Crop Productivity and Nitrogen Balance as Influenced by Nitrogen Deposition and Fertilizer Application in North China
Abstract
1. Introduction
2. Materials and Methods
2.1. Study Sites
2.2. Experimental Design and Fertilizer Treatments
2.3. Crop and Soil Data
2.4. Estimation of Nitrogen Balance Terms for NPK Treatment
3. Results
3.1. Productivity—Biomass and Grain Yield
3.2. Nitrogen Uptake and Recovery of Applied Nitrogen
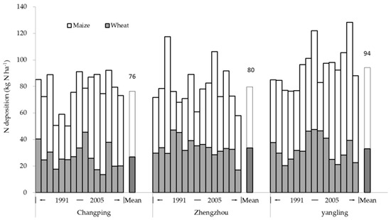
3.3. Nitrogen Deposition in Crop Seasons (Wheat and Maize)
3.4. Soil Fertility Changes
3.5. Overall N Balance at the Three Sites
4. Discussion
5. Conclusions
Author Contributions
Funding
Acknowledgments
Conflicts of Interest
References
- Dinnes, D.L.; Karlen, D.L.; Jaynes, D.B.; Kaspar, T.C.; Hatfield, J.L.; Colvin, T.S.; Cambardella, C.A. Nitrogen management strategies to reduce nitrate leaching in tile-drained midwestern soils. Agron. J. 2002, 94, 153–171. [Google Scholar] [CrossRef]
- Khan, S.A.; Mulvaney, R.L.; Ellsworth, T.R.; Boast, C.W. The myth of nitrogen fertilization for soil carbon sequestration. J. Environ. Qual. 2007, 36, 1821–1832. [Google Scholar] [CrossRef] [PubMed]
- Mulvaney, R.L.; Khan, S.A.; Ellsworth, T.R. Synthetic nitrogen fertilizers deplete soil nitrogen: A global dilemma for sustainable cereal production. J. Environ. Qual. 2009, 38, 2295–2314. [Google Scholar] [CrossRef] [PubMed]
- Liu, X.; Xu, W.; Duan, L.; Du, E.; Pan, Y.; Lu, X.; Zhang, L.; Wu, Z.; Wang, X.; Zhang, Y.; et al. Atmospheric nitrogen emission, deposition, and air quality impacts in China: An overview. Curr. Pollut. Rep. 2017, 3, 78. [Google Scholar] [CrossRef]
- He, C.E.; Liu, X.; Fangmeier, A.; Zhang, F. Quantifying the total airborne nitrogen input into agroecosystems in the North China Plain. Agric. Ecosyst. Environ. 2007, 121, 395–400. [Google Scholar] [CrossRef]
- Reay, D.S.; Dentener, F.; Smith, P.; Grace, J.; Feely, R.A. Global nitrogen deposition and carbon sinks. Nat. Geosci. 2016, 1, 430–437. [Google Scholar] [CrossRef]
- Weigel, A.; Russow, R.; Körschens, M. Quantification of airborne N-input in long-term field experiments and its validation through measurements using 15N isotope dilution. J. Plant Nutr. Soil Sci. 2015, 163, 261–265. [Google Scholar] [CrossRef]
- Goulding, K.W.T. Nitrogen deposition to land from the atmosphere. Soil Use Manag. 2010, 6, 61–63. [Google Scholar] [CrossRef]
- Körschens, M.; Weigel, A.; Schulz, E. Turnover of soil organic matter (SOM) and long-term balances—Tools for evaluating sustainable productivity of soils. J. Plant Nutr. Soil Sci. 2015, 161, 409–424. [Google Scholar] [CrossRef]
- Chun, E.H.; Liu, X.; Fusuo, Z. Determining Total N Deposition using 15N Dilution Technique in the North China Plain. J. Resour. Ecol. 2010, 1, 75–82. [Google Scholar]
- Poulton, P.R. The Rothamsted long-term experiments: Are they still relevant? Can. J. Plant Sci. 1996, 76, 559–571. [Google Scholar] [CrossRef]
- Zhao, B.Q.; Li, X.Y.; Li, X.P.; Shi, X.J.; Huang, S.M.; Wang, B.R.; Zhu, P.; Yang, X.Y.; Liu, H.; Chen, Y.; et al. Long-term fertilizer experiment network in China: Crop yields and soil nutrient trends. Agron. J. 2010, 102, 216–230. [Google Scholar] [CrossRef]
- Liu, J.; Liu, H.; Huang, S.; Yang, X.; Wang, B.; Li, X.; Ma, Y. Nitrogen efficiency in long-term wheat–maize cropping systems under diverse field sites in China. Field Crops Res. 2010, 118, 145–151. [Google Scholar] [CrossRef]
- Cassman, K.G.; Gines, G.C.; Dizon, M.A.; Samson, M.I.; Alcantara, J.M. Nitrogen-use efficiency in tropical lowland rice systems: Contributions from indigenous and applied nitrogen. Field Crops Res. 1996, 47, 1–12. [Google Scholar] [CrossRef]
- Zhao, R. Nitrogen cycling and balance in winter-wheat-summer-maize rotation system in Northern China Plain. Acta Pedol. Sin. 2009, 684–697. [Google Scholar]
- Bowman, W.D.; Cleveland, C.C.; Halada, Ĺ.; Hreško, J.; Baron, J.S. Negative impact of nitrogen deposition on soil buffering capacity. Nat. Geosci. 2008, 1, 767–770. [Google Scholar] [CrossRef]
- Holland, E.A.; Dentener, F.J.; Braswell, B.H.; Sulzman, J.M. Contemporary and pre-industrial global reactive nitrogen budgets. Biogeochemistry 1999, 46, 7–43. [Google Scholar] [CrossRef]
- Goulding, K.W.T.; Bailey, N.J.; Bradbury, N.J.; Hargreaves, P.; Willison, T.W. Nitrogen deposition and its contribution to nitrogen cycling and associated soil processes. New Phytol. 2008, 139, 49–58. [Google Scholar] [CrossRef]
- Liu, X.; Duan, L.; Mo, J.; Du, E.; Shen, J.; Lu, X.; Zhang, Y.; Zhou, X.; He, C.; Zhang, F. Nitrogen deposition and its ecological impact in China: An overview. Environ. Pollut. 2011, 159, 2251–2264. [Google Scholar] [CrossRef] [PubMed]
- Zhang, Y. Measurements of Atmospheric Nitrogen Deposition in Different Regions of China and Simulations of Atmospheric Nitrogen Deposition in the North China Plain; China Agricultural University: Beijing, China, 2009. [Google Scholar]
- Lu, C.; Tian, H. Spatial and temporal patterns of nitrogen deposition in China: Synthesis of observational data. J. Geophys. Res. Atmos. 2007, 112, D22S20. [Google Scholar] [CrossRef]
- Dentener, F.J.; Crutzen, P.J. A three-dimensional model of the global ammonia cycle. J. Atmos. Chem. 1994, 19, 331–369. [Google Scholar] [CrossRef]
- Ying, Z.; Liu, X.; Zhang, F.; Ju, X.; Zou, G.; Hu, K. Spatial and temporal variation of atmospheric nitrogen deposition in the North China Plain. Acta Ecol. Sin. 2006, 26, 1633–1638. [Google Scholar]
- Liu, X.J.; Zhang, F.S. Nutrient from environment and its effect in nutrient resources management of ecosystems-a case study on atmospheric nitrogen deposition. Arid Zone Res. 2009, 26, 306–311. [Google Scholar] [CrossRef]
- Davidson, E.A.; Ackerman, I.L. Changes in soil carbon inventories following cultivation of previously untilled soils. Biogeochemistry 1993, 20, 161–193. [Google Scholar] [CrossRef]
- Li, C.; Zhuang, Y.; Frolking, S.; Galloway, J.; Harriss, R.; Moore, B.; Schimel, D.; Wang, X. Modeling soil organic carbon change in croplands of China. Ecol. Appl. 2003, 13, 327–336. [Google Scholar] [CrossRef]
- Cai, G.X.; Chen, D.L.; Ding, H.; Pacholski, A.; Fan, X.H.; Zhu, Z.L. Nitrogen losses from fertilizers applied to maize, wheat and rice in the North China Plain. Nutr. Cycl. Agroecosyst. 2001, 63, 187–195. [Google Scholar] [CrossRef]
- Ju, X.T.; Kou, C.L.; Zhang, F.S.; Christie, P. Nitrogen balance and groundwater nitrate contamination: Comparison among three intensive cropping systems on the North China Plain. Environ. Pollut. 2006, 143, 117–125. [Google Scholar] [CrossRef] [PubMed]
- Zhu, A.N.; Zhang, J.B.; Zhao, B.Z.; Cheng, Z.H.; Li, L.P. Water balance and nitrate leaching losses under intensive crop production with Ochric Aquic Cambosols in North China Plain. Environ. Int. 2005, 31, 904–912. [Google Scholar] [CrossRef] [PubMed]
- Hester, R.E.; Harrison, R.M.; Addiscott, T.M. Fertilizers and nitrate leaching. Environ. Sci. Technol. 1996, 5, 1–26. [Google Scholar]







| Item | Sites | |||
|---|---|---|---|---|
| S1-CP | S2-ZZ | S3-YL | ||
| Province | Beijing | Henan | Shaanxi | |
| Location | Changping (116°12′08″ E, 40°12′34″ N) | Zhengzhou (113°39′25″ E, 34°47′02″ N) | Yangling (108°03′54″ E, 34°16′49″ N) | |
| Plot area (m2) | 100–200 | 400 | 196 | |
| Soil classification in China | Fluvo-aquic soil | Fluvo-aquic soil | Loessial soil | |
| Soil classification in FAO | Haplic Luvisol | Calcaric Cambisol | Calcaric Regosol | |
| Sand (%) | 20.3 | 26.5 | 31.6 | |
| Texture | Silt (%) | 65.0 | 60.7 | 51.6 | 
| Clay (%) | 14.7 | 12.8 | 16.8 | |
| Soil pH (2.5, water/soil) | 8.2 | 8.3 | 8.6 | |
| Organic carbon (g kg−1) | 7.1 | 6.7 | 6.3 | |
| Total N (g kg−1) | 0.64 | 1.01 | 0.83 | |
| Total P (g kg−1) | 0.69 | 0.65 | 0.61 | |
| Total K (g kg−1) | 14.60 | 16.90 | 22.80 | |
| Nutrient | Treatment | Changping | Zhengzhou | Yangling | |||
|---|---|---|---|---|---|---|---|
| Wheat | Maize | Wheat | Maize | Wheat | Maize | ||
| N | PK | 0 | 0 | 0 | 0 | 0 | 0 | 
| NPK | 150.0 | 150.0 | 165.0 | 188.0 | 165.0 | 187.5 | |
| HF | 150 + 103.6 * | 150.0 | 74.2 + 173 * | 282.0 | 165 + 82.5 * | 187.5 | |
| P | PK | 32.7 | 32.7 | 36.0 | 41.0 | 57.6 | 24.6 | 
| NPK | 32.7 | 32.7 | 36.0 | 41.0 | 57.6 | 24.6 | |
| HF | 32.7 + 160.0 * | 32.7 | 54.1 + 158.9 * | 61.6 | 86.4 + 216.0 * | 24.6 | |
| K | PK | 37.3 | 37.3 | 68.5 | 78.0 | 68.5 | 77.8 | 
| NPK | 37.3 | 37.3 | 68.5 | 78.0 | 68.5 | 77.8 | |
| HF | 37.3 + 174.5 * | 37.3 | 102.7 + 140.2 * | 117.0 | 102.75 + 315.0 * | 77.8 | |
| Site | Amount of Irrigation (m3 ha−1 year−1) | N Content in Irrigation (mg L−1) | N Input from Irrigation (kg ha−1) | 
|---|---|---|---|
| Changping | 3000 | 5.67 | 17 | 
| Zhengzhou | 2250 | 4.00 | 9 | 
| Yangling | 2700 | 1.85 | 5 | 
| Site | Treatment | Items (Depth (cm)) | |||||
|---|---|---|---|---|---|---|---|
| SOM (g kg−1) | TN (g kg−1) | AN (mg kg−1) | |||||
| (0–20) | (20–40) | (0–20) | (20–40) | (0–20) | (20–40) | ||
| Changping | PK | 14.26b | 11.79a | 0.71b | 0.55a | 58b | 44b | 
| NPK | 14.34b | 11.45a | 0.77b | 0.60a | 64ab | 46ab | |
| HF | 16.48a | 11.80a | 0.91a | 0.63a | 72a | 50a | |
| Zhengzhou | PK | 11.14b | 8.31b | 0.65b | 0.54b | 64b | 50b | 
| NPK | 11.93b | 8.98b | 0.68b | 0.55ab | 67b | 54ab | |
| HF | 15.63a | 12.28a | 0.88a | 0.66a | 83a | 65a | |
| Yangling | PK | 12.97b | 9.23b | 0.98b | 0.76a | 65b | 46a | 
| NPK | 13.59b | 9.32b | 1.03b | 0.77a | 75b | 51a | |
| HF | 20.61a | 11.10a | 1.34a | 0.92a | 105a | 56a | |
| Items | Sites | N (kg ha−1 year−1) | Items | Sites | N (kg ha−1 year−1) | ||
|---|---|---|---|---|---|---|---|
| Input | Fertilizer-N | Changping | 300 | Output | Crops harvest | Changping | 220 | 
| Zhengzhou | 353 | Zhengzhou | 285 | ||||
| Yangling | 353 | Yangling | 318 | ||||
| N deposition | Changping | 82 | NH3 volatilization | Changping | 66 | ||
| Zhengzhou | 80 | Zhengzhou | 78 | ||||
| Yangling | 103 | Yangling | 78 | ||||
| Asymbiotic nitrogen fixation | Changping, Zhengzhou and Yangling | 15 | N2O denitrification | Changping | 9 | ||
| Irrigation | Changping | 17 | Zhengzhou | 11 | |||
| Zhengzhou | 9 | Yangling | 11 | ||||
| Yangling | 5 | NO3-N leaching | Changping | 75 | |||
| Seed | Changping, Zhengzhou and Yangling | 5 | Zhengzhou | 88 | |||
| Yangling | 88 | ||||||
| Total input | Changping | 419 | Total output | Changping | 370 | ||
| Zhengzhou | 462 | Zhengzhou | 462 | ||||
| Yangling | 480 | Yangling | 494 | ||||
| Nitrogen balance | Changping | 49 | |||||
| Zhengzhou | 1 | ||||||
| Yangling | −14 | ||||||
© 2019 by the authors. Licensee MDPI, Basel, Switzerland. This article is an open access article distributed under the terms and conditions of the Creative Commons Attribution (CC BY) license (http://creativecommons.org/licenses/by/4.0/).
Share and Cite
Liu, J.; Li, J.; Ma, Y.; Wang, E.; Liang, Q.; Jia, Y.; Li, T.; Wang, G. Crop Productivity and Nitrogen Balance as Influenced by Nitrogen Deposition and Fertilizer Application in North China. Sustainability 2019, 11, 1347. https://doi.org/10.3390/su11051347
Liu J, Li J, Ma Y, Wang E, Liang Q, Jia Y, Li T, Wang G. Crop Productivity and Nitrogen Balance as Influenced by Nitrogen Deposition and Fertilizer Application in North China. Sustainability. 2019; 11(5):1347. https://doi.org/10.3390/su11051347
Chicago/Turabian StyleLiu, Jie, Jumei Li, Yibing Ma, Enli Wang, Qiong Liang, Yuehui Jia, Tingshu Li, and Guocheng Wang. 2019. "Crop Productivity and Nitrogen Balance as Influenced by Nitrogen Deposition and Fertilizer Application in North China" Sustainability 11, no. 5: 1347. https://doi.org/10.3390/su11051347
APA StyleLiu, J., Li, J., Ma, Y., Wang, E., Liang, Q., Jia, Y., Li, T., & Wang, G. (2019). Crop Productivity and Nitrogen Balance as Influenced by Nitrogen Deposition and Fertilizer Application in North China. Sustainability, 11(5), 1347. https://doi.org/10.3390/su11051347
 
        

 
       