Effect of Groundcovers on Reducing Soil Erosion and Non-Point Source Pollution in Citrus Orchards on Red Soil Under Frequent Heavy Rainfall
Abstract
1. Introduction
2. Materials and Methods
2.1. Experimental Facilities
2.2. Experimental Design and Treatments
2.3. Sample Collection and Laboratory Analysis
2.4. Statistical Analysis
3. Results
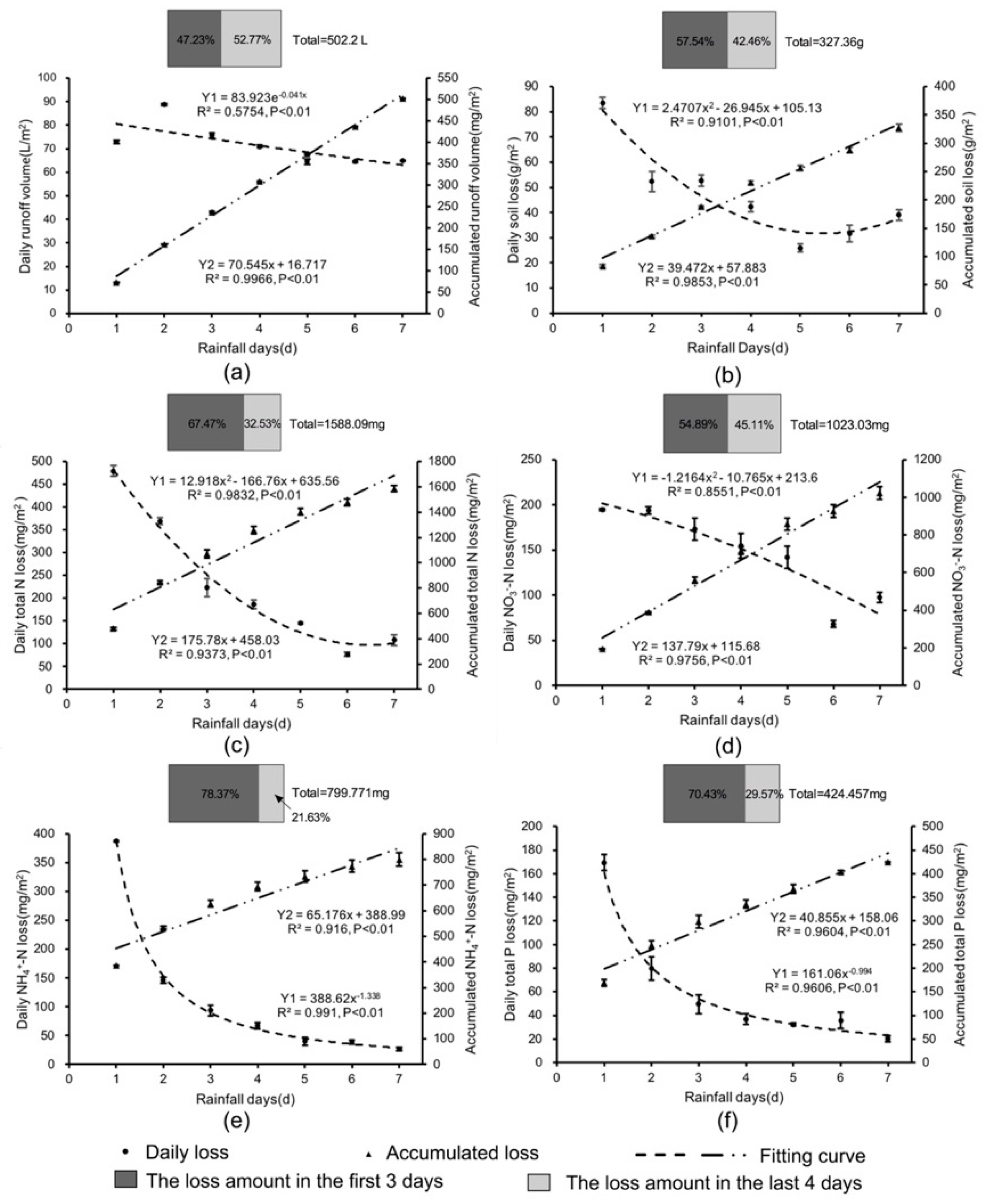
3.1. Process of Soil Erosion and Non-Point Source Pollution on Bare Soil
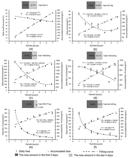
3.2. Runoff and Soil Loss
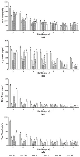
3.3. Nitrogen and Phosphorus Loss
4. Discussion
4.1. Effect of the Simulated Rainfall Pattern on Soil Erosion and Nutrient Losses
4.2. Effect of Different Groundcovers on Soil Erosion and Nutrient Losses
4.3. Dynamics of the Reduction Effect of Different Groundcovers under Frequent Heavy Rainfall
5. Conclusions
Author Contributions
Funding
Acknowledgments
Conflicts of Interest
References
- Yang, Y.; Wang, H.; Tang, J.; Chen, X. Effects of weed management practices on orchard soil biological and fertility properties in southeastern China. Soil Tillage Res. 2007, 93, 179–185. [Google Scholar] [CrossRef]
- Shui, J.G.; Wang, Q.Z.; Liao, G.Q.; Au, J.; Allard, J.L. Ecological and economic benefits of vegetation management measures in citrus orchards on red soils. Pedosphere 2008, 18, 214–221. [Google Scholar] [CrossRef]
- Zhang, H.; Yu, D.; Dong, L.; Shi, X.; Warner, E.; Gu, Z.; Sun, J. Regional soil erosion assessment from remote sensing data in rehabilitated high density canopy forests of southern China. Catena 2014, 123, 106–112. [Google Scholar] [CrossRef]
- Cerdà, A.; Morera, A.G.; Bodí, M.B. Soil and water losses from new citrus orchards growing on sloped soils in the western Mediterranean basin. Earth Surf. Process. Landf. J. Br. Geomorphol. Res. Group 2009, 34, 1822–1830. [Google Scholar] [CrossRef]
- Norse, D. Non-point pollution from crop production: Global, regional and national issues. Pedosphere 2005, 15, 499–508. [Google Scholar]
- Colazo, J.C.; Buschiazzo, D. The impact of agriculture on soil texture due to wind erosion. Land Degrad. Dev. 2015, 26, 62–70. [Google Scholar] [CrossRef]
- Keesstra, S.; Pereira, P.; Novara, A.; Brevik, E.C.; Azorin-Molina, C.; Parras-Alcántara, L.; Jordán, A.; Cerdà, A. Effects of soil management techniques on soil water erosion in apricot orchards. Sci. Total Environ. 2016, 551, 357–366. [Google Scholar] [CrossRef]
- Dimotta, A.; Cozzi, M.; Romano, S.; Lazzari, M. Soil Loss, productivity and cropland values gis-based analysis and trends in the Basilicata region (Southern Italy) from 1980 to 2013. In International Conference on Computational Science and Its Applications; Springer: Cham, Switzerland, 2016; pp. 29–45. [Google Scholar]
- Sun, B.; Zhang, L.; Yang, L.; Zhang, F.; Norse, D.; Zhu, Z. Agricultural non-point source pollution in China: Causes and mitigation measures. Ambio 2012, 41, 370–379. [Google Scholar] [CrossRef] [PubMed]
- Müller, K.; Bach, M.; Hartmann, H.; Spiteller, M.; Frede, H.G. Point-and nonpoint-source pesticide contamination in the Zwester Ohm catchment, Germany. J. Environ. Qual. 2002, 31, 309–318. [Google Scholar] [CrossRef]
- Huang, C.; Huang, X.; Peng, C.; Zhou, Z.; Teng, M.; Wang, P. Land use/cover change in the Three Gorges Reservoir area, China: Reconciling the land use conflicts between development and protection. Catena 2019, 175, 388–399. [Google Scholar] [CrossRef]
- Ruiz-Colmenero, M.; Bienes, R.; Eldridge, D.J.; Marques, M.J. Vegetation cover reduces erosion and enhances soil organic carbon in a vineyard in the central Spain. Catena 2013, 104, 153–160. [Google Scholar] [CrossRef]
- Blavet, D.; De Noni, G.; Le Bissonnais, Y.; Leonard, M.; Maillo, L.; Laurent, J.Y.; Asseline, J.; Arshad, M.A.; Roose, E. Effect of land use and management on the early stages of soil water erosion in French Mediterranean vineyards. Soil Tillage Res. 2009, 106, 124–136. [Google Scholar] [CrossRef]
- Novara, A.; Gristina, L.; Saladino, S.S.; Santoro, A.; Cerdà, A. Soil erosion assessment on tillage and alternative soil managements in a Sicilian vineyard. Soil Tillage Res. 2011, 117, 140–147. [Google Scholar] [CrossRef]
- Zhang, G.H.; Liu, G.B.; Wang, G.L.; Wang, Y.X. Effects of vegetation cover and rainfall intensity on sediment-associated nitrogen and phosphorus losses and particle size composition on the Loess Plateau. J. Soil Water Conserv. 2011, 66, 192–200. [Google Scholar] [CrossRef]
- Ma, X.; Li, Y.; Li, B.; Han, W.; Liu, D.; Gan, X. Nitrogen and phosphorus losses by runoff erosion: Field data monitored under natural rainfall in Three Gorges Reservoir Area, China. Catena 2016, 147, 797–808. [Google Scholar] [CrossRef]
- Taguas, E.V.; Arroyo, C.; Lora, A.; Guzmán, G.; Vanderlinden, K.; Gómez, J.A. Exploring the linkage between spontaneous grass cover biodiversity and soil degradation in two olive orchard microcatchments with contrasting environmental and management conditions. Soil 2015, 1, 651–664. [Google Scholar] [CrossRef]
- García-Díaz, A.; Bienes, R.; Sastre, B.; Novara, A.; Gristina, L.; Cerdà, A. Nitrogen losses in vineyards under different types of soil groundcover. A field runoff simulator approach in central Spain. Agric. Ecosyst. Environ. 2017, 236, 256–267. [Google Scholar] [CrossRef]
- Repullo-Ruibérriz de Torres, M.A.; Ordóñez-Fernández, R.; Giráldez, J.V.; Márquez-García, J.; Laguna, A.; Carbonell-Bojollo, R. Efficiency of four different seeded plants and native vegetation as cover crops in the control of soil and carbon losses by water erosion in olive orchards. Land Degrad. Dev. 2018, 29, 2278–2290. [Google Scholar] [CrossRef]
- Li, F.; Zheng, Y.; Zheng, T.; Lin, X.; Huang, Y.; Wu, Y.; Xie, N.; Lin, Z.; Cai, Z.; Lin, Y. Influence of zonal grass on non-point source pollution control in orchard. J. Soil Water Conserv. 2013, 27, 82–89. [Google Scholar]
- Wang, X.; Gu, Z.; Huang, Q. Preliminary study on non-point source pollution of soil erosion in navel orange orchard in southern Jiangxi Province. J. Cent. South Univ. For. Sci. Technol. 2015, 35, 74–77. [Google Scholar]
- Bi, M.; Liang, B.; Dong, J.; Li, J. Effects of orchard grass on nitrogen surface accumulation and runoff loss. J. Soil Water Conserv. 2017, 31, 102–105. [Google Scholar]
- Römkens, M.J.; Helming, K.; Prasad, S.N. Soil erosion under different rainfall intensities, surface roughness, and soil water regimes. Catena 2002, 46, 103–123. [Google Scholar] [CrossRef]
- Wu, L.; Peng, M.; Qiao, S.; Ma, X.Y. Effects of rainfall intensity and slope gradient on runoff and sediment yield characteristics of bare loess soil. Environ. Sci. Pollut. Res. 2018, 25, 3480–3487. [Google Scholar] [CrossRef] [PubMed]
- Vaezi, A.R.; Ahmadi, M.; Cerdà, A. Contribution of raindrop impact to the change of soil physical properties and water erosion under semi-arid rainfalls. Sci. Total Environ. 2017, 583, 382–392. [Google Scholar] [CrossRef] [PubMed]
- Liu, R.; Wang, J.; Shi, J.; Chen, Y.; Sun, C.; Zhang, P.; Shen, Z. Runoff characteristics and nutrient loss mechanism from plain farmland under simulated rainfall conditions. Sci. Total Environ. 2014, 468, 1069–1077. [Google Scholar] [CrossRef] [PubMed]
- Wei, W.; Chen, L.; Fu, B.; Huang, Z.; Wu, D.; Gui, L. The effect of land uses and rainfall regimes on runoff and soil erosion in the semi-arid loess hilly area, China. J. Hydrol. 2007, 335, 247–258. [Google Scholar] [CrossRef]
- Dai, C.; Liu, Y.; Wang, T.; Li, Z.; Zhou, Y. Exploring optimal measures to reduce soil erosion and nutrient losses in southern China. Agric. Water Manag. 2018, 210, 41–48. [Google Scholar] [CrossRef]
- Antonella, D.; Maurizio, L.; Mario, C.; Severino, R. Soil Erosion Modelling on Arable Lands and Soil Types in Basilicata, Southern Italy. In International Conference on Computational Science and Its Applications; Springer: Cham, Switzerland, 2017; Volume 10408, pp. 57–72. [Google Scholar]
- Prats, S.A.; Abrantes, J.R.C.D.B.; Coelho, C.D.O.A.; Keizer, J.J.; de Lima, J.L.M.P. Comparing topsoil charcoal, ash, and stone cover effects on the postfire hydrologic and erosive response under laboratory conditions. Land Degrad. Dev. 2018, 29, 2102–2111. [Google Scholar] [CrossRef]
- Chen, X.; Tang, J.; Fang, Z.; Shimizu, K. Effects of weed communities with various species numbers on soil features in a subtropical orchard ecosystem. Agric. Ecosyst. Environ. 2004, 102, 377–388. [Google Scholar] [CrossRef]
- Nong, Z. How to interplant and grass in citrus orchards. New Rural Technol. 2017, 8, 14–15. [Google Scholar]
- Qian, C.; Chen, H.; Qin, R.; Lin, R.; Wu, Z.; Cui, H. Flora of China; Science Press: Beijing, China, 2004. [Google Scholar]
- Zhang, Z.; Sheng, L.; Yang, J.; Chen, X.A.; Kong, L.; Wagan, B. Effects of land use and slope gradient on soil erosion in a red soil hilly watershed of southern China. Sustainability 2015, 7, 14309–14325. [Google Scholar] [CrossRef]
- Zou, H.; Shan, J.; Wu, S.; Yin, J. The climatic characteristics of persistent heavy rainfall in Jiangxi and its large-scale circulation background. Meteorol. Sci. 2013, 33, 449–456. [Google Scholar]
- Yin, J.; Chen, S.; Liu, X. Characteristics of continuous heavy rainfall in Jiangxi flood season and medium-term forecasting model. Meteorology 2004, 30, 16–20. [Google Scholar]
- Lu, R.K. Methods of Soil and Agro-Chemical Analysis; China Agricultural Science and Technology Press: Beijing, China, 2000; pp. 127–332. [Google Scholar]
- Zhao, X.; Chen, X.; Huang, J.; Wu, P.; Helmers, M.J. Effects of vegetation cover of natural grassland on runoff and sediment yield in loess hilly region of China. J. Sci. Food Agric. 2014, 94, 497–503. [Google Scholar] [CrossRef] [PubMed]
- Wang, Y.; You, W.; Fan, J.; Jin, M.; Wei, X.; Wang, Q. Effects of subsequent rainfall events with different intensities on runoff and erosion in a coarse soil. Catena 2018, 170, 100–107. [Google Scholar] [CrossRef]
- Sadeghi, S.H.R.; Moghadam, E.S.; Darvishan, A.K. Effects of subsequent rainfall events on runoff and soil erosion components from small plots treated by vinasse. Catena 2016, 138, 1–12. [Google Scholar] [CrossRef]
- Montenegro, A.D.A.; Abrantes, J.R.C.B.; De Lima, J.L.M.P.; Singh, V.P.; Santos, T.E.M. Impact of mulching on soil and water dynamics under intermittent simulated rainfall. Catena 2013, 109, 139–149. [Google Scholar] [CrossRef]
- Moreno-de las Heras, M.; Nicolau, J.M.; Merino-Martín, L.; Wilcox, B.P. Plot-scale effects on runoff and erosion along a slope degradation gradient. Water Resour. Res. 2010, 46. [Google Scholar] [CrossRef]
- Shuman, L.M. Phosphorus and nitrate nitrogen in runoff following fertilizer application to turfgrass. J. Environ. Qual. 2002, 31, 1710–1715. [Google Scholar] [CrossRef]
- Smith, D.R.; Owens, P.R.; Leytem, A.B.; Warnemuende, E.A. Nutrient losses from manure and fertilizer applications as impacted by time to first runoff event. Environ. Pollut. 2007, 147, 131–137. [Google Scholar] [CrossRef]
- Gabriel, J.L.; Muñoz-Carpena, R.; Quemada, M. The role of cover crops in irrigated systems: Water balance, nitrate leaching and soil mineral nitrogen Accumul. Ecosyst. Environ. 2012, 155, 50–61. [Google Scholar] [CrossRef]
- Zhao, C.; Gao, J.E.; Huang, Y.; Wang, G.; Zhang, M. Effects of vegetation stems on hydraulics of overland flow under varying water discharges. Land Degrad. Dev. 2016, 27, 748–757. [Google Scholar] [CrossRef]
- Wang, Y.; Fan, J.; Cao, L.; Liang, Y. Infiltration and runoff generation under various cropping patterns in the red soil region of China. Land Degrad. Dev. 2016, 27, 83–91. [Google Scholar] [CrossRef]
- Wu, G.L.; Zhang, Z.N.; Wang, D.; Shi, Z.H.; Zhu, Y.J. Interactions of soil water content heterogeneity and species diversity patterns in semi-arid steppes on the Loess Plateau of China. J. Hydrol. 2014, 519, 1362–1367. [Google Scholar] [CrossRef]
- Archer, N.A.L.; Quinton, J.N.; Hess, T.M. Below-ground relationships of soil texture, roots and hydraulic conductivity in two-phase mosaic vegetation in South-East Spain. J. Arid Environ. 2002, 52, 535–553. [Google Scholar] [CrossRef]
- Mytton, L.R.; Cresswell, A.; Colbourn, P. Improvement in soil structure associated with white clover. Grass Forage Sci. 1993, 48, 84–90. [Google Scholar] [CrossRef]
- Fischer, C.; Roscher, C.; Jensen, B.; Eisenhauer, N.; Baade, J.; Attinger, S.; Hildebrandt, A. How do earthworms, soil texture and plant composition affect infiltration along an experimental plant diversity gradient in grassland? PLoS ONE 2014, 9, e98987. [Google Scholar] [CrossRef]
- Gabriel, J.L.; Quemada, M. Replacing bare fallow with cover crops in a maize cropping system: Yield, N uptake and fertiliser fate. Eur. J. Agron. 2011, 34, 133–143. [Google Scholar] [CrossRef]
- McDowell, R.; Sharpley, A. Phosphorus transport in overland flow in response to position of manure application. J. Environ. Qual. 2002, 31, 217–227. [Google Scholar] [CrossRef]
- Xia, L.; Liu, G.; Wu, Y.; Ma, L.; Li, Y. Protection methods to reduce nitrogen and phosphorus losses from sloping citrus land in the three Gorges area of China. Pedosphere 2015, 25, 478–488. [Google Scholar] [CrossRef]
- Gao, X.; Zhang, X.; Zhu, J.; An, Y. A comparison of the effect of three grass species on controlling non-point polution in orchards. Acta Pratacult. Sin. 2015, 24, 49–54. [Google Scholar]
- Puigdefábregas, J. The role of vegetation patterns in structuring runoff and sediment fluxes in drylands. Earth Surf. Process. Landf. J. Br. Geomorphol. Res. Group 2005, 30, 133–147. [Google Scholar] [CrossRef]
- Abrantes, J.R.; Prats, S.A.; Keizer, J.J.; de Lima, J.L. Effectiveness of the application of rice straw mulching strips in reducing runoff and soil loss: Laboratory soil flume experiments under simulated rainfall. Soil Tillage Res. 2018, 180, 238–249. [Google Scholar] [CrossRef]





| Mass Water Content (g/kg) | 0.19 |
| Bulk density (g/cm3) | 1.23 |
| pH | 5.57 |
| Organic matter (g/kg) | 21.7 |
| Total N (g/kg) | 1.95 |
| Total P (g/kg) | 0.46 |
| Treatment * | Germination (%) | Seeding Rate (g/m2) | Plant Height (cm) | Root System | Coverage (%) | |
|---|---|---|---|---|---|---|
| BS | - | - | - | - | 0 | |
| NG | 85 | 14.0 | 5.76 ± 1.79 | F | 95.7 | |
| T | T. repens | 80 | 16.0 | 8.21 ± 0.86 | R | 99.4 |
| TL | T. repens | 80 | 9.6 | 9.48 ± 2.67 | R | 96.1 |
| L. perenne | 85 | 9.4 | 15.03 ± 2.67 | F | ||
| VF | V. sativa | 87 | 10.0 | 11.92 ± 1.22 | R | 92.3 |
| F. elata | 90 | 8.9 | 20.48 ± 1.85 | F | ||
| MC | M. polymorpha | 85 | 2.1 | 13 ± 1.33 | R | 100 |
| C. dactylon | 80 | 5.0 | 21.61 ± 43.73 | F | ||
| Reduction Percentage (%) | Groundcover Treatments * | |||||
|---|---|---|---|---|---|---|
| Rainfall Days (d) | N | T | TL | VF | MC | |
| Runoff volume | 1 | 5.41 | 25.37 | 1.67 | 0.66 | −2.83 |
| 2 | 9.76 | 28.73 | 18.30 | 7.62 | –4.68 | |
| 3 | 8.97 | 32.72 | −7.01 | 3.02 | −8.07 | |
| 4 | −0.08 | 25.19 | −14.45 | −8.73 | −1.69 | |
| 5 | −5.64 | 21.42 | −13.67 | −14.85 | −11.04 | |
| 6 | −9.88 | 18.99 | −11.77 | −15.58 | −1.43 | |
| 7 | −15.57 | 23.54 | −28.28 | −31.38 | −17.54 | |
| Total reduction (%) | −0.16 | 25.48 | −6.55 | −7.31 | −2.58 | |
| Total reduction (L) | −0.83 | 127.98 | −32.90 | −36.73 | −32.97 | |
| Soil | 1 | 59.02 | 96.84 | 87.40 | 95.17 | 66.28 |
| 2 | 50.89 | 92.19 | 91.22 | 94.56 | 81.29 | |
| 3 | 59.54 | 92.02 | 88.82 | 95.36 | 80.96 | |
| 4 | 56.12 | 88.02 | 82.46 | 89.77 | 71.55 | |
| 5 | 45.34 | 82.68 | 79.65 | 92.57 | 67.59 | |
| 6 | 45.73 | 94.49 | 94.83 | 94.20 | 83.48 | |
| 7 | 41.51 | 89.12 | 91.75 | 91.55 | 62.69 | |
| Total reduction (%) | 50.49 | 91.49 | 87.60 | 93.34 | 71.64 | |
| Total reduction (g) | 173.39 | 300.87 | 288.80 | 306.64 | 239.17 | |
| Reduction Percentage (%) | Groundcover Treatments * | |||||
|---|---|---|---|---|---|---|
| Rainfall Days (d) | N | T | TL | VF | MC | |
| Total N | 1 | 39.19 | 60.69 | 19.91 | 33.69 | 26.67 |
| 2 | 53.94 | 34.92 | 38.43 | 45.53 | 22.77 | |
| 3 | 52.20 | 34.13 | 14.82 | 31.39 | 22.95 | |
| 4 | 33.19 | 6.60 | 6.82 | 24.67 | 30.43 | |
| 5 | 18.79 | −10.18 | −6.64 | 11.13 | 12.84 | |
| 6 | −5.70 | −93.92 | −41.12 | −53.58 | −6.13 | |
| 7 | 34.15 | −15.50 | −28.52 | −27.79 | −0.59 | |
| Total reduction (%) | 39.37 | 25.47 | 13.29 | 24.59 | 20.98 | |
| Total reduction (mg) | 625.16 | 404.40 | 210.98 | 390.48 | 333.18 | |
| NO3−-N | 1 | 14.72 | 58.27 | 27.91 | 31.97 | 20.75 |
| 2 | 49.66 | 64.12 | 20.24 | 46.89 | 20.92 | |
| 3 | 55.66 | 84.43 | 20.85 | 60.64 | 11.07 | |
| 4 | 45.07 | 76.83 | 30.01 | 72.32 | 10.25 | |
| 5 | 52.95 | 80.12 | 60.18 | 75.11 | 40.57 | |
| 6 | 15.07 | 73.15 | 52.31 | 82.33 | 30.64 | |
| 7 | 49.01 | 100.00 | 81.57 | 71.58 | 71.58 | |
| Total reduction (%) | 41.43 | 74.59 | 36.77 | 58.83 | 25.79 | |
| Total reduction (mg) | 423.86 | 763.09 | 376.19 | 601.86 | 263.86 | |
| NH4+-N | 1 | 86.16 | 94.96 | 47.03 | 85.59 | 20.26 |
| 2 | 68.02 | 87.54 | 60.84 | 72.04 | 26.11 | |
| 3 | 68.02 | 90.35 | 60.42 | 80.00 | 41.62 | |
| 4 | 49.99 | 83.78 | 59.64 | 79.07 | 48.80 | |
| 5 | 54.87 | 76.86 | 58.83 | 69.08 | 45.65 | |
| 6 | 19.59 | 81.07 | 70.26 | 79.90 | 64.22 | |
| 7 | 93.98 | 100.00 | 63.75 | 56.13 | 62.00 | |
| Total reduction (%) | 73.12 | 90.71 | 54.46 | 79.83 | 31.04 | |
| Total reduction (mg) | 584.80 | 725.47 | 435.60 | 638.46 | 248.25 | |
| Total P | 1 | 68.47 | 83.25 | 61.42 | 85.67 | 44.07 |
| 2 | 47.05 | 86.55 | 61.40 | 65.37 | 16.23 | |
| 3 | 32.64 | 78.86 | 34.51 | 53.46 | 4.85 | |
| 4 | 35.85 | 81.08 | 52.02 | 63.03 | 12.00 | |
| 5 | 30.85 | 75.27 | 47.71 | 58.51 | 6.31 | |
| 6 | 43.45 | 81.78 | 58.81 | 66.00 | 30.97 | |
| 7 | −3.66 | 69.18 | 29.02 | 35.76 | −11.48 | |
| Total reduction (%) | 48.97 | 81.76 | 54.63 | 69.98 | 24.80 | |
| Total reduction (mg) | 207.85 | 347.05 | 231.90 | 297.05 | 105.27 | |
© 2020 by the authors. Licensee MDPI, Basel, Switzerland. This article is an open access article distributed under the terms and conditions of the Creative Commons Attribution (CC BY) license (http://creativecommons.org/licenses/by/4.0/).
Share and Cite
Zhang, N.; Zhang, Q.; Li, Y.; Zeng, M.; Li, W.; Chang, C.; Xu, Y.; Huang, C. Effect of Groundcovers on Reducing Soil Erosion and Non-Point Source Pollution in Citrus Orchards on Red Soil Under Frequent Heavy Rainfall. Sustainability 2020, 12, 1146. https://doi.org/10.3390/su12031146
Zhang N, Zhang Q, Li Y, Zeng M, Li W, Chang C, Xu Y, Huang C. Effect of Groundcovers on Reducing Soil Erosion and Non-Point Source Pollution in Citrus Orchards on Red Soil Under Frequent Heavy Rainfall. Sustainability. 2020; 12(3):1146. https://doi.org/10.3390/su12031146
Chicago/Turabian StyleZhang, Nan, Qun Zhang, Yueqiao Li, Mansheng Zeng, Wan Li, Cuiying Chang, Yongrong Xu, and Chunbo Huang. 2020. "Effect of Groundcovers on Reducing Soil Erosion and Non-Point Source Pollution in Citrus Orchards on Red Soil Under Frequent Heavy Rainfall" Sustainability 12, no. 3: 1146. https://doi.org/10.3390/su12031146
APA StyleZhang, N., Zhang, Q., Li, Y., Zeng, M., Li, W., Chang, C., Xu, Y., & Huang, C. (2020). Effect of Groundcovers on Reducing Soil Erosion and Non-Point Source Pollution in Citrus Orchards on Red Soil Under Frequent Heavy Rainfall. Sustainability, 12(3), 1146. https://doi.org/10.3390/su12031146

