Assessing Multi-Criteria Decision Analysis Models for Predicting Groundwater Quality in a River Basin of South India
Abstract
1. Introduction
2. Materials and Methods
2.1. Overview of the Study Area
2.2. Data Collection and Preliminary Analysis
2.3. Assessment of Groundwater Quality Indices
2.3.1. Generation of Concentration Maps
2.3.2. Weight Assignment and Preparation of GQI Map
Unit Weight Model
Rank Sum Model
Analytic Hierarchy Process (AHP) Model
2.4. Validation of the GQI Maps
3. Results and Discussion
3.1. Spatio-Temporal Variation of Groundwater Quality Parameters
3.2. Variability of Groundwater Quality in the Study Area
3.3. Seasonal Groundwater Quality Index Maps of the Study Area
3.3.1. GQI Maps Based on the Unit Weight Model
3.3.2. GQI Maps Based on the Rank Sum Model
3.3.3. GQI Maps Based on Analytic Hierarchy Process (AHP) Model
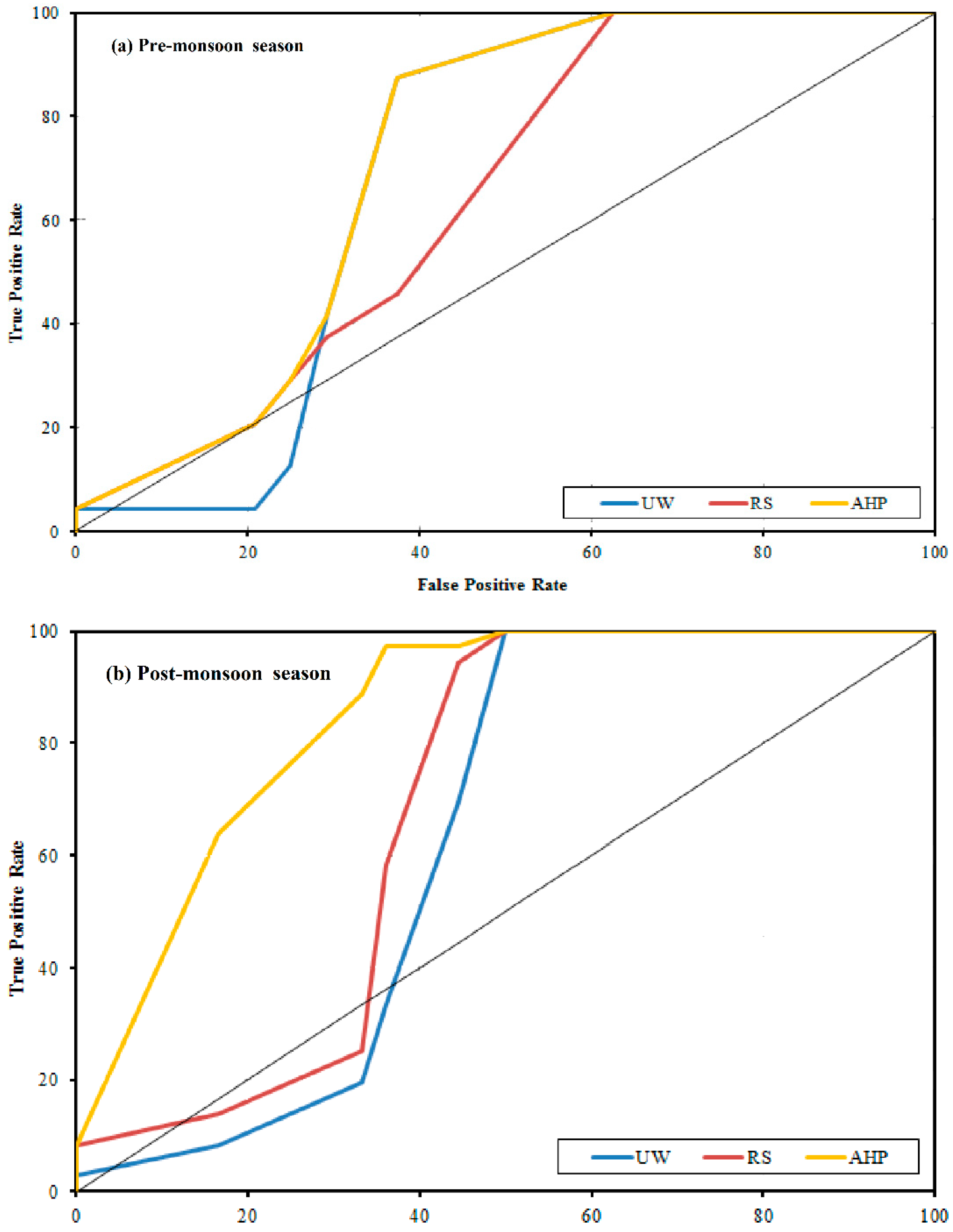
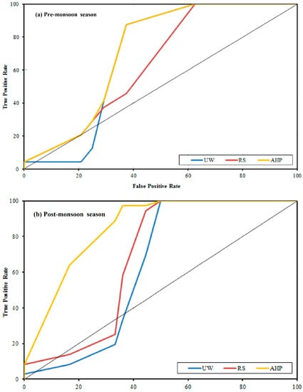
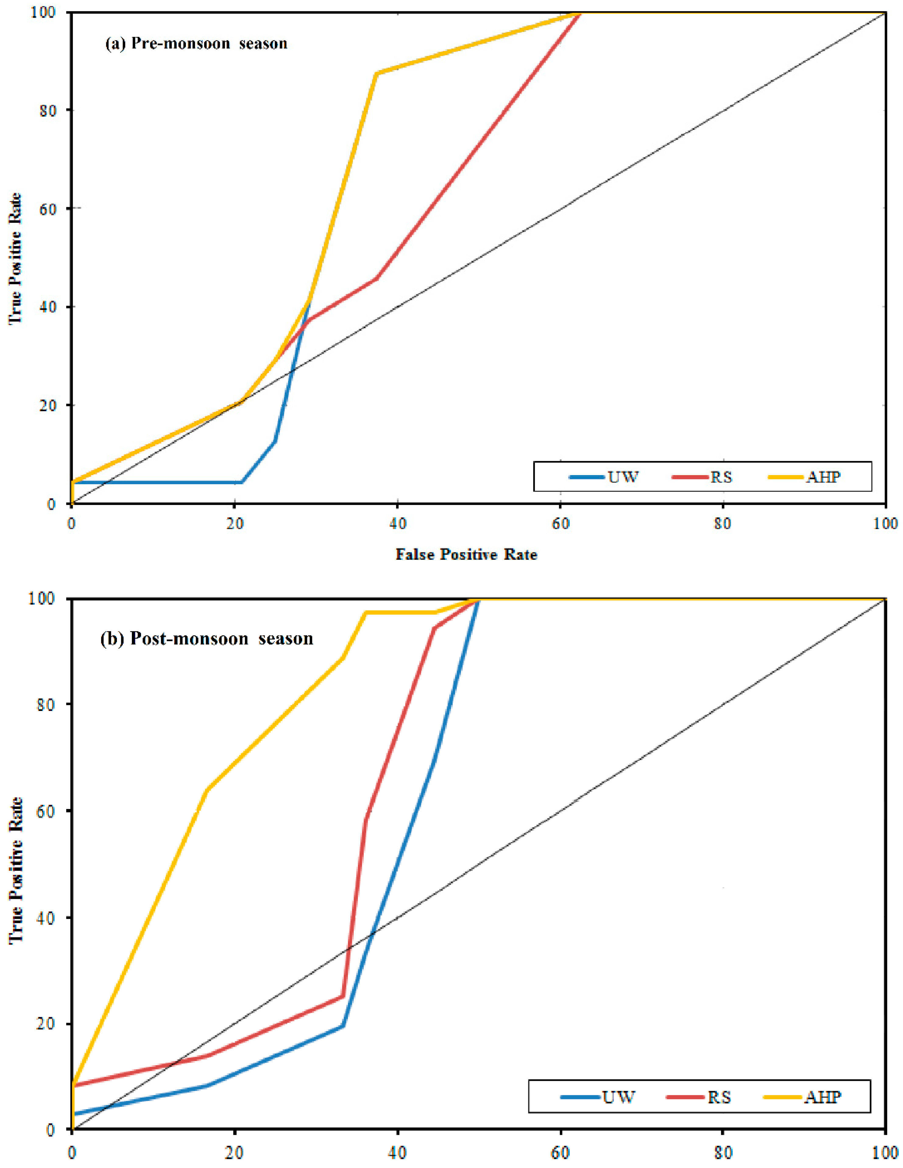
3.4. Comparison of the GQI Maps and Validation
4. Conclusions
Author Contributions
Funding
Institutional Review Board Statement
Informed Consent Statement
Data Availability Statement
Acknowledgments
Conflicts of Interest
Appendix A
| Blocks | Statistics | TDS (mg/L) | Cl-(mg/L) | TH (mg/L) | F−(mg/L) | NO3−-N (mg/L) | Na+ (mg/L) | Ca2+ (mg/L) | Mg2+ (mg/L) | K+ (mg/L) | SO42− (mg/L) |
|---|---|---|---|---|---|---|---|---|---|---|---|
| 1. Lalgudi | Mean | 1292.4 | 484.4 | 542.0 | 0.4 | 18.6 | 277.9 | 87.8 | 74.5 | 74.1 | 43.8 |
| SD | 342.4 | 184.5 | 183.0 | 0.2 | 3.3 | 25.8 | 13.0 | 8.7 | 19.9 | 8.1 | |
| CV | 0.265 | 0.381 | 0.338 | 0.500 | 0.177 | 0.093 | 0.148 | 0.117 | 0.269 | 0.185 | |
| Min | 797.5 | 282.0 | 265.0 | 0.1 | 28.3 | 118.5 | 41.0 | 32.5 | 0.0 | 33.0 | |
| Max | 2005.0 | 879.5 | 835.0 | 0.7 | 99.8 | 399.0 | 148.0 | 135.0 | 205.5 | 76.0 | |
| Trend | Increasing | Increasing ** | Increasing | Decreasing | Increasing | Increasing | Decreasing | Increasing | Increasing * | Increasing | |
| 2. Manapparai | Mean | 1425.0 | 513.6 | 265.7 | 0.6 | 3.9 | 94.8 | 34.7 | 43.5 | 5.7 | 50.1 |
| SD | 519.9 | 190.5 | 93.4 | 0.2 | 0.8 | 27.8 | 5.5 | 7.0 | 2.4 | 2.0 | |
| CV | 0.365 | 0.371 | 0.352 | 0.333 | 0.205 | 0.294 | 0.157 | 0.161 | 0.428 | 0.039 | |
| Min | 601.5 | 151.0 | 182.5 | 0.4 | 1.3 | 27.5 | 22.0 | 26.2 | 0.1 | 44.7 | |
| Max | 2176.0 | 753.5 | 470.0 | 1.0 | 7.0 | 210.5 | 57.0 | 79.6 | 19.5 | 56.7 | |
| Trend | Decreasing | Increasing | Increasing | Decreasing | Increasing | Increasing | Increasing | Increasing | Increasing | Decreasing | |
| 3. Manachchanallur | Mean | 723.8 | 217.4 | 399.2 | 0.6 | 23.4 | 109.3 | 53.0 | 64.8 | 13.8 | 58.7 |
| SD | 191.4 | 99.7 | 80.0 | 0.2 | 2.8 | 7.9 | 3.9 | 3.8 | 4.2 | 10.6 | |
| CV | 0.264 | 0.459 | 0.200 | 0.333 | 0.120 | 0.072 | 0.074 | 0.058 | 0.306 | 0.181 | |
| Min | 213.5 | 70.8 | 276.3 | 0.3 | 3.3 | 29.8 | 30.5 | 42.8 | 0.0 | 38.5 | |
| Max | 1083.3 | 518.5 | 555.0 | 1.0 | 64.8 | 191.3 | 100.5 | 106.6 | 96.3 | 95.5 | |
| Trend | Increasing | Increasing | Increasing | Decreasing | Decreasing | Increasing | Decreasing | Increasing | Decreasing | Decreasing | |
| 4. Marungapuri | Mean | 1032.8 | 323.3 | 481.9 | 0.7 | 7.8 | 261.9 | 51.5 | 99.4 | 12.6 | 52.8 |
| SD | 506.1 | 178.3 | 139.3 | 0.2 | 1.2 | 43.9 | 9.3 | 17.7 | 2.8 | 5.9 | |
| CV | 0.490 | 0.552 | 0.289 | 0.286 | 0.154 | 0.168 | 0.181 | 0.178 | 0.226 | 0.111 | |
| Min | 366.5 | 59.8 | 255.0 | 0.3 | 0.5 | 165.0 | 15.3 | 35.3 | 0.7 | 16.0 | |
| Max | 1728.8 | 549.3 | 691.7 | 0.9 | 28.0 | 481.3 | 118.7 | 250.0 | 43.7 | 89.0 | |
| Trend | Decreasing ** | Decreasing * | Decreasing * | Decreasing | Decreasing | Decreasing ** | Increasing | Increasing | Increasing | Increasing | |
| 5. Musiri | Mean | 661.6 | 190.0 | 357.8 | 0.5 | 17.5 | 108.8 | 52.0 | 50.9 | 11.0 | 76.0 |
| SD | 196.2 | 110.4 | 116.3 | 0.1 | 2.5 | 6.9 | 3.3 | 4.3 | 1.5 | 13.5 | |
| CV | 0.297 | 0.581 | 0.325 | 0.200 | 0.143 | 0.063 | 0.064 | 0.084 | 0.138 | 0.178 | |
| Min | 282.5 | 76.0 | 237.5 | 0.3 | 1.5 | 32.0 | 23.0 | 21.5 | 0.0 | 19.0 | |
| Max | 1186.0 | 629.0 | 640.0 | 0.9 | 41.0 | 200.0 | 110.0 | 141.5 | 39.5 | 169.0 | |
| Trend | Decreasing | Increasing | Increasing | Decreasing | Decreasing * | Decreasing | Decreasing | Increasing | Increasing * | Decreasing | |
| 6. Pullambadi | Mean | 696.3 | 190.0 | 383.4 | 0.5 | 20.8 | 86.7 | 64.3 | 55.2 | 9.6 | 66.0 |
| SD | 271.2 | 121.0 | 126.9 | 0.1 | 4.4 | 17.7 | 7.4 | 5.1 | 3.2 | 8.9 | |
| CV | 0.389 | 0.637 | 0.331 | 0.200 | 0.212 | 0.205 | 0.115 | 0.093 | 0.334 | 0.135 | |
| Min | 335.5 | 37.0 | 165.0 | 0.4 | 10.0 | 8.0 | 31.0 | 17.0 | 0.0 | 27.0 | |
| Max | 1337.0 | 463.0 | 665.0 | 0.6 | 50.0 | 313.0 | 164.0 | 104.0 | 52.5 | 132.0 | |
| Trend | Increasing * | Increasing * | Increasing ** | Decreasing | Increasing | Increasing * | Increasing | Increasing ** | Increasing | Increasing | |
| 7. Thottiyam | Mean | 792.3 | 199.8 | 293.7 | 0.7 | 12.7 | 179.0 | 43.6 | 44.9 | 5.7 | 37.6 |
| SD | 190.2 | 74.9 | 75.7 | 0.3 | 2.1 | 13.8 | 3.6 | 3.8 | 1.3 | 4.7 | |
| CV | 0.240 | 0.375 | 0.258 | 0.429 | 0.165 | 0.077 | 0.083 | 0.084 | 0.223 | 0.126 | |
| Min | 393.0 | 75.7 | 193.3 | 0.4 | 3.3 | 61.3 | 24.7 | 25.0 | 0.0 | 18.0 | |
| Max | 1081.3 | 332.0 | 480.0 | 1.5 | 24.0 | 287.0 | 78.7 | 88.0 | 18.3 | 70.0 | |
| Trend | Increasing | Increasing * | Increasing | Increasing | Decreasing ** | Increasing ** | Decreasing | Increasing | Increasing * | Decreasing | |
| 8. Tiruverumbur | Mean | 806.8 | 261.7 | 315.2 | 0.4 | 8.2 | 158.9 | 56.9 | 41.7 | 37.7 | 44.9 |
| SD | 186.3 | 101.3 | 96.7 | 0.1 | 1.5 | 15.7 | 10.4 | 5.5 | 6.6 | 3.7 | |
| CV | 0.231 | 0.387 | 0.307 | 0.250 | 0.183 | 0.099 | 0.183 | 0.133 | 0.174 | 0.081 | |
| Min | 365.5 | 89.0 | 165.0 | 0.2 | 1.0 | 52.5 | 19.0 | 20.4 | 8.0 | 25.0 | |
| Max | 1062.5 | 439.5 | 470.0 | 0.5 | 16.0 | 219.5 | 152.0 | 82.0 | 69.5 | 76.0 | |
| Trend | Increasing | Increasing | Increasing | Decreasing | Increasing | Increasing | Decreasing | Increasing ** | Decreasing ** | Decreasing | |
| 9. Uppliyapuram | Mean | 410.7 | 92.8 | 266.7 | 0.5 | 7.5 | 50.9 | 32.3 | 45.3 | 11.3 | 70.4 |
| SD | 226.5 | 97.1 | 111.0 | 0.2 | 2.7 | 9.0 | 1.9 | 4.6 | 1.9 | 13.9 | |
| CV | 0.551 | 1.046 | 0.416 | 0.400 | 0.360 | 0.176 | 0.059 | 0.101 | 0.169 | 0.197 | |
| Min | 199.5 | 23.0 | 50.0 | 0.2 | 1.0 | 12.5 | 12.0 | 5.0 | 0.0 | 27.3 | |
| Max | 1455.0 | 553.5 | 722.5 | 0.9 | 57.0 | 253.0 | 61.0 | 148.0 | 39.0 | 128.0 | |
| Trend | Increasing | Increasing | Decreasing | Increasing | Decreasing | Increasing | Decreasing | Decreasing | Increasing | Decreasing | |
| 10. Vaiyampatti | Mean | 761.7 | 237.4 | 389.1 | 0.9 | 9.2 | 132.6 | 51.9 | 61.2 | 2.6 | 29.8 |
| SD | 126.4 | 61.8 | 86.2 | 0.2 | 2.2 | 10.4 | 5.4 | 4.1 | 1.3 | 2.5 | |
| CV | 0.166 | 0.260 | 0.222 | 0.222 | 0.239 | 0.079 | 0.104 | 0.067 | 0.505 | 0.082 | |
| Min | 547.6 | 133.2 | 256.3 | 0.6 | 1.5 | 93.2 | 30.4 | 44.8 | 0.0 | 24.0 | |
| Max | 998.0 | 392.2 | 547.5 | 1.2 | 32.0 | 207.0 | 74.6 | 81.0 | 9.0 | 36.0 | |
| Trend | Increasing | Increasing | Increasing | Increasing | Decreasing | Increasing | Decreasing | Increasing | Increasing * | Decreasing |
| Blocks | Statistics | TDS (mg/L) | Cl-(mg/L) | TH (mg/L) | F- (mg/L) | NO3--N (mg/L) | Na+ (mg/L) | Ca2+ (mg/L) | Mg2+ (mg/L) | K+ (mg/L) | SO42- (mg/L) |
|---|---|---|---|---|---|---|---|---|---|---|---|
| 1. Lalgudi | Mean | 1404.5 | 499.3 | 535.5 | 0.5 | 24.8 | 302.2 | 92.6 | 84.4 | 63.7 | 21.2 |
| SD | 565.8 | 200.8 | 190.4 | 0.2 | 5.4 | 28.7 | 9.8 | 12.1 | 23.1 | 4.0 | |
| CV | 0.403 | 0.402 | 0.356 | 0.400 | 0.218 | 0.095 | 0.106 | 0.143 | 0.362 | 0.190 | |
| Min | 628.0 | 212.5 | 292.5 | 0.3 | 5.0 | 138.5 | 66.0 | 41.5 | 0.0 | 32.4 | |
| Max | 2944.0 | 929.0 | 950.0 | 0.9 | 64.5 | 621.0 | 144.0 | 128.0 | 172.0 | 62.4 | |
| Trend | Decreasing | Decreasing | Increasing | Decreasing | Increasing | Decreasing | Increasing | Decreasing | Increasing | Decreasing | |
| 2. Manapparai | Mean | 1038.6 | 402.2 | 394.6 | 0.5 | 13.5 | 359.8 | 46.1 | 67.9 | 11.4 | 55.6 |
| SD | 475.5 | 224.8 | 258.7 | 0.1 | 3.5 | 61.8 | 9.4 | 21.7 | 3.2 | 11.5 | |
| CV | 0.458 | 0.559 | 0.656 | 0.200 | 0.259 | 0.172 | 0.204 | 0.319 | 0.283 | 0.208 | |
| Min | 272.0 | 53.0 | 197.5 | 0.4 | 1.0 | 157.5 | 18.0 | 29.5 | 0.0 | 32.0 | |
| Max | 1881.0 | 808.0 | 1000.0 | 0.7 | 25.5 | 607.0 | 80.0 | 194.5 | 22.5 | 95.0 | |
| Trend | Decreasing ** | Decreasing ** | Decreasing | Decreasing | Increasing | Increasing | Decreasing | Decreasing | Increasing | Decreasing | |
| 3. Manachchanallur | Mean | 803.2 | 228.7 | 471.4 | 0.6 | 30.6 | 124.8 | 58.2 | 55.0 | 12.2 | 54.4 |
| SD | 214.2 | 105.7 | 171.4 | 0.1 | 4.7 | 19.6 | 9.7 | 3.7 | 1.3 | 5.6 | |
| CV | 0.267 | 0.462 | 0.364 | 0.167 | 0.154 | 0.157 | 0.166 | 0.068 | 0.108 | 0.103 | |
| Min | 607.8 | 119.5 | 235.0 | 0.4 | 4.0 | 67.5 | 22.5 | 38.0 | 9.0 | 39.0 | |
| Max | 1404.0 | 509.1 | 920.0 | 0.8 | 68.7 | 188.8 | 85.5 | 64.5 | 17.3 | 74.0 | |
| Trend | Increasing | Increasing | Decreasing | Decreasing | Increasing | Decreasing | Decreasing | Increasing | Increasing | Decreasing | |
| 4. Marungapuri | Mean | 944.1 | 362.9 | 363.2 | 0.9 | 11.4 | 192.5 | 45.2 | 87.3 | 13.4 | 16.8 |
| SD | 344.6 | 139.8 | 140.7 | 0.3 | 2.9 | 36.0 | 4.5 | 14.6 | 2.7 | 3.3 | |
| CV | 0.365 | 0.385 | 0.387 | 0.333 | 0.254 | 0.187 | 0.099 | 0.168 | 0.199 | 0.198 | |
| Min | 562.3 | 170.3 | 132.5 | 0.6 | 5.3 | 92.3 | 30.5 | 42.8 | 0.0 | 35.0 | |
| Max | 1741.8 | 761.5 | 710.0 | 1.4 | 29.5 | 364.0 | 62.0 | 159.8 | 22.5 | 52.5 | |
| Trend | Increasing | Increasing | Increasing | Increasing | Increasing | Increasing | Decreasing | Increasing | Increasing | Increasing | |
| 5. Musiri | Mean | 843.3 | 241.1 | 391.2 | 0.7 | 26.7 | 155.7 | 65.6 | 55.5 | 11.0 | 59.7 |
| SD | 385.5 | 124.5 | 118.8 | 0.2 | 6.6 | 23.2 | 6.3 | 4.5 | 3.4 | 12.2 | |
| CV | 0.457 | 0.516 | 0.304 | 0.286 | 0.247 | 0.149 | 0.097 | 0.082 | 0.309 | 0.204 | |
| Min | 498.0 | 133.0 | 215.0 | 0.5 | 3.5 | 66.0 | 29.0 | 30.0 | 0.0 | 32.0 | |
| Max | 2281.5 | 730.0 | 760.0 | 1.0 | 95.5 | 444.0 | 112.0 | 116.5 | 60.5 | 108.0 | |
| Trend | Increasing | Increasing | Increasing | Increasing | Decreasing | Increasing ** | Increasing | Increasing | Increasing ** | Decreasing | |
| 6. Pullambadi | Mean | 550.1 | 137.8 | 303.8 | 0.2 | 16.3 | 82.4 | 54.4 | 41.6 | 6.1 | 40.8 |
| SD | 145.1 | 59.7 | 77.9 | 0.1 | 2.5 | 8.7 | 5.3 | 3.1 | 1.4 | 4.4 | |
| CV | 0.264 | 0.433 | 0.256 | 0.500 | 0.153 | 0.106 | 0.098 | 0.073 | 0.230 | 0.107 | |
| Min | 346.0 | 58.5 | 170.0 | 0.1 | 7.0 | 24.0 | 23.0 | 15.5 | 0.0 | 29.5 | |
| Max | 789.0 | 244.5 | 445.0 | 0.4 | 27.0 | 150.5 | 98.0 | 60.0 | 20.0 | 53.0 | |
| Trend | Increasing | Increasing | Increasing | Decreasing ** | Increasing | Increasing | Decreasing | Increasing | Increasing * | Decreasing | |
| 7. Thottiyam | Mean | 961.1 | 259.7 | 358.5 | 0.5 | 26.3 | 208.2 | 55.8 | 52.6 | 23.4 | 57.3 |
| SD | 296.7 | 126.3 | 127.5 | 0.3 | 3.7 | 19.0 | 6.4 | 5.5 | 13.6 | 9.6 | |
| CV | 0.309 | 0.486 | 0.356 | 0.600 | 0.141 | 0.091 | 0.114 | 0.104 | 0.583 | 0.167 | |
| Min | 518.0 | 64.0 | 166.7 | 0.3 | 2.5 | 67.7 | 22.0 | 17.7 | 0.0 | 30.0 | |
| Max | 1586.0 | 533.0 | 665.0 | 1.1 | 66.0 | 383.7 | 128.0 | 98.3 | 263.0 | 83.0 | |
| Trend | Increasing * | Increasing * | Increasing ** | Decreasing | Increasing | Increasing | Increasing | Increasing * | Increasing | Decreasing | |
| 8. Tiruverumbur | Mean | 690.5 | 237.8 | 260.8 | 0.4 | 7.1 | 150.7 | 46.8 | 35.0 | 14.1 | 18.7 |
| SD | 163.1 | 102.1 | 64.3 | 0.1 | 2.5 | 15.1 | 6.7 | 6.0 | 3.6 | 2.8 | |
| CV | 0.236 | 0.429 | 0.247 | 0.250 | 0.352 | 0.100 | 0.143 | 0.172 | 0.253 | 0.147 | |
| Min | 490.0 | 101.0 | 197.5 | 0.3 | 0.5 | 92.5 | 25.0 | 20.7 | 1.5 | 40.5 | |
| Max | 952.5 | 367.0 | 395.0 | 0.6 | 17.8 | 201.0 | 65.0 | 57.1 | 24.0 | 56.0 | |
| Trend | Increasing | Increasing | Increasing | Decreasing * | Decreasing | Increasing | Decreasing | Increasing * | Increasing | Decreasing | |
| 9. Uppliyapuram | Mean | 428.3 | 80.7 | 289.2 | 0.6 | 16.9 | 47.1 | 36.3 | 47.4 | 11.5 | 49.9 |
| SD | 167.8 | 64.9 | 103.6 | 0.2 | 3.2 | 7.4 | 4.0 | 5.8 | 3.3 | 7.8 | |
| CV | 0.392 | 0.804 | 0.358 | 0.333 | 0.189 | 0.157 | 0.111 | 0.122 | 0.290 | 0.157 | |
| Min | 233.5 | 21.0 | 162.5 | 0.3 | 2.5 | 10.5 | 12.0 | 29.0 | 0.0 | 31.0 | |
| Max | 758.5 | 289.0 | 585.0 | 0.8 | 39.0 | 123.0 | 70.0 | 123.5 | 41.5 | 71.0 | |
| Trend | Increasing | Decreasing | Increasing | Decreasing | Decreasing | Increasing | Increasing | Decreasing | Increasing | Decreasing | |
| 10. Vaiyampatti | Mean | 896.9 | 293.9 | 418.4 | 0.8 | 16.9 | 165.1 | 50.4 | 72.0 | 15.2 | 51.3 |
| SD | 344.0 | 149.8 | 129.1 | 0.1 | 5.1 | 18.2 | 5.6 | 7.0 | 4.0 | 8.7 | |
| CV | 0.384 | 0.510 | 0.309 | 0.125 | 0.302 | 0.110 | 0.112 | 0.098 | 0.266 | 0.170 | |
| Min | 372.4 | 84.2 | 223.0 | 0.6 | 5.4 | 49.8 | 19.2 | 27.8 | 0.0 | 30.0 | |
| Max | 1809.4 | 733.8 | 663.0 | 1.0 | 50.6 | 381.2 | 111.6 | 149.4 | 54.6 | 82.0 | |
| Trend | Increasing | Increasing | Increasing | Increasing | Increasing | Increasing | Decreasing * | Increasing | Increasing * | Decreasing |
| TDS | TH | Mg2+ | Ca2+ | Na+ | K+ | Cl− | SO42− | F− | NO3−-N | |
|---|---|---|---|---|---|---|---|---|---|---|
| TDS | 1 | |||||||||
| TH | 0.93 | 1 | ||||||||
| Mg2+ | −0.03 | 0.00 | 1 | |||||||
| Ca2+ | −0.08 | −0.02 | 0.93 | 1 | ||||||
| Na+ | 0.86 | 0.67 | 0.19 | 0.09 | 1 | |||||
| K+ | 0.37 | 0.40 | 0.31 | 0.33 | 0.15 | 1 | ||||
| Cl− | 0.93 | 0.84 | 0.21 | 0.14 | 0.92 | 0.34 | 1 | |||
| SO42− | 0.77 | 0.79 | 0.32 | 0.17 | 0.62 | 0.45 | 0.75 | 1 | ||
| F− | 0.14 | 0.24 | −0.14 | −0.26 | 0.09 | −0.37 | 0.03 | 0.24 | 1 | |
| NO3−-N | 0.48 | 0.539 | 0.03 | 0.10 | 0.48 | −0.09 | 0.45 | 0.25 | −0.10 | 1 |
| TDS | TH | Mg2+ | Ca2+ | Na+ | K+ | Cl− | SO42− | F− | NO3−-N | |
|---|---|---|---|---|---|---|---|---|---|---|
| TDS | 1 | |||||||||
| TH | 0.90 | 1 | ||||||||
| Mg2+ | 0.90 | 0.95 | 1 | |||||||
| Ca2+ | 0.80 | 0.88 | 0.85 | 1 | ||||||
| Na+ | 0.83 | 0.52 | 0.52 | 0.44 | 1 | |||||
| K+ | 0.15 | 0.07 | 0.06 | 0.15 | 0.07 | 1 | ||||
| Cl− | 0.96 | 0.95 | 0.95 | 0.84 | 0.69 | 0.10 | 1 | |||
| SO42− | 0.63 | 0.52 | 0.53 | 0.38 | 0.57 | 0.10 | 0.58 | 1 | ||
| F− | 0.41 | 0.22 | 0.26 | −0.03 | 0.45 | −0.23 | 0.28 | 0.20 | 1 | |
| NO3−-N | 0.83 | 0.79 | 0.79 | 0.69 | 0.60 | 0.01 | 0.84 | 0.42 | 0.27 | 1 |
References
- WWAP. The United Nations World Water Development Report 4: Managing Water under Uncertainty and Risk; World Water Assessment Programme (WWAP): Paris, France, 2012. [Google Scholar]
- World Bank. Deep Wells and Prudence: Towards Pragmatic Action for Addressing Groundwater Overexploitation in India; Report-51676; World Bank: Washington, DC, USA, 2010. [Google Scholar]
- CGWB. Dynamic Groundwater Resources of India (as on March 2013); Central Ground Water Board (CGWB), Ministry of Water Resources, Government of India: New Delhi, India, 2017.
- Causape, J.; Quilez, D.; Aragues, R. Groundwater quality irrigation in CR-V irrigation district (Bardenas I, Spain): Alternative scenarios to reduce off-site salt and nitrate contamination. Agric. Water Manag. 2006, 84, 281–289. [Google Scholar] [CrossRef]
- Saidi, S.; Bouri, S.; Ben Dhia, H. Groundwater vulnerability and risk mapping of the Hajeb-jelma Aquifer (Central Tunisia) using a GIS-based DRASTIC model. Environ. Earth Sci. 2009, 59, 1579–1588. [Google Scholar] [CrossRef]
- Sethy, N.S.; Syed, T.H.; Kumar, A. Evaluation of groundwater quality in parts of the Southern Gangetic Plain using water quality indices. Environ. Earth Sci. 2017, 76, 116. [Google Scholar] [CrossRef]
- Machiwal, D.; Jha, M.K.; Mal, B.C. GIS-based assessment and characterization of groundwater quality in a hard-rock hilly terrain of Western India. Environ. Monit. Assess. 2011, 174, 645–663. [Google Scholar] [CrossRef]
- Sanchez, E.; Colmenarejo, M.F.; Vicente, J.; Rubio, A.; Garcia, M.G.; Travieso, L.; Borja, R. Use of the water quality index and dissolved oxygen deficit as simple indicators of watersheds pollution. Ecol. Indic. 2007, 7, 315–328. [Google Scholar] [CrossRef]
- Abbasi, T.; Abbasi, S.A. Why Water-Quality Indices; Elsevier: Amsterdam, The Netherlands, 2012. [Google Scholar]
- Bodrud-Doza, M.; Islam, A.R.M.T.; Ahmed, F.; Das, S.; Saha, N.; Rahman, M.S. Characterization of groundwater quality using water evaluation indices, multivariate statistics and geostatistics in central Bangladesh. Water Sci. 2016, 30, 19–40. [Google Scholar] [CrossRef]
- Stigter, T.Y.; Ribeiro, L. Carvalho Dill, A.M.M. Application of a groundwater quality index as an assessment and communication tool in agro-environmental policies: Two Portuguese case studies. J. Hydrol. 2006, 327, 578–591. [Google Scholar] [CrossRef]
- Babiker, I.S.; Mohamed, M.M.A.; Hiyama, T. Assessing groundwater quality using GIS. Water Resour. Manag. 2007, 21, 699–715. [Google Scholar] [CrossRef]
- Yidana, S.M.; Banoeng-yakubo, B.; Akabzaa, T.M. Analysis of groundwater quality using multivariate and spatial analyses in the Keta basin, Ghana. J. Afr. Earth Sci. 2010, 58, 220–234. [Google Scholar] [CrossRef]
- Venkatramanan, S.; Chung, S.Y.; Ramkumar, T.; Rajesh, R.; Gnanachandrasamy, G. Assessment of groundwater quality using GIS and CCME WQI techniques: A case study of Thiruthuraipoondi city in Cauvery deltaic region, Tamil Nadu, India. Desalination Water Treat. 2016, 57, 12058–12073. [Google Scholar] [CrossRef]
- Selvam, S.; Venkatramanan, S.; Singaraja, C. A GIS-based assessment of water quality pollution indices for heavy metal contamination in Tuticorin Corporation, Tamilnadu, India. Arab. J. Geosci. 2015, 8, 10611–10623. [Google Scholar] [CrossRef]
- Shah, K.A.; Joshi, G.S. Evaluation of water quality index for River Sabarmati, Gujarat, India. Appl. Water Sci. 2017, 7, 1349–1358. [Google Scholar] [CrossRef]
- Rao, K.N.; Latha, P.S. Groundwater quality assessment using water quality index with a special focus on vulnerable tribal region of Eastern Ghats hard rock terrain, Southern India. Arab. J. Geosci. 2019, 12, 1–16. [Google Scholar] [CrossRef]
- Zhang, B.; Song, X.; Zhang, Y.; Han, D.; Tang, C.; Yiu, Y.; Ma, Y. Hydrochemical characteristics and water quality assessment of surface water and groundwater in Songnen plain, Northeast China. Water Res. 2012, 46, 2737–2748. [Google Scholar] [CrossRef]
- Kumar, S.K.; Bharani, R.; Magesh, N.S.; Godson, P.S.; Chandrasekar, N. Hydrogeochemistry and groundwater quality appraisal of part of south Chennai coastal aquifers, Tamil Nadu, India using WQI and fuzzy logic method. Appl. Water Sci. 2014, 4, 341–350. [Google Scholar] [CrossRef]
- Hosseini-Moghari, S.M.; Ebrahimi, K.; Azarnivand, A. Groundwater quality assessment with respect to fuzzy water quality index (FWQI): An application of expert systems in environmental monitoring. Environ. Earth Sci. 2015, 74, 7229–7238. [Google Scholar] [CrossRef]
- Jha, M.K.; Shekhar, A.; Jenifer, M.A. Assessing groundwater quality for drinking water supply using hybrid fuzzy-GIS-based water quality index. Water Res. 2020, 179, 115867. [Google Scholar] [CrossRef]
- Srivastava, P.K.; Kiran, G.; Gupta, M.; Sharma, N.; Prasad, K. A study on distribution of heavy metal contamination in the vegetables using GIS and analytical technique. Int. J. Ecol. Dev. 2012, 21, 89–99. [Google Scholar]
- Tiwari, A.K.; Singh, P.K.; Mahato, M.K. GIS-based evaluation of water quality index of groundwater resources in west Bokaro coalfield, India. Curr. World Environ. 2014, 9, 843–850. [Google Scholar] [CrossRef]
- Ramesh, S.; Sukumaran, N.; Murugesan, A.G.; Rajan, M.P. An innovative approach of drinking water quality index-a case study from Southern Tamil Nadu, India. Ecol. Indic. 2010, 10, 857–868. [Google Scholar] [CrossRef]
- Vasanthavigar, M.; Srinivasamoorthy, K.; Vijayaragavan, R.; Ganthi, R.R.; Chidambaran, S.; Anandhan, P.; Manivannan, R.; Vasudevan, S. Application of water quality index for groundwater quality assessment: Thirumanimuttar sub-basin, Tamilnadu, India. Environ. Monit. Assess. 2010, 171, 595–609. [Google Scholar] [CrossRef]
- CGWB. District Groundwater Brochure—Tiruchirappalli district, Tamil Nadu; Central Ground Water Board (CGWB), Ministry of Water Resources, Government of India: New Delhi, India, 2008.
- Jenifer, M.A.; Jha, M.K. Comparison of Analytic Hierarchy Process, Catastrophe and Entropy techniques for evaluating groundwater prospect of hard-rock aquifer systems. J. Hydrol. 2017, 548, 605–624. [Google Scholar] [CrossRef]
- Brown, R.M.; McCleiland, N.J.; Deininger, R.A.; O’Connor, M.F. A water quality index: Crossing the psychological barrier. In Proceedings of the International Conference on Water Pollution Research, Jerusalem, Israel, 18–24 June 1972; pp. 787–797. [Google Scholar]
- Ram, A.; Tiwari, S.K.; Pandey, H.K.; Chaurasia, A.K.; Singh, S.; Singh, Y.V. Groundwater quality assessment using water quality index (WQI) under GIS framework. Appl. Water Sci. 2021, 11, 1–20. [Google Scholar] [CrossRef]
- Asadi, S.S.; Vuppala, P.; Reddy, M.A. Remote Sensing and GIS techniques for evaluation of groundwater in municipal corporation of Hyderabad (Zone-V), India. Int. J. Environ. Res. Public Health 2007, 4, 45–52. [Google Scholar] [CrossRef] [PubMed]
- Buede, D.M. The Engineering Design of Systems; John Wiley and Sons: Hoboken, NJ, USA, 2009. [Google Scholar]
- Saaty, T.L. The Analytic Hierarchy Process: Planning, Priority Setting, Resource Allocation; McGraw-Hill: New York, NY, USA, 1980. [Google Scholar]
- Mason, S.J.; Graham, N.E. Areas beneath the relative operating characteristics (ROC) and relative operating levels (ROL) curves: Statistical significance and interpretation. Q. J. R. Meteorol. Soc. 2002, 128, 2145–2166. [Google Scholar] [CrossRef]
- Swets, J.A. Measuring the accuracy of diagnostic systems. Science 1973, 240, 1285–1293. [Google Scholar] [CrossRef] [PubMed]
- Devkota, K.C.; Regmi, A.D.; Pourghasemi, H.R.; Youshid, K.; Pradhan, B.; Ryu, I.; Dhital, M.R.; Althuwanee, O.F. Landslide susceptibility mapping using certainty factor, index of entropy and logistic regression models in GIS and their comparison at Mugling-Narayanghat road section in Nepal Himalaya. Nat. Hazards 2013, 65, 135–165. [Google Scholar] [CrossRef]
- Yesilnacar, E.; Topal, T. Landslide susceptibility mapping: A comparison of logistic regression and neural networks methods in a medium scale study, Hendek region (Turkey). Eng. Geol. 2005, 79, 251–266. [Google Scholar] [CrossRef]
- Zhou, Z.; Zhang, G.; Yan, M.; Wang, J. Spatial variability of the shallow groundwater level and its chemistry characteristics in the low plain around the Bohai Sea, North China. Environ. Monit. Assess. 2011, 184, 3697–3710. [Google Scholar] [CrossRef]











| Sl. No. | Groundwater Quality Parameters | WHO (2017) Threshold Value or * Guideline Value Si (mg/L) | 1/Si | K | Weights (Wi) |
|---|---|---|---|---|---|
| 1 | Mg2+ | 300 | 0.0033 | 1.1161 | 0.0037 |
| 2 | * F− | 1.5 | 0.6667 | 1.1161 | 0.7440 |
| 3 | TDS | 500 | 0.0020 | 1.1161 | 0.0022 |
| 4 | Ca2+ | 300 | 0.0033 | 1.1161 | 0.0037 |
| 5 | Na+ | 200 | 0.0050 | 1.1161 | 0.0056 |
| 6 | SO42− | 250 | 0.0040 | 1.1161 | 0.0045 |
| 7 | K+ | 10 | 0.1000 | 1.1161 | 0.1116 |
| 8 | Cl− | 200 | 0.0050 | 1.1161 | 0.0056 |
| 9 | * NO3-−-N | 10 | 0.1000 | 1.1161 | 0.1116 |
| 10 | TH | 150 | 0.0067 | 1.1161 | 0.0074 |
| ∑1/Si = 0.8960 | Total = 1 | ||||
| Groundwater Quality Zone | GQI Range | Pre-Monsoon Season | Post-Monsoon Season | ||
|---|---|---|---|---|---|
| Area (km2) | Area (%) | Area (km2) | Area (%) | ||
| 1. Very Good | 0–25 | 172.11 | 3.82 | 383.74 | 8.51 |
| 2. Good | 25–50 | 2820.75 | 62.63 | 2086.85 | 46.29 |
| 3. Moderate | 50–75 | 919.98 | 20.43 | 1242.71 | 27.57 |
| 4. Poor | 75–100 | 481.86 | 10.70 | 600.14 | 13.31 |
| 5. Very Poor | 100–125 | 50.69 | 1.13 | 157.12 | 3.49 |
| 6. Unfit | >125 | 58.40 | 1.30 | 37.430 | 0.83 |
| Sl. No. | Groundwater Quality Parameters | Rank (ri) | Total No. of Parameters (K) | K − ri + 1 | Weights (Wi) |
|---|---|---|---|---|---|
| 1 | Mg2+ | 10 | 10 | 1 | 0.0182 |
| 2 | F− | 2 | 10 | 9 | 0.1636 |
| 3 | TDS | 6 | 10 | 5 | 0.0909 |
| 4 | Ca2+ | 8 | 10 | 3 | 0.0545 |
| 5 | Na+ | 4 | 10 | 7 | 0.1273 |
| 6 | SO42− | 7 | 10 | 4 | 0.0727 |
| 7 | K+ | 9 | 10 | 2 | 0.0364 |
| 8 | Cl− | 3 | 10 | 8 | 0.1455 |
| 9 | NO3−-N | 1 | 10 | 10 | 0.1818 |
| 10 | TH | 5 | 10 | 6 | 0.1091 |
| Total = 55 | Total = 1 |
| Groundwater Quality Zone | GQI Range | Pre-Monsoon Season | Post-Monsoon Season | ||
|---|---|---|---|---|---|
| Area (km2) | Area (%) | Area (km2) | Area (%) | ||
| 1. Very Good | 0–50 | 95.65 | 2.13 | 86.23 | 1.91 |
| 2. Good | 50–100 | 3586.92 | 79.76 | 1120.58 | 24.86 |
| 3. Moderate | 100–150 | 633.61 | 14.09 | 2428.58 | 53.88 |
| 4. Poor | 150–200 | 152.16 | 3.38 | 552.41 | 12.26 |
| 5. Very Poor | 200–250 | 7.37 | 0.16 | 209.65 | 4.65 |
| 6. Unfit | >250 | 21.64 | 0.48 | 110.11 | 2.44 |
| Themes | Mg2+ | F− | TDS | Ca2+ | Na+ | SO42− | K+ | Cl− | NO3−-N | TH | Normalized Weights |
|---|---|---|---|---|---|---|---|---|---|---|---|
| Mg2+ | 1 | 1/8 | 1/4 | 1/2 | 1/6 | 1/3 | 1/2 | 1/7 | 1/9 | 1/5 | 0.017 |
| F− | 8 | 1 | 5 | 7 | 3 | 6 | 7 | 2 | 1/2 | 4 | 0.215 |
| TDS | 4 | 1/5 | 1 | 3 | 1/3 | 2 | 3 | 1/4 | 1/6 | 1/2 | 0.052 |
| Ca2+ | 2 | 1/7 | 1/3 | 1 | 1/5 | 1/2 | 1 | 1/6 | 1/8 | 1/4 | 0.024 |
| Na+ | 6 | 1/3 | 3 | 5 | 1 | 4 | 5 | 1/2 | 1/4 | 2 | 0.109 |
| SO42− | 3 | 1/6 | 1/2 | 2 | 1/4 | 1 | 2 | 1/5 | 1/7 | 1/3 | 0.036 |
| K+ | 2 | 1/7 | 1/3 | 1 | 1/5 | 1/2 | 1 | 1/6 | 1/8 | 1/4 | 0.024 |
| Cl− | 7 | 1/2 | 4 | 6 | 2 | 5 | 6 | 1 | 1/3 | 3 | 0.154 |
| NO3−-N | 9 | 2 | 6 | 8 | 4 | 7 | 8 | 3 | 1 | 5 | 0.292 |
| TH | 5 | 1/4 | 2 | 4 | 1/2 | 3 | 4 | 1/3 | 1/5 | 1 | 0.076 |
| Column Total | 1 | ||||||||||
| Sl. No. | Theme | Theme Weight | Wi | Feature Class | Groundwater Prospect | Feature Weight | wj |
|---|---|---|---|---|---|---|---|
| 1 | Mg2+ | 1 | 0.017 | <50 | Desirable Limit | 1 | 0.136 |
| 50–100 | Desirable Limit | 2 | 0.238 | ||||
| 100–200 | Desirable Limit | 4 | 0.625 | ||||
| 2 | F− | 8 | 0.215 | <0.6 | Very Less | 4 | 0.258 |
| 0.6–1.5 | Desirable Limit | 1 | 0.069 | ||||
| 1.5–1.7 | Maximum Permissible Limit | 2 | 0.11 | ||||
| >1.7 | Not Suitable | 6 | 0.562 | ||||
| 3 | TDS | 4 | 0.052 | <500 | Desirable Limit | 1 | 0.081 |
| 500–1500 | Maximum Permissible Limit | 3 | 0.188 | ||||
| >1500 | Not Suitable | 7 | 0.731 | ||||
| 4 | Ca2+ | 2 | 0.024 | <30 | Desirable Limit | 1 | 0.095 |
| 30–50 | Desirable Limit | 2 | 0.16 | ||||
| 50–70 | Desirable Limit | 3 | 0.278 | ||||
| >70 | Desirable Limit | 4 | 0.467 | ||||
| 5 | Na+ | 6 | 0.109 | <200 | Desirable Limit | 1 | 0.072 |
| 200–500 | Not Suitable | 5 | 0.279 | ||||
| >500 | Not Suitable | 7 | 0.649 | ||||
| 6 | SO42− | 3 | 0.036 | <75 | Desirable Limit | 1 | 0.069 |
| 75–100 | Desirable Limit | 2 | 0.11 | ||||
| 100–250 | Desirable Limit | 4 | 0.258 | ||||
| >250 | Not Suitable | 6 | 0.562 | ||||
| 7 | K+ | 2 | 0.24 | <10 | Desirable Limit | 2 | 0.105 |
| 10–50 | Not Suitable | 4 | 0.258 | ||||
| >50 | Not Suitable | 6 | 0.637 | ||||
| 8 | Cl− | 7 | 0.154 | <200 | Desirable Limit | 2 | 0.075 |
| 200–600 | Maximum Permissible Limit | 5 | 0.229 | ||||
| >600 | Not Suitable | 8 | 0.696 | ||||
| 9 | NO3−-N | 9 | 0.292 | <10 | Desirable Limit | 2 | 0.045 |
| 10–50 | Not Suitable | 6 | 0.156 | ||||
| 50–100 | Not Suitable | 7 | 0.249 | ||||
| >100 | Not Suitable | 9 | 0.55 | ||||
| 10 | TH | 5 | 0.076 | 75–150 | Moderately Hard | 3 | 0.073 |
| 150–300 | Hard | 5 | 0.17 | ||||
| 300–500 | Very Hard | 7 | 0.285 | ||||
| 500–1000 | Very Hard | 8 | 0.472 |
| Sl. No. | Theme | Theme Weight | Wi | Feature Class | Groundwater Prospect | Feature Weight | wj |
|---|---|---|---|---|---|---|---|
| 1 | Mg2+ | 1 | 0.017 | <50 | Desirable Limit | 1 | 0.046 |
| 50–100 | Desirable Limit | 2 | 0.069 | ||||
| 100–200 | Desirable Limit | 4 | 0.154 | ||||
| 200–300 | Desirable Limit | 5 | 0.238 | ||||
| >300 | Not Suitable | 7 | 0.493 | ||||
| 2 | F− | 8 | 0.215 | <0.6 | Very Less | 4 | 0.258 |
| 0.6–1.5 | Desirable Limit | 1 | 0.069 | ||||
| 1.5–1.7 | Maximum Permissible Limit | 2 | 0.11 | ||||
| >1.7 | Not Suitable | 6 | 0.562 | ||||
| 3 | TDS | 4 | 0.052 | <500 | Desirable Limit | 1 | 0.081 |
| 500–1500 | Maximum Permissible Limit | 3 | 0.188 | ||||
| >1500 | Not Suitable | 7 | 0.731 | ||||
| 4 | Ca2+ | 2 | 0.024 | <30 | Desirable Limit | 1 | 0.095 |
| 30–50 | Desirable Limit | 2 | 0.16 | ||||
| 50–70 | Desirable Limit | 3 | 0.278 | ||||
| >70 | Desirable Limit | 4 | 0.467 | ||||
| 5 | Na+ | 6 | 0.109 | <200 | Desirable Limit | 1 | 0.072 |
| 200–500 | Not Suitable | 5 | 0.279 | ||||
| >500 | Not Suitable | 7 | 0.649 | ||||
| 6 | SO42− | 3 | 0.036 | <75 | Desirable Limit | 1 | 0.136 |
| 75–100 | Desirable Limit | 2 | 0.238 | ||||
| 100–250 | Desirable Limit | 4 | 0.625 | ||||
| 7 | K+ | 2 | 0.24 | <10 | Desirable Limit | 2 | 0.105 |
| 10–50 | Not Suitable | 4 | 0.258 | ||||
| >50 | Not Suitable | 6 | 0.637 | ||||
| 8 | Cl− | 7 | 0.154 | <200 | Desirable Limit | 2 | 0.075 |
| 200–600 | Maximum Permissible Limit | 5 | 0.229 | ||||
| >600 | Not Suitable | 8 | 0.696 | ||||
| 9 | NO3−-N | 9 | 0.292 | <10 | Desirable Limit | 2 | 0.045 |
| 10–50 | Not Suitable | 6 | 0.156 | ||||
| 50–100 | Not Suitable | 7 | 0.249 | ||||
| >100 | Not Suitable | 9 | 0.55 | ||||
| 10 | TH | 5 | 0.076 | 150–300 | Hard | 5 | 0.061 |
| 300–500 | Very Hard | 7 | 0.133 | ||||
| 500–1000 | Very Hard | 8 | 0.311 | ||||
| >1000 | Very Hard | 9 | 0.495 |
| Groundwater Quality Zone | GQI Range | Pre-Monsoon Season | Post-Monsoon Season | ||
|---|---|---|---|---|---|
| Area (km2) | Area (%) | Area (km2) | Area (%) | ||
| 1. Very Good | 0–50 | 257.01 | 5.71 | 110.66 | 2.46 |
| 2. Good | 50–100 | 1981.78 | 44.00 | 3648.99 | 80.97 |
| 3. Moderate | 100–150 | 1462.66 | 32.48 | 587.41 | 13.03 |
| 4. Poor | 150–200 | 563.88 | 12.52 | 141.50 | 3.14 |
| 5. Very Poor | 200–250 | 139.53 | 3.10 | 12.82 | 0.28 |
| 6. Unfit | >250 | 98.94 | 2.20 | 5.05 | 0.11 |
Publisher’s Note: MDPI stays neutral with regard to jurisdictional claims in published maps and institutional affiliations. |
© 2021 by the authors. Licensee MDPI, Basel, Switzerland. This article is an open access article distributed under the terms and conditions of the Creative Commons Attribution (CC BY) license (https://creativecommons.org/licenses/by/4.0/).
Share and Cite
Jenifer, M.A.; Jha, M.K.; Khatun, A. Assessing Multi-Criteria Decision Analysis Models for Predicting Groundwater Quality in a River Basin of South India. Sustainability 2021, 13, 6719. https://doi.org/10.3390/su13126719
Jenifer MA, Jha MK, Khatun A. Assessing Multi-Criteria Decision Analysis Models for Predicting Groundwater Quality in a River Basin of South India. Sustainability. 2021; 13(12):6719. https://doi.org/10.3390/su13126719
Chicago/Turabian StyleJenifer, M. Annie, Madan Kumar Jha, and Amina Khatun. 2021. "Assessing Multi-Criteria Decision Analysis Models for Predicting Groundwater Quality in a River Basin of South India" Sustainability 13, no. 12: 6719. https://doi.org/10.3390/su13126719
APA StyleJenifer, M. A., Jha, M. K., & Khatun, A. (2021). Assessing Multi-Criteria Decision Analysis Models for Predicting Groundwater Quality in a River Basin of South India. Sustainability, 13(12), 6719. https://doi.org/10.3390/su13126719

