Groundwater Resources from Eastern Romania under Human and Climatic Pressure
Abstract
1. Introduction
2. Methods and Databases
2.1. Groundwater Resources Characteristics in Eastern Romania
2.2. Methodology
2.2.1. Groundwater Exploitation Index (GWEI)
2.2.2. Standardized Groundwater Index (SGI)
3. Results
3.1. Demographic Backgrounds
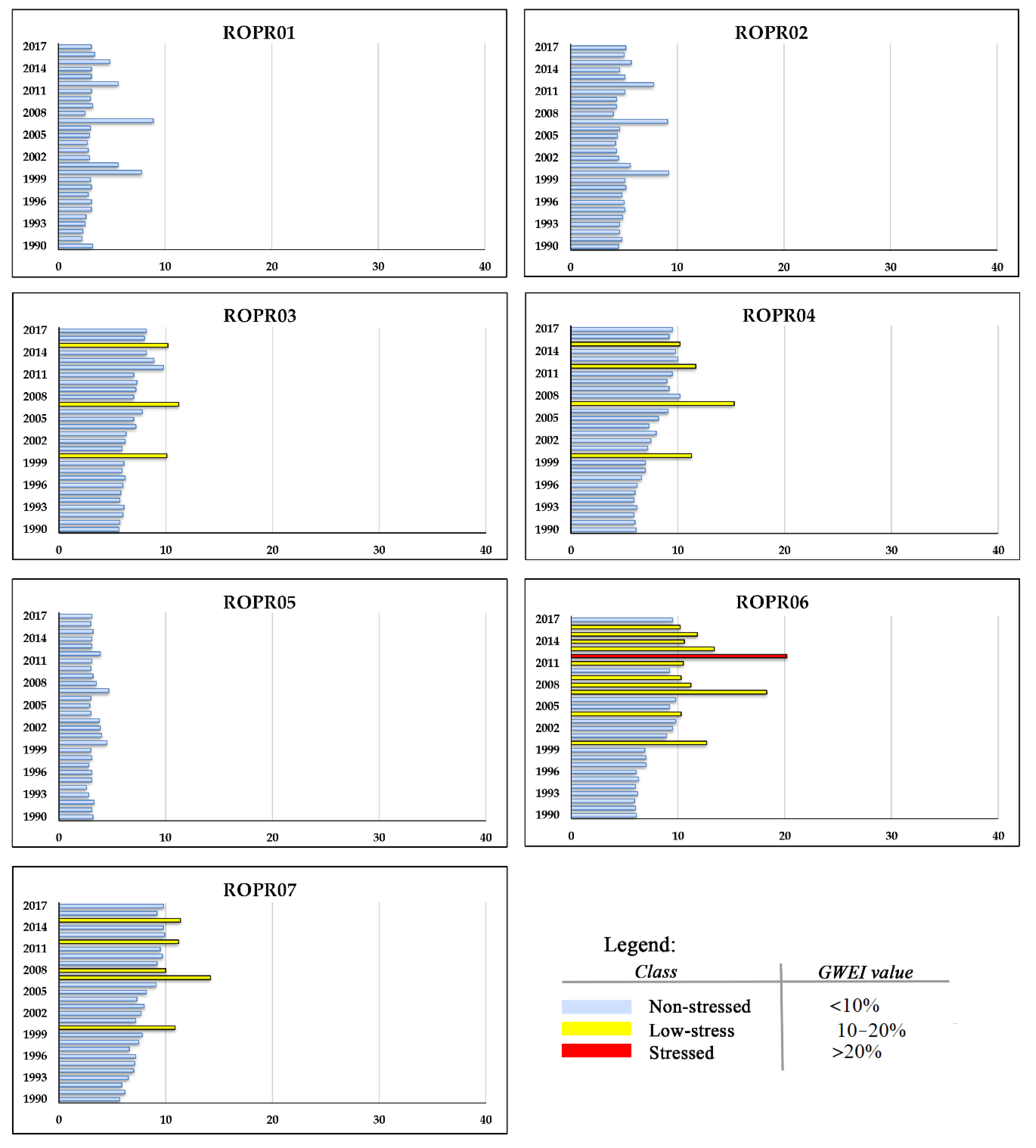
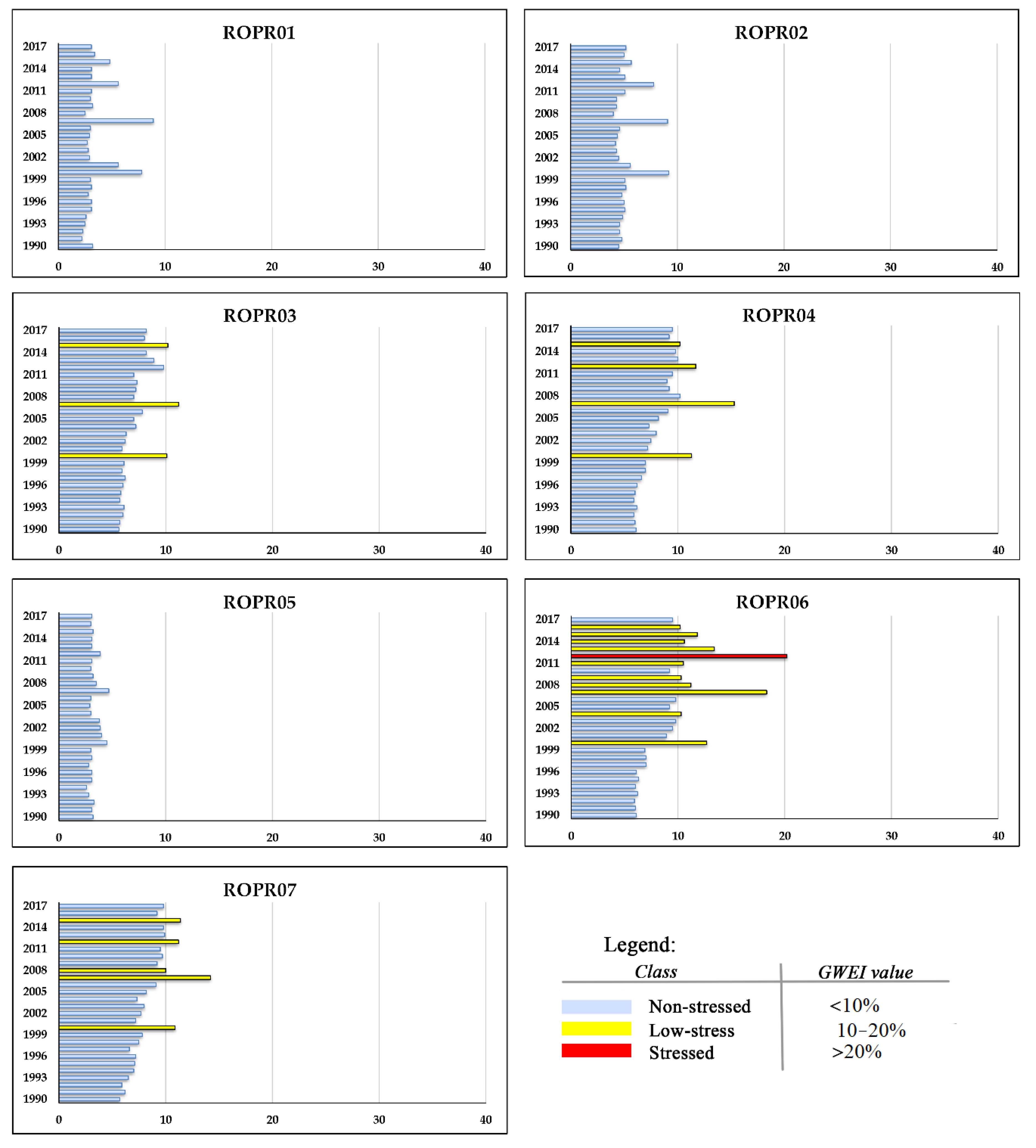
3.2. Groundwater Exploitation Index Evolution
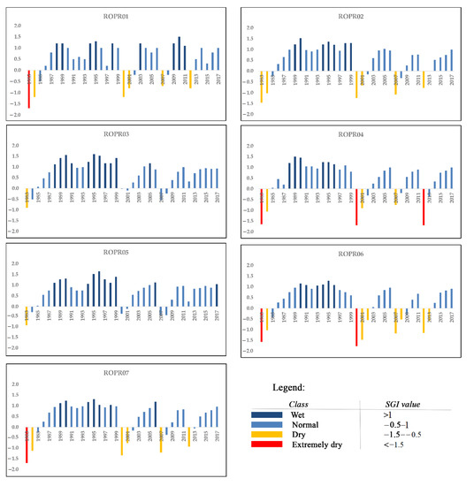
3.3. Groundwater Drought Evolution
4. Discussion
5. Conclusions
Author Contributions
Funding
Acknowledgments
Conflicts of Interest
References
- Wada, Y. Modeling Groundwater Depletion at Regional and Global Scales: Present State and Future Prospects. Surv. Geophys. 2015, 37, 419–451. [Google Scholar] [CrossRef]
- Changming, L.; Jingjie, Y.; Kendy, E. Groundwater Exploitation and Its Impact on the Environment in the North China Plain. Water Int. 2001, 26, 265–272. [Google Scholar] [CrossRef]
- Lezzaik, K.; Milewski, A.; Mullen, J. The groundwater risk index: Development and application in the Middle East and North Africa region. Sci. Total Environ. 2018, 628, 1149–1164. [Google Scholar] [CrossRef] [PubMed]
- Groundwater Foundation. Overuse and Depletion. Available online: https://www.groundwater.org/get-informed/groundwater/overuse.html (accessed on 10 November 2020).
- Bartolino, J.R. Ground-Water Depletion Across the Nation. In USGS Fact-Sheet; US Department of the Interior, US Geological Survey: Reston, VA, USA, 2003; pp. 1–4. [Google Scholar]
- European Environmental Agency. (WQ01c) Water Exploitation Index, Indicator Fact Sheet. Available online: https://www.eea.europa.eu/data-and-maps/indicators/water-exploitation-index/water-exploitation-index (accessed on 10 November 2020).
- Falkenmark, M.; Lundqvist, J.; Widstrand, C. Macro-scale water scarcity requires micro-scale approaches. Nat. Resour. Forum 1989, 13, 258–267. [Google Scholar] [CrossRef]
- Brown, A.; Matlock, M.D. A Review of Water Scarcity Indices and Methodologies; White Paper 106; The Sustainability Consortium: Fayetteville, AR, USA, 2011; p. 19. [Google Scholar]
- Vorosmarty, C.J. Global Water Resources: Vulnerability from Climate Change and Population Growth. Science 2000, 289, 284–288. [Google Scholar] [CrossRef]
- Taniguchi, M.; Holman, I.P. Groundwater Response to Changing Climate; International Associations of hydrogeologist—Selected Papers; CRC Press: Boca Raton, FL, USA, 2017; p. 246. [Google Scholar]
- Kim, H.; Lim, C. Strategies to Assure the Sustainability of Groundwater Resources. Sustainabilty 2020, 12, 9183. [Google Scholar] [CrossRef]
- Taylor, R.G.; Scanlon, B.; Döll, P.; Rodell, M.; Van Beek, R.; Wada, Y.; Longuevergne, L.; Leblanc, M.; Famiglietti, J.S.; Edmunds, M.; et al. Ground water and climate change. Nat. Clim. Chang. 2013, 3, 322–329. [Google Scholar] [CrossRef]
- Dragoni, W.; Sukhija, B.S. Climate change and groundwater: A short review. Geol. Soc. Lond. Spéc. Publ. 2008, 288, 1–12. [Google Scholar] [CrossRef]
- Alcamo, J.; Moreno, J.M.; Nováky, B.; Bindi, M.; Corobov, R.; Devoy, R.J.N.; Giannakopoulos, C.; Martin, E.; Olesen, J.E.; Shvidenko, A. Europe. In Climate Change 2007: Impacts, Adaptation and Vulnerability; Contribution of Working Group II to the Fourth Assessment Reportof the Intergovernmental Panel on Climate Change; Cambridge University Press: Cambridge, UK, 2007; pp. 541–580. [Google Scholar]
- IPCC. Climate Change 2014: Synthesis Report; Contribution of Working Groups I, II and III to the Fifth Assessment Report of the Intergovernmental Panel on Climate Change; IPCC: Geneva, Switzerland, 2014. [Google Scholar]
- Hiscock, K.; Sparkes, R.; Hodgson, A. Evaluation of Future Climate Changes Impacts on European Groundwater Resources in Climate Change Effects of Groundwater Resources: A Global Synthesis of Findings and Recommendations; CRC Press: Boca Raton, FL, USA, 2011. [Google Scholar]
- Schwabe, K.A.; Connor, J.D. Drought Issues in Semi-arid and Arid Environments. Choices 2012, 27, 1–5. [Google Scholar]
- Krogulec, E.; Zabłocki, S.; Zadrożna, D. Variability of Intrinsic Groundwater Vulnerability to Pollution in River Valley due to Groundwater Depth and Recharge Changes. Appl. Sci. 2019, 9, 1133. [Google Scholar] [CrossRef]
- Haas, J.C.; Birk, S. Trends in Austrian groundwater—Climate or human impact? J. Hydrol. Reg. Stud. 2019, 22, 100597. [Google Scholar] [CrossRef]
- Kubicz, J.; Bąk, B. The Reaction of Groundwater to Several Months’ Meteorological Drought in Poland. Pol. J. Environ. Stud. 2018, 28, 187–195. [Google Scholar] [CrossRef]
- Jora, I.; Romanescu, G. Groundwater in the hydrographical basin of the Vaslui river. Pap. Geogr. Semin. Dimitrie Cantemir 2011, 31, 21–28. [Google Scholar]
- Minea, I. Streamflow-base flow ratio in a lowland area of North-Eastern Romania. Water Resour. 2017, 44, 579–585. [Google Scholar] [CrossRef]
- Panaitescu, E. Groundwater and Depth Aquifer in the Barlad River Basin; Demiurg Publishing House: Iasi, Romania, 2007. [Google Scholar]
- Radu, C.; Pandele, A.; Radescu, M. PROJECT CC-WATERS—Climate Change and Impacts on Water Supply. In Proceedings of the 10th International Multidisciplinary Scientific Geoconference, Sofia, Bulgaria, 20–26 June 2010; Volume II, pp. 259–264. [Google Scholar]
- Minea, I.; Crăciun, I. Simulation models to evaluate the groundwater resources in Bahlui river basin. J. Environ. Prot. Ecol. 2012, 13, 1600–1607. [Google Scholar]
- Busuioc, A.; Caian, M.; Cheval, S.; Bojariu, R.; Boroneant, C.; Baciu, M.; Dumitrescu, A. Variability and Climate Change in Romania; Pro Universitaria Press: Bucharest, Romania, 2010. [Google Scholar]
- Birsan, M.; Zaharia, L.; Chendeș, V.; Branescu, E. Seasonal trends in Romanian streamflow. Hydrol. Process. 2013, 28, 4496–4505. [Google Scholar] [CrossRef]
- Croitoru, A.E.; Toma, F.M. Climatic Changes and Their Influence on Streamflow in Central Romanian Plain. In Proceedings of the 5th Atmospheric Science Symposium, Istanbul, Turkey, 27–29 April 2011; pp. 183–194. [Google Scholar]
- Piticar, A.; Ristoiu, D. Analysis of air temperature evolution in northeastern Romania and evidence of warming trend. Carpathian J. Earth Environ. Sci. 2012, 7, 97–106. [Google Scholar]
- Croitoru, A.-E.; Minea, I. The impact of climate changes on rivers discharge in Eastern Romania. Theor. Appl. Clim. 2014, 120, 563–573. [Google Scholar] [CrossRef]
- Bloomfield, J.P.; Marchant, B.P. Analysis of groundwater drought building on the standardised precipitation index approach. Hydrol. Earth Syst. Sci. 2013, 17, 4769–4787. [Google Scholar] [CrossRef]
- Quevauviller, P. Water Framework Directive. J. Soils Sediments 2007, 7, 111–116. [Google Scholar] [CrossRef][Green Version]
- Bretotean, M.; Macalet, R.; Tenu, A.; Tomescu, G.; Munteanu, M.T.; Radu, E.; Radu, C.; Dragusin, D. Romania’s cross-border underground water bodies. Hidrogeologia 2006, 7, 16–21. [Google Scholar]
- Minea, I. Bahlui Drainage Basins—Hydrological Study; Alexandru Ioan Cuza University Press: Iași, Romania, 2012. [Google Scholar]
- Sfîcă, L.; Croitoru, A.-E.; Iordache, I.; Ciupertea, A.-F. Synoptic Conditions Generating Heat Waves and Warm Spells in Romania. Atmosphere 2017, 8, 50. [Google Scholar] [CrossRef]
- Governement Decision no. 822 of 25 July 2007 on the Allocation of an Amount from the Intervention Fund at the Disposal of the Government, Provided in the State Budget for 2007, for the Execution of Drillings in Order to Ensure Additional Water Sources, in Order to Reduce the Effects of Prolonged Drought. Available online: legislatie.just.ro/Public/DetaliiDocument/84002 (accessed on 12 November 2020).
- Romanian Water National Administration. River Basin Management Plan for Hydrographic Basin Prut-Barlad 2016–2021. 2018. Available online: http://www.rowater.ro/daprut/Plan%20management%20bazinal/Forms/AllItems.aspx (accessed on 5 November 2020).
- European Environmental Agency. Water Exploitation Index Plus WEI+ for River Basins Districts. 2017. Available online: http://www.eea.europa.eu/data-and-maps/explore-interactive-maps/water-exploitation-index-for-river-1 (accessed on 10 November 2020).
- Wang, Z.Q.; Wu, Q. Sustainability of Groundwater Resources and its Indicators. In Proceedings of the Symposium S3 Held During the Seventh IAHS Scientific Assembly, Foz do Iguaçu, Brazil, 3–9 April 2005. [Google Scholar]
- McKee, T.B.; Doesken, N.J.; Kleist, J. The relationship of drought frequency and duration to time scale. In Proceedings of the Eighth Conference on Applied Climatology, Anaheim, CA, USA, 17–22 January 1993. [Google Scholar]
- Bloomfield, J.P.; Marchant, B.P.; McKenzie, A.A. Changes in groundwater drought associated with anthropogenic warming. Hydrol. Earth Syst. Sci. 2019, 23, 1393–1408. [Google Scholar] [CrossRef]
- Sandu, I.; Pescaru, V.I.; Poiana, I. Climate of Romania; Romanian Academy Press: Bucharest, Romania, 2008. [Google Scholar]
- Minea, I. The Vulnerability of Water Resources from Eastern Romania to Anthropic Impact and Climate Change. In Water Resources Management in Romania; Springer: Cham, Switzerland, 2020; pp. 229–250. [Google Scholar]
- Croitoru, A.E.; Piticar, A.; Sfîcă, L.; Harpa, G.V.; Roșca, C.F.; Tudose, T.; Horvath, C.; Minea, I.; Ciupertea, F.A.; Scripcă, A.B. Extreme Temperature and Precipitation Events in Romania; Romanian Academy Press: Bucharest, Romania, 2018; p. 342. [Google Scholar]
- Prăvălie, R.; Piticar, A.; Roșca, B.; Sfîcă, L.; Bandoc, G.; Tiscovschi, A.; Patriche, C. Spatio-temporal changes of the climatic water balance in Romania as a response to precipitation and reference evapotranspiration trends during 1961–2013. Catena 2019, 172, 295–312. [Google Scholar] [CrossRef]
- Minea, I.; Chelariu, O.E. Anomalies and trends of high river flow under temperate climatic conditions in north-eastern Romania. J. Water Clim. Chang. 2020. [Google Scholar] [CrossRef]
- Minea, I.; Croitoru, A.-E. Groundwater Response to Changes in Precipitations in North-Eastern Romania. Environ. Eng. Manag. J. 2017, 16, 643–651. [Google Scholar] [CrossRef]
- Minea, I.; Boicu, D.; Chelariu, O.E. Detection of Groundwater Levels Trends Using Innovative Trend Analysis Method in Temperate Climatic Conditions. Water 2020, 12, 2129. [Google Scholar] [CrossRef]








Publisher’s Note: MDPI stays neutral with regard to jurisdictional claims in published maps and institutional affiliations. |
© 2020 by the authors. Licensee MDPI, Basel, Switzerland. This article is an open access article distributed under the terms and conditions of the Creative Commons Attribution (CC BY) license (http://creativecommons.org/licenses/by/4.0/).
Share and Cite
Minea, I.; Iosub, M.; Boicu, D. Groundwater Resources from Eastern Romania under Human and Climatic Pressure. Sustainability 2020, 12, 10341. https://doi.org/10.3390/su122410341
Minea I, Iosub M, Boicu D. Groundwater Resources from Eastern Romania under Human and Climatic Pressure. Sustainability. 2020; 12(24):10341. https://doi.org/10.3390/su122410341
Chicago/Turabian StyleMinea, Ionuț, Marina Iosub, and Daniel Boicu. 2020. "Groundwater Resources from Eastern Romania under Human and Climatic Pressure" Sustainability 12, no. 24: 10341. https://doi.org/10.3390/su122410341
APA StyleMinea, I., Iosub, M., & Boicu, D. (2020). Groundwater Resources from Eastern Romania under Human and Climatic Pressure. Sustainability, 12(24), 10341. https://doi.org/10.3390/su122410341

