Abstract
The transfer of soils from intact vegetation communities to degraded ecosystems is seen as a promising restoration tool aimed at facilitating vegetation recovery. This study examined how topsoil transfer from intact renosterveld to degraded old fields improves vegetation diversity, cover, and composition. Transferred topsoil were overlaid on 30 quadrats, each measuring 1 m2, in May 2009. Eight years following the initial soil transfer, vegetation diversity in the soil transfer site showed an increase towards the natural site compared to the old field site where no soil transfer was administered. Both species richness and cover for trees and shrubs in the soil transfer site increased towards the natural site, though this was not the case for herbs and grasses. One-way analysis of similarity (ANOSIM) showed significant (R = 0.55) separation in community composition between sites. The study concludes that soil transfer from intact renosterveld to degraded old fields is a promising restoration technique because it increases species diversity and cover and facilitates vegetation recovery. A significant restoration implication of this study is that soil transfer introduces key renosterveld native tree and shrub species that can facilitate successful restoration and act as restoration foci or nurse plants.
1. Introduction
Recent studies have shown that abandonment of land that was previously used for agricultural productivity is on the rise globally [1] and in South Africa [1,2,3]. Agricultural land abandonment—defined as the change towards termination of crop cultivation or livestock grazing [4]—has globally affected approximately 1.47 million km2 between 1700 and 1992 [5]. A recent study in South Africa showed an increase in land abandonment in four former South African ‘homelands’ (these are characterized by rural and small holder farmers created during Apartheid era’s racially based land allocation programs), with the greatest increase of up to 0.16% per year being recorded between 1950 and 2010 [6]. Reasons for land abandonment range from socio-economic (rural depopulation, decline in farming profits, and globalization of agricultural markets) to ecological (soil fertility decline) [1,7]. Prior to land abandonment, intensive cultivation has been shown to trigger huge soil and vegetation damage (e.g., removal of native vegetation [8], disturbance to soil properties [9], and depletion of soil seed bank of native species [10]). The conversion of natural Mediterranean grasslands to agricultural vineyards resulted in an estimated soil C loss of 0.65 MgCha−1year−1 [11]. The negative effects caused by cultivation have been shown to persist long after the land has been abandoned [1,12].
Although studies have shown socio-economic consequences associated with land abandonment (e.g., reduction in income and increased food insecurities [6]), abandoned lands (hereafter referred to as old fields) present an opportunity for native biodiversity recovery [1]. Plieninger et al. [1] reported an increase in native plant and animal richness and abundance in old fields in the Mediterranean basins, this pointing to the increase the size of natural vegetation through passive old field restoration. Similarly, Novara et al. [13] showed that the colonization of 13- and 15-year-old abandoned vineyards by Hyparrhenia hirta grass increases topsoil carbon stocks by 13% and 16% respectively. However, changes in both vegetation and soil in old fields vary depending on both existing and pre-existing biotic and abiotic conditions, as well as plant-soil feedback, leading to different recovery trajectories [14,15]. Most old fields tend to be dominated by invasive alien species [16], and restoration techniques aimed at restoring old fields have attempted to reduce the dominant alien grass infestations through various methods like burning, herbicide application, and mowing [17]. On the other hand, some studies have tried to promote native seed dispersal in old fields through patching [18,19], whilst others have tried to restore degraded old fields through soil nutrient manipulation [20]. Of late both topsoil removal [21,22,23,24] and soil transfer [25,26,27,28,29,30] have been tried. Results of these various above-mentioned restoration techniques have been mixed, with both success [17,23,24,25,26] and failure [18,20]. Failure has been associated with three broad factors known to impede ecological restoration in old fields [31]. These are (i) vegetative factors (e.g., seed bank sources, competition between species, and predation of recruiting native species), (ii) soil factors (e.g., elevated soil nutrients), and (iii) environmental factors (e.g., climatic patterns).
Recent studies have shown that soil transfer from intact natural areas to degraded ecosystems present an opportunity for successful ecological restoration [8,25,26,30,32]. This is because soil transfer ensures that soil physicochemical properties, organic matter, seed bank of native species, and microbial biomass are transferred from the native area to the degraded ecosystem [26,27,28,30,33]. Although soil transfer has its challenges, for example high soil transfer cost, transfer of unwanted species, and changes in soil structure [21,26,34], the technique has been shown to trigger both vegetation and soil physicochemical and microbial recovery [14]. For example, Wubs et al. [25] reported both plant and soil community composition increase where soil inoculation was applied in old fields, and these increases were more pronounced where topsoil was removed prior to soil inoculation application. Similarly, Bulot et al. [26] showed improvement is some soil physicochemical properties (e.g., organic carbon and total nitrogen) following topsoil transfer from natural to degraded landscapes in French’s Mediterranean region. Rivera et al. [30] concluded that the transfer and application of topsoil enhanced species richness, cover, and composition of restored embankments in comparison to the control areas. The same study also reported an increase in microbial activity, phosphatase activity, and soil respiration in soil transfer areas [30]. In Australia, Rokich et al. [27] concluded that the transfer of topsoil provides the much-needed seeds for rehabilitation of Banksia woodland communities. Chenot et al. [35] showed that 30 years after the initial 40 cm soil transfer from intact to degraded ecosystems, species richness, diversity, and composition was on the increase in transferred areas, thus making soil transfer the most favorable restoration technique.
Despite several attempts to restore renosterveld old fields following land abandonment [18,20,36,37], no soil transfer initiative has been assessed as a viable restoration technique in South Africa, a country where land abandonment is on the increase [6]. The advantage of using soil transfer to restore degraded renosterveld is that it creates the potential to introduction endemic species (e.g., Dicerothamus rhinocerotis and Eriocephalus Africana species) in degraded old fields targeted for ecological restoration, thus increasing species conservation and genetic diversity. Given the high soil nutrient content associated with renosterveld old fields [20,38,39], the transfer of topsoil from intact renosterveld to degraded old fields has the potential to reduce soil physicochemical properties to levels that will allow vegetation community recovery. Most renosterveld old fields are dominated by alien grasses (e.g., Briza maxima and Paspalum dilatatum [20,37]), therefore, soil transfer has the potential to reduce alien grasses cover, thus giving native species a competitive advantage during recruitment. To my knowledge, this is the first study in South Africa to examine the efficacy of soil transfer to restore renosterveld vegetation for conservation purpose. Therefore, a soil transfer experiment was conducted in renosterveld old fields to determine if topsoil transfer from intact renosterveld to old fields improve species diversity, cover, and composition. The study predicted that transfer of topsoil from intact renosterveld to old fields will increase species diversity, cover, community composition, and species similarity towards intact renosterveld.
2. Materials and Methods
2.1. Study Area
This study was conducted at Elandsberg Private Nature Reserve (EPNR), which is situated some 25 km north of Wellington in the Western Cape Province of South Africa [37]. The private nature reserve was declared a natural heritage site in 1988 [37]. The study site comprised an old field (−33.446930, 19.031414) which is adjacent (separated by a farm road) to a natural renosterveld site (−33.446303, 19.032549). Prior to agriculture abandonment, the old field was used for oats cultivation between 1960 and 1965, followed by European pasture grass cultivation for livestock purposes between 1965 and 1987 [37]. Currently, the old field is used for animal grazing.
Vegetation in the study area is broadly categorized as renosterveld, which is an evergreen fire-prone vegetation type, dominated by small leafed asteraceous shrubs (mostly D. rhinocerotis—commonly known as renosterbos or rhinoceros bush) and an understory of grasses and geophytes [40]. Renosterveld occurs in moderately fertile clay-rich soils on lower mountain slopes, interior valleys and coastal forelands [40,41]. Annual precipitation ranges between 300 to 600 mm, thus making renosterveld ecotonal between the high rainfall fynbos and the low rainfall succulent karoo [40]. The open grassy old fields where the study was conducted are dominated by alien grasses of Cynadon dactylon, B. maxima, Bromus pectinatus, and P. dilatatum [37,42]. Although some renosterveld remnants, namely the shrubs D. rhinocerotis and Helichrysum spp. and the geophyte Oxalis purpurea are recruiting [37,42], most of these are scattered along old field furrows as compared to ridges [31]. The above-mentioned open grassy old fields (>75% grass cover) differ from the adjacent natural vegetation not only in the degree of woody cover (>75% woody cover) but also in the abundance of the herbaceous and geophyte species [37]. Commonly occurring native shrub species that dominate the natural site include D. rhinocerotis (which grows to about 2 m), Athanasia trifurcate (which grows to about 1.5 m), E. Africana (which grows to about 1 m), and Relhania fruticose (which grows to about 0.5 m).
2.2. Survey Design and Field Sampling
The experiment was conducted on an old field which is adjacent to a pristine renosterveld area. In May 2009, topsoil was transferred from a pristine renosterveld area (natural site) to an old field (soil transfer site). No soil inoculation was done to transferred soils to improve soil fertility and seed germination. Prior to soil transfer, three belt transects (measuring 20 m long × 2 m wide) were set up in the soil transfer site (Figure 1). The three belt transects were approximately 8 m apart and were separated by furrows. On each of the belt transects, 10 square quadrats measuring 1 m × 1 m, spaced 1 m apart were set up as soil transfer quadrats. The quadrats were permanently marked with metal droppers. Topsoil from the natural site was collected along a 20 m line transect at 2 m interval. At each soil collecting point (every 2 m interval), four soil cores were collected, 30 cm apart using a soil core measuring 10 cm diameter × 10 cm deep. The collected soils per collecting point were filled in trays measuring 20 cm long × 20 cm wide × 10 cm deep and were transported to the soil transfer site. In each above-mentioned 1 m × 1 m square quadrat in the soil transfer site, the 10 trays of topsoil, collected from each transect in the natural site, were grouped, mixed and overlaid on the soil surface as a soil transfer treatment. In total, 300 trays filled with topsoil (10 trays per transect × 30 line transects) were collected and transferred to 30 soil transfer quadrats. Animals were excluded from the soil transfer site by fencing the site with wire.
Figure 1.
Schematic diagram showing the three sites. Belt transects, dimensions for quadrats, and soil collection points are shown.
Eight years after the soil transfer experiment was set up, a detailed vegetation survey was conducted in the soil transfer site in September 2017. To allow comparisons of results between the donor site (natural site) and the degraded site (old field), similar quadrats were set up in the natural site (were soils were collected in 2009) and old field site that received no soil transfer. In the old field site, the quadrates were set up on similar positions as was in the soil transfer site and were separated by furrows. Within each site, species richness and densities for all plant species present were determined by counting individual species in the quadrat. Vegetation cover for all the plants present in the quadrat was visually estimated to the nearest 5% or 1% when cover was below 5%. All the species were collected and identified in conjunction with plant books [43,44], PlantzAfrica online directory [45] and a list of plant species available at Elandsberg Private Nature Reserve (supplied by Bernard Wooding).
2.3. Data Analysis
After testing for normality and proof of homogeneity of variance using the Shapiro-Wilk test and the Levene’s test respectively, comparisons between sites on measured parameters (indices of diversity and percentage vegetation cover) were done using one-way ANOVA using Statistica version 13.1 [46]. Where ANOVAs were significant, Tukey’s HSD unequal n test for post-hoc comparisons were used to determine site difference at p < 0.05. Species occupancy frequencies, the number of species occupying different quadrats per site independent of their abundance, were calculated for all the identified species at each site (see Appendix A, Table A1). Principal component analysis (PCA) was performed using Canoco 5 [47] to investigate how quadrats per site changed species composition, using presence and absence data. One-way analysis of similarity (ANOSIM) was used to calculate the Bray-Curtis dissimilarity in species composition between sites. ANOSIM which generates a Global R statistic was used to quantify the variation in species community composition between sites [48]. Similarity percentage (SIMPER) analyses were used to assess the percentage contribution of each plant species to the overall dissimilarity and/or similarity between the sites. Both ANOSIM and SIMPER were analyzed using Primer (version 6, PRIMER-E Ltd., Plymouth, UK). To evaluate the degree of similarity in species composition between sites, Sørensen [49] similarity index was computed as follows: S = 2 × C/(S1 + S2), where C is the number of species common in both sites, S1 is the number of species at the first site, and S2 is the species at the second site [50,51].
3. Results
3.1. Species Diversity and Cover
All measured diversity indices of species richness, Shannon-Wiener, evenness, and Simpsons index of diversity showed significant (p < 0.001) differences between the three sites (Table 1). Species richness in the natural site was 42.73 ± 0.68 compared to 18.97 ± 0.98 and 13.63 ± 0.43 in the soil transfer and old field sites, respectively. Similarly, Shannon-Wiener and Simpsons index of diversity were significantly (p < 0.001) higher in the natural site as compared to the soil transfer and old field sites (Table 1). Evenness index of diversity was significantly (p < 0.001) higher in the natural site as compared to the old field site, but post-hoc comparisons showed no significant (p > 0.05) differences between the natural and soil transfer sites as well as between the soil transfer and old field sites (Table 1). Species richness of all trees and shrubs was significantly (p < 0.001) higher in the natural site as compared to the soil transfer and old field sites (Table 1). Species richness of herbs and grasses (including geophytes and restio) was significantly (p < 0.001) higher in the natural site as compared to the soil transfer and old field sites, but post-hoc comparisons showed no significant (p > 0.05) differences between the soil transfer and old field sites (Table 1).
Table 1.
Comparison of diversity indices between sites. Data are means ± se and ANOVAs are shown. Columns with different letter superscripts are significantly different.
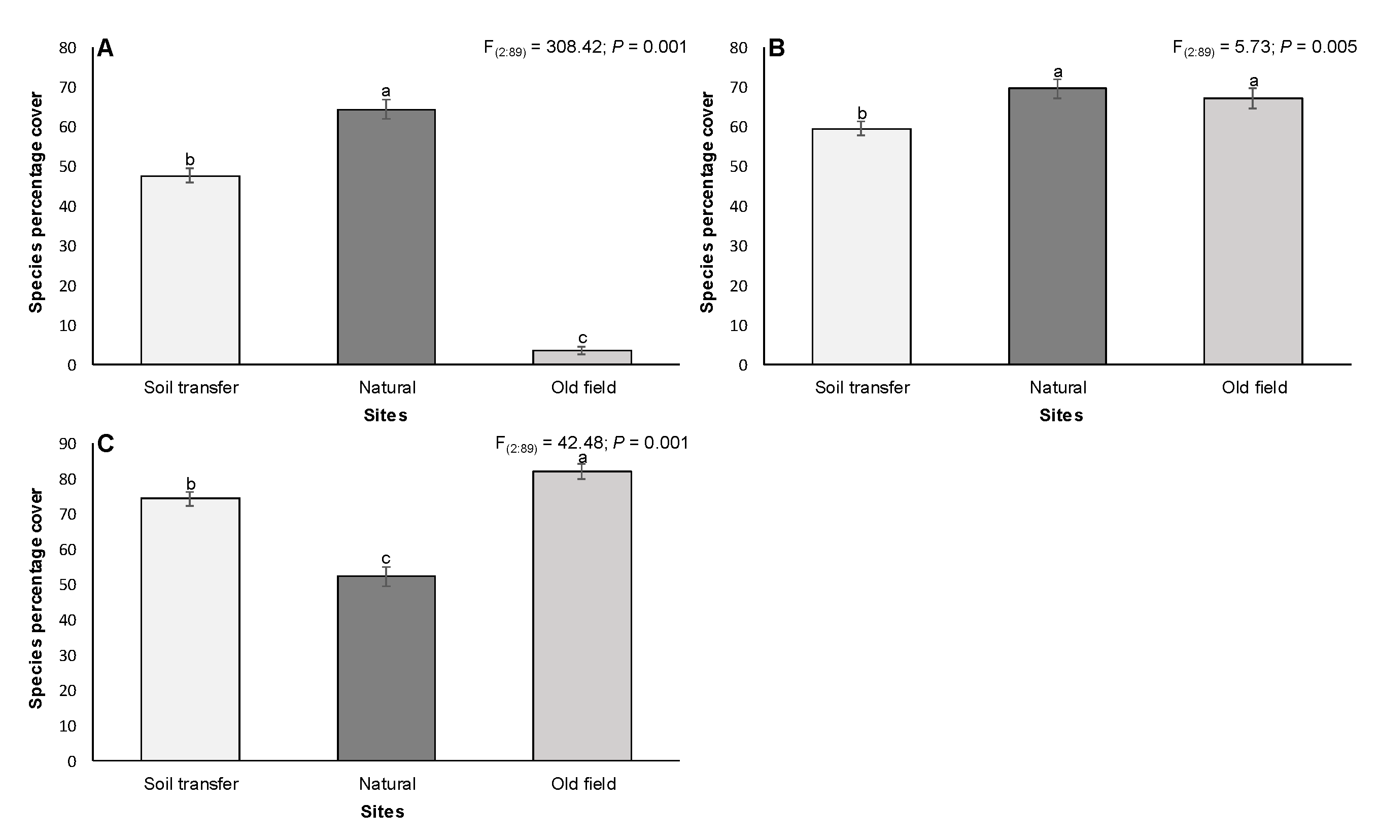
Cover of trees and shrubs was significantly (p < 0.001) higher in the natural site as compared to the soil transfer and old field sites (Figure 2A). Cover of herbs was significantly (p < 0.01) higher in the natural and old field sites as compared to the soil transfer site (Figure 2B). In contrast, cover of graminoids (including geophytes and restio) were significantly (p < 0.001) higher in the old field site as compared to the soil transfer and natural sites (Figure 2C).
Figure 2.
Species percentage cover between sites for (A) trees and shrubs, (B) herbs, and (C) graminoids, geophytes, and restio.
3.2. Species Composition
A total of 60 plant species were identified across all sites, 24 trees and shrubs, 11 herbs and 25 graminoids, including geophytes and restio (Appendix A, Table A1). A total of 16 native trees and shrubs were recorded in the soil transfer site, 24 in the natural site and only two in the old field site. The highest number of herbs were recorded in the natural site (11), followed by the soil transfer site (8) and the old field site (7). Most grasses including geophytes and restio were present in the natural site (23), compared to the soil transfer site (15) and the old field site (12). A total of 17 species occurred in all three sites, and of these two were shrubs (D. rhinocerotis and Helichrysum spp.), seven were herbs and eight were graminoids (Appendix A, Table A1). Dominant natural woody species that had species occupancy frequencies of more than 60% in the natural site and are now present in the soil transfer site with more than 20% species occupancy frequencies were Hermannia scabra, D. rhinocerotis, E. africanus, Stoebe plumose, Leucadendron corymbosum, Hermannia spp., and Asparagus spp. (Appendix A, Table A1). The PCA bi-plots of quadrats and all plant species showed no species separation among all three sites (Figure 3A). The first two axes of the PCA for all plant species showed low eigenvalues and accounted for a total of 24% of the variance. Similarly, no clear distinctions can be seen regarding assemblages of individual trees and shrubs as well as herb species among all three sites (Figure 3B,C). However, bi-plots of quadrats and graminoids (including geophytes and restio) showed little species separation among all three sites. Clear distinctions can be seen regarding assemblages of some individual grass species in some sites; for example, the native grasses of Tribolium hispidum and Aristea spp. assembled more on the natural site, as compared to natural grasses of Romulea rosea and Ehrharta longifolia which assembled more on the soil transfer site and the alien grass Cynodon dactylon which assembled more on the old field site (Figure 3D).
Figure 3.
Principal component analysis (PCA) bi-plots of identified species (●) from the sampled quadrats were identified plants are present (● = soil transfer, ■ = natural, and ♦ = old fields) for different growth forms (A) all plant species, (B) trees and shrubs, (C) herbs, and (D) graminoids, geophytes, and restio. The first four letters of the species names are presented with full names in Appendix A (Table A1).
Using ANOSIM, significant (R = 0.55, p < 0.001, ANOSIM) separations in community composition among sites was observed for all species (Table 2). The above-mentioned community composition separations were more for trees and shrubs (R = 0.41, p < 0.001, ANOSIM) followed by graminoids (including geophytes and restio: R = 0.37, p < 0.001, ANOSIM) then herbs (R = 0.11, p < 0.001, ANOSIM: Table 2). Similarity percentages (SIMPER) test for all plant species showed an overall similarity of 44% in the soil transfer site, 46% in the natural site and 64% in the old field site (Table 2). For trees and shrubs, the SIMPER analysis showed high similarity percentages in the natural site compared to the soil transfer and old field sites. For herbs, the SIMPER analysis showed high similarity percentages in the natural and old field sites compared to the soil transfer site. For graminoids (including geophytes and restio), the SIMPER analysis showed high similarity percentages in the old field site compared to the soil transfer and natural sites (Table 2).
Table 2.
Comparison of species assemblages from different sites for different growth forms. Data shows one-way analysis of similarity (ANOSIM), similarity percentages (SIMPER) and Sørensen similarity index.
SIMPER analysis indicated a mean dissimilarity of 65% between the soil transfer and natural sites, 58% between the soil transfer and old field sites and 75% between the natural and old field sites (Table 3). Plant species that contributed more than 3% of the dissimilarity were found between the soil transfer and old field sites, and these are the two shrubs of Hermannia spp. and D. rhinocerotis, the herb species Ursinia anthemoides and the grass species Ehrharta longifolia (Table 3). For all the species, the Sørensen similarity index showed very high similarity between the soil transfer and natural sites, high similarity between the soil transfer and old field sites, and moderate similarity between the natural and old field sites (Table 2). For trees and shrubs, the Sørensen similarity index showed very high similarity between the soil transfer and natural sites, and low similarity between the soil transfer and old field sites as well as between the natural and old field sites (Table 2). The Sørensen similarity index for herbs showed very high similarity among the different sites, whereas that for grasses showed high similarity among the different sites (Table 2).
Table 3.
Summary of SIMPLER analysis showing percentage contribution for some species to the overall dissimilarity between sites. Dissimilarities were calculated from Bray-Curtis distance measures.
4. Discussion
Results of this study show that eight years after the initial soil transfer in 2009 there is evidence that topsoil transfer from intact renosterveld to the degraded old field facilitates vegetation recovery. Native trees and shrubs (e.g., Asparagus spp., Leucadendron corymbosum, Aspalathus spp., Stoebe plumose, Eriocephalus africanus, and Hermannia scabra) which were not present prior to soil transfer in the old field are now present, an indication that vegetation recovery is taking place. These results concur with previous studies that have shown that soil transfer can steer plant community recovery in degraded ecosystems [8,25,30,32]. Jaunatre et al. [8] showed that combining soil transfer with topsoil removal created a vegetation community that is similar to Mediterranean steppe areas in France. Wub et al. [25] showed that soil inoculation in degraded old fields promotes both natural vegetation recovery and community development, although the nature of recovery is depended on soil transfer source.
The success of soil transfer from the intact renosterveld site to the old field can be attributed to several factors. Firstly, increased species diversity and cover in the soil transfer site compared to old field site could be because of native species soil seed bank introduction during the soil transfer process [27,28,35]. Hölzel and Otte [21] and Muller et al. [32] concluded that soil transfer can increase the native species soil seed bank in degraded old fields, which are generally known to have a depleted native species soil seed bank [19]. Besides the recorded 44% overall species similarity in the soil transfer site compared to the other sites, a species occupancy frequency calculation shows that half of the 16 trees and shrubs that were present in both the soil transfer and natural sites have an occupancy frequency of above 20%. This shows that soil transfer increased the pool of available native species in the transfer site, a result that is similar to observations by Muller et al. [32].
Secondly, soil transfer from intact renosterveld to old fields could have altered soil biological, physical, and chemical properties. Although changes in soil properties were not measured in this study, several studies have shown that soil transfer does alter soil biological, physical, and chemical properties [8,21,25,26,30]. Previous studies at the same study sites have reported high soil N, P, and C in these old fields [20,38], likely due to past fertilization for cultivation purposes. A micro-topography study by Ruwanza [39] in the same old field sites reported that some soil properties (e.g., moisture, pH, total N, and C) were higher in the furrows than in the ridges. Given that transferred soils in this study were applied in ridges, there exist a possibility that soil transfer could have lowered these previously reported high soil nutrients. Indeed, Jaunatre et al. [8] reported that six years after the initial soil transfer, both soil N and C content were like the ones reported in natural sites. Similarly, Bulot et al. [26] reported that soil transfer changed soil community composition towards the donor natural sites. Rivera et al. [30] concluded that the addition of topsoil on road embankments increases soil fertility, especially microbial activity, which subsequently benefit native plant growth thus increasing species diversity and cover. Changes in soil properties following soil transfer could have created suitable plant germination and establishment conditions. Indeed, soil transfer has been reported to create suitable microsite conditions that favor germination and establishment of native species [8,21].
Thirdly, soil transfer could have triggered a decrease in competition for resources between alien and native plant species, because of the observed reduction in grass cover (especially alien grasses) in the soil transfer site. Previous studies have reported that competition by alien grasses (in this case C. dactylon, B. diandrus, and B. maxima) negatively affects the establishment, growth, and survival of native species in old fields targeted for ecological restoration [37]. Results of this study showed a decrease in alien grass cover in the soil transfer site compared to the old field sites that are still dominated by alien grasses. The recruitment of some native species like L. corymbosum, S. plumose, and E. africanus in the soil transfer site, which used to be dominated by alien grasses, could be a result of their ability to overcome interspecific competition. The above suggestion is supported by previous studies that have shown that the establishment of target native species is usually facilitated by a low abundance of strongly competitive grass species [21,52].
Lastly, the exclusion of grazing, through fencing the soil transfer site could have promoted native plant recovery. Although grazing exclusion was not monitored in this study, a study that was conducted in the same old fields where soils were transferred showed that herbivory influences height and canopy cover of introduced native plant seedling, although the effects are not as pronounced as the ones caused by competition from alien grasses [37]. Recent studies have shown that grazing exclusion can lead to the recovery of plant species richness, composition, and primary productivity [53]. Similarly, [54] showed that grazing exclusion effectively facilitates community stability and improved vegetation growth in degraded alpine grasslands of China.
Results of this study support the prediction that transfer of topsoil from intact renosterveld to old fields facilitates vegetation recovery because the soil transfer site now resembles the native renosterveld site. Although previous old field restoration initiatives in renosterveld have demonstrated mixed results (e.g., potential plant recovery success following artificial perching [18] and recovery failure following soil nutrient manipulation [20]), the advantage with soil transfer is that it facilitates both vegetation and soil recovery (though soil recovery was not tested in this study) [26]. However, soil transfer for large restoration initiatives will require movement of soil at a large scale, thus more likely to damage both the natural and soil transfer sites during soil movement using large vehicles [26]. Therefore, soil transfer should be used as the last restoration initiative [26], with measures to reduce soil and vegetation destruction during soil movement being implemented (e.g., proper planning of soil transfer and avoiding collecting soil from vulnerable ecosystems [28]).
5. Conclusions and Implications for Restoration
In conclusion, results of this study show that soil transfer from intact renosterveld to degraded old fields increase species diversity and cover, and facilitate vegetation recovery. The study reported that soil transfer in degraded old fields steers vegetation community development towards intact renosterveld. Based on these results, manipulation of soil communities in degraded old fields through soil transfer is encouraged, due to its potential to facilitate recruitment of native species. To maximize vegetation recovery following soil transfer, measures to control the dominant grasses prior soil transfer in old fields should be considered. Such grass control methods can include mowing, burning, herbicide application, or topsoil removal. Previous studies have shown that although some of the above-mentioned grass control methods are costly, they are effective at controlling grasses in old fields [17].
Although soil transfer from intact native areas to degraded old fields is a promising restoration tool, the financial costs associated with this method require further research. Generally, soil transfer is regarded as an expensive restoration tool [21,26], therefore, one way to reduce costs during soil transfer is to implement the technique gradually and on old field patches instead of the whole field. Administering soil transfer gradually and on patches has the potential not to only cut costs, but to create restoration centers were recovery can start. These restoration centers can then act as seed dispersal centers or can facilitate the establishment of nurse plants. To avoid destruction of native communities during transfer of soils from intact vegetation to degraded old fields, creation of small soil collection patches is recommended and measures to restore these patches (e.g., seeding and native species seed sowing) are encouraged. Also, the use of non-destructive heavy machines that are known to damage native vegetation and soils is discouraged during the soil transfer process. Lastly, long term monitoring of changes in both soil and vegetation following soil transfer at a large scale is required to evaluate the full potential of soil transfer as a restoration tool in restoring degraded old fields in renosterveld.
Funding
The initial funding to setup the experiment in 2009 was provided by BIOTA Southern Africa Phase III under the auspices of the German Federal Ministry of Education and Research. Funding to conduct the 2017 surveys was provided by DST-NRF Center of Excellence for Invasion Biology (C.I.B).
Acknowledgments
Thanks to Elandsberg Private Nature Reserve managers (M. Gregor) and personnel (B. Wooding) for their permission to conduct the study in the reserve and for logistical support. Thanks to S. Snyders (SANBI), I. Matimati and J.M. Nyaga for their technical work during experimental setup in 2009. Thanks to Suzaan Kritzinger-Klopper who assisted with plant species identification.
Conflicts of Interest
The author declares no conflict of interest.
Appendix A
Table A1.
List of 60 frequently occurring plant species identified from different sites. Species are grouped into four broad growth form classes, namely trees, shrubs, herbs, and graminoids (including geophytes and restio).(*) Indicates that the species was present at the site and is based on calculated species occupancy frequencies categorized as * (1–20%), ** (21–40%), *** (41–60%), **** (61–80%) and ***** (81–100) with (-) indicating that the species was not present.
References
- Plieninger, T.; Hui, C.; Gaertner, M.; Huntsinger, L. The impact of land abandonment on species richness and abundance in the mediterranean basin: A meta-analysis. PLoS ONE 2014, 9, e98355. [Google Scholar] [CrossRef] [PubMed]
- Andrew, M.; Ainslie, A.; Shackleton, C. Evaluating Land Use Issues Related to South Africa’s Land and Agrarian Reform Programme: 1994–2002; Occasional Paper in the Land Reform Series; Programme for Land and Agrarian Studies; University of the Western Cape: Cape Town, South Africa, 2003. [Google Scholar]
- Andrew, M.; Fox, R. Undercultivation and intensification in the Transkei: A case study of historical changes in the use of arable land in Nompa, Shixini. Dev. South. Afr. 2004, 21, 687–706. [Google Scholar] [CrossRef]
- Rey Benayas, J.M.; Martins, A.; Nicolau, J.M.; Schulz, J.J. Abandonment of agricultural land: An overview of drivers and consequences. CAB Rev. Perspect. Agric. Vet. Sci. Nutr. Nat. Res. 2007, 2, 1–14. [Google Scholar] [CrossRef]
- Ramankutty, N.; Foley, J.A. Estimating historical changes in global land cover: Croplands from 1700 to 1992. Global Biogeochem. Cycles 1999, 13, 997–1027. [Google Scholar] [CrossRef]
- Blair, D.; Shackleton, C.; Mograbi, P. Cropland abandonment in South African smallholder communal lands: Land cover change (1950–2010) and farmer perceptions of contributing factors. Land 2018, 7, 121. [Google Scholar] [CrossRef]
- Hobbs, R.J.; Cramer, V.A. Why old fields? Socioeconomic and ecological causes and consequences of land abandonment. In Old Fields: Dynamics and Restoration of Abandoned Farmland; Cramer, V.A., Hobbs, R.J., Eds.; Island Press: Washington, DC, USA, 2007; pp. 1–14. [Google Scholar]
- Jaunatre, R.; Buisson, E.; Dutoit, T. Can ecological engineering restore Mediterranean rangeland after intensive cultivation? A large-scale experiment in southern France. Ecol. Eng. 2014, 64, 202–212. [Google Scholar] [CrossRef]
- Jaiyeoba, I.A. Changes in soil properties due to continuous cultivation in Nigerian semiarid Savannah. Soil Till. Res. 2003, 70, 91–98. [Google Scholar] [CrossRef]
- Clements, D.R.; Benott, D.L.; Murphy, S.D.; Swanton, C.J. Tillage effects on weed seed return and seedbank composition. Weed Sci. 1996, 44, 314–322. [Google Scholar] [CrossRef]
- Novara, A.; Gristina, L.; Kuzyakov, Y.; Schillaci, C.; Laudicina, V.A.; La Mantia, T. Turnover and availability of soil organic carbon under different Mediterranean land use as estimated by 13C natural abundance. Eur. J. Soil Sci. 2013, 64, 466–475. [Google Scholar] [CrossRef]
- Öster, M.; Ask, K.; Römermann, C.; Tackenberg, O.; Eriksson, O. Plant colonization of ex-arable fields from adjacent species-rich grasslands: The importance of dispersal vs. recruitment ability. Agr. Ecosyst. Environ. 2009, 130, 93–99. [Google Scholar] [CrossRef]
- Novara, A.; La Mantia, T.; Rühl, J.; Badalucco, L.; Kuzyakov, Y.; Gristina, L.; Laudicina, V.A. Dynamics of soil organic carbon pools after agricultural abandonment. Geoderma 2014, 235–236, 191–198. [Google Scholar] [CrossRef]
- Munroe, D.K.; van Berkel, D.B.; Verburg, P.H.; Olson, J.L. Alternative trajectories of land abandonment: Causes, consequences and research challenges. Curr. Opin. Environ. Sustain. 2013, 5, 471–476. [Google Scholar] [CrossRef]
- Wubs, E.R.J.; van Heusden, T.; Melchers, P.D.; Bezemer, T.M. Soil inoculation steers plant-soil feedback, suppressing ruderal plant species. Front. Ecol. Evol. 2019, 7, 451. [Google Scholar] [CrossRef]
- Cramer, V.A.; Hobbs, R.J.; Standish, R.J. What’s new about old fields? Land abandonment and ecosystem assembly. Trends Ecol. Evol. 2008, 23, 104–112. [Google Scholar] [CrossRef] [PubMed]
- Musil, C.F.; Milton, S.J.; Davis, G.W. The threat of alien invasive grasses to lowland Cape floral diversity: An empirical appraisal of the effectiveness of practical control strategies. S. Afr. J. Sci. 2005, 101, 337–344. [Google Scholar]
- Heelemann, S.; Krug, C.B.; Esler, K.J.; Reisch, C.; Poschlod, P. Pioneers and perches-promising restoration methods for degraded Renosterveld habitats? Restor. Ecol. 2012, 20, 18–23. [Google Scholar] [CrossRef]
- Heelemann, S.; Krug, C.B.; Esler, K.J.; Reisch, C.; Poschlod, P. Soil seed banks of remnant and degraded Swartland Shale Renosterveld. Appl. Veg. Sci. 2013, 16, 585–597. [Google Scholar] [CrossRef]
- Ruwanza, S.; Musil, C.F.; Esler, K.J. Sucrose application is ineffectual as a restoration aid in a transformed southern African lowland fynbos ecosystem. S. Afr. J. Bot. 2012, 80, 1–8. [Google Scholar] [CrossRef]
- Hölzel, N.; Otte, A. Restoration of a species-rich flood meadow by topsoil removal and diaspore transfer with plant material. Appl. Veg. Sci. 2003, 6, 131–140. [Google Scholar] [CrossRef]
- Rasran, L.; Vogt, K.; Jensen, K. Effects of topsoil removal, seed transfer with plant material and moderate grazing on restoration of riparian fen grasslands. Appl. Veg. Sci. 2007, 10, 451–460. [Google Scholar] [CrossRef]
- Melečková, Z.; Galvánek, D.; Dítě, D.; Eliáš, P., Jr. Effect of experimental top soil removal on vegetation of Pannonian salt steppes. Cent. Eur. J. Biol. 2013, 8, 1204–1215. [Google Scholar] [CrossRef]
- Resch, M.C.; Schütz, M.; Graf, U.; Wagenaar, R.; van der Putten, W.H.; Risch, A.C. Does topsoil removal in grassland restoration benefit both soil nematode and plant communities? J. Appl. Ecol. 2019, 56, 1782–1793. [Google Scholar] [CrossRef]
- Wubs, E.R.J.; van der Putten, W.H.; Bosch, M.; Bezemer, T.M. Soil inoculation steers restoration of terrestrial ecosystems. Nat. Plants 2016, 2, 16107. [Google Scholar] [CrossRef] [PubMed]
- Bulot, A.; Potard, K.; Bureau, F.; Bérard, A.; Dutoit, T. Ecological restoration by soil transfer: Impacts on restored soil profiles and topsoil functions. Restor. Ecol. 2017, 25, 354–366. [Google Scholar] [CrossRef]
- Rokich, D.P.; Dixon, K.W.; Sivasithamparam, K.; Meney, K.A. Topsoil handling and storage effects on woodland restoration in Western Australia. Restor. Ecol. 2000, 8, 196–208. [Google Scholar] [CrossRef]
- Vécrin, M.P.; Muller, S. Top-soil translocation as a technique in the recreation of species-rich meadows. Appl. Veg. Sci. 2003, 6, 271–278. [Google Scholar] [CrossRef]
- Patzelt, A.; Wild, U.; Pfadenhauer, J. Restoration of wet fen meadows by topsoil removal: Vegetation development and germination biology of fen species. Restor. Ecol. 2001, 9, 127–136. [Google Scholar] [CrossRef]
- Rivera, D.; Mejias, V.; Jauregui, B.M.; Costa-Tenorio, M.; Lopez-Archilla, A.I.; Peco, B. Spreading topsoil encourages ecological restoration on embankments: Soil fertility, microbial activity and vegetation cover. PLoS ONE 2014, 9, e101413. [Google Scholar] [CrossRef]
- Ruwanza, S. Towards an integrated ecological restoration approach for abandoned agricultural fields in renosterveld, South Africa. S. Afr. J. Sci. 2017, 113, 1–4. [Google Scholar] [CrossRef]
- Muller, I.; Buisson, E.; Mouronval, J.B.; Mesléard, F. Temporary wetland restoration after rice cultivation: Is soil transfer required for aquatic plant colonization? Knowl. Manag. Aquat. Ecosyst. 2013, 411, 1–17. [Google Scholar] [CrossRef]
- Clewell, A.F.; Aronson, J. Ecological Restoration: Principles, Values, and Structure of An Emerging Profession; Island Press: Washington, DC, USA, 2013. [Google Scholar]
- Bruelheide, H.; Flintrop, T. Evaluating the transplantation of a meadow in the Harz Mountains, Germany. Biodivers. Conserv. 2000, 92, 109–120. [Google Scholar] [CrossRef]
- Chenot, J.; Jaunatre, R.; Buisson, E.; Dutoit, T. Long-term effects of topsoil transfer assessed thirty years after rehabilitation of dry alluvial quarries in Southeastern France. Ecol. Eng. 2017, 99, 1–12. [Google Scholar] [CrossRef]
- Krug, C.B.; Krug, R.M. Restoration in old fields in renosterveld: A case study in a mediterranean-type shrubland of South Africa. In Old Fields: Dynamics and Restoration of Abandoned Farmland; Cramer, V.A., Hobbs, R.J., Eds.; Island Press: Washington, DC, USA, 2007; pp. 265–285. [Google Scholar]
- Midoko-Iponga, D.; Krug, C.B.; Milton, S.J. Competition and herbivory influence growth and survival of shrubs on old fields: Implications for restoration of renosterveld shrubland. J. Veg. Sci. 2005, 16, 658–692. [Google Scholar] [CrossRef]
- Memiaghe, H.R. Old Field Restoration: Vegetation Response to Soil Changes and Restoration Efforts in the Western Cape Lowlands. Master’s Thesis, Stellenbosch University, Stellenbosch, South Africa, 2008. [Google Scholar]
- Ruwanza, S. Furrows as centers of restoration in old fields of Renosterveld, South Africa. Ecol. Restor. 2017, 35, 289–291. [Google Scholar] [CrossRef]
- Mucina, L.; Rutherford, M.C. The Vegetation of South Africa, Lesotho and Swaziland; Strelitzia 19; South African National Biodiversity Institute: Pretoria, South African, 2006. [Google Scholar]
- Cowling, R.M.; Pierce, S.M.; Moll, E.J. Conservation and utilisation of South Coast renosterveld, an endangered South African vegetation type. Biodivers. Conserv. 1986, 37, 363–377. [Google Scholar] [CrossRef]
- Shiponeni, N.N.; Milton, S.J. Seed dispersal in the dung of large herbivores: Implications for restoration of Renosterveld shrubland old fields. Biodivers. Conserv. 2006, 15, 3161–3175. [Google Scholar] [CrossRef]
- Manning, J. Field guide to fynbos; Struik: Cape Town, South Africa, 2007. [Google Scholar]
- Manning, J.C.; Goldblatt, P. Plants of the Greater Cape Floristic Region 1: The Core Cape flora; Strelitzia 29; South African National Biodiversity Institute: Pretoria, South Africa, 2012. [Google Scholar]
- South African National Biodiversity Institute (SANBI). Plantz Africa (PlantZAfrica.com). 2017. Available online: http://pza.sanbi.org/ (accessed on 15 November 2017).
- StatSoft, Inc. Statistica (Data Analysis Software System). Version 13.1. 2017. Available online: http://www.statsoft.com (accessed on 14 July 2017).
- Šmilauer, P.; Lepš, J. Multivariate Analysis of Ecological Data Using Canoco 5, 2nd ed.; Cambridge University Press: Cambridge, UK, 2014. [Google Scholar]
- Clarke, K.R.; Warwick, R.M. Change in Marine Communities: An Approach to Statistical Analysis and Interpretation, 2nd ed.; PRIMER-E: Plymouth, UK, 2001. [Google Scholar]
- Sørensen, T. A method of establishing groups of equal amplitude in plant sociology based on similarity of species content. Dan. Vid. Selsk. Biol. Skr. 1948, 5, 1–34. [Google Scholar]
- Henderson, P. Practical Methods in Ecology; Blackwell: Oxford, UK, 2003. [Google Scholar]
- Engen, S.; Grøtan, V.; Sæther, B.-E. Estimating similarity of communities: A parametric approach to spatio-temporal analysis of species diversity. Ecography 2011, 34, 220–231. [Google Scholar] [CrossRef]
- Lepš, J. Nutrient status, disturbance and competition: An experimental test of relationships in a wet meadow canopy. J. Veg. Sci. 1999, 10, 219–230. [Google Scholar] [CrossRef]
- Fedrigo, J.K.; Ataide, P.F.; Filho, J.A.; Oliveira, L.V.; Jaurena, M.; Laca, E.A.; Overbeck, G.E.; Nabinger, C. Temporary grazing exclusion promotes rapid recovery of species richness and productivity in a long-term overgrazed Campos grassland. Restor. Ecol. 2018, 26, 677–685. [Google Scholar] [CrossRef]
- Yan, Y.; Lu, X. Is grazing exclusion effective in restoring vegetation in degraded alpine grasslands in Tibet, China? Peer J. 2015, 3, e1020. [Google Scholar] [CrossRef] [PubMed]
© 2020 by the author. Licensee MDPI, Basel, Switzerland. This article is an open access article distributed under the terms and conditions of the Creative Commons Attribution (CC BY) license (http://creativecommons.org/licenses/by/4.0/).


