Trends in Agricultural Land in EU Countries of the Baltic Sea Region from the Perspective of Resilience and Food Security
Abstract
1. Introduction
1.1. Trends and Challenges
1.2. Agricultural Land in the Context of Resilience for Food Security
1.3. Agricultural Land in European Union (EU) Countries of the Baltic Sea Region
2. Methodology
2.1. Data Sources and Method of Data Collection
2.2. Data Analysis Technique
3. Results
3.1. Utilised Agricultural Area
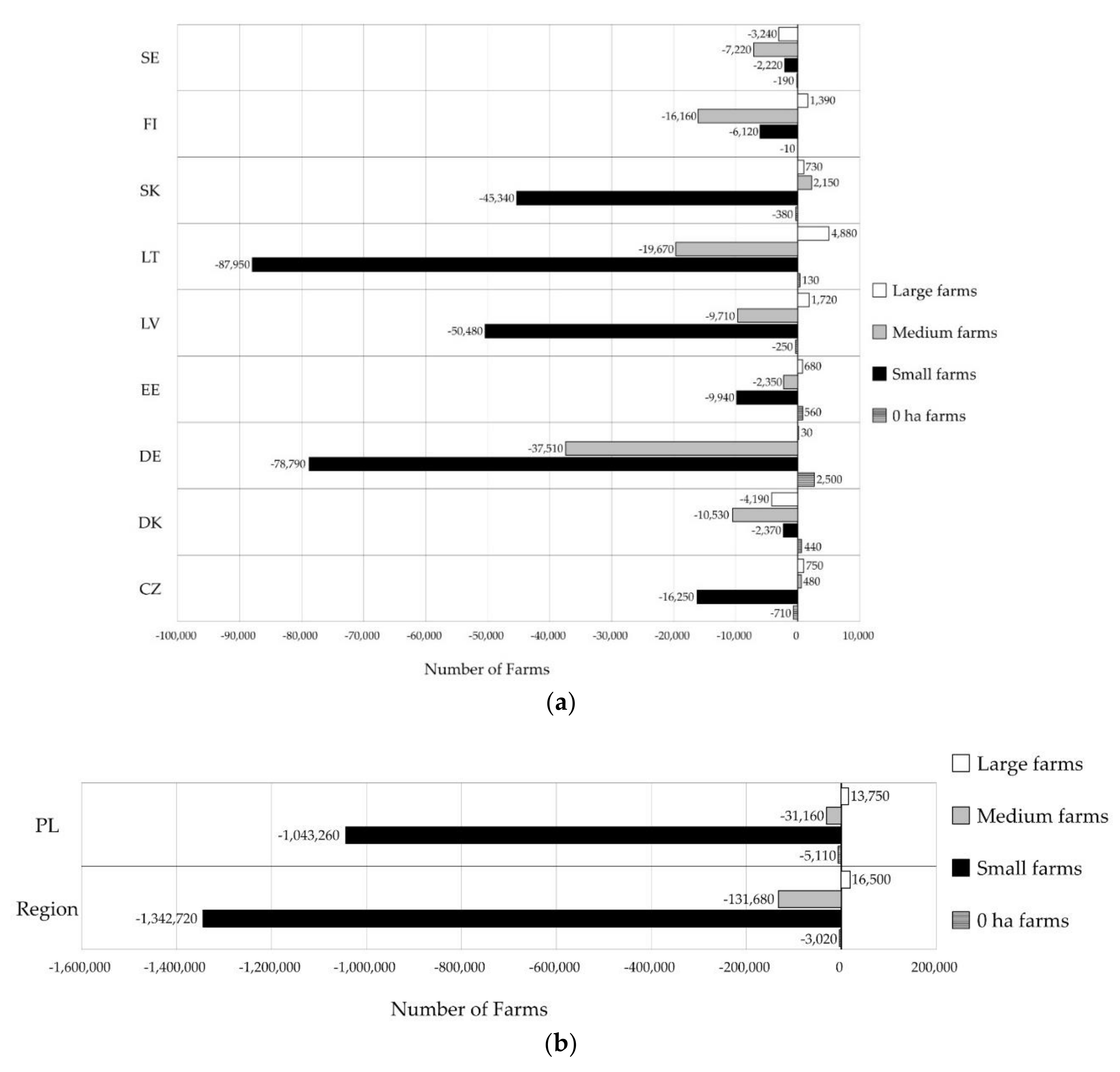
3.2. Number of Farms
3.3. Agricultural Labour Input
4. Discussion
4.1. Elaborated Trends from Historic, Current and Future Perspectives
4.2. Building Resilience for Future Food Security
5. Conclusions
Author Contributions
Funding
Acknowledgments
Conflicts of Interest
Appendix A. Composition of Utilised Agricultural Area for Each Country










References
- Fedoroff, N.V. Food in a future of 10 billion. Agric. Food Secur. 2015, 4, 11. [Google Scholar] [CrossRef]
- Food and Agricultural Organization. How to Feed the World in 2050; FAO Headquarters: Rome, Italy, 2009. [Google Scholar]
- Vermeulen, S.J.; Campbell, B.M.; Ingram, J.S.I. Climate Change and Food Systems. Annu. Rev. Environ. Resour. 2012, 37, 195–222. [Google Scholar] [CrossRef]
- Aleklett, K. Peak Oil and the Evolving Strategies of Oil Importing and Exporting Countries; OECD Publishing: Uppsala, Sweden, 2007. [Google Scholar] [CrossRef]
- Hermele, K. Land Matters: Agrofuels, Unequal Exchange, and Appropriation of Ecological Space; Human Ecology Division, Lund University: Lund, Sweden, 2012. [Google Scholar]
- Cordell, D.; Drangert, J.-O.; White, S. The story of phosphorus: Global food security and food for thought. Glob. Environ. Chang. 2009, 19, 292–305. [Google Scholar] [CrossRef]
- Almås, R.; Campbell, H. Rethinking Agricultural Policy Regimes: Food Security, Climate Change and the Future Resilience of Global Agriculture; Emerald Group Publishing Limited: Bingley, UK, 2012. [Google Scholar] [CrossRef]
- OECD; Food and Agriculture Organization of the United Nations. OECD-FAO Agricultural Outlook 2012; OECD Publishing: Paris, France, 2012; ISBN 978-92-64-17302-6. [Google Scholar]
- Altieri, M.A.; Nicholls, C.I. Agroecology and the emergence of a post COVID-19 agriculture. Agric. Hum. Values 2020, 1–2. [Google Scholar] [CrossRef] [PubMed]
- Food and Agricultural Organization. Q and A: COVID-19 Pandemic–Impact on Food and Agriculture. Available online: http://www.fao.org/2019-ncov/q-and-a/impact-on-food-and-agriculture/en/ (accessed on 1 June 2020).
- Anthem, P. Risk of Hunger Pandemic as Coronavirus Set to Almost Double Acute Hunger by End of 2020. Available online: https://insight.wfp.org/covid-19-will-almost-double-people-in-acute-hunger-by-end-of-2020-59df0c4a8072 (accessed on 1 June 2020).
- Benke, K.; Tomkins, B. Future food-production systems: Vertical farming and controlled-environment agriculture. Sustain. Sci. Pract. Policy 2017, 13, 13–26. [Google Scholar] [CrossRef]
- Horlings, L.G.; Marsden, T.K. Towards the real green revolution? Exploring the conceptual dimensions of a new ecological modernisation of agriculture that could ‘feed the world.’. Glob. Environ. Chang. 2011, 21, 441–452. [Google Scholar] [CrossRef]
- Romeo, D.; Vea, E.B.; Thomsen, M. Environmental Impacts of Urban Hydroponics in Europe: A Case Study in Lyon. Procedia CIRP 2018, 69, 540–545. [Google Scholar] [CrossRef]
- Altieri, M.A.; Nicholls, C.I.; Henao, A.; Lana, M.A. Agroecology and the design of climate change-resilient farming systems. Agron. Sustain. Dev. 2015, 35, 869–890. [Google Scholar] [CrossRef]
- Berg, P.G.; Eriksson, T.; Granvik, M. Micro-comprehensive planning in Baltic Sea urban local areas. Proc. Inst. Civ. Eng.-Eng. Sustain. 2010, 163, 219–232. [Google Scholar] [CrossRef]
- Berg, P.G.; Granvik, M.; Hedfors, P. Functional Density-A Conceptual Framework in a Townscape Areas Context. Nord. J. Archit. Res. 2012, 2, 29–42. [Google Scholar]
- Berg, P.G.; Rydén, L. Urbanisation and Urban-Rural Cooperation. In Rural Development and Land Use; Rydén, L., Karlsson, I., Eds.; Baltic University Press: Uppsala, Sweden, 2012; pp. 141–154. ISBN 978-91-86189-11-2. [Google Scholar]
- Granvik, M. The Localization of Food Systems—An Emerging Issue for Swedish Municipal Authorities. Int. Plan. Stud. 2012, 17, 113–124. [Google Scholar] [CrossRef]
- Granvik, M.; Jacobsson, T.; Germundsson, L.B.; Larsson, A. The approach of Swedish municipalities to the preservation of agricultural land in a planning context. Int. J. Agric. Resour. Gov. Ecol. 2015, 11, 190. [Google Scholar] [CrossRef]
- Granvik, M.; Hedfors, P. Evergreen Issues of planning? Learning from history for sustainable urban-rural systems landscapes Research . Eur. J. Spat. Dev. 2015, Briefing No. 5. 1–21. Available online: http://www.nordregio.se/Global/EJSD/Researchbriefings/article5.pdf (accessed on 20 July 2020).
- Roseland, M.; Soots, L. Strengthening local economies. In 2007 State of the World: Our Urban Future; Starke, L., Ed.; WW Norton: New York, NY, USA, 2007; pp. 152–171. [Google Scholar]
- Seitzinger, S.P.; Svedin, U.; Crumley, C.L.; Steffen, W.; Abdullah, S.A.; Alfsen, C.; Broadgate, W.J.; Biermann, F.; Bondre, N.R.; Dearing, J.A.; et al. Planetary Stewardship in an Urbanizing World: Beyond City Limits. AMBIO 2012, 41, 787–794. [Google Scholar] [CrossRef] [PubMed]
- Food and Agricultural Organization. Food Security-Policy Brief 2006. Issue 2. Available online: http://www.fao.org/fileadmin/templates/faoitaly/documents/pdf/pdf_Food_Security_Cocept_Note.pdf (accessed on 1 June 2020).
- Food and Agricultural Organization. Chapter 2. Food security: Concepts and Measurement. Available online: http://www.fao.org/3/y4671e/y4671e06.htm (accessed on 1 June 2020).
- FAO; IFAD; WFP. The State of Food Insecurity in the World 2015; Meeting the 2015 International Hunger Targets: Taking Stock of Uneven Progress; Food and Agriculture Organization of the United Nations: Rome, Italy, 2015. [Google Scholar]
- Global Network against Food Crises Global Report on Food Crises 2020-World. Available online: https://reliefweb.int/sites/reliefweb.int/files/resources/GRFC_2020_KM_200420.pdf (accessed on 1 June 2020).
- Ansah, I.G.K.; Gardebroek, C.; Ihle, R. Resilience and household food security: A review of concepts, methodological approaches and empirical evidence. Food Secur. 2019, 11, 1187–1203. [Google Scholar] [CrossRef]
- Holling, C.S. Resilience and Stability of Ecological Systems. Annu. Rev. Ecol. Syst. 1973, 4, 1–23. [Google Scholar] [CrossRef]
- Davoudi, S.; Shaw, K.; Haider, L.J.; Quinlan, A.E. Resilience: A Bridging Concept or a Dead End? Plan. Theory Pract. 2012, 13, 299–333. [Google Scholar] [CrossRef]
- Evans, J.P. Resilience, ecology and adaptation in the experimental city. Trans. Inst. Br. Geogr. 2011, 36, 223–237. [Google Scholar] [CrossRef]
- Constas, M.; Frankenberger, T.; Hoddinott, J. Resilience Measurement Principles: Toward an Agenda for Measurement Design; Resilience Measurement Technical Working Group, Technical Series 1; Security Information Network: Rome, Italy, 2014. [Google Scholar]
- D’Errico, M.; Garbero, A.; Constas, M. Quantitative Analyses for Resilience Measurement: Guidance for Constructing Variables and Exploring Relationships among Variables: Resilience Measurement Technical Working Group: Technical Series No. 7. Available online: https://www.fsinplatform.org/sites/default/files/paragraphs/documents/FSIN_TechnicalSeries_7_3.PDF (accessed on 20 July 2020).
- Pingali, P.; Alinovi, L.; Sutton, J. Food security in complex emergencies: Enhancing food system resilience. Disasters 2005, 29, S5–S24. [Google Scholar] [CrossRef]
- Kahiluoto, H.; Berg, P.G.; Granstedt, A.; Fisher, H.; Thomsson, O. The Power of Local: Sustainable Food Systems around the Baltic Sea: Interdisciplinary Synthesis of the BERAS Project; Centre for Sustainable Agriculture Swedish University of Agricultural Sciences: Uppsala, Sweden, 2006; ISBN 978-91-576-7160-8. [Google Scholar]
- Allen, P.; FitzSimmons, M.; Goodman, M.; Warner, K. Shifting plates in the agrifood landscape: The tectonics of alternative agrifood initiatives in California. J. Rural Stud. 2003, 19, 61–75. [Google Scholar] [CrossRef]
- DeLind, L.B. Place, work, and civic agriculture: Common fields for cultivation. Agric. Hum. Values 2002, 19, 217–224. [Google Scholar] [CrossRef]
- DuPuis, E.M.; Goodman, D. Should we go “home” to eat?: Toward a reflexive politics of localism. J. Rural Stud. 2005, 21, 359–371. [Google Scholar] [CrossRef]
- Renting, H.; Van Der Ploeg, J.D. Reconnecting nature, farming and society: Environmental cooperatives in the Netherlands as institutional arrangements for creating coherence. J. Environ. Policy Plan. 2001, 3, 85–101. [Google Scholar] [CrossRef]
- Béné, C.; Wood, R.G.; Newsham, A.; Davies, M. Resilience: New utopia or new tyranny? Reflection about the potentials and limits of the concept of resilience in relation to vulnerability reduction programmes. IDS Work. Pap. 2012, 2012, 1–61. [Google Scholar] [CrossRef]
- Folke, C.; Carpenter, S.R.; Walker, B.; Scheffer, M.; Chapin, T.; Rockström, J. Resilience Thinking: Integrating Resilience, Adaptability and Transformability. Ecol. Soc. 2010, 15, 20. [Google Scholar] [CrossRef]
- Gunderson, L.H.; Holling, C.S. Panarchy: Understanding Transformations in Human and Natural Systems; Island Press: Washington, DC, USA, 2002; ISBN 978-1-55963-857-9. [Google Scholar]
- Urban agriculture: Landscapes connecting people, food and biodiversity. 2014. Available online: https://www.iucn.org/sites/dev/files/import/downloads/urbes_factsheet_07_web.pdf (accessed on 1 June 2020).
- Bengs, C.; Schmidt-Thomé, K. Urban-rural relations in Europe. EPSON 1.1.2 Final Report. Available online: https://www.espon.eu/sites/default/files/attachments/fr-1.1.2_revised-full_31-03-05.pdf (accessed on 20 July 2020).
- European Environment Agency. The European Environment–State and Outlook 2010: Synthesis. Available online: https://www.eea.europa.eu/soer/2010/synthesis/synthesis (accessed on 1 June 2020).
- Nuissl, H.; Haase, D.; Lanzendorf, M.; Wittmer, H. Environmental impact assessment of urban land use transitions—A context-sensitive approach. Land Use Policy 2009, 26, 414–424. [Google Scholar] [CrossRef]
- European Commission. ‘Guidelines on Best Practice to Limit, Mitigate or Compensate Soilsealing’, European Commission Staff Working Document; Publications office of the European Union: Luxembourg, Luxembourg, 2012. [Google Scholar]
- REGULATION 1305/2013 of the European Parliament and of the council of 17 december 2013 on support for rural development by the European Agricultural Fund for Rural Development (EAFRD) and repealing Council Regulation (EC) No 1698/2005. Available online: https://eur-lex.europa.eu/legal-content/EN/TXT/HTML/?uri=CELEX:32013R1305&from=SV (accessed on 20 July 2020).
- European Commission. Factsheet on 2014–2020 Rural Development Programme for Poland 2014. Available online: https://ec.europa.eu/info/sites/info/files/food-farming-fisheries/key_policies/documents/rdp-factsheet-poland_en.pdf (accessed on 20 July 2020).
- Treaty Establishing the European Economic Community (Rome, 25 March 1957). Available online: https://www.cvce.eu/en/obj/treaty_establishing_the_european_economic_community_rome_25_march_1957-en-cca6ba28-0bf3-4ce6-8a76-6b0b3252696e.html (accessed on 20 July 2020).
- Burkitbayeva, S.; Swinnen, J. Smallholder agriculture in transition economies. J. Agrar. Chang. 2018, 18, 882–892. [Google Scholar] [CrossRef]
- Granvik, M.; Lindberg, G.; Stigzelius, K.-A.; Fahlbeck, E.; Surry, Y. Prospects of multifunctional agriculture as a facilitator of sustainable rural development: Swedish experience of Pillar 2 of the Common Agricultural Policy (CAP). Nor. Geogr. Tidsskr.-Nor. J. Geogr. 2012, 66, 155–166. [Google Scholar] [CrossRef]
- Buller, H.; Wilson, G.A.; Höll, A. Introduction: The emergence of regulation 2078. In Agri-Environmental Policy in the European Union; Routledge: London, UK, 2017; pp. 1–8. ISBN 9781315204390. [Google Scholar]
- Diakosavvas, D. Coherence of Agricultural and Rural Development Policies: The Development Dimension; Organisation for Economic Co-operation and Development: Paris, France, 2006; ISBN 92-64-02388-7. [Google Scholar]
- Trouvé, A.; Berriet-Solliec, M.; Déprés, C. Charting and theorising the territorialisation of agricultural policy. J. Rural Stud. 2007, 23, 443–452. [Google Scholar] [CrossRef]
- Rockström, J.; Steffen, W.; Noone, K.; Persson, Å.; Chapin, F.S., III; Lambin, E.; Lenton, T.M.; Scheffer, M.; Folke, C.; Schellnhuber, H.J.; et al. Planetary Boundaries: Exploring the Safe Operating Space for Humanity. Ecol. Soc. 2009, 14. [Google Scholar] [CrossRef]
- Bengtsson, R. An EU Strategy for the Baltic Sea Region: Good Intentions Meet Complex Challenges; Swedish Institute for European Policy Studies (SIEPS): Stockholm, Sweden, 2009. [Google Scholar]
- Rydén, L. The Baltic Sea Region and the Relevance of Regional Approaches. In The Baltic Sea Region: Cultures, Politics, Societies; Maciejewski, W., Ed.; Baltic University Press: Uppsala, Sweden, 2002; pp. 7–29. ISBN 91-973579-8-7. [Google Scholar]
- СНГ; И.К. Межправительственный Сoвет пo Вoпрoсам Агрoпрoмышленнoгo Кoмплекса СНГ. Available online: http://cis.minsk.by/page/2386 (accessed on 20 July 2020).
- Van Zanten, B.T.; Verburg, P.H.; Espinosa, M.; Gomez-y-Paloma, S.; Galimberti, G.; Kantelhardt, J.; Kapfer, M.; Lefebvre, M.; Manrique, R.; Piorr, A.; et al. European agricultural landscapes, common agricultural policy and ecosystem services: A review. Agron. Sustain. Dev. 2014, 34, 309–325. [Google Scholar] [CrossRef]
- Eurostat Agricultural Labour Input Statistics: Absolute Figures (1000 Annual Work Units) (aact_ali01). Available online: https://appsso.eurostat.ec.europa.eu/nui/show.do?dataset=aact_ali01&lang=en (accessed on 13 May 2020).
- Eurostat Arable Crops: Number of Farms and Areas of Different Arable Crops by Agricultural Size of Farm (UAA) and Size of Arable Area (ef_Alarableaa). Available online: https://appsso.eurostat.ec.europa.eu/nui/show.do?dataset=ef_alarableaa&lang=en (accessed on 13 May 2020).
- Eurostat. Eurostat Statistics Explained; Glossary: Utilised Agricultural Area (UAA). Available online: https://ec.europa.eu/eurostat/statistics-explained/index.php?title=Glossary:Utilised_agricultural_area_(UAA) (accessed on 13 May 2020).
- Eurostat Statistics Explained; Glossary: Agricultural Holding. Available online: https://ec.europa.eu/eurostat/statistics-explained/index.php/Glossary:Agricultural_holding (accessed on 13 May 2020).
- Eurostat Statistics Explained; Glossary: Annual Working Unit. Available online: https://ec.europa.eu/eurostat/statistics-explained/index.php/Glossary:Annual_work_unit_%28AWU%29 (accessed on 13 May 2020).
- Fałkowski, J. Together we stand, divided we fall? Smallholders’ access to political power and their place in Poland’s agricultural system. J. Agrar. Chang. 2018, 18, 893–903. [Google Scholar] [CrossRef]
- Chmieliński, P.; Karwat-Woźniak, B. Changes in Population and Labour Force in Family Farming in Poland. Available online: https://ageconsearch.umn.edu/record/231522 (accessed on 17 June 2020).
- Žakevičiūtė, R. Rural Livelihood Diversification: A Solution for Poverty in the Post-Soviet Rural Baltic States? Sociol. Rural. 2019, 59, 560–580. [Google Scholar] [CrossRef]
- Flygare, I.; Isacson, M. The tension between modernity and reality 1945–2010. In Agrarian History of Sweden: From 4000 BC to AD 2000; Nordic Academic Press: Lund, Sweden, 2011; ISBN 9789185509560. [Google Scholar]
- Ihse, M. Swedish agricultural landscapes–patterns and changes during the last 50 years, studied by aerial photos. Landsc. Urban Plan. 1995, 31, 21–37. [Google Scholar] [CrossRef]
- Granvik, M.; Joosse, S.; Hunt, A.; Hallberg, I. Confusion and Misunderstanding—Interpretations and Definitions of Local Food. Sustainability 2017, 9, 1981. [Google Scholar] [CrossRef]
- Graham, L.P. Climate change effects on river flow to the Baltic Sea. AMBIO J. Hum. Environ. 2004, 33, 235–242. [Google Scholar] [CrossRef]
- IPCC. Summary for Policymakers. In Global Warming of 1.5°C. An IPCC Special Report on the Impacts of Global Warming of 1.5°C Above Pre-Industrial Levels and Related Global Greenhouse Gas Emission Pathways, in the Context of Strengthening the Global Response to the Threat of Climate Change, Sustainable Development, and Efforts to Eradicate Poverty; Masson-Delmotte, V., Zhai, P., Pörtner, H.-O., Roberts, D., Skea, J., Shukla, P.R., Pirani, A., Moufouma-Okia, W., Péan, C., Pidcock, R., et al., Eds.; World Meteorological Organization: Geneva, Switzerland, 2018. [Google Scholar]
- Parry, M.A.J.; Hawkesford, M.J. Food security: Increasing yield and improving resource use efficiency. Proc. Nutr. Soc. 2010, 69, 592–600. [Google Scholar] [CrossRef]
- Wegren, S.K. Can Russia’s food exports reach $45 billion in 2024? Post-Communist Econ. 2020, 32, 147–175. [Google Scholar] [CrossRef]
- Swinnen, J.; Herck, K.V. Food Security and Sociopolitical Stability in Eastern Europe and Central Asia; Oxford University Press: Oxford, UK, 2013; ISBN 978-0-19-175843-0. [Google Scholar]
- Altieri, M.A.; Funes-Monzote, F.R.; Petersen, P. Agroecologically efficient agricultural systems for smallholder farmers: Contributions to food sovereignty. Agron. Sustain. Dev. 2012, 32, 1–13. [Google Scholar] [CrossRef]
- Tscharntke, T.; Clough, Y.; Wanger, T.C.; Jackson, L.; Motzke, I.; Perfecto, I.; Vandermeer, J.; Whitbread, A. Global food security, biodiversity conservation and the future of agricultural intensification. Biol. Conserv. 2012, 151, 53–59. [Google Scholar] [CrossRef]
- Heinemann, J.A.; Massaro, M.; Coray, D.S.; Agapito-Tenfen, S.Z.; Wen, J.D. Sustainability and innovation in staple crop production in the US Midwest. Int. J. Agric. Sustain. 2014, 12, 71–88. [Google Scholar] [CrossRef]
- European Parliament. Short Food Supply Chains and Local Food Systems in the EU-Think Tank. Available online: https://www.europarl.europa.eu/thinktank/en/document.html?reference=EPRS_BRI (accessed on 18 June 2020).







| EUROSTAT Categories | Our Definition |
|---|---|
| 0 ha | 0 ha farms |
| <2 ha | Small farms |
| 2–4.9 ha | |
| 5–9.9 ha | |
| 10–19.9 ha | Medium farms |
| 20–29.9 ha | |
| 30–49.9 ha | |
| 50–99.9 ha | Large farms |
| >100 ha |
| Country | Utilised Agricultural Area (UAA) | Farm Composition and Trends | Appendix |
|---|---|---|---|
| CZ | 97.12% | In the Czech Republic (CZ), a majority (93%) of UAA has belonged to large farms since 2016. This percentage has remained fairly constant since that period, with no major changes in UAA percentage. Actual hectares belonging to large farms decreased (−95,330 ha). The general trend showed that UAA belonging to medium farms increased slightly, both in terms of percentage of total UAA and actual increase of ha. UAA belonging to small farms decreased with about 0.5% of the total UAA or by 20,420 ha. Total UAA decreased slightly in 2005–2016. | Figure A1 |
| DK | 95.56% | In Denmark (DK), a majority (85%) of UAA has belonged to large farms since 2016. This is an increase from 76% in 2005. This increase can also be seen in the actual increase in hectares (182,320 ha), mainly due to the increase in UAA belonging to farms of over 100 ha. The general trend showed that UAA belonging to small and medium farms is decreasing both in UAA percentage and actual ha. Total UAA decreased during the period by about 4.5%. | Figure A2 |
| DE | 98.12% | In Germany (DE), a majority (79%) of UAA has belonged to large farms since 2016. This is an increase from 73% in 2005. This increase can also be seen in the actual increase in hectares (888,580 ha). The general trend showed that UAA belonging to small and medium farms is decreasing both in UAA percentage and in actual ha. UAA decreased during the period by about 1.9%. | Figure A3 |
| EE | 120.05% | In Estonia (EE), a majority (85%) of UAA has belonged to large farms since 2016. This is an increase from 73% in 2005. The increase can also be seen in the actual increase in hectares (240,090 ha). The general trend showed that UAA belonging to small and medium farms is decreasing both in UAA percentage and actual ha, whilst the overall UAA increased during the period by over 20%. | Figure A4 |
| LV | 113.47% | In Latvia (LV), a majority (67%) of UAA has belonged to large farms since 2016. This is an increase from 43% in 2005. This increase can also be seen in the actual increase in hectares (565,090 ha). The general trend showed that UAA belonging to small and medium farms is decreasing both in UAA percentage and in actual ha. Overall, UAA increased during the period by about 13%. | Figure A5 |
| LT | 104.47% | In Lithuania (LT), a majority (63%) of UAA has belonged to large farms since 2016. This is an increase from 37% in 2005. This increase can also be seen in the actual increase in hectares (821,620 ha). The general trend showed that UAA belonging to small and medium farms is decreasing both in UAA percentage and in actual ha. Overall UAA increased during the period by about 4%. | Figure A6 |
| PL | 97.63% | In Poland (PL), a majority (40%) of UAA has belonged to medium farms since 2016. This is a decrease from 41% in 2005. This decrease can also be seen in the actual decrease in hectares (−271,920 ha). The general trend showed that UAA belonging to small and medium farms decreased during the period both in UAA percentage and in actual ha. At the same time, UAA belonging to large farms has been increasing both in percentage (from 23% to 32%) and actual hectares (1,085,010 ha). Overall, UAA decreased during the period by about 2.5%. | Figure A7 |
| SK | 100.55% | In Slovakia (SK), a majority of UAA has belonged to large farms (92%) since 2016. This is a decrease from 94% in 2005. The decrease can also be seen in the actual decrease in hectares (−29,910 ha). The general trend showed that UAA belonging to medium farms increased both in percentage (from 2.75% to 5%) and actual hectares (43,350 ha). Small farms have been decreasing both in percentage (from 3% to 2.9%) and actual hectares (−3110 ha). Overall, UAA remained stable during the period, with a slight increase of just over 0.5%. | Figure A8 |
| FI | 97.13% | In Finland (FI), a majority of UAA has belonged to large farms (67%) since 2016. This is an increase from 49% in 2005. This increase can also be seen in the actual increase in hectares (377,440 ha). The general trend showed that UAA belonging to small and medium farms decreased both in percentage and actual hectares. Overall, UAA decreased during the period by almost 3%. | Figure A9 |
| SE | 94.37% | In Sweden (SE), a majority of UAA has belonged to large farms (76%) since 2016. This is an increase from 71% in 2005. The increase can also be seen in the actual increase in hectares (23,920 ha). The general trend showed that UAA belonging to medium farms decreased both in percentage (from 24% to 19%) and actual hectares (−204,300 ha). UAA belonging to small farms remained fairly stable during the period, even increasing slightly, both in percentage (from 4.2% to 4.6%) and in actual hectares (570 ha). Overall, UAA decreased the most of all countries in this study, dropping during the period by almost 6%. | Figure A10 |
| 0 ha | Small | Medium | Large | All farms | |
|---|---|---|---|---|---|
| SE | −24% | −9% | −22% | −17% | −17% |
| FI | −4% | −43% | −38% | 10% | −30% |
| SK | −18% | −74% | 93% | 28% | −63% |
| PL | −48% | −49% | −9% | 66% | −43% |
| LT | 217% | −45% | −38% | 83% | −41% |
| LV | −46% | −56% | −29% | 39% | −46% |
| EE | 933% | −55% | −32% | 30% | −40% |
| DE | 197% | −55% | −23% | 0% | −29% |
| DK | 110% | −22% | −44% | −25% | −32% |
| CZ | −66% | −62% | 5% | 12% | −37% |
| Region | −18% | −50% | −19% | 9% | −41% |
| Year | Change in 2005–2016 | ||||||
|---|---|---|---|---|---|---|---|
| 2005 | 2007 | 2010 | 2013 | 2016 | Percentage | Value | |
| CZ | 3.91 | 3.61 | 3.12 | 3.01 | 3.02 | –23% | –0.89 |
| DK | 2.32 | 2.21 | 2.05 | 2.01 | 2.10 | –9% | –0.22 |
| DE | 3.42 | 3.27 | 3.12 | 3.01 | 2.87 | –16% | –0.55 |
| EE | 4.56 | 3.63 | 2.70 | 2.33 | 2.04 | –55% | –2.52 |
| LV | 8.12 | 6.05 | 4.78 | 4.41 | 3.95 | –51% | –4.17 |
| LT | 6.22 | 5.96 | 5.23 | 5.06 | 5.09 | –18% | –1.13 |
| PL | 15.53 | 14.86 | 13.25 | 13.44 | 11.63 | –25% | –3.90 |
| SK | 5.26 | 4.71 | 2.96 | 2.85 | 2.58 | –51% | –2.68 |
| FI | 4.18 | 3.90 | 3.58 | 3.33 | 3.00 | –28% | –1.18 |
| SE | 2.37 | 2.19 | 2.13 | 2.04 | 1.94 | –18% | –0.43 |
| Regional | 7.28 | 6.99 | 6.11 | 6.06 | 5.45 | –25% | –1.83 |
© 2020 by the authors. Licensee MDPI, Basel, Switzerland. This article is an open access article distributed under the terms and conditions of the Creative Commons Attribution (CC BY) license (http://creativecommons.org/licenses/by/4.0/).
Share and Cite
Ambros, P.; Granvik, M. Trends in Agricultural Land in EU Countries of the Baltic Sea Region from the Perspective of Resilience and Food Security. Sustainability 2020, 12, 5851. https://doi.org/10.3390/su12145851
Ambros P, Granvik M. Trends in Agricultural Land in EU Countries of the Baltic Sea Region from the Perspective of Resilience and Food Security. Sustainability. 2020; 12(14):5851. https://doi.org/10.3390/su12145851
Chicago/Turabian StyleAmbros, Pontus, and Madeleine Granvik. 2020. "Trends in Agricultural Land in EU Countries of the Baltic Sea Region from the Perspective of Resilience and Food Security" Sustainability 12, no. 14: 5851. https://doi.org/10.3390/su12145851
APA StyleAmbros, P., & Granvik, M. (2020). Trends in Agricultural Land in EU Countries of the Baltic Sea Region from the Perspective of Resilience and Food Security. Sustainability, 12(14), 5851. https://doi.org/10.3390/su12145851

