth, chlorophyll, and cation concentration of tetraploid wheat on a solution high in sodium chloride salt: Hulled versus free-threshing genotypes. J. Plant Nutr. 2009, 32, 58–70. [Google Scholar] [CrossRef]
- Bashir, M.A.; Naveed, M.; Ashraf, S.; Mustafa, A.; Ali, Q.; Rafique, M.; Alamri, S.; Siddiqui, M.H. Performance of Zea mays L. cultivars in tannery polluted soils: Management of chromium phytotoxicity through the application of biochar and compost. Physiol. Plant 2020. [Google Scholar] [CrossRef]
- Lutts, S.; Kinet, J.M.; Bouharmont, J. NaCl-induced senescence in leaves of rice (Oryza sativa L.) cultivars differing in salinity resistance. Ann. Bot. 1996, 78, 389–398. [Google Scholar] [CrossRef]
- Yang, G.; Rhodes, D.; Joly, R.J. Effects of high temperature on membrane stability and chlorophyll fluorescence in glycine betaine containing maize lines. Aust. J. Plant. Physiol. 1996, 23, 431–443. [Google Scholar]
- US Salinity Lab. Diagnosis and Improvement of Saline and Alkali Soils. In Agriculture Handbook; US Salinity Lab.: Washington, DC, USA, 1954; pp. 83–100. [Google Scholar]
- Nakano, Y.; Asada, K. Hydrogen peroxide is scavenged by ascorbate-specific peroxidase in spinach chloroplasts. Plant. Cell Physiol. 1981, 22, 867–880. [Google Scholar]
- Aebi, H.E. Catalase. In Methods of Enzymatic Analysis; Bergmeyer, H.U., Ed.; Verlag Chemie: Weinhem, Germany, 1983; pp. 273–286. [Google Scholar]
- Cakmak, I.; Marschner, H. Magnesium deficiency and high light intensity enhance activities of superoxide dismutase, ascorbate peroxidase, and glutathione reductase in bean leaves. Plant. Physiol. 1992, 98, 1222–1227. [Google Scholar] [CrossRef]
- Roth, E.F.; Gilbert, H.S. The pyrogallol assay for superoxide dismutase: Absence of a glutathione artifact. Anal. Biochem. 1984, 137, 50–53. [Google Scholar] [CrossRef]
- Wolf, B.A. Comprehensive system of leaf analyses and its use for diagnosing crop nutrient status. Commun. Soil Sci. Plant Anal. 1982, 13, 1035–1059. [Google Scholar] [CrossRef]
- Chapman, H.D.; Pratt, P.F. Method of Analysis for Soil, Plants and Waters; University of California’s Division of Agriculture Science: Berkeley, CA, USA, 1961. [Google Scholar]
- Steel, R.G.D.; Torrie, J.H.; Dickey, D.A. Principles and Procedures of Statistics—A Bio-Metrical Approach; McGraw Hill Book Co.: New York, NY, USA, 1997. [Google Scholar]
- Lodhi, A.; Arshad, M.; Azam, F.; Sajjad, M.H. Changes in mineral and mineralizable N of soil incubated at varying salinity, moisture and temperature regimes. Pak. J. Bot. 2009, 41, 967–980. [Google Scholar]
- Gong, D.H.; Wang, G.Z.; Si, W.T.; Zhou, Y.; Liu, Z.; Jia, J. Effects of salt stress on photosynthetic pigments and activity of ribulose-1,5-bisphosphate carboxylase/oxygenase in Kalidium foliatum. Russ. J. Plant Physiol. 2018, 65, 98–103. [Google Scholar] [CrossRef]
- Shahzad, H.; Ullah, S.; Iqbal, M.; Bilal, H.M.; Shah, G.M.; Ahmad, S.; Zakir, A.; Ditta, A.; Farooqi, M.A.; Ahmad, I. Salinity types and level-based effects on the growth, physiology and nutrient contents of maize (Zea mays). Ital. J. Agron. 2019, 14, 199–207. [Google Scholar] [CrossRef]
- Fangueiro, D.; Hjorth, M.; Gioelli, F. Acidification of animal slurry—A review. J. Environ. Manag. 2015, 149, 46–56. [Google Scholar] [CrossRef]
- Gómez-Muñoz, B.; Case, S.D.C.; Jensen, L.S. Pig slurry acidification and separation techniques affect soil N and C turnover and N2O emissions from solid, liquid and biochar fractions. J. Environ. Manag. 2016, 168, 236–244. [Google Scholar] [CrossRef]
- Cocolo, G.; Hjorth, M.; Zarebska, A.; Provolo, G. Effect of acidification on solid liquid separation of pig slurry. Biosyst. Eng. 2016, 143, 20–27. [Google Scholar] [CrossRef]
- Sommer, S.G.; Hjorth, M.; Leahy, J.J.; Zhu, K.; Christel, W.; Sørensen, C.G.; Sutaryo. Pig slurry characteristics, nutrient balance and biogas production as affected by separation and acidification. J. Agric. Sci. 2015, 153, 177–191. [Google Scholar] [CrossRef]
- Mahmood, I.A.; Salim, M.; Ali, A.; Arshadullah, M.; Zaman, B.; Mir, A. Impact of calcium sulphate and calcium carbide on nitrogen use efficiency of wheat in normal and saline sodic soils. Soil Environ. 2009, 28, 29–37. [Google Scholar]
- Hanay, A.; Büyüksönmez, F.; Kiziloglu, F.M.; Canbolat, M.Y. Reclamation of Saline-Sodic Soils with Gypsum and MSW Compost. Compost Sci. Util. 2004, 12, 175–179. [Google Scholar] [CrossRef]
- Liu, X.; Bai, Z.; Zhou, W.; Cao, Y.; Zhang, G. Changes in soil properties in the soil profile after mining and reclamation in an opencast coal mine on the Loess Plateau, China. Ecol. Eng. 2017, 98, 228–239. [Google Scholar] [CrossRef]
- Maxwell, K.; Johnson, G.N. Chlorophyll fluorescence—A practical guide. J. Exp. Bot. 2000, 51, 659–668. [Google Scholar] [CrossRef] [PubMed]
- Vakilian, K.A.; Massah, J. A farmer-assistant robot for nitrogen fertilizing management of greenhouse crops. Comput. Electron. Agric. 2017, 139, 153–163. [Google Scholar] [CrossRef]
- Gong, X.L.; Liu, C.; Zhou, M.; Luo, L.Y.; Wang, L.; Wang, Y.; Hong, M.M.; Cai, J.W.; Gong, S.J.; Hong, F.S. Oxidative damages of maize seedlings caused by combined stress of potassium deficiency and salt stress. Plant Soil 2011, 340, 443–452. [Google Scholar] [CrossRef]
- Ozgur, R.; Uzilday, B.; Sekmen, A.H.; Turkan, I. Reactive oxygen species regulation and antioxidant defence in halophytes. Funct. Plant Biol. 2013, 40, 832–847. [Google Scholar] [CrossRef]
- Uzilday, B.; Ozgur, R.; Sekmen, A.H.; Yildiztugay, E.; Turkan, I. Changes in the alternative electron sinks and antioxidant defense in chloroplasts of the extreme halophyte Eutrema parvulum (Thellungiella parvula) under salinity. Ann. Bot. 2015, 115, 449–463. [Google Scholar] [CrossRef]
- Saleem, M.H.; Kamran, M.; Zhou, Y.; Parveen, A.; Rehman, M.; Ahmar, S.; Malik, Z.; Mustafa, A.; Anjum, R.M.A.; Wang, B.; et al. Appraising growth, oxidative stress and copper phytoextraction potential of flax (Linum usitatissimum L.) grown in soil differentially spiked with copper. J. Environ. Manag. 2020, 257, 109994. [Google Scholar] [CrossRef]
- Kamran, M.; Malik, Z.; Parveen, A.; Huang, L.; Riaz, M.; Bashir, S.; Mustafa, A.; Abbasi, G.H.; Xue, B.; Ali, U. Ameliorative effects of biochar on rapeseed (Brassica napus L.) growth and heavy metal immobilization in soil irrigated with untreated wastewater. J. Plant Growth Regul. 2020, 39, 266–281. [Google Scholar] [CrossRef]
- Saeed, Z.; Naveed, M.; Imran, M.; Bashir, M.A.; Sattar, A.; Mustafa, A.; Hussain, A.; Xu., M. Combined use of Enterobacter sp. MN17 and zeolite reverts the adverse effects of cadmium on growth, physiology and antioxidant activity of Brassica napus. PLoS ONE 2019, 14, e0213016. [Google Scholar] [CrossRef] [PubMed]
- Naveed, M.; Mustafa, A.; Azhar, S.Q.; Kamran, M.; Zahir, Z.A.; Núñez-Delgado, A. Burkholderia phytofirmans PsJN and tree twigs derived biochar together retrieved Pb-induced growth, physiological and biochemical disturbances by minimizing its uptake and translocation in mung bean (Vigna radiata L.). J. Environ. Manag. 2020, 257, 101974. [Google Scholar] [CrossRef] [PubMed]
- Khodarahmpour, Z.; Ifar, M.; Motamedi, M. Effect of NaCl salinity on maize (Zea mays L.) at germination and early seedling stage. Afr. J. Biotechnol. 2012, 11, 298–304. [Google Scholar] [CrossRef]
- Akhtar, J.; Haq, M.A.; Ahmad, K.; Saqib, M.; Saeed, M.A. Performance of cotton genotypes under saline condition. Cad. Pesquisa Ser. Biol. 2005, 17, 29–36. [Google Scholar]
- Kaymakanova, M.; Stoeva, N.; Mincheva, T. Salinity and its effect on physiological response of bean (Phaseolus vulgaris L.). Central. Eur. Agric. 2008, 9, 749–756. [Google Scholar]
- Tester, M.; Davenport, R. Na+ tolerance and Na+ transport in higher plants. Ann. Bot. 2003, 91, 503–527. [Google Scholar] [CrossRef] [PubMed]
- Tavakkoli, E.; Rengasamy, P.; McDonald, G.K. High concentrations of Na+ and Cl− ions in soil solutions have simultaneous detrimental effects on growth of faba been under salinity stress. J. Exp. Bot. 2010, 61, 4449–4459. [Google Scholar] [CrossRef] [PubMed]
- Tejada, M.; Garcia, C.; González, J.; Hernández, M. Use of organic amendment as a strategy for saline soil remediation: Influence on the physical, chemical and biological properties of soil. Soil Biol. Biochem. 2006, 38, 1413–1421. [Google Scholar] [CrossRef]
- Wang, L.; Sun, X.; Li, S.; Zhang, T.; Zhang, W.; Zhai, P. Application of organic amendments to a Coastal Saline Soil in North China: Effects on soil physical and chemical properties and tree growth. PLoS ONE 2014, 9, e89185. [Google Scholar] [CrossRef]
- Yaduvanshi, N.P.S.; Swarup, A. Effect of continuous use of sodic irrigation water with and without gypsum, farmyard manure, pressmud and fertilizer on soil properties and yields of rice and wheat in a long-term experiment. Nutr. Cycl. Agroecosyst. 2005, 73, 111–118. [Google Scholar] [CrossRef]
- Oo, A.N.; Iwai, C.B.; Saenjan, P. Soil properties and maize growth in saline and non-saline soils using cassava-industrial waste compost and vermicompost with or without earthworms. Land Degrad. Dev. 2015, 26, 300–310. [Google Scholar] [CrossRef]
- Srivastava, P.K.; Gupta, M.; Singh, N.; Tewari, S.K. Amelioration of sodic soil for wheat cultivation using bioaugmented organic soil amendment. Land Degrad. Dev. 2016, 27, 1245–1254. [Google Scholar] [CrossRef]
- Madejón, E.; López, R.; Murillo, J.M.; Cabrera, F.; López-Núñez, R. Agricultural use of three (sugar-beet) vinasse composts: Effect on crops and chemical properties of a Cambisol soil in the Guadalquivir river valley (SW Spain). Agric. Ecosyst. Environ. 2001, 84, 55–65. [Google Scholar] [CrossRef]
- Ghafoor, A.; Gill, M.A.; Hassan, A.; Murtaza, G.; Qadir, M. Gypsum: An economical amendment for amelioration of saline–sodic waters and soils and for improving crop yields. Int. J. Agric. Biol. 2001, 3, 266–275. [Google Scholar]
- Fricke, W.; Akhiyarova, G.; Veselov, D.; Kudoyarova, G. Rapid and tissue specific changes in ABA and in growth rate response to salinity in barley leaves. J. Exp. Bot. 2004, 55, 1115–1123. [Google Scholar] [CrossRef] [PubMed]
- Qu, C.; Liu, C.; Gong, X.; Li, C.; Hong, M.; Wang, L.; Hong, F. Impairment of maize seedling photosynthesis caused by a combination of potassium deficiency and salt stress. Environ. Exp. Bot. 2012, 75, 134–141. [Google Scholar] [CrossRef]
- Ahmed, K.; Qadir, G.; Jami, A.-R.; Nawaz, M.Q.; Rehim, A.; Jabran, K.; Hussain, M. Gypsum and farm manure application with chiseling improve soil properties and performance of fodder beet under saline-sodic conditions. Int. J. Agric. Biol. 2015, 17, 1225–1230. [Google Scholar] [CrossRef]
- Pandeyl, S.K.; Pathak, L.P.; Pathak, R.K. Effect of some nutrients in rice plant under sodic soils. Int. J. Tech. Res. Appl. 2013, 1, 1–6. [Google Scholar]
- Ezeaku, P.I.; Ene, J.; Joshua, A.S. Application of different reclamation methods on salt affected soils for crop production. Am. J. Exp. Agric. 2015, 9, 1–11. [Google Scholar] [CrossRef]
- Manzoor, A.; Khattak, R.A.; Dost, M. Humic acid and micronutrient effects on wheat yield and nutrients uptake in salt affected soils. Int. J. Agric. Biol. 2014, 16, 991–995. [Google Scholar]
- Ramzani, P.M.A.; Shan, L.; Anjum, S.; Khan, W.D.; Ronggui, H.; Iqbal, M.; Virk, Z.A.; Kausar, S. Improved quinoa growth, physiological response, and seed nutritional quality in three soils having different stresses by the application of acidified biochar and compost. Plant. Physiol. Biochem. 2017, 116, 127–138. [Google Scholar] [CrossRef]
- Singh, J.S.; Pandey, V.C.; Singh, D.P.; Singh, R.P. Influence of pyrite and farmyard manure on population dynamics of soil methanotroph and rice yield in saline rain-fed paddy field. Agric. Ecosyst. Environ. 2010, 139, 74–79. [Google Scholar] [CrossRef]
- Ditta, A.; Arshad, M.; Zahir, Z.A.; Jamil, A. Comparative efficacy of rock phosphate enriched organic fertilizer vs. mineral phosphatic fertilizer for nodulation, growth and yield of lentil. Int. J. Agric. Biol. 2015, 17, 589–595. [Google Scholar] [CrossRef]
- Mao, G.; Xu, X.; Chen, Q.; Yue, Z.; Zhu, L. Flue gas desulfurization gypsum byproducts alters cytosolic Ca2+ distribution and Ca2+-ATPase activity in leaf cells of oil sunflower in alkaline soil. J. Plant. Interact. 2014, 9, 152–158. [Google Scholar] [CrossRef]
- Yu, H.; Yang, P.; Lin, H.; Ren, S.; He, X. Effects of sodic soil reclamation using flue gas desulphurization gypsum on soil pore characteristics, bulk density, and saturated hydraulic conductivity. Soil Sci. Soc. Am. J. 2014, 78, 1201–1213. [Google Scholar] [CrossRef]
- Lakhdar, A.; Rabhi, M.; Ghnaya, T.; Montemurro, F.; Jedidi, N.; Abdelly, C. Effectiveness of compost use in salt-affected soil. J. Hazard. Mater. 2009, 171, 29–37. [Google Scholar] [CrossRef]
- Leogrande, R.; Vitti, C. Use of organic amendments to reclaim saline and sodic soils: A review. Arid Land Res. Manag. 2019, 33, 1–21. [Google Scholar] [CrossRef]
- Viator, R.P.; Kovar, J.L.; Hallmark, W.B. Gypsum and compost effects on sugarcane root growth, yield, and plant nutrients. Agron. J. 2002, 94, 1332–1336. [Google Scholar] [CrossRef]
- Favaretto, N.; Norton, L.D.; Brouder, S.M.; Joern, B.C. Gypsum amendment and exchangeable calcium and magnesium effects on plant nutrition under conditions of intensive nutrient extraction. Soil Sci. 2008, 173, 108–118. [Google Scholar] [CrossRef]
- Pavla, O.; Filip, M.; Zdeněk, K.; Pavel, T. Fertilization efficiency of wood ash pellets amended by gypsum and superphosphate in the ryegrass growth. Plant. Soil Environ. 2017, 63, 47–54. [Google Scholar] [CrossRef]



| Parameters | CCD | GP | GP + CCD (1:1 w/w) |
|---|---|---|---|
| Carbon (g kg−1) | 201 ± 14.3 | - | 103.8 ± 9.2 |
| Nitrogen (g kg−1) | 2.89 ± 0.5 | - | 1.75 ± 0.3 |
| Total P (g kg−1) | 1.49 ± 0.7 | - | 1.06.0 ± 0.2 |
| Olson P (mg kg−1) | 241 ± 12.3 | - | 123 ± 7.5 |
| Ca (g kg−1) | 0.042 ± 0.02 | 21 (%) | 98.3 ± 9.4 |
| Sulfur (g kg−1) | 0.74 ± 0.06 | 17 (%) | 78.75 ± 6.7 |
| C:N | 18.34 ± 1.3 | - | 12.05 ± 0.9 |
| pH | 6.33 ± 0.27 | 7.78 | 6.11 ± 0.18 |
| Treatments | Plant Height (cm) | Shoot Fresh Weight (g) | Shoot Dry Weight (g) | ||||||
|---|---|---|---|---|---|---|---|---|---|
| 1.8 dS m−1 | 6 dS m−1 | 12 dS m−1 | 1.8 dS m−1 | 6 dS m−1 | 12 dS m−1 | 1.8 dS m−1 | 6 dS m−1 | 12 dS m−1 | |
| Control | 40.9 ± 0.8g | 30.0 ± 0.4i | 20.7 ± 0.9j | 31.4 ± 0.9g | 23.4 ± 1.4h | 15.2 ± 0.9i | 9.9 ± 0.4g | 7.4 ± 0.7h | 5.1 ± 0.5i |
| CCD | 68.0 ± 0.5c | 55.8 ± 1.1e | 45.3 ± 0.3f | 53.3 ± 1.6c | 44.6 ± 0.9d | 30.0 ± 1.3g | 19.0 ± 0.4b | 16.1 ± 0.4cd | 11.7 ± 0.3f |
| GP | 59.1 ± 0.8de | 45.7 ± 1.4f | 36.9 ± 2.2h | 43.1 ± 0.8de | 36.0 ± 0.8f | 24.1 ± 0.4h | 17.0 ± 0.9c | 14.1 ± 0.3e | 9.9 ± 0.2g |
| CCD + GP | 100.3 ± 1.2a | 82.4 ± 1.5b | 61.4 ± 0.6d | 70.4 ± 1.2a | 59.9 ± 1.3b | 40.6 ± 1.3e | 23.4 ± 0.9a | 19.9 ± 0.7b | 14.9 ± 0.2de |
| Root Length (cm) | Root Fresh Weight Plant−1 (g) | Root Dry Weight (g) | |||||||
| Control | 9.2 ± 0.4f | 6.7 ± 0.2h | 4.7 ± 0.15i | 6.0 ± 0.2g | 4.7 ± 0.3h | 3.4 ± 0.2i | 5.3 ± 0.2e | 4.2 ± 0.14fg | 3.5 ± 0.3g |
| CCD | 14.2 ± 0.7c | 11.3 ± 0.5de | 9.1 ± 0.20fg | 9.5 ± 0.3c | 8.1 ± 0.3de | 6.4 ± 0.2fg | 7.4 ± 0.4b | 6.1 ± 0.1d | 4.9 ± 0.2ef |
| GP | 12.1 ± 0.5d | 9.7 ± 0.3ef | 7.2 ± 0.2gh | 8.9 ± 0.3cd | 7.3 ± 0.2ef | 5.8 ± 0.3gh | 6.4 ± 0.5cd | 5.2 ± 0.2e | 4.4 ± 0.3f |
| CCD + GP | 20.1 ± 0.3a | 17.2 ± 0.3b | 13.0 ± 0.4cd | 12.5 ± 0.2a | 11.0 ± 0.2b | 9.2 ± 0.3cd | 8.9 ± 0.2a | 7.2 ± 0.2bc | 6.4 ± 0.2d |
| Treatments | Stem Diameter (cm) | Head Diameter (cm) | No. of Leaves Plant−1 | ||||||
|---|---|---|---|---|---|---|---|---|---|
| 1.8 dS m−1 | 6 dS m−1 | 12 dS m−1 | 1.8 dS m−1 | 6 dS m−1 | 12 dS m−1 | 1.8 dS m−1 | 6 dS m−1 | 12 dS m−1 | |
| Control | 3.2 ± 0.1ef | 2.5 ± 0.3gh | 2.0 ± 0.1h | 12.7 ± 0.2ef | 10.1 ± 0.4h | 7.7 ± 0.3i | 14.7 ± 0.9de | 11.6 ± 0.3fg | 8.6 ± 0.8h |
| CCD | 4.9 ± 0.3bc | 4.3 ± 0.1d | 3.6 ± 0.2e | 15.5 ± 0.5bc | 13.0 ± 0.4e | 12.0 ± 0.7ef | 21.3 ± 0.9b | 16.0 ± 1.2cd | 13.0 ± 0.6efg |
| GP | 4.3 ± 0.2d | 3.5 ± 0.2e | 2.9 ± 0.1fg | 14.2 ± 0.2d | 11.6 ± 0.6fg | 10.6 ± 0.6gh | 18.3 ± 1.2c | 14.0 ± 0.6def | 10.6 ± 0.9gh |
| CCD + GP | 6.6 ± 0.2a | 5.3 ± 0.2b | 4.5 ± 0.3cd | 18.1 ± 0.3a | 16.0 ± 0.4b | 14.8 ± 0.1cd | 26.7 ± 0.7a | 21.0 ± 0.6b | 18.0 ± 0.6c |
| Leaf Area (cm2) | 1000-Seeds Weight (g) | Seed Yield per Plant (g) | |||||||
| Control | 42.2 ± 0.9g | 31.2 ± 0.7i | 22.5 ± 1.3j | 32.9 ± 1.3e | 22.4 ± 0.7g | 12.8 ± 0.4h | 45.2 ± 0.3f | 35.4 ± 0.7gh | 26.6 ± 0.6i |
| CCD | 67.5 ± 1.1c | 51.0 ± 0.6e | 45.0 ± 0.6fg | 57.4 ± 0.9b | 41.1 ± 1.8d | 29.1 ± 0.8f | 65.2 ± 1.4cd | 54.9 ± 1.1e | 46.4 ± 1.6g |
| GP | 61.0 ± 1.1d | 45.7 ± 1.9f | 34.6 ± 0.3h | 45.8 ± 0.9c | 30.8 ± 1.2ef | 24.5 ± 2.4g | 62.5 ± 0.9d | 50.2 ± 1.6f | 41.2 ± 1.1h |
| CCD + GP | 104.6 ± 1.2a | 82.4 ± 0.6b | 62.4 ± 1.9d | 79.7 ± 0.9a | 60.1 ± 1.3b | 38.0 ± 1.4d | 82.3 ± 0.7a | 73.1 ± 1.5b | 66.3 ± 0.9c |
| Treatments | Photosynthetic Rate (µmol CO2 m−2 s−1) | Stomatal Conductance (µmol m−2 s−1) | Evaporation Rate (µmol H2O m−2 s−1) | ||||||
|---|---|---|---|---|---|---|---|---|---|
| 1.8 dS m−1 | 6 dS m−1 | 12 dS m−1 | 1.8 dS m−1 | 6 dS m−1 | 12 dS m−1 | 1.8 dS m−1 | 6 dS m−1 | 12 dS m−1 | |
| Control | 16.8 ± 0.4f | 12.6 ± 0.3g | 8.8 ± 0.2h | 0.35 ± 0.1fg | 0.19 ± 0.1g | 0.10 ± 0.0h | 4.1 ± 0.1h | 3.6 ± 0.4i | 2.4 ± 0.1k |
| CCD | 26.8 ± 0.6c | 21.8 ± 0.6e | 16.7 ± 0.3f | 0.39 ± 0.1cd | 0.32 ± 0.1de | 0.21 ± 0.1fg | 6.1 ± 0.2c | 5.1 ± 0.4f | 4.1 ± 0.2h |
| GP | 22.5 ± 0.3de | 18.0 ± 0.5f | 13.8 ± 0.6g | 0.34 ± 0.1cde | 0.28 ± 0.1ef | 0.17 ± 0.0fg | 5.7 ± 0.3e | 4.7 ± 0.2g | 3.3 ± 0.1j |
| CCD + GP | 36.0 ± 0.6a | 30.3 ± 0.9b | 25.0 ± 0.6cd | 0.53 ± 0.1a | 0.45 ± 0.3b | 0.29 ± 0.0bc | 8.2 ± 0.4a | 7.0 ± 0.1b | 5.9 ± 0.2d |
| Transpiration Rate (µmol m−2 s−1) | Internal CO2 (µmol CO2 mol−1) | SPAD Value | |||||||
| Control | 7.6 ± 0.3efg | 6.3 ± 0.7g | 4.3 ± 0.3h | 225 ± 1.4g | 183 ± 2.0i | 145 ± 0.8j | 27.9 ± 0.9g | 20.9 ± 0.8h | 13.8 ± 1.0i |
| CCD | 11.3 ± 0.3bc | 9.3 ± 0.6de | 8.3 ± 0.3def | 323 ± 1.5c | 281 ± 2.9e | 235 ± 1.5g | 45.1 ± 0.7c | 38.2 ± 0.6e | 27.3 ± 1.0g |
| GP | 10.0 ± 0.6cd | 8.7 ± 0.8de | 6.7 ± 0.8fg | 300 ± 1.4d | 254 ± 2.3f | 207 ± 1.2h | 40.3 ± 0.6de | 32.1 ± 1.0f | 21.8 ± 0.6h |
| CCD + GP | 15.0 ± 0.6a | 13.0 ± 0.6b | 11.7 ± 1.2bc | 389 ± 2.3a | 350 ± 3.5b | 300 ± 2.3d | 60.3 ± 0.5a | 51.3 ± 0.7b | 39.3 ± 0.4d |
| Treatments | Relative Water Contents (%) | Membrane Stability Index (%) | ||||
|---|---|---|---|---|---|---|
| 1.8 dS m−1 | 6 dS m−1 | 12 dS m−1 | 1.8 dS m−1 | 6 dS m−1 | 12 dS m−1 | |
| Control | 44.4 ± 0.4g | 32.0 ± 1.3h | 22.2 ± 1.1i | 32.4 ± 0.9f | 24.0 ± 0.9g | 13.7 ± 1.5h |
| CCD | 70.7 ± 1.0c | 58.3 ± 1.1e | 50.3 ± 0.5f | 56.6 ± 1.2b | 44.7 ± 0.6d | 29.9 ± 0.7f |
| GP | 65.4 ± 0.7d | 51.4 ± 0.7f | 43.9 ± 0.7g | 50.0 ± 0.3c | 37.2 ± 0.6e | 25.0 ± 0.4g |
| CCD + GP | 88.9 ± 0.8a | 75.7 ± 0.4b | 63.2 ± 1.0d | 69.2 ± 1.0a | 59.1 ± 0.7b | 39.2 ± 0.5e |
| Electrolyte Leakage (%) | Osmotic Potential (osmol kg−1) | |||||
| Control | 38.6 ± 1.7d | 52.0 ± 1.1b | 68.7 ± 1.3a | 0.25 ± 0.02fg | 0.20 ± 0.02h | 0.12 ± 0.01i |
| CCD | 25.0 ± 0.8f | 33.0 ± 1.4e | 43.1 ± 1.3c | 0.45 ± 0.01c | 0.32 ± 0.01e | 0.26 ± 0.01f |
| GP | 32.4 ± 0.8e | 41.2 ± 1.4cd | 52.2 ± 0.9b | 0.39 ± 0.01d | 0.25 ± 0.02fgh | 0.20 ± 0.02gh |
| CCD + GP | 16.7 ± 0.6h | 20.7 ± 0.8g | 25.4 ± 0.8f | 0.64 ± 0.02a | 0.54 ± 0.02b | 0.47 ± 0.02c |
Publisher’s Note: MDPI stays neutral with regard to jurisdictional claims in published maps and institutional affiliations. |
© 2021 by the authors. Licensee MDPI, Basel, Switzerland. This article is an open access article distributed under the terms and conditions of the Creative Commons Attribution (CC BY) license (https://creativecommons.org/licenses/by/4.0/).
Share and Cite
Naveed, M.; Aslam, M.K.; Ahmad, Z.; Abbas, T.; Al-Huqail, A.A.; Siddiqui, M.H.; Ali, H.M.; Ashraf, I.; Mustafa, A. Growth Responses, Physiological Alterations and Alleviation of Salinity Stress in Sunflower (Helianthus annuus L.) Amended with Gypsum and Composted Cow Dung. Sustainability 2021, 13, 6792. https://doi.org/10.3390/su13126792
Naveed M, Aslam MK, Ahmad Z, Abbas T, Al-Huqail AA, Siddiqui MH, Ali HM, Ashraf I, Mustafa A. Growth Responses, Physiological Alterations and Alleviation of Salinity Stress in Sunflower (Helianthus annuus L.) Amended with Gypsum and Composted Cow Dung. Sustainability. 2021; 13(12):6792. https://doi.org/10.3390/su13126792
Chicago/Turabian StyleNaveed, Muhammad, Muhammad Kamran Aslam, Zulfiqar Ahmad, Tasawar Abbas, Asma A. Al-Huqail, Manzer H. Siddiqui, Hayssam M. Ali, Irfan Ashraf, and Adnan Mustafa. 2021. "Growth Responses, Physiological Alterations and Alleviation of Salinity Stress in Sunflower (Helianthus annuus L.) Amended with Gypsum and Composted Cow Dung" Sustainability 13, no. 12: 6792. https://doi.org/10.3390/su13126792
APA StyleNaveed, M., Aslam, M. K., Ahmad, Z., Abbas, T., Al-Huqail, A. A., Siddiqui, M. H., Ali, H. M., Ashraf, I., & Mustafa, A. (2021). Growth Responses, Physiological Alterations and Alleviation of Salinity Stress in Sunflower (Helianthus annuus L.) Amended with Gypsum and Composted Cow Dung. Sustainability, 13(12), 6792. https://doi.org/10.3390/su13126792

