Experimental Study on Wake Evolution of a 1.5 MW Wind Turbine in a Complex Terrain Wind Farm Based on LiDAR Measurements
Abstract
1. Introduction
2. Set-Up of the LiDAR Measurement Campaign
2.1. Introduction of Experimental Site
2.2. LiDAR Measurement Scheme
3. Results and Discussions
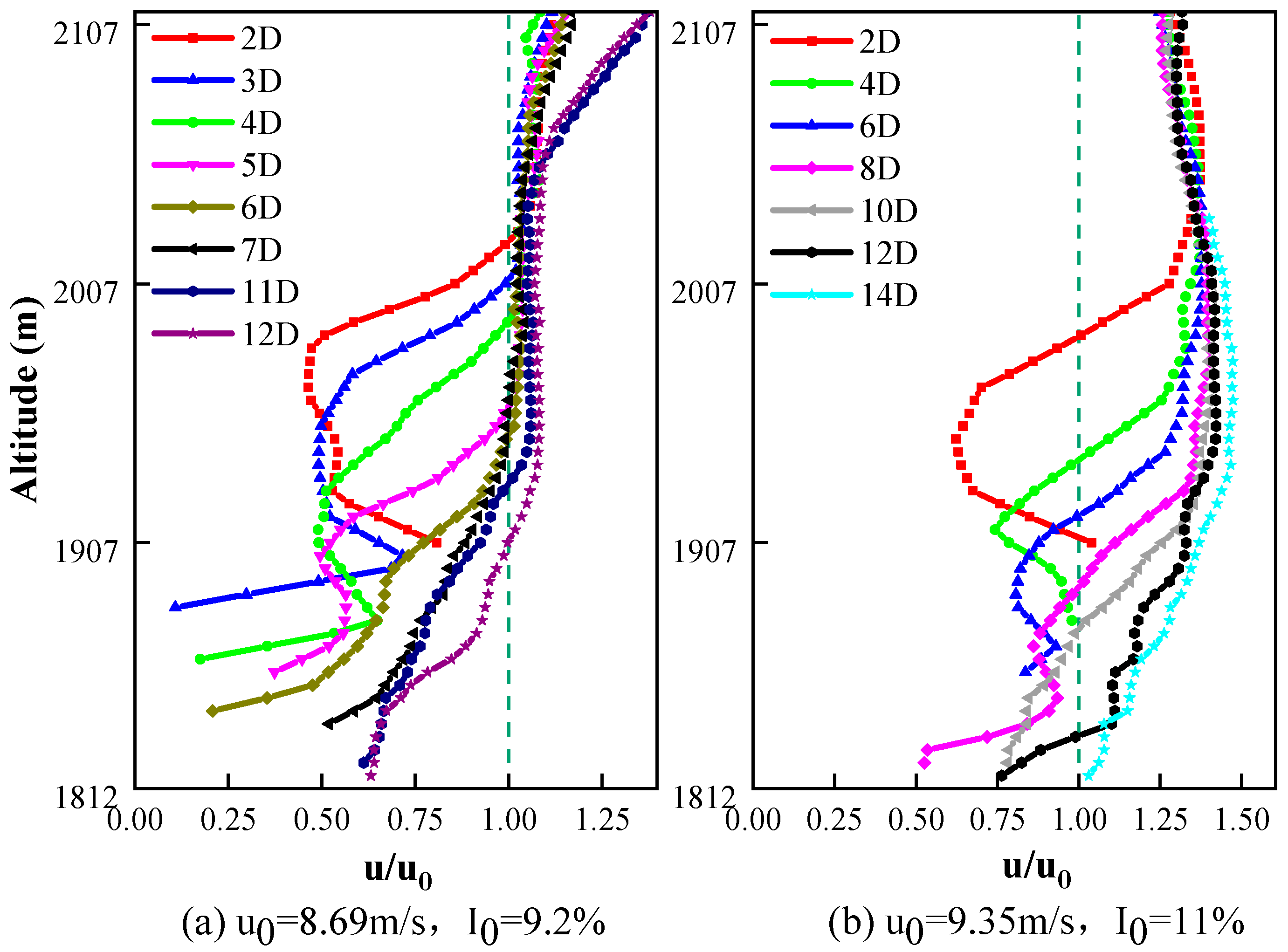
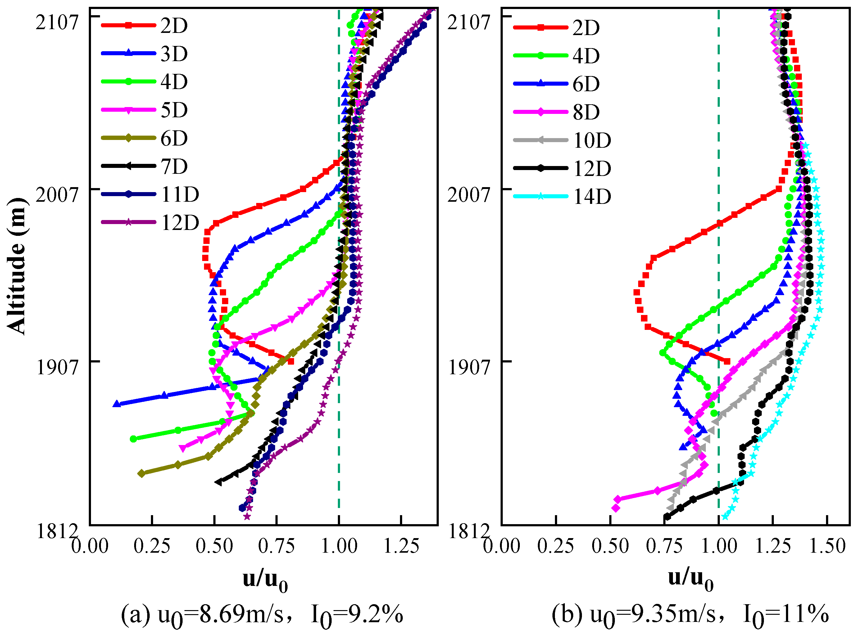
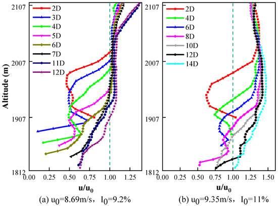
3.1. Inflow Wind Profiles and Wake Characteristics in Vertical Height Plane
3.2. Topographic Effects on Wake Subsidence
3.3. Analysis of Factors Affecting Wake Recovery Rate
4. Conclusions
- Considering that most field experiments and wake models do not consider the effect of incoming wind shear on the wake field in the study of wake characteristics, this paper uses field data obtained two LiDAR models to analyze the characteristics of wind speed distribution in wake regions under the wind shear effect. Results show that the wake profiles in a wake region are affected by the wind shear effects, which shows an asymmetrical distribution. In addition, the wind speed gradually increases above the wake center, and increases firstly and then decreases under the wake center due to the effect of tower shadow and ground friction.
- The wake velocity distribution obtained from the RHI model shows that the wake centerline subsidence affected by the topographic effects, and the sinking height of the wake center is linearly related to the altitude drop under the two Cases.
- By comparing the wake recovery rates in two different conditions, it is verified that the wake recovery rate is affected by the turbulence intensity in the wake region. The greater the turbulence intensity in the wake region, the faster the wake recovery rate. In addition, results show that the turbulence intensity in the wake region is determined by the turbulence intensity of the incoming flow and the thrust coefficient of the wind turbine.
- Compared with previous complex terrain LiDAR measurement experiments, this study uses two different types of LiDAR models: WP350 for measuring incoming wind conditions and the LiDAR 3D6000 for acquiring wake data. Based on the experimental data, both the characteristics of wake distribution under the influence of terrain and influence of incoming wind conditions on the characteristics of wake development are analyzed, which can provide some guidance for future LiDAR measurement campaign and wind turbine layout optimization.
- Based on the results provided in this paper, it can be concluded that for specific wind turbines in a complex wind farm, the incoming wind conditions caused by the terrain and altitudes as well as the incoming wind of upstream turbine are different. Thus, specific pitch/yaw control strategies should be applied for specific turbines to improve the aerodynamic performance of the downwind wind turbines, which should be further investigated.
Author Contributions
Funding
Conflicts of Interest
Appendix A. Inversion Algorithm of Horizontal Wind Speed
Appendix A.1. Doppler Beam Swing (DBS) Model Inversion Algorithm
Appendix A.2. Range Height Indicator (RHI) Model Inversion Algorithm
Appendix B. List of Symbols and Abbreviation
| List of symbols and abbreviation | |||
| LiDAR | Light Detection and Ranging | D | The rotor diameter (m) |
| WP350 | WindMast WP350 | u0 | Incoming wind speed at hub height (m/s) |
| 3D6000 | Wind3D6000 | I0 | Inflow turbulence intensity at hub height |
| DBS | Doppler beam Swing | CT | Thrust coefficient |
| RHI | Range-Height-Indicator | Iwake | Turbulence intensity in wake region |
| PPI | Plan-Position-Indicator | LOS | Line-of-sight (velocity) |
| SNR | Signal-Noise ratio | ||
| SCADA | Supervisory Control And Data Acquisition | ||
| SLPIV | Super-large-scale particle image velocimetry | ||
References
- Astolfi, D.; Castellani, F.; Terzi, L. A study of wind turbine wakes in complex terrain through rans simulation and scada data. J. Solar Energy Eng. 2018, 140, 9. [Google Scholar] [CrossRef]
- Barthelmie, R.J.; Hansen, K.S.; Frandsen, S.T.; Rathmann, O.; Schepers, J.G.; Schlez, W.; Phillips, J.; Rados, K.; Zervos, A.; Politis, E.S.; et al. Modelling and measuring flow and wind turbine wakes in large wind farms offshore. Wind Energy 2009, 12, 431–444. [Google Scholar] [CrossRef]
- Meng, H.; Lien, F.-S.; Li, L. Elastic actuator line modelling for wake-induced fatigue analysis of horizontal axis wind turbine blade. Renew. Energy 2018, 116, 423–437. [Google Scholar] [CrossRef]
- Han, X.; Liu, D.; Xu, C.; Zhong, S.W. Atmospheric stability and topography effects on wind turbine performance and wake properties in complex terrain. Renew. Energy 2018, 126, 640–651. [Google Scholar] [CrossRef]
- Jensen, N.O. A Note on Wind Generator Interaction; Risø National Laboratory: Roskilde, Denmark, 1983.
- Frandsen, S.; Barthelmie, R.; Pryor, S.; Rathmann, O.; Larsen, S.; Højstrup, J.; Thøgersen, M. Analytical modelling of wind speed deficit in large offshore wind farms. Wind Energy 2006, 9, 39–53. [Google Scholar] [CrossRef]
- Tian, L.; Zhu, W.; Shen, W.; Zhao, N.; Shen, Z. Development and validation of a new two-dimensional wake model for wind turbine wakes. J. Wind Eng. Ind. Aerodyn. 2015, 137, 90–99. [Google Scholar] [CrossRef]
- Gao, X.; Yang, H.; Lu, L. Optimization of wind turbine layout position in a wind farm using a newly-developed two-dimensional wake model. Appl. Energy 2016, 174, 192–200. [Google Scholar] [CrossRef]
- Sun, H.; Yang, H. Study on an innovative three-dimensional wind turbine wake model. Appl. Energy 2018, 226, 483–493. [Google Scholar] [CrossRef]
- Barthelmie, R.J.; Pryor, S.C. An overview of data for wake model evaluation in the Virtual Wakes Laboratory. Appl. Energy 2013, 104, 834–844. [Google Scholar] [CrossRef]
- Grassi, S.; Junghans, S.; Raubal, M. Assessment of the wake effect on the energy production of onshore wind farms using GIS. Appl. Energy 2014, 136, 827–837. [Google Scholar] [CrossRef]
- Xydis, G.; Koroneos, C.; Loizidou, M. Exergy analysis in a wind speed prognostic model as a wind farm sitting selection tool: A case study in Southern Greece. Appl. Energy 2009, 86, 2411–2420. [Google Scholar] [CrossRef]
- Castellani, F.; Astolfi, D.; Mana, M.; Piccioni, E.; Becchetti, M.; Terzi, L. Investigation of terrain and wake effects on the performance of wind farms in complex terrain using numerical and experimental data. Wind Energy 2017, 20, 1277–1289. [Google Scholar]
- Jha, P.K.; Duque, E.P.N.; Jessica, L.; Bashioum, J.L.; Schmitz, S. Unraveling the mysteries of turbulence transport in a wind farm. Energies 2015, 8, 6468–6496. [Google Scholar] [CrossRef]
- Nandi, T.N.; Herrig, A.; Brasseur, J.G. Non-steady wind turbine response to daytime atmospheric turbulence. Philos. Trans. R. Soc. A Math. Phys. Eng. Sci. 2017, 375, 20160103. [Google Scholar] [CrossRef] [PubMed]
- Churchfield, M.J.; Lee, S.; Michalakes, J.; Moriarty, P.J. A numerical study of the effects of atmospheric and wake turbulence on wind turbine dynamics. J. Turbul. 2012. [Google Scholar] [CrossRef]
- Murali, A.; Rajagopalan, R. Numerical simulation of multiple interacting wind turbines on a complex terrain. J. Wind Eng. Ind. Aerodyn. 2017, 162, 57–72. [Google Scholar] [CrossRef]
- Hyvärinen, A.; Segalini, A. Effects from complex terrain on wind-turbine performance. J. Energy Resour. Technol. 2017, 139, 051205. [Google Scholar] [CrossRef]
- Dou, B.; Guala, M.; Lei, L.; Zeng, P. Experimental investigation of the performance and wake effect of a small-scale wind turbine in a wind tunnel. Energy 2019, 166, 819–833. [Google Scholar] [CrossRef]
- Iungo, G.V. Experimental characterization of wind turbine wakes: Wind tunnel tests and wind LiDAR measurements. J. Wind Eng. Ind. Aerodyn. 2016, 149, 35–39. [Google Scholar] [CrossRef]
- Tian, W.; Ozbay, A.; Hu, H. An experimental investigation on the aeromechanics and wake interferences of wind turbines sited over complex terrain. J. Wind Eng. Ind. Aerodyn. 2018, 172, 379–394. [Google Scholar] [CrossRef]
- Singh, R.K.; Ahmed, M.R. Blade design and performance testing of a small wind turbine rotor for low wind speed applications. Renew. Energy 2013, 50, 812–819. [Google Scholar] [CrossRef]
- Talavera, M.; Shu, F. Experimental study of turbulence intensity influence on wind turbine performance and wake recovery in a low-speed wind tunnel. Renew. Energy 2017, 109, 363–371. [Google Scholar] [CrossRef]
- Li, Q.A.; Maeda, T.; Kamada, Y.; Mori, N. Investigation of wake characteristics of a Horizontal Axis Wind Turbine in vertical axis direction with field experiments. Energy 2017, 141, 262–272. [Google Scholar] [CrossRef]
- Böhme, G.S.; Fadigas, E.A.; Gimenes, A.L.V.; Tassinari, C.E.M. Wake effect measurement in complex terrain—A case study in Brazilian wind farms. Energy 2018, 161, 277–283. [Google Scholar] [CrossRef]
- Subramanian, B.; Chokani, N.; Abhari, R.S. Aerodynamics of wind turbine wakes in flat and complex terrains. Renew. Energy 2016, 85, 454–463. [Google Scholar] [CrossRef]
- Abraham, A.; Dasari, T.; Hong, J. Effect of turbine nacelle and tower on the near wake of a utility-scale wind turbine. J. Wind Eng. Ind. Aerodyn. 2019, 193, 103981. [Google Scholar] [CrossRef]
- Torres Garcia, E.; Aubrun, S.; Coupiac, O.; Girard, N.; Boquet, M. Statistical characteristics of interacting wind turbine wakes from a 7-month LiDAR measurement campaign. Renew. Energy 2019, 130, 1–11. [Google Scholar] [CrossRef]
- Kumer, V.-M.; Reuder, J.; Dorninger, M.; Zauner, R.; Grubišić, V. Turbulent kinetic energy estimates from profiling wind LiDAR measurements and their potential for wind energy applications. Renew. Energy 2016, 99, 898–910. [Google Scholar] [CrossRef]
- Vasiljević, N.; Palma, J.M.L.M.; Angelou, N.; Matos, J.C.; Menke, R.; Lea, G.; Mann, J.; Courtney, M.; Ribeiro, L.F.; Gomes, V.M.M.G.C. Perdigão 2015: Methodology for atmospheric multi-Doppler lidar experiments. Atmos. Meas. Tech. 2017, 10, 3463–3483. [Google Scholar] [CrossRef]
- Mann, J.; Angelou, N.; Arnqvist, J. Complex terrain experiments in the New European Wind Atlas, Philos. TR Soc. A 2017, 375, 20160101. [Google Scholar] [CrossRef]
- Gao, X.; Wang, T.; Li, B.; Sun, H.; Yang, H.; Han, Z.; Wang, Y.; Zhao, F. Investigation of wind turbine performance coupling wake and topography effects based on LiDAR measurements and SCADA data. Appl. Energy 2019, 255, 113816. [Google Scholar] [CrossRef]
- Sun, H.; Gao, X.; Yang, H. Validations of three-dimensional wake models with the wind field measurements in complex terrain. Energy 2019, 189, 116213. [Google Scholar] [CrossRef]
- Gao, X.; Li, B.; Wang, T.; Sun, H.; Yang, H.; Li, Y.; Wang, Y.; Zhao, F. Investigation and validation of 3D wake model for horizontal-axis wind turbines based on filed measurements. Appl. Energy 2020, 260, 114272. [Google Scholar] [CrossRef]
- Ge, M.; Wu, Y.; Liu, Y.; Li, Q. A two-dimensional model based on the expansion of physical wake boundary for wind-turbine wakes. Appl. Energy 2019, 233, 975–984. [Google Scholar] [CrossRef]
- Chamorro, L.P.; Porté-Agel, F. A wind-tunnel investigation of wind-turbine wakes: Boundary-layer turbulence effects. Bound. Layer Meteorol. 2009, 132, 129–149. [Google Scholar] [CrossRef]
- Vermeer, L.; Sørensen, J.N.; Crespo, A. Wind turbine wake aerodynamics. Prog. Aerosp. Sci. 2003, 39, 467–510. [Google Scholar] [CrossRef]
- Ishihara, T.; Yamaguchi, A.; Fujino, Y. Development of a new wake model based on a wind tunnel experiment. Glob. Wind Power 2004, 105, 33–45. [Google Scholar]
- Quarton, D.C.; Ainslie, J.F. Turbulence in wind turbine wakes. Wind Eng. 1989, 14, 15–23. [Google Scholar]
- Hassan, U. A wind tunnel investigation of the wake structure within small wind turbine farms. In ETSU-WN-5113; Harwell Laboratory: Havel, UK, 1993. [Google Scholar]










| Parameters | DBS mode of WP350 | RHI mode of 3D6000 |
|---|---|---|
| Wave length | 1550 nm | 1550 nm |
| Detection range | 65 m–350 m | 45 m–2000 m |
| Range resolution | 10 m | 20 m |
| Elevation | 71° | 0–45° |
| Azimuth | 0–360° | 330°–340° |
| Scanning speed | — | 1 °/s |
| Data updating frequency | 1 Hz | 1 Hz |
| Wind speed error | ≤0.1 m/s | ≤0.1 m/s |
| Wind direction error | ≤3° | ≤3° |
| SNR threshold | 10 | 10 |
| Wind speed range | −37.5~+37.5 m/s | −37.5~+37.5 m/s |
© 2020 by the authors. Licensee MDPI, Basel, Switzerland. This article is an open access article distributed under the terms and conditions of the Creative Commons Attribution (CC BY) license (http://creativecommons.org/licenses/by/4.0/).
Share and Cite
Zhao, F.; Gao, Y.; Wang, T.; Yuan, J.; Gao, X. Experimental Study on Wake Evolution of a 1.5 MW Wind Turbine in a Complex Terrain Wind Farm Based on LiDAR Measurements. Sustainability 2020, 12, 2467. https://doi.org/10.3390/su12062467
Zhao F, Gao Y, Wang T, Yuan J, Gao X. Experimental Study on Wake Evolution of a 1.5 MW Wind Turbine in a Complex Terrain Wind Farm Based on LiDAR Measurements. Sustainability. 2020; 12(6):2467. https://doi.org/10.3390/su12062467
Chicago/Turabian StyleZhao, Fei, Yihan Gao, Tengyuan Wang, Jinsha Yuan, and Xiaoxia Gao. 2020. "Experimental Study on Wake Evolution of a 1.5 MW Wind Turbine in a Complex Terrain Wind Farm Based on LiDAR Measurements" Sustainability 12, no. 6: 2467. https://doi.org/10.3390/su12062467
APA StyleZhao, F., Gao, Y., Wang, T., Yuan, J., & Gao, X. (2020). Experimental Study on Wake Evolution of a 1.5 MW Wind Turbine in a Complex Terrain Wind Farm Based on LiDAR Measurements. Sustainability, 12(6), 2467. https://doi.org/10.3390/su12062467

