Restoration of a Historic Building in Order to Improve Energy Efficiency and Energy Saving—Case Study—The Dining Room within the Žiča Monastery Property
Abstract
1. Introduction and Premises
- Perform on-site observation and analysis of the location, orientation and shape of the building;
- Apply local construction materials wherever possible as authentically applied materials in restoration;
- Improve the thermal insulation of the building envelope in order to avoid thermal bridging;
- Take advantage of favorable insolation and solar heat gains, and provide protection from excessive solar exposure, if possible;
- As for further exploitation, apply an energy efficient heating system in combination with renewable energy sources if possible;
- Use the possibility of natural ventilation of the building.
- The use of site conditions for the protection and preservation of the historic building without negatively affecting the environment as well as the management of the site;
- Improving the knowledge on the importance of preserving cultural heritage and historic buildings, their potentials, methods of restoration and use of authentic building materials, in accordance with the conservation requirements;
- The use of construction measures in order to improve energy efficiency in the restoration of historic buildings and contribute to the preservation of the environment of this site;
- On the basis of the obtained results on the application of certain types of materials in the restoration and energy refurbishment of the historic building, form recommendations for their preservation, restoration and adaptive reuse, and make the findings of the research available to the academic community.
2. Methods
- On-site observation—the subject of preservation was determined on the basis of the analysis and evaluation of historic buildings;
- The case study as a method of studying the case (as a whole) of the example of restoration and improvement of energy efficiency of the Dining Room within the Žiča Monastery, enabled the realization of scientific knowledge;
- Designing and defining criteria for constructive protection based on a preliminary on-site analysis and choosing the type of work that needs to be undertaken in order to restore a facility that has been permanently used for almost a century;
- Analyses of the building materials used in the construction of the historic building;
- Restoration of the building in accordance with the conservation requirements: retaining the authentic elements of the structure (facade walls, roof structure) as well as the authentic appearance of the building;
- Restoration of the historic building and retention of the original appearance, preserving the visual appearance of facade bricks walls and stone details, as well as the interior aspects, in terms of maintaining the existing frescoes on the interior walls and meeting modern principles and requirements of building physics;
- Case study as a research method used in the restoration and improvement of the energy efficiency of the Dining Room within the Žiča Monastery, by examining three different models that can be verified by applying energy refurbishment measures—all three analyzed models enabled conclusions to be drawn and scientific knowledge to be formed;
- Project preparation for the restoration of a historic building, along with checking the possibility of improving the already restored buildings by applying individual interventions in order to improve energy efficiency and energy saving;
- All interventions on historic buildings, aimed at restoring and improving energy efficiency, are reversible processes and can be done in accordance with the conservation requirements;
- Analysis and evaluation of the achieved results by applying various proposed restoration models for the purpose of energy refurbishment, along with permanent use and preservation of the environment.
3. The Research and the Results for the Dining Room within the Žiča Monastery
3.1. Specific Characteristics of the Žiča Monastery Property
3.2. The Research Findings
3.2.1. Energy Efficient Restoration
- Originally used materials and interventions in the restoration process—the use of environmentally friendly building materials that will not negatively affect the site;
- Energy efficiency of buildings;
- Construction and demolition waste management, with the possibility of their future reuse;
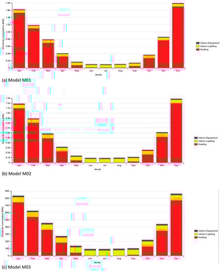
- The first model—the existing condition of the Dining Room (restored in 2008 and 2009)—M01 (Figure 1);
- The second model—the proposal for the 2019 restoration of the Dining Room—M02;
- The third model—the proposal for improving the planned restoration of the 2019 Dining Room —M03.
3.2.2. Restoration of the Dining Room within the Žiča Monastery
3.2.3. Energy Performance Analysis
4. Discussion
Recommendation for Increasing Energy Efficiency and Re-Usability Potential of Historic Buildings in Preservation and Building Restoration Project
- Optimal thermal insulation of building envelope;
- Heat loss reduction;
- Heating installation.
- Thermal insulation of the perimeter walls where it is possible and only from the inside, which was the case with only one wall in the unheated storage room, while all the walls in the main space of the Dining Room are facade walls and fresco painted on the inside, and it is not possible to thermally insulate them on the inside;
- Thermal insulation of floors on the ground;
- Thermal insulation of the mezzanine structure (floor structure) towards the unheated attic;
- Replacement of facade joinery (windows and front doors);
- New heating system;
- Energy management.
5. Conclusions
- Use the conditions of the site in order to ensure protection and preservation of the historic building without disturbing the environment;
- Carry out a thorough analysis of the current condition of the building;
- Determine the type and level of restoration;
- Select adequate construction measures in order to improve energy performance and maintain the original function of the space in accordance with conservation requirements;
- Establish energy management at this site and make the correct choice of the method of obtaining total annual energy demands in order to achieve energy saving and energy efficiency, along with environmental protection.
Author Contributions
Funding
Conflicts of Interest
References
- Franco, G.; Magrini, A. Historical Buildings and Energy; Springer International Publishing AG: Basel, Switzerland, 2017. [Google Scholar]
- Mısırlısoy, D.; Günçe, K. Adaptive reuse strategies for heritage buildings: A holistic approach. Sustain. Cities Soc. 2016, 26, 91–98. [Google Scholar]
- Todorović, M.; Ećim-Đurić, O.; Nikolić, S.; Ristić, S.; Polić-Radovanović, S. Historic building’s holistic and sustainable deep energy refurbishment via BPS, energy efficiency and renewable energy—A case study. Energy Build. 2015, 95, 130–137. [Google Scholar] [CrossRef]
- Šekularac, N.; Šumarac, D.M.; Čikić-Tovarović, J.L.; Čokić, M.M.; Ivanović-Šekularac, J.A. Re-use of Historic Buildings and Energy Refurbishment Analysis via Building Performance Simulation: A Case Study. Therm. Sci. 2018, 22, 2335–2354. [Google Scholar] [CrossRef]
- Günçe, K.; Mısırlısoy, D. Assessment of Adaptive Reuse Practices through User Experiences: Traditional Houses in the Walled City of Nicosia. Sustainability 2019, 11, 540. [Google Scholar] [CrossRef]
- Webb, A.L. Energy retrofits in historic and traditional buildings: A review of problems and methods. Renew. Sustain. Energy Rev. 2017, 77, 748–759. [Google Scholar] [CrossRef]
- Lucchi, E. Multidisciplinary risk-based analysis for supporting the decision making process on conservation, energy efficiency, and human comfort in museum buildings. J. Cult. Heritage 2016, 22, 1079–1089. [Google Scholar] [CrossRef]
- Muñoz-González, C.M.; Leon-Rodriguez, A.L.; Medina, R.C.S.; Teeling, C. Hygrothermal Performance of Worship Spaces: Preservation, Comfort, and Energy Consumption. Sustainability 2018, 10, 3838. [Google Scholar] [CrossRef]
- Bionaz, C. Preservation and energy behavior in Aosta Valley’s traditional buildings. In Proceedings of the VerSus 2014—International Conference on Vernacular Heritage, Sustainability and Earthen Architecture, Valencia, Spain, 11–13 September 2014; pp. 129–134. [Google Scholar]
- Energy efficiency guidelines on historic buildings. In Conservation of Cultural Heritage. Guidelines for Improving the Energy Performance of Historic Buildings; European Committee for Standardization (CEN), 2017.
- Mazzarella, L. Energy retrofit of historic and existing buildings. The legislative and regulatory point of view. Energy Build. 2015, 95, 23–31. [Google Scholar] [CrossRef]
- Srbija, R. Ministarstvo životne sredine, rudarstva i prostornog planiranja (Minister of Environment, Mining and Spatial Planning), Pravilnik o energetskoj efikasnosti zgrada (Regulations on Energy Efficiency of Buildings-Rulebook on energy efficiency of buildings); Official Gazette of the Republic of Serbia: Belgrade, Serbia, 2011. [Google Scholar]
- Srbija, R. Ministarstvo životne sredine, rudarstva i prostornog planiranja (Minister of Environment, Mining and Spatial Planning), Pravilnik o uslovima, sadržini i načinu izdavanja sertifikata o energetskim svojstvima zgrada (Regulations on Conditions, Contents, and Methods of Certificate Issuance regarding energy efficiency of buildings); Official Gazette of the Republic of Serbia: Belgrade, Serbia, 2012. [Google Scholar]
- Akkurt, G.G.; Aste, N.; Borderon, J.; Buda, A.; Calzolari, M.; Chung, D.; Costanzo, V.; Del Pero, C.; Evola, G.; Huerto-Cardenas, H.; et al. Dynamic thermal and hygrometric simulation of historical buildings: Critical factors and possible solutions. Renew. Sustain. Energy Rev. 2020, 118(C), 109509. [Google Scholar] [CrossRef]
- Šekularac, N.; Ristić, N.D.; Mijović, D.; Cvetković, V.; Barišić, S.; Ivanović-Šekularac, J. The Use of Natural Stone as an Authentic Building Material for the Restoration of Historic Buildings in Order to Test Sustainable Refurbishment: Case Study. Sustainability 2019, 11, 4009. [Google Scholar] [CrossRef]
- ICOMOS. The Nara document on authenticity. In Proceedings of the World Heritage Convention, Nara, Japan, 1–6 November 1994; ICOMOS: Nara, Japan. [Google Scholar]
- Martins, A.M.; Carlos, J.S. The retrofitting of the Bernardas’ Convent in Lisbon. Energy Build. 2014, 68, 396–402. [Google Scholar] [CrossRef]
- Milojković, A.; Brzaković, M.; Nikolić, M. The Influences and Importance of the UNESCO World Heritage List: The Case of Plaošnik, Ohrid. Space Cult. 2018, 23, 164–180. [Google Scholar] [CrossRef]
- Čanak-Medić, M.; Popović, D.; Vojvodić, D. Žiča Monastery – Manastir Žiča; Institute for the Protection of Cultural Monuments of Serbia – Belgrade, Belgrade, Serbia – Republički zavod za zaštitu spomenika kulture Srbije: Beograd, Srbija, 2014. [Google Scholar]
- Computer Program OpenStudio. 2015. Available online: https://www.openstudio.net (accessed on 20 July 2020).
- Computer Program EnergyPlus. EnergyPlus 2018. 2018. Available online: https://energyplus.net/ (accessed on 20 July 2020).
- Online Database: Weather Data by Region. 2018. Available online: https://energyplus.net/weather-region/europe_wmo_region_6/SRB%20%20 (accessed on 20 July 2020).
- SRPS EN ISO 6946:2017. Building Components and Building Elements—Thermal Resistance and Thermal Transmittance-Calculation Methods (ISO 6946:2017); Institute for Standardization of Serbia, Belgrade, Serbia – Institut za standardizaciju Srbije: Beograd, Srbija, 2017.
- Murgul, V. Features of energy efficient upgrade of historic buildings: Illustrated with the example of Saint-Petersburg. J. Appl. Eng. Sci. 2014, 12, 1–10. [Google Scholar] [CrossRef]
- Hensley, J.E.; Aguilar, A. Improving Energy Efficiency in Historic Buildings; Government Printing Office: Washington, DC, USA, 2012; Volume 3. [Google Scholar]
- Turanjanin, V.; Vucicevic, B.; Jovanovic, M. Different Heating Systems for Single Family House: Energy and Economic Analysis. Therm. Sci. 2016, 20, 309–320. [Google Scholar] [CrossRef]
- Vozikis, K.T. Protective Structures on Archaeological Sites in Greece. In Proceedings of the 2005 International Conference on Environment, Ecosystems and Development, Venice, Italy, 2–4 November 2005; Krope, W.-Z.L.J., Ed.; pp. 120–125. [Google Scholar]







| Model | M01 | M02 | M03 | |
|---|---|---|---|---|
| FW1—Façade wall towards the outer space Umax = 0.4 W/m2K |
| |||
| U (W/m2K) | 0.960 | |||
| FW2—Façade wall towards the porch Umax = 0.4 W/m2K |
|
| ||
| U (W/m2K) | 0.960 | 0.274 | ||
| IW1—Inner wall towards the vestibule of the Church St.Sava Umax = 0.4 W/m2K |
| |||
| U (W/m2K) | 0.960 | |||
| IW2—Inner wall towards the pantry (unheated area) Umax = 0.35 W/m2K |
|
| ||
| U (W/m2K) | 1.433 | 0.302 | ||
| GF—Ground floor of the Dining Room Umax = 0.4 W/m2K |
|
| ||
| U (W/m2K) | 2.096 | 0.656 | ||
| FA—Floor attic Floor structure towards the unheated attic Umax = 0.2 W/m2K |
|
|
| |
| U (W/m2K) | 2.717 | 0.226 | 0.142 | |
| Energy demands (kWh/year) | Heating | 9782.700 | 6847.053 | 3842.306 |
| Lighting | 1088.828 | 1088.828 | 1088.828 | |
| El. Appliances | 565.353 | 565.353 | 565.353 | |
| Total | 11436.881 | 8501.230 | 5496.487 | |
| Energy Demand (kWh/m2/year) | Model M01 | Model M02 | Model M03 |
|---|---|---|---|
| Heating energy demand | 46.72 | 32.70 | 18.35 |
| Lighting | 5.20 | 5.20 | 5.20 |
| Appliances | 2.70 | 2.70 | 2.70 |
| Total energy demand | 54.62 | 40.60 | 26.25 |
© 2020 by the authors. Licensee MDPI, Basel, Switzerland. This article is an open access article distributed under the terms and conditions of the Creative Commons Attribution (CC BY) license (http://creativecommons.org/licenses/by/4.0/).
Share and Cite
Šekularac, N.; Ivanović-Šekularac, J.; Petrovski, A.; Macut, N.; Radojević, M. Restoration of a Historic Building in Order to Improve Energy Efficiency and Energy Saving—Case Study—The Dining Room within the Žiča Monastery Property. Sustainability 2020, 12, 6271. https://doi.org/10.3390/su12156271
Šekularac N, Ivanović-Šekularac J, Petrovski A, Macut N, Radojević M. Restoration of a Historic Building in Order to Improve Energy Efficiency and Energy Saving—Case Study—The Dining Room within the Žiča Monastery Property. Sustainability. 2020; 12(15):6271. https://doi.org/10.3390/su12156271
Chicago/Turabian StyleŠekularac, Nenad, Jelena Ivanović-Šekularac, Aleksandar Petrovski, Nikola Macut, and Milan Radojević. 2020. "Restoration of a Historic Building in Order to Improve Energy Efficiency and Energy Saving—Case Study—The Dining Room within the Žiča Monastery Property" Sustainability 12, no. 15: 6271. https://doi.org/10.3390/su12156271
APA StyleŠekularac, N., Ivanović-Šekularac, J., Petrovski, A., Macut, N., & Radojević, M. (2020). Restoration of a Historic Building in Order to Improve Energy Efficiency and Energy Saving—Case Study—The Dining Room within the Žiča Monastery Property. Sustainability, 12(15), 6271. https://doi.org/10.3390/su12156271

