Recycling of Basic Oxygen Furnace Slag as a Raw Material for Autoclaved Aerated Concrete Production
Abstract
1. Introduction
2. Materials and Methods
2.1. Materials
2.2. Preparation of AAC Specimens
2.3. Material Testing and Analysis Methods
3. Results
3.1. Characteristics of BOF Slag
3.2. Properties of AAC Specimens Produced with BOF Slag
3.3. Influence of BOF Slag on the Microstructures of the AAC Products
4. Conclusions
Author Contributions
Funding
Conflicts of Interest
References
- Proctor, D.M.; Fehling, K.A.; Shay, E.C.; Wittenborn, J.L.; Green, J.J.; Avent, C.; Bigham, R.D.; Connolly, M.; Lee, B.; Shepker, T.O.; et al. Physical and chemical characteristics of blast furnace, basic oxygen furnace, and electric arc furnace steel industry slags. Environ. Sci. Technol. 2000, 34, 1576–1582. [Google Scholar] [CrossRef]
- WSA. World Steel in Figures; World Steel Association (WSA): Brussels, Belgium, 2019. [Google Scholar]
- Yi, H.; Xu, G.; Cheng, H.; Wang, J.; Wan, Y.; Chen, H. An overview of utilization of steel slag. Procedia Environ. Sci. 2012, 16, 791–801. [Google Scholar] [CrossRef]
- Das, B.; Prakash, S.; Reddy, P.S.R.; Misra, V.N. An overview of utilization of slag and sludge from steel industries. Resour. Conserv. Recycl. 2007, 50, 40–57. [Google Scholar] [CrossRef]
- Tu, X.F.; Aneksampant, A.; Kobayashi, S.; Tanaka, A.; Nishimoto, R.; Fukushima, M. Advantages and risks of using steel slag in preparing composts from raw organic waste. J. Environ. Sci. Health Part B Pestic. Contam. Agric. Wastes 2017, 52, 30–36. [Google Scholar] [CrossRef]
- Motz, H.; Geiseler, J. Products of steel slags an opportunity to save natural resources. Waste Manag. 2001, 21, 285–293. [Google Scholar] [CrossRef]
- Geiseler, J. Use of steelworks slag in Europe. Waste Manag. 1996, 16, 59–63. [Google Scholar] [CrossRef]
- Shen, D.-H.; Wu, C.-M.; Du, J.-C. Laboratory investigation of basic oxygen furnace slag for substitution of aggregate in porous asphalt mixture. Constr. Build. Mater. 2009, 23, 453–461. [Google Scholar] [CrossRef]
- Wang, G. Determination of the expansion force of coarse steel slag aggregate. Constr. Build. Mater. 2010, 24, 1961–1966. [Google Scholar] [CrossRef]
- Wang, G.; Wang, Y.; Gao, Z. Use of steel slag as a granular material: Volume expansion prediction and usability criteria. J. Hazard. Mater. 2010, 184, 555–560. [Google Scholar] [CrossRef]
- Cai, L.; Ma, B.; Li, X.; Lv, Y.; Liu, Z.; Jian, S. Mechanical and hydration characteristics of autoclaved aerated concrete (AAC) containing iron-tailings: Effect of content and fineness. Constr. Build. Mater. 2016, 128, 361–372. [Google Scholar] [CrossRef]
- Hamad, A.J. Materials, production, properties and application of aerated lightweight concrete: Review. Int. J. Mater. Sci. Eng. 2014, 2, 152–157. [Google Scholar] [CrossRef]
- Narayanan, N.; Ramamurthy, K. Structure and properties of aerated concrete: A review. Cem. Concr. Compos. 2000, 22, 321–329. [Google Scholar] [CrossRef]
- Matsui, K.; Kikuma, J.; Tsunashima, M.; Ishikawa, T.; Matsuno, S.-Y.; Ogawa, A.; Sato, M. In situ time-resolved X-ray diffraction of tobermorite formation in autoclaved aerated concrete: Influence of silica source reactivity and Al addition. Cem. Concr. Res. 2011, 41, 510–519. [Google Scholar] [CrossRef]
- Hong, S.Y.; Glasser, F.P. Phase relations in the CaO–SiO2–H2O system to 200 °C at saturated steam pressure. Cem. Concr. Res. 2004, 34, 1529–1534. [Google Scholar] [CrossRef]
- Huang, X.-Y.; Ni, W.; Cui, W.-H.; Wang, Z.-J.; Zhu, L.-P. Preparation of autoclaved aerated concrete using copper tailings and blast furnace slag. Constr. Build. Mater. 2012, 27, 1–5. [Google Scholar] [CrossRef]
- Mostafa, N.Y. Influence of air-cooled slag on physicochemical properties of autoclaved aerated concrete. Cem. Concr. Res. 2005, 35, 1349–1357. [Google Scholar] [CrossRef]
- Karakurt, C.; Kurama, H.; Topçu, İ.B. Utilization of natural zeolite in aerated concrete production. Cem. Concr. Compos. 2010, 32, 1–8. [Google Scholar] [CrossRef]
- Kurama, H.; Topçu, İ.B.; Karakurt, C. Properties of the autoclaved aerated concrete produced from coal bottom ash. J. Mater. Process. Technol. 2009, 209, 767–773. [Google Scholar] [CrossRef]
- Chen, Y.-L.; Chang, J.-E.; Lai, Y.-C.; Chou, M.-I.M. A comprehensive study on the production of autoclaved aerated concrete: Effects of silica-lime-cement composition and autoclaving conditions. Constr. Build. Mater. 2017, 153, 622–629. [Google Scholar] [CrossRef]
- ASTM. C1693-11 Standard Specification for Autoclaved Aerated Concrete (AAC); ASTM International: West Conshohocken, PA, USA, 2011. [Google Scholar]
- Chaurand, P.; Rose, J.; Briois, V.; Olivi, L.; Hazemann, J.-L.; Proux, O.; Domas, J.; Bottero, J.-Y. Environmental impacts of steel slag reused in road construction: A crystallographic and molecular (XANES) approach. J. Hazard. Mater. 2007, 139, 537–542. [Google Scholar] [CrossRef]
- Brand, A.S.; Roesler, J.R. Steel furnace slag aggregate expansion and hardened concrete properties. Cem. Concr. Compos. 2015, 60, 1–9. [Google Scholar] [CrossRef]
- Lim, S.K.; Tan, C.S.; Zhao, X.; Ling, T.C. Strength and toughness of lightweight foamed concrete with different sand grading. KSCE J. Civ. Eng. 2015, 19, 2191–2197. [Google Scholar] [CrossRef]
- Yang, X.; Cui, C.; Cui, X.; Tang, G.; Ma, H. High-temperature phase transition and the activity of tobermorite. J. Wuhan Univ. Technol.-Mater. Sci. Ed. 2014, 29, 298–301. [Google Scholar] [CrossRef]
- Connan, H.; Klimesch, D.; Ray, A.; Thomas, P. Thermal characterisation of autoclaved cement made with alumina-silica rich industrialwaste. J. Therm. Anal. Calorim. 2006, 84, 521–525. [Google Scholar] [CrossRef]
- Mostafa, N.Y.; Shaltout, A.A.; Omar, H.; Abo-El-Enein, S.A. Hydrothermal synthesis and characterization of aluminium and sulfate substituted 1.1 nm tobermorites. J. Alloys Compd. 2009, 467, 332–337. [Google Scholar] [CrossRef]
- Różycka, A.; Pichór, W. Effect of perlite waste addition on the properties of autoclaved aerated concrete. Constr. Build. Mater. 2016, 120, 65–71. [Google Scholar] [CrossRef]







| Raw Mix | Weight Proportion (wt.%) | |||
|---|---|---|---|---|
| Silica | Lime | Cement | BOF Slag | |
| Reference | 70.0 | 25.0 | 5.0 | 0.0 |
| S05 | 67.5 | 22.6 | 4.9 | 5.0 |
| S10 | 64.9 | 20.2 | 4.9 | 10.0 |
| S15 | 62.4 | 17.8 | 4.8 | 15.0 |
| S20 | 59.9 | 15.4 | 4.8 | 20.0 |
| S30 | 54.8 | 10.5 | 4.7 | 30.0 |
| S40 | 49.7 | 5.7 | 4.5 | 40.0 |
| Item | BOF Slag | |||
|---|---|---|---|---|
| Original | Magnetic | Nonmagnetic | ||
| Moisture Content (wt.%) | 5.57 | NA 3 | NA 3 | |
| Ash content (wt.%) | 92.66 (98.12) 1 | NA 3 | NA 3 | |
| LOI (wt.%) | 1.77 (1.88) 1 | NA 3 | NA 3 | |
| Magnetic proportion 1 (wt.%) | 15.29 | NA 3 | NA 3 | |
| Nonmagnetic proportion 1 (wt.%) | 84.71 | NA 3 | NA 3 | |
| Major element 1 (wt.%) | Na | 4.63 | 4.77 | 4.60 |
| Mg | 6.60 | 6.10 | 6.69 | |
| Al | 3.58 | 3.38 | 3.62 | |
| Si | 16.43 | 17.91 | 16.16 | |
| K | 1.52 | 1.68 | 1.49 | |
| Ca | 29.60 | 25.50 | 30.34 | |
| Fe | 16.09 | 20.96 | 15.21 | |
| Heavy metal 1 (mg/kg) | Cr | 860 | 1096 | 818 |
| Ni | ND 2 | ND 2 | ND 2 | |
| Cu | ND 2 | ND 2 | ND 2 | |
| Zn | ND 2 | ND 2 | ND 2 | |
| Cd | ND 2 | ND 2 | ND 2 | |
| Pb | ND 2 | ND 2 | ND 2 | |
| Strength Class | Compressive Strength (MPa) | Nominal Dry Bulk Density (kg/m3) | Density Limits (kg/m3) |
|---|---|---|---|
| AAC-2 | 2.0 | 400 | 350–450 |
| 500 | 450–550 | ||
| AAC-4 | 4.0 | 500 | 450–550 |
| 600 | 550–650 | ||
| 700 | 650–750 | ||
| 800 | 750–850 | ||
| AAC-6 | 6.0 | 600 | 550–650 |
| 700 | 650–750 | ||
| 800 | 750–850 |
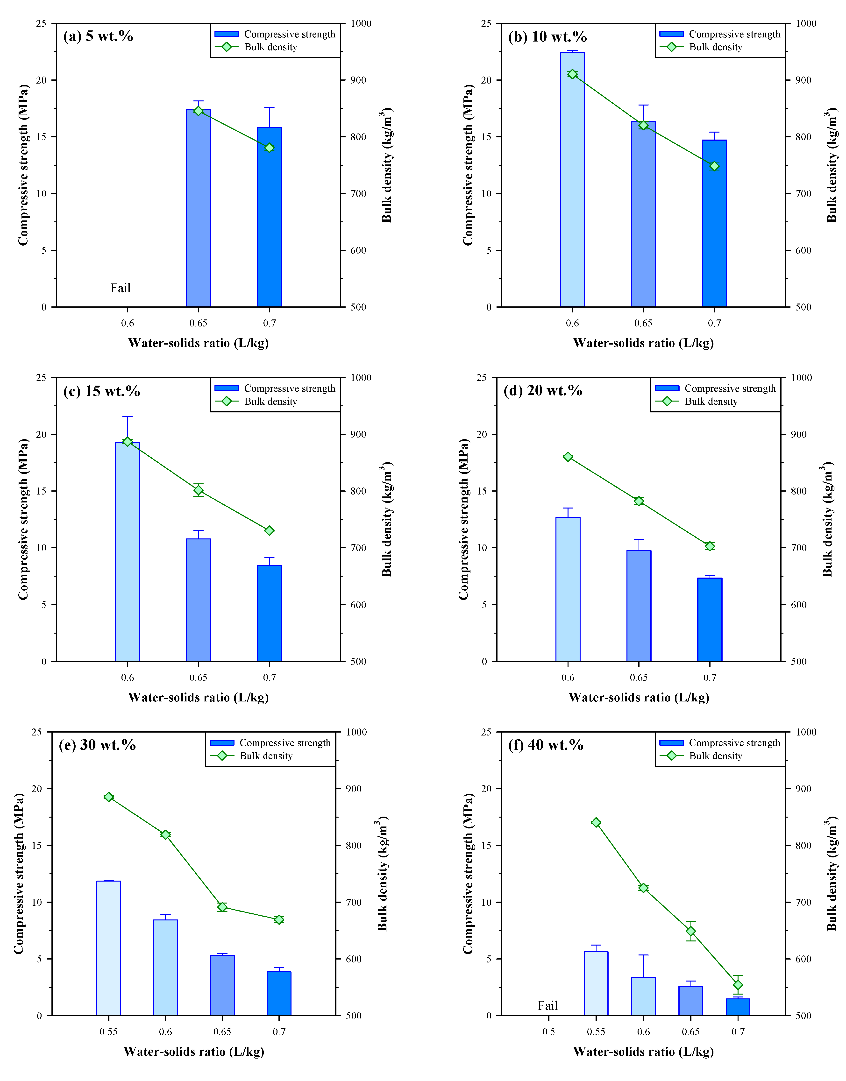
| BOF Slag (wt.%) | Water–Solids Ratio (L/kg) | Bulk Density (kg/m3) | Compressive Strength (MPa) | ASTM Specifications | ||
|---|---|---|---|---|---|---|
| AAC-2 | AAC-4 | AAC-6 | ||||
| 5 | 0.65 | 846 | 17.42 | Fail 1 | Pass | Pass |
| 0.70 | 781 | 15.81 | Fail 1 | Pass | Pass | |
| 10 | 0.60 | 910 | 22.42 | Fail 1 | Fail 1 | Fail 1 |
| 0.65 | 820 | 16.37 | Fail 1 | Pass | Pass | |
| 0.70 | 748 | 14.7 | Fail 1 | Pass | Pass | |
| 15 | 0.60 | 887 | 19.29 | Fail 1 | Fail 1 | Fail 1 |
| 0.65 | 802 | 10.78 | Fail 1 | Pass | Pass | |
| 0.70 | 730 | 8.44 | Fail 1 | Pass | Pass | |
| 20 | 0.60 | 861 | 12.68 | Fail 1 | Fail 1 | Fail 1 |
| 0.65 | 782 | 9.74 | Fail 1 | Pass | Pass | |
| 0.70 | 703 | 7.33 | Fail 1 | Pass | Pass | |
| 30 | 0.55 | 886 | 11.87 | Fail 1 | Fail 1 | Fail 1 |
| 0.60 | 819 | 8.45 | Fail 1 | Pass | Pass | |
| 0.65 | 691 | 5.31 | Fail 1 | Pass | Fail 2 | |
| 0.70 | 669 | 3.86 | Fail 1 | Fail 2 | Fail 2 | |
| 40 | 0.55 | 841 | 5.65 | Fail 1 | Pass | Fail 2 |
| 0.60 | 725 | 3.38 | Fail 1 | Fail 2 | Fail 2 | |
| 0.65 | 649 | 2.57 | Fail 1 | Fail 2 | Fail 2 | |
| 0.70 | 554 | 1.49 | Fail 1,2 | Fail 2 | Fail 2 | |
© 2020 by the authors. Licensee MDPI, Basel, Switzerland. This article is an open access article distributed under the terms and conditions of the Creative Commons Attribution (CC BY) license (http://creativecommons.org/licenses/by/4.0/).
Share and Cite
Chen, Y.-L.; Lin, C.-T. Recycling of Basic Oxygen Furnace Slag as a Raw Material for Autoclaved Aerated Concrete Production. Sustainability 2020, 12, 5896. https://doi.org/10.3390/su12155896
Chen Y-L, Lin C-T. Recycling of Basic Oxygen Furnace Slag as a Raw Material for Autoclaved Aerated Concrete Production. Sustainability. 2020; 12(15):5896. https://doi.org/10.3390/su12155896
Chicago/Turabian StyleChen, Ying-Liang, and Chun-Ta Lin. 2020. "Recycling of Basic Oxygen Furnace Slag as a Raw Material for Autoclaved Aerated Concrete Production" Sustainability 12, no. 15: 5896. https://doi.org/10.3390/su12155896
APA StyleChen, Y.-L., & Lin, C.-T. (2020). Recycling of Basic Oxygen Furnace Slag as a Raw Material for Autoclaved Aerated Concrete Production. Sustainability, 12(15), 5896. https://doi.org/10.3390/su12155896

