Abstract
Jojoba oil biofuel is a potential alternative to diesel fuel with attractive properties, but its flow behavior under the operating conditions of a diesel engine still needs to be clarified. In this study, the rheological properties of the jojoba biofuel are presented in assessment with diesel fuel to experimentally evaluate both their flow behaviors at different operating temperatures. A Fann-type coaxial cylinder viscometer was employed. The shear stress of the tested biofuel rises considerably with the shear rate in a marginally nonlinear manner on a logarithmic scale. Rheograms indicate that the flow behavior decreases gradually and considerably in the temperature range of 30–90 °C. The viscosity of the jojoba oil biofuel declines considerably with the decreasing applied shear rate and temperature. Based on the experimental results, a suitable model is developed for predicting the viscosity characteristics of the tested biofuel during the heating and cooling cycles of a diesel engine.
1. Introduction
Biofuel for diesel engines (i.e., biodiesel) is a promising alternative fuel for diesel engines that can be used upon the exhaustion of petroleum-derived fuels. Biofuel includes methyl esters and can be derived from raw oil. They are derived from different bio-sources such as vegetable oils, used lubricating oils, or algae. Many types of biofuels can be obtained from raw bio-sources, including Jatropha oil [1], cottonseed oil [2,3], palm oil [4], used lubricant oils [5], used vehicle tires [6], coconut oil [7], soybean oil [8,9], rapeseed oil [10], microalgae [11,12], waste animal fat [13], Crambe oil [14], rubber seed oil [15], castor oil [16], and waste cooking oil [17]. Waste biomass has also been used to produce bioethanol [18,19] or biomethane [20]. Biofuels must exhibit certain normal physical and chemical properties. As a matter of fact, the way the biofuel is produced from the raw materials by transesterification, the mixing temperature and time, and the amount of catalyst [21] or the type of additives [22] that may be added to the produced biofuel would affect the physical and chemical properties of the biofuel produced. One important characteristic is the flow behavior with respect to the fuel viscosity at different shear rates (i.e., the relative velocity of the oil film between the moving parts). This characteristic affects the spray behavior when the fuel is injected into the combustion chamber at high pressures and temperatures. Further, biofuel is similar to diesel fuel with respect to the dependence of its viscosity on the operating temperature. Several previous studies have aimed to determine the rheological properties of biofuel derived from vegetable oils [23,24,25,26,27]. Rheological properties have been studied for different biofuels produced from waste cooking oil, castor oil, and rubber seed oil. They have been compared to their raw oils and have also been blended with pure diesel fuel and studied at different temperatures and shear rates [28].
One promising source of biofuel is jojoba oil, which is a very generous source of oil. The jojoba plant can be grown under severe atmospheric conditions and exhibits attractive features, including drought resistance, quick growth, and easy propagation. It can also be potentially grown using treated sewage water. Jojoba oil is produced by subjecting the jojoba seeds to cold compression. Further, it is used in various non-combustive applications such as body lotions and oils. Almost 50% of the jojoba seed’s volume contains oil. Statistical results show that one acre of land can produce 500 pounds of oil. The jojoba plant can live for approximately 200 years under severe atmospheric conditions. The obtained oil contains long molecular chains, and the majority of the molecules contain 40–42 carbon atoms [29,30]. Several studies have investigated the combustion of jojoba biofuel on its own, mixed with diesel fuel in diesel engines [21,29,31,32,33,34] or furnaces [33,35], as the dual-fuel mode [36], or even as solid waste [35]. In addition, the properties of the jojoba oil biofuel have been studied, measured, and modified to suit diesel engines [30,37]. It has been shown by [37] that the viscosity could be reduced by adding diethyl ether or by heating the biofuel produced. However, it is important to mention that the jojoba biofuel used in the present work is the raw biofuel produced from transesterification without any additives or treatment process.
The jojoba liquid oil extracted from its seeds exhibits special chemical features, as it includes stretched monosaturated esters, while majority of the remaining plant oils generally comprise triglycerides [38], exhibiting better thermal performance [39,40].
However, the rheological characteristics of the jojoba biofuel have not been investigated in detail. Specifically, the relations of the shear stress and viscosity with the shear rate at various operating temperatures must be determined for exploring the suitability of the jojoba biofuel for application in diesel engines. Some of the core flow features of liquid fuels are the relations of shear stress and viscosity with the shear rate at various service temperatures. The proposed jojoba biofuel would be ideally used as diesel replacement without any engine modifications; therefore, jojoba biofuel should exhibit closer properties to diesel fuel. Since the same injection equipment of the diesel engine will be utilized for the biofuel case, the flow properties of the jojoba biofuel are required at different operating conditions. As the flow inside the injection pump, pipes, and injectors would be varied at different engine operating conditions, in addition to varying operating fuel temperature inside the engine and combustion chamber, it is important to examine the flow properties of the proposed biofuel at different shear rates and different fuel temperatures. One of the most important properties is the dynamic viscosity of the biofuel as it affects the flow inside the injection system of the engine. Therefore, this study aims to explore these relations at diverse service temperatures over the range of 30–90 °C and shear rates of 10–500 s−1. The obtained results were compared with the results obtained when considering diesel fuel to assess the applicability of the jojoba biofuel in diesel engines.
2. Experimental Work
2.1. Materials
This experimental study included the rheological properties measurements of the jojoba biofuel, derived from jojoba oil, in comparison with pure diesel fuel. The results are obtained through shear stress and viscosity measurements at different shear rates (0–500 s−1). Further, the effect of different temperatures (30, 50, 70, and 90 °C) has also been studied to understand the heating cycle (30–90 °C) and cooling cycle (90–30 °C).
The jojoba oil biofuel was prepared in the laboratory via transesterification, through which raw jojoba oil is converted into a methanol/oil mixture using 0.6 wt.% NaOH as the catalyst. This mixture was then heated to 60 °C for 1 h. Commercial grade #2 diesel fuel, including 29.3% aromatics (i.e., 13% monoaromatics, 13.3% diaromatics, and 3% polyaromatics), was utilized for comparison. Table 1 presents the basic properties of the tested jojoba oil biofuel and diesel fuel.
Table 1.
Basic properties of jojoba oil biofuel and diesel fuel [34].
2.2. Equipment
The flow behaviors of the biofuel and diesel fuel were investigated using a 50SL rheometer unit from Fann Instrument Co. (Houston, TX, USA). In this study, a revolving viscometer with coaxial cylinders was employed. For each test run, 52 mL of liquid biofuel was placed between the two concentric cylinders of the viscometer (cup and bob). The exterior tube, with 1.8415 cm radius, was revolved at 2–60 rpm angular speed, and the viscous hindrance caused by the sample on the internal tube, with 1.5987 cm radius, was reported. The equipment was controlled by its software, which determined all operating parameters (e.g., the speed of the inner cylinder, the operating temperature), and it collected the measured shear rate, shear stress, and the calculated viscosity. The equipment is capable of applying a maximum shear rate of 500 s−1 and can heat the oil sample up to 90 °C. The equipment has its own oil to calibrate it before each run. The pure diesel fuel has been obtained from local ADNOC Oil Company, Abu Dhabi, United Arab Emirates. The investigational quantities acquired from the viscometer machine for each test are shear stress and dynamic viscosity versus the assigned shear rate at certain operating temperatures. All the experimental techniques and results have been obtained using a data acquisition system in a computer linked with the rheometer.
2.3. Parameters
The Fann machine permits a shear rate range of 0–500 s−1 to examine the rheological characteristics of jojoba biofuels. Various temperatures, such as low, medium, and high, were considered to obtain the flow features at various assigned temperatures. The temperature range 30–90 °C is analogous to the service temperatures associated with fuels in many machines. For all the tested fuels, the outcomes are presented as shear stress and viscosity versus the assigned shear rate at various temperatures. At the beginning of this experimental study, a selected set of tests was performed thrice under identical conditions for consistency. The approval measure of this reiteration routine was approximately ±2–3%. The Fann machine was regulated at the beginning of each run with a specific standardizing liquid in accordance with the reference of the manufacturer. Based on the obtained measurements, the flow characteristics of jojoba biofuel can be estimated over the temperature range 30–90 °C. The flow behavior of the jojoba biofuel was compared with that of pure diesel fuel at different temperatures.
3. Results and Discussion
Many studies, such as Selim et al., 2003, have indicated the chemical stability of jojoba oil biofuel at the high operating temperatures and pressures found inside the combustion engines. Therefore, the jojoba oil biofuel must be assessed for its potential as a substitute fuel or constituent for diesel fuel. Herein, the rheological properties of the jojoba biofuel obtained as the shear stress and dynamic viscosity versus shear rate were compared with those of diesel fuel. Investigating the rheological properties of the jojoba oil biofuel is a suitable approach for understanding its flow details in comparison with one of the most commonly used fuels, i.e., diesel fuel.
3.1. Behavior of the Jojoba Oil Biofuel
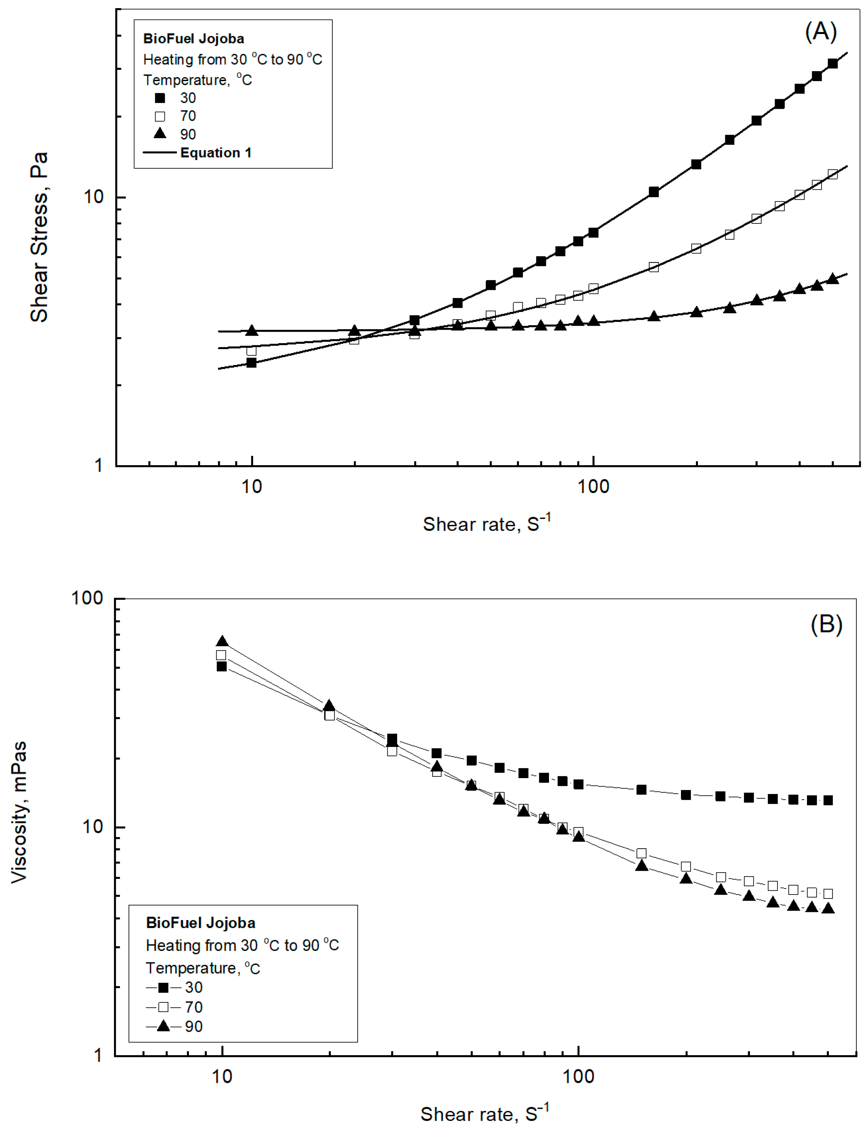
Figure 1A presents the rheogram behavior of jojoba oil biofuel against shear rates of 10–500 s−1 at temperatures of 30–90 °C. This temperature range was considered for detecting the flow performance of the jojoba biofuel during the heating cycle, thereby allowing observation of the flow details under different operating conditions. All the rheograms in Figure 1A surged significantly with the shear rate slightly nonlinearly on the logarithmic scales when considering shear rate versus shear stress. The effect of temperature was higher at shear rates greater than 40 s−1. Furthermore, shear stress declined progressively and significantly by heating until 90 °C. This can be attributed to the influence of the additional thermal motion of the biofuel constituents, which suppressed the forces generated between fuel molecules and reduced the flow resistance [25,41].
Figure 1.
Flow behavior of the jojoba oil biofuel during the heating cycle: (A) shear stress vs. shear rate and (B) viscosity vs. shear rate.
The dynamic viscosity of industrial fluids is an important physical property required for the functioning of various industrial processes, including fluid flow units, heat exchangers, and pumping machines. Fluid viscosity is a physical parameter that explicitly relates the applied shear stress and velocity gradient. Viscosity is influential with respect to the physical characteristics of the fuel. Its behavior under different operating temperatures in the case of a combustion engine must be understood. The viscosity profiles in Figure 1B indicate that the behavior of the biofuel liquid versus the assigned shear rate range under various operating temperatures represented heating. At shear rates less than 40 s−1, the viscosity of the biofuel decreased gradually with the increasing shear rate; the values and contours were similar at different temperatures. Beyond the aforementioned shear rate, the biofuel viscosity profile declined significantly with the increasing shear rate and temperature (Figure 1B). When the shear rate was increased from 50 to 500 s−1, the viscosity decreased from 19.6 to 13.1 mPa·s at 30 °C, from 15.2 to 5.1 mPa·s at 70 °C, and from 15.1 to 4.4 mPa·s at 90 °C. The decrease in viscosity can be attributed to the strongly negative effects associated with the increased shear rate and temperature on the deterioration of the constituent intermolecular forces of the biofuel. Therefore, the shear rate and temperature considerably affected the viscosity of the biofuel. Similar trends have been reported by [28] for castor oil and waste cooking oil biofuels, as their viscosity measurements decline significantly with temperature, in the range from 25 to 80 °C.
Further perceptions can be obtained based on diagnostic explanation of the revealed profiles. Modeling investigation is used to search for the model that can be utilized to describe and anticipate the flow manners of the jojoba biofuel. This objective is attained by employing the analytical software, Sigma-Plot, to complete the data examination. This systematic exploration reveals that the experimental data can be predicted using mathematical equations of the Herschel–Bulkley model presented in Equations (1) and (2). Equation (1) describes the shear stress versus shear rate relationship, while Equation (2) denotes the shear rate–viscosity relationship.
where indicates the assigned shear rate in s−1, τ is the resultant shear stress in Pa, η is the dynamic viscosity in mPa·s, m is the consistency index in Pa·sn, n is the flow behavior index, and τo is the apparent yield stress factor in Pa.
Mathematical modelling for the jojoba biofuel is conducted according to the Herschel–Bulkley formula (Equation (1)) in parameters of τo, m, n, and r2, where r2 is the regression coefficient. The outcomes of this mathematical modelling for the entire range of temperatures are plotted in Figure 1A. The fitting study showed that r2 was greater than 0.999 and was very close to unity for all the tested temperatures. Very close agreement was observed between the experimental measurements and predicted results. Thus, the Herschel–Bulkley of Equation (1) predicts the flow aspects of the jojoba biofuel during the heating cycle.
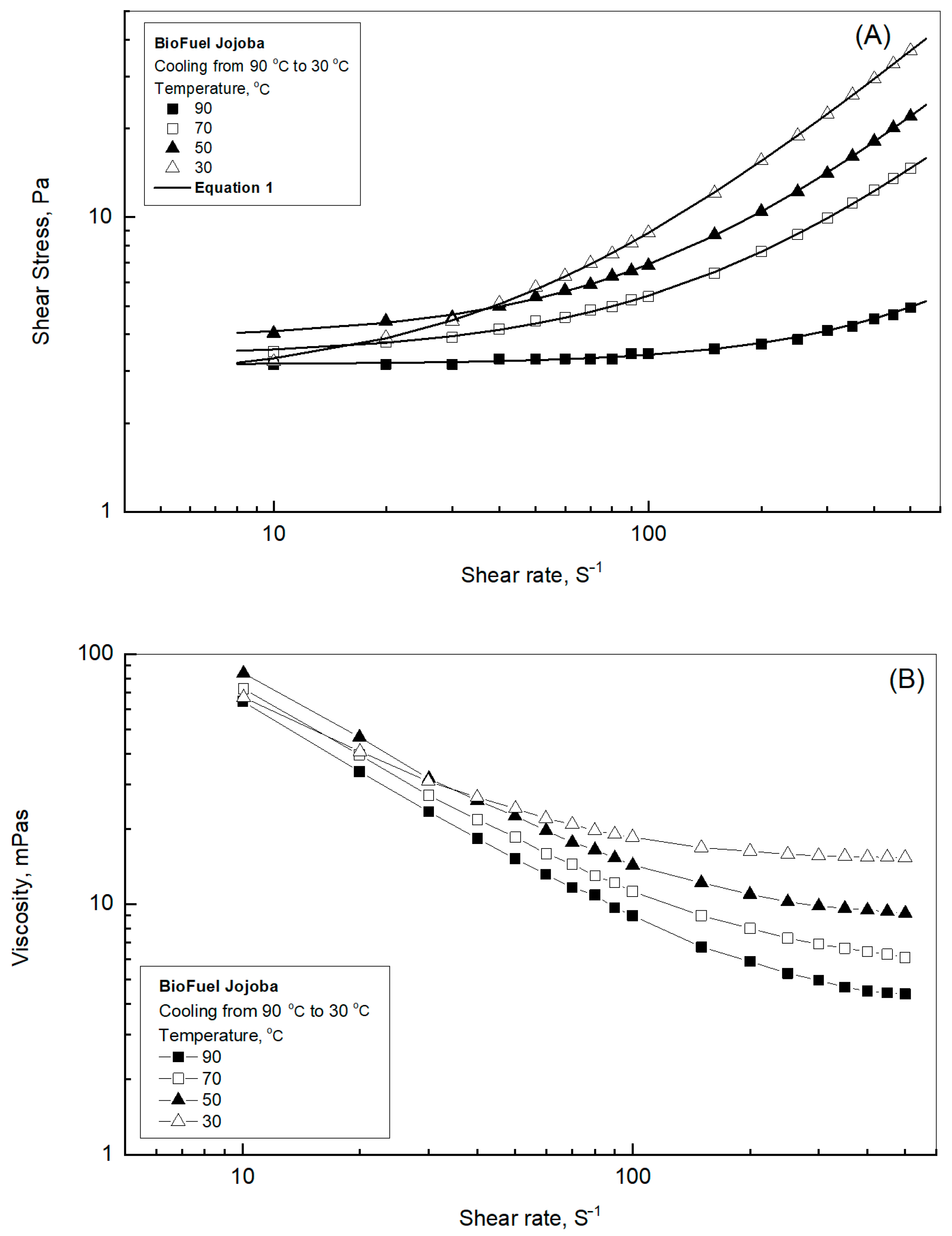
The flow characteristics of the jojoba biofuel from 90 °C to 30 °C must be investigated to study the effect of cooling on the constituent behavior of biofuel. This investigated temperature range was selected to observe the flow behavior through the cooling cycle of combustion engines, allowing the identification of the flow description under reverse operating conditions. Figure 2A shows all the rheogram profiles of the shear stress versus the shear rate during the cooling cycle. The shear stress increased significantly and gradually as the temperature was decreased from 90 °C to 30 °C. The flow performance of the jojoba biofuel can be attributed to the improved intermolecular interactions as the biofuel was cooled from 90 °C to 30 °C, increasing the shear stress. Mathematical modeling is completed according to Equation (1) of the Herschel–Bulkley equation in parameters of τo, m, n, and r2, and the flow behavior predicted as shear stress versus shear rate are displayed in the solid curves of Figure 2A for the entire temperature range. Modeling analysis demonstrates that the regression coefficient r2 was in excess of 0.999 and very close to unity for all the tested temperatures, providing additional insight about the flow aspects of the jojoba biofuel during the cooling cycle. In addition, the solid curves of Figure 2A (i.e., the predicted flow behaviors) match very well with the experimental measurements, indicating satisfactory agreement between experimental measurements and the predicted results of the Herschel–Bulkley model. Thus, the Herschel–Bulkley equation forecasts the flow features of the jojoba biofuel during the cooling cycle.
Figure 2.
Flow behavior of the jojoba oil biofuel during the cooling cycle: (A) shear stress vs. shear rate and (B) viscosity vs. shear rate.
Figure 2B shows the viscosity contours of the jojoba oil biofuel against the applied shear rate for different temperatures within the cooling cycle. When the shear rate was ≤30 s−1, the dynamic viscosity decreased steadily with the shear rate, offering comparable results regardless of the temperature. When the shear rate was >30 s−1, the dynamic viscosity of the tested biofuel increased gradually and significantly as the temperature decreased from 90 °C to 30 °C. At a shear rate of 40 s−1, the dynamic viscosity increased from 18.26 mPa·s at 90 °C to 21.75, 25.96, and 26.70 mPa·s at temperatures of 70, 50, and 30 °C, respectively. At applied shear rate of 500 s−1, the dynamic viscosity increased from 4.37 mPa·s at 90 °C to 6.11, 9.19, and 15.35 mPa·s at temperatures of 70, 50, and 30 °C, respectively. This viscosity behavior may be attributed to the substantial enhancement of the structural and intermolecular interactions with decreasing temperature during the cooling cycle. Thus, the operating temperature influences the viscosity behavior during both the heating and cooling cycles.
This argument can be addressed clearly through Figure 3A,B to observe the effect of the heating and cooling cycles on the jojoba oil biofuel. Figure 3A shows the shear stress versus shear rate, and Figure 3B shows the dynamic viscosity versus shear rate for the heating and cooling cycles at 30 °C and 70 °C. Both of these figures show that the rheogram profiles and dynamic viscosity contours of the cooling cycles for both the aforementioned temperatures were slightly above the heating cycle contours because of the considerable progress of the rearrangement and intermolecular activity enhancement during the cooling cycle, as explained earlier.
Figure 3.
Comparison between the flow behaviors of the jojoba oil biofuel during the cooling and heating cycles: (A) shear stress vs. shear rate and (B) viscosity vs. shear rate.
3.2. Comparison between Jojoba Oil Biofuel and Diesel Fuel
Diesel fuel is commonly used for various applications, such as power generation, clinical buildings, and transportation by sea, land, and rail. However, diesel engines emit harmful pollutants such as NOx, PM, CO, and CO2, which can damage the ozone layer, cause acid rain, and exacerbate the greenhouse effect [42]. The damaging effects of diesel engines must be reduced to comply with the latest environmental strategies and guidelines. One approach is to introduce biofuel as a diesel fuel constituent. Therefore, comparing the jojoba biofuel and diesel fuel to observe their flow characteristics under similar circumstances is necessary.
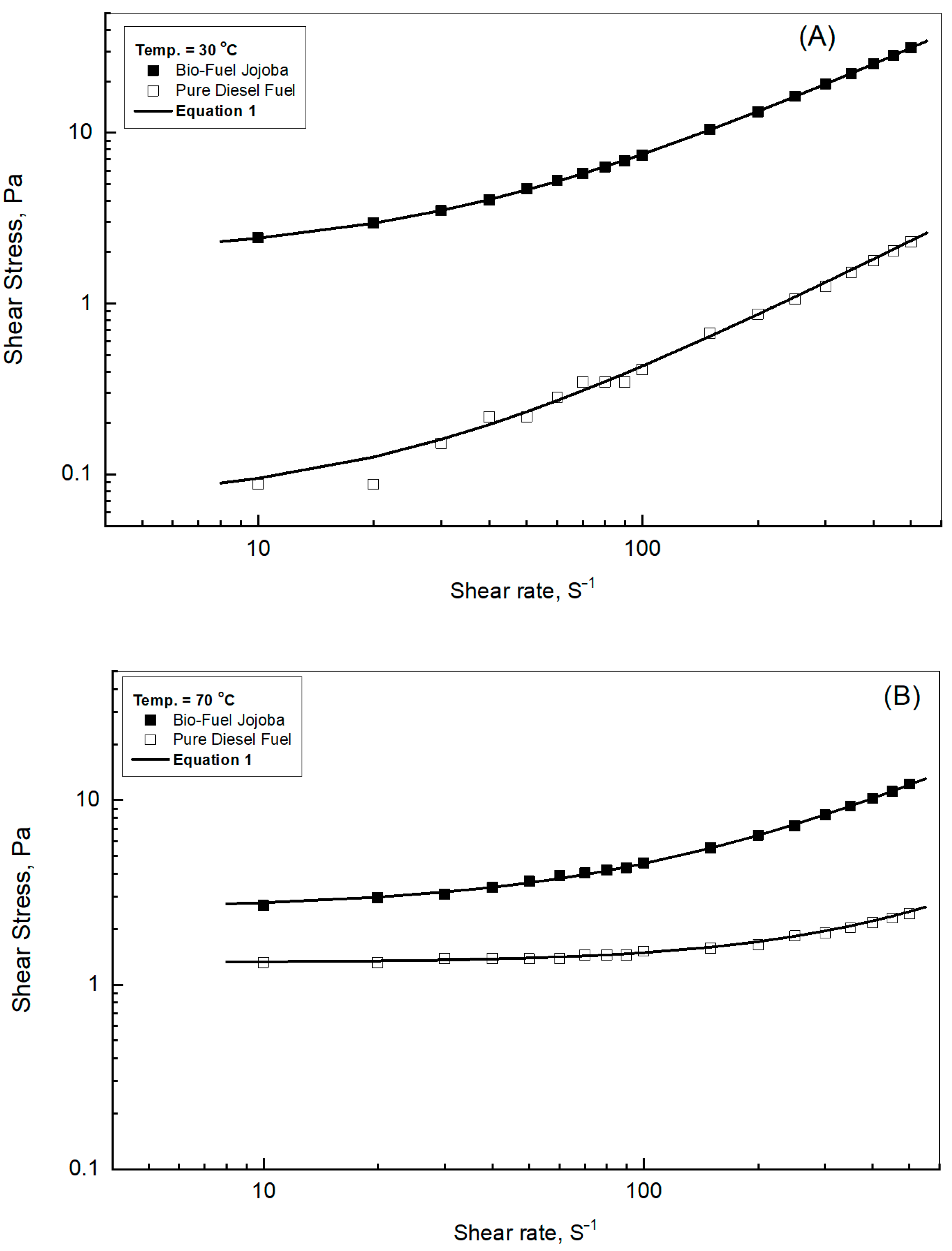
Figure 4A,B compares the rheological behaviors of the jojoba oil biofuel and diesel fuel at 30 °C and 70 °C. This assessment aims to observe the flow performance of the jojoba oil biofuel when considering diesel as the reference fuel. Figure 4A displays slightly nonlinear relations for both fuels on log-log scales of the shear stress versus shear rate, at a temperature of 30 °C. The nonlinearity increased further at 70 °C, as shown in Figure 4B. Figure 4A,B shows that the rheogram profiles of the jojoba oil biofuel were well above those for the diesel fuel at both temperatures. The mathematical analysis was implemented using the Herschel–Bulkley model of Equation (1) in parameters of τo, m, n, and r2 to model the flow behaviors of both fuels. The results of this analysis are plotted in Figure 4A,B in solid lines. As observed from these figures, the Herschel–Bulkley model of Equation (1) can be successfully utilized to predict the flow behavior of both fuels at both the temperatures.
Figure 4.
Rheograms comparing the behaviors of the jojoba oil biofuel and diesel fuel at different temperatures: (A) 30 °C and (B) 70 °C.
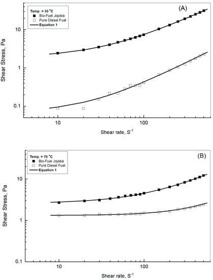
Figure 5A compares the dynamic viscosity against applied shear rate of the jojoba biofuel and diesel fuel when considering an applied temperature of 30 °C. In the case of the diesel fuel, viscosity was mostly independent of the shear rate up to 500 s−1, and Newtonian flow profile could be observed with a viscosity of approximately 4.5 mPa·s, regardless of the applied shear rate. Conversely, the jojoba biofuel showed a slightly non-Newtonian behavior with shear thinning; here, viscosity gradually decreased with the shear rate. Similar behavior has been reported by previous work studied for other raw oils and their methyl esters [28]. They showed non-Newtonian behavior for waste cooking oil, castor oil, and their methyl esters for a shear rate range of 5–100 s−1. Because the diesel fuel showed a shear-independent behavior, the viscosity profile of the diesel fuel versus the applied operating temperature must be considered, as shown in Figure 5B. In case of the diesel fuel, the temperature considerably affected the viscosity flow profile with the examined temperature. The dynamic viscosity of the diesel fuel decreased gradually from 6.8 mPa·s at 15 °C to almost 1.6 mPa·s at 80 °C. The effect of heat, based on which fluid viscosity can be reduced for enhancing the fluid flowability, must be considered (Figure 5B). Generally, the shear rate and temperature considerably influence the liquid viscosity and their viscous profiles, as can be observed for the investigated jojoba oil biofuel (Figure 5A,C). This can be attributed to the destructive effect of the shear rate and heat on the liquid structure and for the particular case of biofuel oil jojoba constituent.
Figure 5.
Viscosity behaviors of the jojoba biofuel and diesel fuel: (A) viscosity vs. shear rate of the jojoba oil biofuel and diesel fuel at 30 °C; (B) viscosity vs. temperature of diesel fuel; (C) viscosity vs. shear rate of the jojoba oil biofuel at 70 °C and 90 °C.
4. Conclusions
This experimental investigation is conducted to study the rheological properties with respect to the shear stress and dynamic viscosity against the applied shear rate of the jojoba biofuel in comparison with diesel fuel. The following remarks can be obtained.
- The reported rheogram profiles of the jojoba biofuel with respect to shear rate versus shear stress rises substantially in a slightly nonlinear manner on a logarithmic scale.
- The rheogram profiles exhibited considerable decline during the heating cycle from 30 °C to 90 °C.
- The dynamic viscosity of the jojoba biofuel decreased significantly with the increasing applied shear rate and temperature.
- All the rheogram profiles increased significantly and gradually in the cooling mode.
- The Herschel–Bulkley equation predicts the flow behavior of the jojoba biofuel during the heating and cooling cycles.
- The dynamic viscosity of the jojoba oil biofuel increased gradually and significantly when the temperature was reduced from 90 °C to 30 °C.
- The rheogram profiles of the jojoba oil biofuel are located well above the diesel profiles at both 30 °C and 70 °C.
- The shear rate and temperature considerably affected the viscosity of the jojoba oil biofuel, whereas only temperature strongly affected the viscosity of the diesel fuel.
- Although the viscosity of the jojoba biofuel is higher than pure diesel, it can be decreased by heating the fuel from 30 to 90 °C. Generally, the heating improved the flow characteristics of the biofuel. This would improve the injection, mixing of the biofuel, and hence the combustion in diesel engines.
- Adding chemical additives to the jojoba biofuel and studying the flow properties may be interesting future research.
Author Contributions
Conceptualization, M.T.G. and M.Y.E.S.; methodology, M.T.G. and M.Y.E.S.; software, M.T.G.; validation, M.T.G.; formal analysis, M.T.G.; investigation, M.T.G. and M.Y.E.S.; resources, M.T.G. and M.Y.E.S.; data curation, M.T.G. and M.Y.E.S.; writing—original draft preparation, M.T.G.; writing—review and editing, M.T.G. and M.Y.E.S.; visualization, M.T.G. and M.Y.E.S.; supervision, M.T.G. and M.Y.E.S.; project administration, M.Y.E.S.; funding acquisition, M.T.G. and M.Y.E.S. All authors have read and agreed to the published version of the manuscript.
Funding
No funding from any source has been received.
Institutional Review Board Statement
Not applicable.
Informed Consent Statement
Not applicable.
Data Availability Statement
No data is reported.
Acknowledgments
The authors would like to acknowledge the help of the lab engineer in setting up the experiments.
Conflicts of Interest
The authors declare no conflict of interest.
References
- El-Seesy, A.I.; Xuan, T.; Hassan, H. Enhancement the combustion aspects of a CI engine working with Jatropha biodiesel/decanol/propanol ternary combinations. Energy Convers. Manag. 2020, 226, 113524. [Google Scholar] [CrossRef]
- Nain, P.; Jaiswal, S.K.; Prakash, N.T.; Prakash, R.; Gupta, S.K. Influence of acyl acceptor blends on the ester yield and fuel properties of biodiesel generated by whole-cell catalysis of cottonseed oil. Fuel 2020, 259, 116258. [Google Scholar] [CrossRef]
- Saleh, H.E.; Selim, M.Y.E. Shock tube investigation of propane-air mixtures with a pilot diesel fuel or cotton methyl ester. Fuel 2010, 89, 494–500. [Google Scholar] [CrossRef]
- Dey, S.; Reang, N.M.; Das, P.K.; Deb, M. A comprehensive study on prospects of economy, environment, and efficiency of palm oil biodiesel as a renewable fuel. J. Clean. Prod. 2020, 124981, in press. [Google Scholar] [CrossRef]
- El-Sawy, M.S.; Hanafi, S.A.; Ashour, F.; Aboul-Fotouh, T.M. Co-hydro-processing and hydrocracking of alternative feed mixture (vacuum gas oil/waste lubricating oil/waste cooking oil) with the aim of producing high quality fuels. Fuel 2020, 269, 117437. [Google Scholar] [CrossRef]
- Hossain, F.M.; Nabi, M.N.; Rainey, T.J.; Bodisco, T.; Bayley, T.; Randall, D.; Ristovski, Z.; Brown, R.J. Novel biofuels derived from waste tires and their effects on reducing oxides of nitrogen and particulate matter emissions. J. Clean. Prod. 2020, 242, 118463. [Google Scholar] [CrossRef]
- Bambase, M.E.; Almazan, R.A.; Demafelis, R.B.; Sobremisana, M.J.; Dizon, L.S.H. Biodiesel production from refined coconut oil using hydroxide impregnated calcium oxide by cosolvent method. Renew. Energy 2021, 163, 571–578. [Google Scholar] [CrossRef]
- Yongphet, P.; Kiatsiriroat, T.; Wang, D.; Deethayat, T.; Quaye, E.K.; Zhang, W.; Yang, S. Enhancement of biodiesel production from soybean oil by electric field and its chemical kinetics. Chem. Eng. Process. Process Intensif. 2020, 153, 107997. [Google Scholar] [CrossRef]
- Selim, M.Y.E.; Saleh, H.E. Performance and noise of dual fuel engine running on cottonseed, soybean raw oils and their methyl esters as pilot fuels. In Proceedings of the WCX SAE World Congress, Detroit, MI, USA, 21–23 April 2020. [Google Scholar]
- Rechnia-Gorący, P.; Malaika, A.; Kozłowski, M. Effective conversion of rapeseed oil to biodiesel fuel in the presence of basic activated carbon catalysts. Catal. Today 2020, 357, 102–112. [Google Scholar] [CrossRef]
- Jacob, A.; Ashok, B.; Alagumalai, A.; Chyuan, O.H.; Le, P.T.K. Critical review on third generation micro algae biodiesel production and its feasibility as future bioenergy for IC engine applications. Energy Convers. Manag. 2020, 228, 113655. [Google Scholar] [CrossRef]
- Haik, Y.; Selim, M.Y.E.; Abdelrahman, T. Combustion of algae oil methyl ester in an indirect injection diesel engine. Energy 2011, 36, 1827–1835. [Google Scholar] [CrossRef]
- Simsek, S.; Uslu, S. Comparative evaluation of the influence of waste vegetable oil and waste animal oil-based biodiesel on diesel engine performance and emissions. Fuel 2020, 280, 118613. [Google Scholar] [CrossRef]
- Souza, M.C.G.; Oliveira, M.F.; Vieira, A.T.; Faria, A.M.; Batista, A.C.F. Methylic and ethylic biodiesel production from Crambe oil (Crambe abyssinica): New aspects for yield and oxidative stability. Renew. Energy 2021, 163, 368–374. [Google Scholar] [CrossRef]
- Chhabra, M.; Dwivedi, G.; Baredar, P.; Shukla, A.K.; Garg, A.; Jain, S. Production & optimization of biodiesel from rubber oil using BBD technique. Mater. Today Proc. 2021, 38, 69–73, in press. [Google Scholar]
- Bibin, C.; Gopinath, S.; Aravindraj, R.; Devaraj, A.; Krishnan, S.G.; Jeevaananthan, J.K.S. The production of biodiesel from castor oil as a potential feedstock and its usage in compression ignition Engine: A comprehensive review. Mater. Today 2020, 33, 84–92. [Google Scholar]
- Abu Khadra, M.R.; Basyouny, M.G.; Sherbeeny, A.M.; El-Meligy, M.A.; Abd Elgawad, A.E.E. Transesterification of commercial waste cooking oil into biodiesel over innovative alkali trapped zeolite nanocomposite as green and environmental catalysts. Sustain. Chem. Pharm. 2020, 17, 100289. [Google Scholar] [CrossRef]
- Jinju, H.; Xiaotong, Z.; Shudong, Z.; Kainan, W.; Qiuzhuo, Z. Enhancement of bioethanol production by a waste biomass-based adsorbent from enzymatic hydrolysis. J. Clean. Prod. 2021, 291, 125933. [Google Scholar]
- Demichelis, F.; Laghezza, M.; Chiappero, M.; Fiore, S. Technical, economic and environmental assessment of bioethanol biorefinery from waste biomass. J. Clean. Prod. 2020, 277, 124111. [Google Scholar] [CrossRef]
- Giuliano, A.; De Bari, I.; Motola, V.; Pierro, N.; Giocoli, A.; Barletta, D. Techno-environmental assessment of two biorefinery systems to valorize the residual lignocellulosic biomass of the Basilicata region. Math. Model. Eng. Probl. 2019, 6, 317–323. [Google Scholar] [CrossRef]
- Al-Awad, A.S.; Selim, M.Y.E.; Zeibak, A.F.; Moussa, R. Jojoba ethyl ester production and properties of ethanol blends. Fuel 2014, 124, 73–75. [Google Scholar] [CrossRef]
- Pawar, R.; Jagadale, K.; Gujar, P.; Barade, V.; Solankure, B. A Comprehensive Review on Influence of Biodiesel and Additives on Performance and Emission of Diesel Engine. Chem. Eng. Trans. 2018, 65. [Google Scholar] [CrossRef]
- Liu, X.; Li, Q.; Gao, X.; Lu, C.; Dang, L.; Wang, Z. The palm oil-based microemulsion: Fabrication, characterization and rheological properties. J. Mol. Liq. 2020, 302, 112527. [Google Scholar] [CrossRef]
- Dong, R.; Zhao, M. Research on the pyrolysis process of crumb tire rubber in waste cooking oil. Renew. Energy 2018, 125, 557–567. [Google Scholar] [CrossRef]
- Santos, J.C.O.; Santos, I.M.G.; Souza, A.G. Effect of heating and cooling on rheological parameters of edible vegetable oils. J. Food Eng. 2005, 67, 401–405. [Google Scholar] [CrossRef]
- Tangsathitkulchai, C.; Sittichaitaweekul, Y.; Tangsathitkulchai, M. Temperature effect on the viscosities of palm oil and coconut oil blended with diesel oil. J. Am. Oil Chem. Soc. 2004, 81, 401–405. [Google Scholar] [CrossRef]
- Tate, R.E.; Watts, K.C.; Allen, C.A.W.; Wilkie, K.I. The viscosities of three biodiesel fuels at temperatures up to 300 °C. Fuel 2006, 85, 1010–1015. [Google Scholar] [CrossRef]
- Paul, A.K.; Borugadda, V.B.; Reshad, A.S.; Bhalerao, M.S.T.P.; Goud, V. Comparative Study of physicochemical and rheological property of waste cooking oil, castor oil, rubber seed oil, their methyl esters and blends with mineral diesel fuel. Mater. Sci. Energy Technol. 2021, 4, 148–155. [Google Scholar] [CrossRef]
- Saleh, H.E.; Selim, M.Y.E. Improving the performance and emission characteristics of a diesel engine fueled by jojoba methyl ester-diesel-ethanol ternary blends. Fuel 2017, 207, 690–701. [Google Scholar] [CrossRef]
- Selim, M.Y.E.; Ghannam, M.T.; Aldajah, S.; Saleh, H. Effect of temperature and mixing on density and viscosity of jojoba-diesel fuels. Energy Sources J. Part A Recovery Util. Environ. Eff. 2015, 37, 1774–1781. [Google Scholar] [CrossRef]
- Selim, M.Y.E.; Radwan, M.S.; Elfeky, S.M.S. Combustion of jojoba methyl ester in an in-direct injection diesel engine. Renew. Energy J. 2003, 28, 1401–1420. [Google Scholar] [CrossRef]
- Ospina, G.; Selim, M.Y.E.; Al Omari, S.; Ali, M.I.H.; Hussien, A.M.M. Engine roughness and exhaust emissions of a diesel engine fueled with three biofuels. Renew. Energy 2019, 134, 1465–1472. [Google Scholar] [CrossRef]
- Al-Omari, S.; Hamdan, M.O.; Selim, M.Y.E.; Elnajjar, E. Combustion of jojoba-oil/diesel blends in a small scale furnace. Renew. Energy 2019, 131, 678–688. [Google Scholar] [CrossRef]
- Ghannam, M.T.; Selim, M.Y.E.; Aldajah, S.; Saleh, H.E.; Adel MM Hussien, A.M.M. Effect of blending on physiochemical properties of jojoba-diesel fuels. Biofuels 2016, 7, 173–180. [Google Scholar] [CrossRef]
- Selim, M.Y.E.; Al-Omari, S.; Elfeky, S.M.S.; Radwan, M.S. Utilization of extracted jojoba fruit as fuel. Int. J. Sustain. Energy 2011, 30, S106–S117. [Google Scholar] [CrossRef]
- Hamdan, M.O.; Selim, M.Y.E. Performance of CI engine operating with hydrogen supplement co-combustion with jojoba methyl ester. Int. J. Hydrog. Energy 2016, 41, 10255–10264. [Google Scholar] [CrossRef]
- Selim, M.Y.E. Reducing the viscosity of jojoba methyl ester diesel fuel and effects on diesel engine performance and roughness. Energy Convers. Manag. J. 2009, 50, 1781–1788. [Google Scholar] [CrossRef]
- Sánchez, M.; Avhad, M.R.; Marchetti, J.M.; Martínez, M.; Aracil, J. Jojoba oil: A state of the art review and future prospects. Energy Convers. Manag. 2016, 129, 293–304. [Google Scholar] [CrossRef]
- Harry-O’kuru, R.E.; Mohamed, A.; Abbott, T.P. Synthesis and characterization of tetrahydroxy jojoba wax and ferulates of jojoba oil. Ind. Crop. Prod. 2005, 22, 125–133. [Google Scholar] [CrossRef]
- Selim, M.Y.E.; Ghannam, M.T.; Al-Awad, A.S.; Al-Sabek, M.S. Combustion and exhaust emissions of a direct-injection diesel engine burning jojoba ethyl ester and mixtures with ethanol. Biofuels 2017, 10, 545–551. [Google Scholar] [CrossRef]
- Chhabra, R.P.; Richardson, J.F. Non-Newtonian Flow in the Process Industries; Butterworth-Heinemann: Oxford, UK, 1999. [Google Scholar]
- Lin, C.; Pan, J. Corrosion characteristics of furnaces burning with emulsified diesel oil contained sodium sulfate. Corros. Prev. Control 2000, 47, 83–92. [Google Scholar]
Publisher’s Note: MDPI stays neutral with regard to jurisdictional claims in published maps and institutional affiliations. |
© 2021 by the authors. Licensee MDPI, Basel, Switzerland. This article is an open access article distributed under the terms and conditions of the Creative Commons Attribution (CC BY) license (https://creativecommons.org/licenses/by/4.0/).




