Abstract
To increase the diversity in the food system from seed to fork, participatory on-farm breeding schemes have been proposed. For participatory on-farm breeding schemes to be successful, consumers need to be willing to compensate farmers for their efforts in breeding and in diversifying their cultivation. Using vegetables as an example, we investigated whether consumers of four selected European countries liked the idea of having farmers breed their own varieties and whether they would be willing to pay a premium for farmers’ as compared to standard varieties in a supermarket setting. The data was collected in an online survey and a willingness to pay was elicited using a contingent valuation approach. After providing respondents with information about the problem (diversity loss), solution (on-farm breeding), and the benefits of farmers’ varieties, consumers’ acceptance was very high and consumers were willing to pay a small premium. Our findings suggest that farmers’ varieties can be appealing to a wide range of consumers if the appropriate information is provided, as they not only address the increasing demand for more sustainable products but also for more food diversity and tasty products. To our knowledge, this is the first study to examine consumer preferences for farmers’ varieties for food system diversity.
1. Introduction
Since the beginnings of agriculture, farmers have sown, harvested, selected and shared seeds. By doing so, they produced a large number of crop species and varieties adapted to local growing conditions and with a considerable genetic variation [1,2,3]. These landraces are part of agricultural biological diversity or agrobiodiversity [4,5,6,7,8].
The continuing industrialization of agriculture and the shift from breeding done by farmers to breeding done by the private sector led to a long unnoticed loss of crop diversity. In addition, seed laws with their obligation to register varieties before their seed could be commercialized are a driver for less diversity in the food system. Before being registered, varieties have to meet the criteria of distinctness, uniformity, and stability (DUS). These requirements support the spread of just a few varieties that perform well in uniform growing conditions [9].
Gruber [10] pointed out that although nature offers more than 50,000 edible plants, 90% of the world’s dietary energy needs (proteins, calories) are met by only 15 crops and two-thirds of our calorie intake comes from only three crops: rice, maize, and wheat. 20 years earlier, the FAO pointed out that 9 crops provide 75% of the global dietary energy and that three crops—wheat, rice, and maize—provide alone 50% [11].
The narrowing of diversity in crop species is a potential threat to food and nutrition security [12,13,14]. Hajjar, Jarvis [15] found in their review, that crop genetic diversity has shown to be useful in pest and disease management and has the potential to enhance pollination services, continuous soil biomass cover, carbon sequestration and preventing soil erosion. In addition, Dwivedi, Ceccarelli [2] stated, that plant landraces provide genetic resources that meet current and new challenges for farming in stressful environments. Moreover, according to Biodiversity International [4], the loss in agrobiodiversity also leads to a lower food diversity available for consumers, preventing healthy and sustainable diets.
Politics took up the topic, namely UNEP with the CBD—Convention on Biological Diversity (1992) and FAO with the IT PGRFA—International Treaty on Plant Genetic Resources for Food and Agriculture (1997). Both the CBD and IT PGRFA are intended to preserve plant genetic diversity for a varied diet and to allow the adaptation to a changing environment [16,17]. In line with the CBD and IT PGRFA, the European Union (EU) introduced the issue of in situ conservation of plant genetic resources into its seed legislation and allowed the use of conservation varieties or amateur varieties with no intrinsic value for commercial crop production [9].
Since the implementation of the CBD and IT PGRFA, if not earlier, the conservation of phytogenetic resources is a task of the state. Public institutions preserve seeds primarily ex-situ, in so-called gene banks, so that they are only rarely used for food production [18]. In addition to public institutions, private networks and their umbrella organizations are involved in the conservation of crop and food diversity [16,19,20]. Examples of umbrella organizations for such networks in Europe are Arche Noah in Austria, Red Andaluza de Semillas in Spain, Réseau Semences Paysannes in France, Rete Semi Rurali in Italy and ProSpecieRara in Switzerland and Germany. The main focus of their work is on in situ conservation, namely the cultivation of different species and varieties in agriculture and horticulture.
To increase the diversity of crop species and varieties for farmers, some networks are involved in participatory on-farm breeding schemes (POFBS). By doing so, they enable the continuous adaptation of crop varieties to local environmental conditions [18,21]. Starting at the very root, these schemes empower farmers to make use of the large genetic diversity in crops neglected over the years. Moreover, they again breed and multiply their own seeds, leading to locally adapted crops, more diverse agricultural landscapes and a more diverse offer of food [13,14,22].
The use of agrobiodiversity in food production can support the transition to a more sustainable and resilient food system [23,24,25]. Embedding of crop genetic diversity in food systems for more sustainability and resilience involves the entire food system from farmer to consumer [2,26]. This is why most of the networks mentioned above are also involved in the processing and marketing of more diverse food products and communicate to consumers about the importance of phytogenetic resources for agriculture and nutrition [16,26].
For participatory on-farm breeding schemes to be successful and long-lasting, consumers need to be willing to compensate farmers for their efforts in breeding locally-adapted crop varieties and in diversifying their cultivation [23,27,28]. As previous literature shows, consumers are willing to pay more for foods they perceive as more sustainable and/or of higher quality [29]. This is not only the case for national, regional, or local foods, particularly tasty foods, and organic foods [30,31,32], but also traditional or old vegetable or fruit varieties or animal breeds, as they are typically associated with a particular locality, region or country, cultural heritage and exceptional sensory characteristics [27,33,34,35,36,37,38,39]. In fact, a recent study by Tyack and Ščasný [40] shows, that consumers are even willing to pay for ex-situ conservation of genetic resources.
As participatory on-farm breeding schemes clearly increase the sustainability of food systems, both on the environmental and the social dimension, crop varieties stemming from these schemes, so-called farmers’ varieties, should generate a significant value-added for consumers. In order to fully realize this value-added on the market, communication should address both sustainability dimensions [28]. It should highlight the various (public and private) benefits of cultivated diversity [41] and the empowerment of farmers as a consequence of on-farm breeding. Concepts like biodiversity or agrobiodiversity should rather not be used in communication, as these concepts are too abstract for consumers [42].
To our knowledge, there has not been any study so far investigating consumers’ valuation of farmers’ varieties. With the present study, we intended to fill this gap. Using vegetables as an example, we investigated whether consumers liked the idea of having farmers breed their own, locally-adapted varieties and whether they would be willing to pay a premium for farmers’ varieties. Farmers’ varieties were defined as “more diverse, locally adapted, healthy, and tasty products resulting from the breeding and multiplication of seeds by farmers” [43]. Consumers’ willingness to pay (WTP) was elicited in an online survey using a contingent valuation approach. As this research was part of the EU funded project DIVERSIFOOD, it was conducted in four European countries with a background in participatory on-farm breeding, namely Switzerland, France, Italy, and Spain.
To make the value-elicitation task as realistic as possible, WTP was elicited for a concrete product—tomatoes—and in a specific setting—the supermarket. In addition, based on a respondent’s preferences, tomatoes were: (1) neither organic nor local, (2) organic, (3) local, or (4) organic and local, leading to four consumer segments: (1) non-organic and non-regional buyers, (2) organic buyers, (3) regional buyers, and (4) organic and regional buyers. Tomatoes were chosen as sample products, as they are a very popular vegetable in all four countries studied. The supermarket was chosen as a valuation setting because most consumers are familiar with this purchase channel.
To identify determinants of WTP but also to give advice on targeted communication for farmers’ varieties, we also investigated respondents’ current vegetable purchase behavior, their awareness of the loss in cultivated diversity, and their approval of farmers’ varieties as a way to increase the diversity in the food system.
With this research we wanted to answer the following questions:
- Are consumers aware of the loss in cultivated diversity, its causes, and consequences (problem awareness)? How does consumers’ problem awareness differ between countries and consumer segments?
- Do consumers approve of the idea of farmers’ varieties as a means to increase the diversity in the food system (solution approval)? How does consumers’ solution approval differ between countries and consumer segments?
- Would consumers be willing to pay a premium for farmers’ tomato varieties (consumers’ valuation)? What are the determinants of potential differences in WTP among consumer segments?
In this study, food system diversity is defined as an umbrella term, including diversity on all levels of the food value chain, from the crop species and varieties cultivated by farmers to the food diversity available to consumers. Hence, by food diversity, we do not mean the diversity of food product categories or the diversity which is created through the use of different processing technologies, but the diversity of food which is created through the cultivation of diversity in crop species and varieties.
The next section outlines the methodology applied, followed by the presentation of the empirical results. The final section provides a discussion, including the study’s limitations and recommendations for future research, and a conclusion.
2. Methodology
2.1. The Elicitation of Willingness to Pay
To estimate consumer demand (maximum willingness to pay (WTP)) for novel products and attributes researchers can either turn to contingent or experimental market valuation methods [44]. In market research contingent valuation is widely used, particularly in the form of direct questions asking individuals for their maximum WTP “contingent” on a given hypothetical scenario [45]. Compared to experimental market valuation methods it is often argued that contingent valuation methods are less precise or even biased due to the hypothetical value elicitation environment [46]. However, if a contingent valuation study is carefully done, following the quality requirements specified by Carson [47], it can produce estimates that are reliable enough as a starting point to determine the consumer demand for a new product.
In the present study, we used a contingent valuation approach which was introduced by the Dutch researcher Peter van Westendorp and is known as Price Sensitivity Meter (PSM) or van Westendorp method [48]. PSM has become very popular in market research [49]. Compared to methods like discrete choice experiments or experimental auctions, it is easier to use, less expensive and more straightforward regarding the analysis and interpretation of results [49]. Furthermore, it allows us to determine not only consumers’ maximum WTP for a product but also the price consumers would perceive as a product’s normal or market price [48,50].
As we were interested in measuring consumers’ WTP a premium for farmers’ tomato varieties, we used a within-subject design. That is, we elicited WTP twice, once for tomatoes currently available in supermarkets and once for farmers’ tomato varieties. In between, the concept of farmers’ varieties was introduced to consumers along with a label (see Figure 1 through 4 in Section 2.3). In both WTP elicitation tasks, tomatoes were either non-regional and non-organic, organic (but not regional), regional (but not organic), or organic and regional. The labeling scenario applied, was chosen by the respondents, based on their own labeling preferences.
Figure 1.
The four tomato offers as they were shown in the online survey. Depending on the respondents’ place of residence, the tomatoes’ country of origin was either Switzerland, France, Italy or Spain.
Since WTP was elicited for four different countries and four different labeling scenarios, the results in Section 3 are presented by country and scenario. Consumers who preferred non-organic and non-regional labeling are related to as non-organic and non-regional buyers (Segment 1), those preferring organic labeling only as organic buyers (Segment 2), those preferring regional labeling only as regional buyers (Segment 3) and those preferring organic and regional labeling as organic and regional buyers (Segment 4).
For the comparison of results between countries and segments, we used the chi-square test—for categorical variables—and the t-test (one-way ANOVA)—for numeric variables.
2.1.1. The Price Sensitivity Meter
The PSM is based on four direct, price-related questions. The question wording can vary, but generally takes the following form:
- Q1: At which price would you consider the product to be cheap—a great buy for the money?
- Q2: At which price would you consider the product to be expensive, but you would still consider buying it?
- Q3: At which price would you consider the product to be too expensive for you to not consider buying it?
- Q4: At which price would you consider the product to be too cheap that you would question its quality?
Respondents can either be provided with a number field, where they can fill in their answers (open format) or a scale, from which they can pick an answer (closed format). Once the PSM data has been collected, it is used to calculate four price points: the lower and upper price bound (the range of acceptable prices), the indifference price (the perceived normal or market price), and the optimum price (the price at which the highest market penetration can be expected). The indifference price occurs at the intersection of the cumulative distribution of Q1 and Q2, the optimum price at the intersection of the cumulative distribution of Q3 and Q4, the lower price bound at the intersection of the cumulative distribution of Q2 and Q4, and the upper price bound at the intersection of the cumulative distribution of Q1 and Q3.
To obtain consumers’ valuation of farmers’ varieties, two measures were considered most appropriate, namely, respondents’ maximum WTP, as provided by the responses to Q2 [49], and the price respondents would perceive as the product’s normal or market price, that is the indifference price. Hence, we focused on the responses to Q1 and Q2.
2.2. Data Collection and Sample Characteristics
The data for this study were collected using an online survey, which took place in August 2017 (10th to 21st of August). The participants were recruited from the LINK and Norstat internet panels in Switzerland, France, Italy, and Spain, using random sampling with a proportional fixation for age, gender, and region. To be eligible for the survey participants had to be (i) between 18 and 79 years old, (ii) responsible for food shopping, (iii) consuming vegetables, and (iv) not working in the food or marketing sector. Participants not consuming tomatoes were not excluded from the whole survey, but they were excluded from the WTP elicitation task. However, for the present study participants not consuming tomatoes were excluded, as the study’s focus was on WTP for farmers’ varieties.
Persons meeting these requirements were asked to participate in a study on food quality, lasting about 20 min, and were promised to receive an incentive of 200 points (10 points/min), worth 1.74 Euros, which they could add to their personal account or donate. By August 21st a total of 2067 online interviews had been conducted, of which 500 in Switzerland, 496 in France, 505 in Italy and 566 in Spain. With 2392 consumers initially reached (willing to participate), this corresponds to an average incidence rate of 86%.
Table 1 shows the distribution of the total sample and the country samples with respect to gender, education, income, and age. The variable region is not shown here due to a large number of categories. For all four country samples, sampling weights were applied for age, gender, and region. Therefore, all four samples can be considered as representative of the target population. With respect to gender and age, the country samples have a comparable structure: The proportion of female and male respondents is almost balanced and the average age is between 45 and 47 years. With respect to education and income the sample structure differs across countries: In Switzerland, both education and income are significantly higher than in the total sample and in France education. In Italy and Spain, both education and income are significantly lower than in the total sample.
Table 1.
Country-specific differences in sociodemographic characteristics.
2.3. The Survey
The survey consisted of the eight parts listed below. WTP was elicited in part 4 and 7. Information on farmers’ varieties was provided in part 6.
- (1)
- Welcome and Introduction.
- (2)
- Screening (eligibility test, including tomato purchase frequency) and quota management (identification of age, gender, and region).
- (3)
- Current food purchase behavior: Importance of purchase criteria for vegetables.
- (4)
- WTP for preferred tomato offer in a supermarket setting using open-format PSM (baseline) (see Figure 1).
- (5)
- Problem awareness: agreement/disagreement with a set of eleven statements on a scale from 1 (fully disagree) to 10 (fully agree), including do not know (see Appendix A Table A1 variable ATT BDIV to ATT STD).
- (6)
- Information treatment: presentation of problem (loss in diversity) and possible solution (farmers’ varieties to increase diversity) (see Figure 2 and Figure 3), solution approval (yes/no/yes and no), ranking of a hypothetical label for farmers’ varieties on a scale from 1 (the lowest rank = most important) to 10 (the highest rank = least important).
Figure 2. The problem-related information as it was shown in the online survey.
Figure 3. The solution-related information as it was shown in the online survey. - (7)
- WTP for the farmers’ varieties version of the preferred tomato offer using open-format PSM (see Figure 4).
Figure 4. The four Diversifood tomato offers as they were shown in the online survey. Depending on the respondents’ place of residence, the tomatoes’ country of origin was either Switzerland, France, Italy or Spain. - (8)
- Socio-demographic characteristics (including organic purchase frequency).
In part three of the questionnaire, participants first completed a maximum difference scaling task on the importance of nine vegetable purchase criteria. The task consisted of a total of five choice sets with four purchase criteria each, of which participants always had to choose the most important and the least important one. Therefore the task is also referred to as a best–worst scaling task. Choice sets varied across respondents according to a fractional factorial design. Both the set-up of the design and the calculation of the importance scores of vegetable purchase criteria were carried out by the market research institute LINK using Sawtooth Software package SSI Web 9.8.0 (https://www.sawtoothsoftware.com/). Importance scores typically range from 1 (least important) to 100 (most important). A score of 1 to 33 corresponds to low importance, a score of 34 to 66 corresponds to medium importance, and a score of 67 to 100 corresponds to high importance.
In part four, participants were then asked to choose their preferred tomato offer from a set of four tomato offers, which are shown in Figure 1, and to indicate their WTP for that offer. Importantly, these tomatoes were neither framed as farmers’ nor as industrial varieties. They were simply meant to represent the current offer of tomatoes available in supermarkets. It is also important to note here, that each consumer chose and valued only one of the four offers. In this way, the value elicitation task could be framed according to a respondent’s preferences and thus be rendered more realistic. In addition, it allowed us to allocate each consumer to one of four consumer segments: (1) non-organic and non-regional buyers, (2) organic buyers, (3) regional buyers, (4) organic and regional buyers.
As explained in Section 2.1, WTP was elicited using the Price Sensitivity Meter (PSM). The question wording was as follows:
- Q1: At what price per kilogram would you say: “These tomatoes are cheap. I am going to buy them.”?
- Q2: At what price per kilogram would you say: “These tomatoes are quite expensive, but I am still going to buy them.”?
- Q3: At what price per kilogram would you say: “These tomatoes are too expensive. I am not going to buy them.”?
- Q4: At what price per kilogram would you say: “These tomatoes are too cheap. I have doubts about the tomatoes’ quality. I am not going to buy them.”?
In part five of the questionnaire, we measured respondents’ problem awareness by obtaining their agreement/disagreement with eleven statements on diversity, breeding, seed exchange, traditional varieties and sensory attributes (see Appendix A Table A1 variable ATT BDIV to ATT STD). In the next part, part six, farmers’ varieties were introduced to all participants, along with a generic label—the Diversifood Label. The information given consisted of two parts: (1) raising awareness about the problem of a highly standardized food system (problem-related information, see Figure 2), (2) farmers’ varieties, as marked by the Diversifood Label, as an idea to solve that problem (solution-related information, see Figure 3).
Subsequently, the information provided was evaluated by asking respondents whether they liked the idea of farmers’ varieties and by having them rank the hypothetical Diversifood Label from 1 (lowest rank = most important) to 10 (highest rank = least important). Respondents who liked the idea of farmers’ varieties were forwarded to part seven, where they were asked the same four PSM questions as listed above, but this time for the farmers’ varieties version of their preferred tomato offer (see Figure 4).
In part eight, the last part of the questionnaire, we obtained the respondents’ sociodemographic characteristics.
3. Results
In the following subsections, we will present the survey results for the whole sample as well as by country and consumer segment. In Section 3.1, we will focus on respondents’ vegetable purchase behavior (including their preferred tomato offer), problem awareness, and approval of farmers’ varieties (solution approval) and show country-specific differences. In Section 3.2, we will describe the four consumer segments with respect to socio-demographic characteristics, vegetable purchase behavior, problem awareness, and approval of farmers’ varieties and show segment-specific differences. In the last subsection, we will then present the WTP for farmers’ varieties for each country by consumer segment.
3.1. Vegetable Purchase Behavior, Problem Awareness, and Approval of Farmers’ Varieties: Total Sample and Country-Specific Differences
Table 2 shows respondents’ vegetable purchase behavior (including their preferred tomato offer), problem awareness, and approval of farmers’ varieties by country. The table is split into nominal and continuous variables.
Table 2.
Country-specific differences in vegetable purchase behavior, problem awareness, and approval of farmers’ varieties.
The average organic purchase frequency (variable ORG PUR), which was measured on a scale from 1 (never) to 6 (very often), was rather high (average value of 4.0), with no relevant differences among countries.
From the nine purchase criteria for vegetables (variables IMP REG through IMP SH/SI), regional and national provenance and taste were the three most important criteria. The least important purchase criteria were traditional/old variety, color, and shape/size. In the midfield were the criteria organic, appearance, and price. However, on the level of the individual countries, there were some significant and relevant differences. For Swiss respondents, both regional and national provenance were the most important criteria and were significantly more important than for the other respondents. In addition, as in France, respondents in Switzerland put significantly less weight on appearance. For Spanish respondents, the taste was by far the most important criterion and was significantly more important than in Switzerland and Italy. Furthermore, regional and national provenance were significantly less important in Spain than in the other three countries. The criterion organic was most important in Italy and least important in Switzerland. The criterion price was most important in Spain and the least important in Switzerland.
From the total of four tomato offers (variable OFFER), respondents strongly preferred tomato offer three (regional offer) and four (organic and regional offer). Among these two offers, the latter was clearly favored, with 34% of the respondents preferring the regional offer and 40% preferring the organic and regional offer. Interestingly, but in line with the findings above, the opposite was true for Switzerland, where 43% preferred the regional offer and 30% the organic and regional offer. Hence, speaking of consumer segments, regional buyers, as well as regional and organic buyers, clearly dominated in all four countries.
The statements, respondents agreed with the most (on a scale from (1) Fully disagree, to (10) Fully agree) were the two statements on breeding (variable ATT BREE1 and variable ATT BREE2) and the statement on appearance (variable ATT APP). Generally, the level of agreement was rather high for most statements and quite similar across countries, except for five statements, which Swiss respondents agreed with significantly less than the other respondents: the statement on marking industrial varieties (for which agreement was highest in Italy) (variable ATT IND), the statement on the availability of traditional and old varieties (variable ATT TRA), the statement on varietal diversity (variable ATT DIV), the statement on taste loss (for which agreement was highest in Spain) (variable ATT TAS), and the statement on standardization (variable ATT STD). Also, the agreement with the statement on agrobiodiversity (ATT ABDIV), which was highest in France, was quite low in Switzerland (but also in Spain). In contrast, the statement Swiss respondents most strongly agreed with, was the one on biodiversity. Hence, if the overall level of agreement per country is interpreted as a country’s level of problem awareness, Switzerland was found to be the country with the lowest problem awareness.
The approval of the idea of farmers’ varieties (variable DFLIKE), which was obtained after the information treatment was provided, was very high in all four countries, with 80% of the total sample liking the idea and 15% partly liking it. In addition, on a ranking scale from 1 (most important) to 10 (least important), the Diversifood Label obtained an average rank of 4.4, which corresponds to medium importance. With a value of 3.8, Italian consumers judged the Diversifood Label as significantly less important than consumers from Switzerland, France, and Spain. With a value of 3.8, the rank was lowest (and the importance highest) for France.
3.2. Sociodemographic Characteristics, Vegetable Purchase Behavior, Problem Awareness, and Approval of Farmers’ Varieties: Segment-Specific Differences
Table 3 shows sociodemographic characteristics, vegetable purchase behavior, problem awareness, and approval of farmers’ varieties for each consumer segment (O1 to O4) in each country. O1 corresponds to non-organic and non-regional buyers (consumer segment one), O2 to organic buyers (consumer segment two), O3 to regional buyers (consumer segment three), and O4 to organic and regional buyers (consumer segment four). The table is again split into nominal and continuous variables.
Table 3.
Segment-specific differences in sociodemographic characteristics, vegetable purchase behavior, problem awareness, and approval of farmers’ varieties for each country.
Consumer segments did not differ with respect to age (variable AGE) or gender (variable GEN), but with respect to education (variable EDUC) and income (variable INC). Both education levels and income levels tended to be lower in segment one and higher in segment four. Furthermore, as expected, segments also differed with respect to their organic purchase frequency. Whereas respondents in segment one indicated to purchase organic products only rarely, respondents in segment three indicated to do so from time to time and respondents in segment two and four to do so often.
The four segments also significantly differed with respect to the purchase criteria importance scores. As expected, regional and national provenance were most important for regional and organic and regional buyers. The criterion taste was significantly more important for non-organic and non-regional buyers than for organic and regional buyers, except for Spain, where taste was equally important for all four consumer segments. Again as expected, the criterion organic was significantly more important for organic buyers and organic and regional buyers. Non-organic and non-regional buyers did not only differ from the other segments with respect to the importance they placed on taste but even more so with respect to the importance, they placed on appearance and price. Except for France, at least one of these two criteria was significantly more important for this segment than for the other three.
As shown in the previous subsection, the criteria traditional/old variety, color, and shape/size were of least importance to the respondents overall. In none of the four countries, not even one of the three criteria reached an average importance score of 34, which is the lower limit for a criterion to be qualified as at least of medium importance. However, on the level of consumer segments, the criterion traditional/old variety reached an average importance of at least 34—that is for organic and regional buyers in Switzerland as well as organic buyers and organic and regional buyers in France. The criteria color and shape/ size did not reach an average importance of at least 34, neither on national nor on the level of consumer segments, however, their importance tended to be higher for segment one than for the other three segments.
The four segments also significantly differed in their agreement with the eleven statements provided. Generally speaking, the level of agreement was higher in segment two and segment four than in segment one and three. Furthermore, the agreement was usually the lowest in segment one and highest in segment four. There were five statements with significant differences among segments in at least three countries. These were the statement on biodiversity, one of the two statements on breeding (variable ATT BREE2), the statement on marking industrial varieties, the statement on traditional and old varieties, and the statement on varietal diversity. The highest average level of agreement was reached in Switzerland for the statement on biodiversity. Organic and regional buyers in Switzerland almost fully agreed that biodiversity was important (average level of agreement = 9.1). For non-organic and non-regional buyers the level of agreement was more than two scale points lower. There was also a large difference in agreement for the statement on marking industrial varieties and the statement on traditional and old varieties. With an average level of agreement of 8.6, organic and regional buyers again almost fully agreed that they wanted to know whether a vegetable was an industrial variety or not. For non-organic and non-regional buyers the average agreement score was more than three scale points lower. For the statement on the availability of traditional and old varieties the average agreement level of organic and regional buyers was also rather high (value of 7.7) and more than two scale points higher than the average agreement level of non-organic and non-regional buyers.
In line with the findings described above, the share of respondents approving of the idea of farmers’ varieties (variable DFLIKE) was significantly higher in segment four and tended to be significantly lower in segment one. However, as stated in the previous subsection, almost all respondents (a share of 95%) at least partly liked the idea. In fact, even though non-organic and non-regional buyers were less likely to approve of the idea (significant only for Switzerland), they were more likely to at least partly approve of it (significant only for Switzerland and Spain). For the hypothetical importance of the Diversifood Label (variable IMP DF), there was hardly any significant difference among segments. Only in Switzerland, the rank of this hypothetical label was significantly lower (indicating higher importance) for segment four than for segment one. This indicates that the problem- and solution-related information, which was provided to consumers before the evaluation of farmers’ varieties, was appealing to a wide range of consumers, independently of the consumer segment.
3.3. Willingness to Pay a Premium for Farmers’ Varieties by Country and Consumer Segment
In this subsection, we present respondents ‘WTP a premium for farmers’ varieties. The premium is calculated by taking the difference between respondents’ WTP for their preferred tomato offer (without Diversifood Label—DF No), representing the baseline, and their WTP for the farmers’ variety version of their preferred tomato offer (with Diversifood Label—DF Yes). Respondents’ WTP a premium is captured by two measures: the difference in average maximum WTP and the difference in the indifference or perceived market price (for explanations see Section 2.1.1). Due to the focus on premiums in this study, we did neither remove nor correct outlying WTP values for the calculation of average maximum WTP.
Table 4 provides an overview of premiums across countries and consumer segments. Since WTP strongly depends on a country’s income and price levels, we only show percentages here. Absolute WTP values can be found in Table A2, Table A3, Table A4 and Table A5 in Appendix B, which are also visualized in Figure A1, Figure A2, Figure A3 and Figure A4 in Appendix B.
Table 4.
Premiums for farmers’ varieties by country and consumer segment.
To begin with, it is important to note that the results depended quite substantially on the WTP measure used. When calculated based on indifference prices, premiums were not only usually higher but also seemed to fluctuate more than when calculated based on average maximum WTP values. This suggests that the average maximum WTP might be a better choice for the calculation of premiums. We, therefore, focus on the premiums based on average maximum WTP here.
Furthermore, it is also important to mention that although premiums are expressed in percentages here, differences across countries could still be attributed to differences in purchasing power. The same holds for differences across consumer segments. This needs to be taken into account when interpreting differences in premiums.
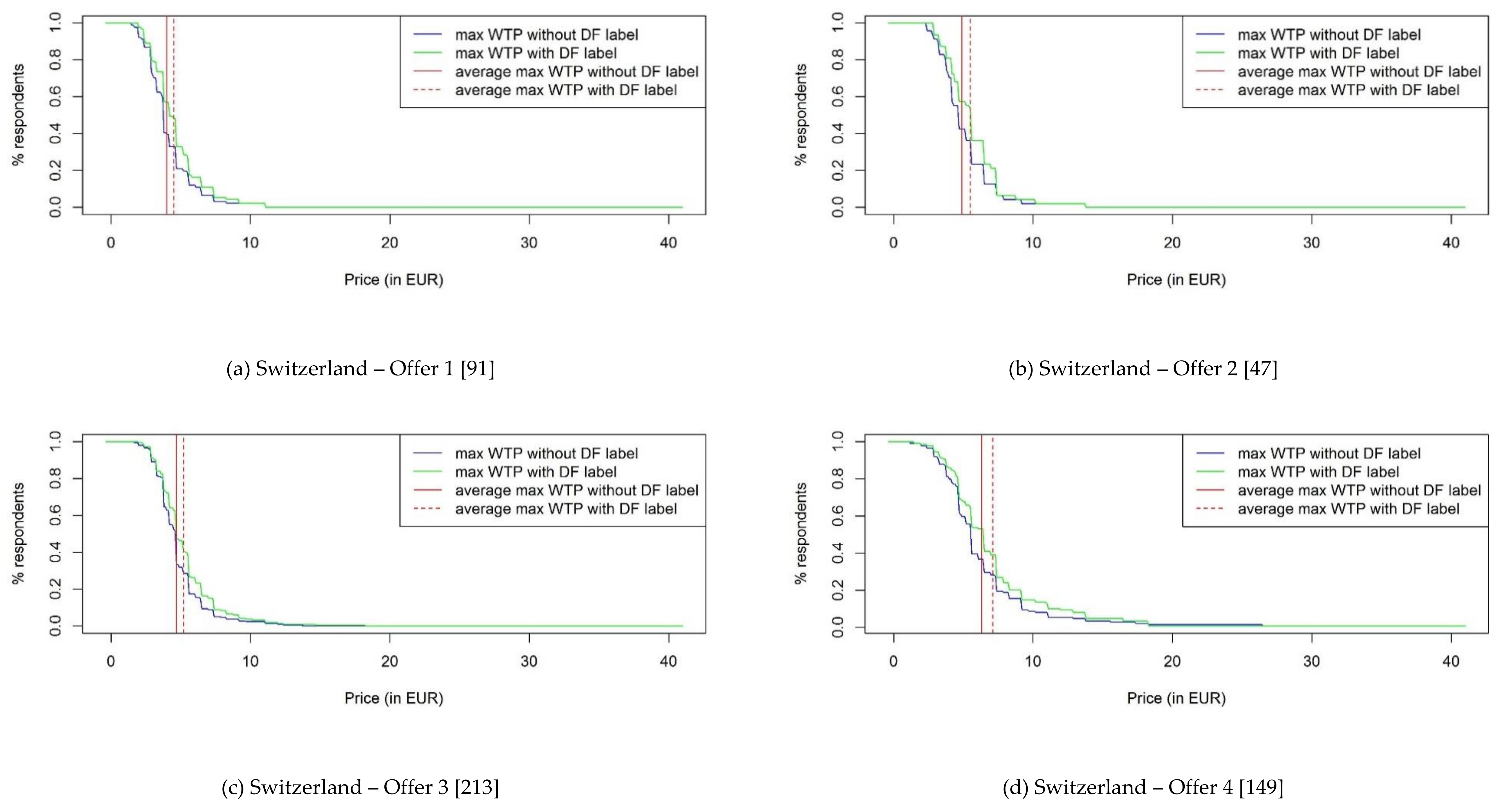
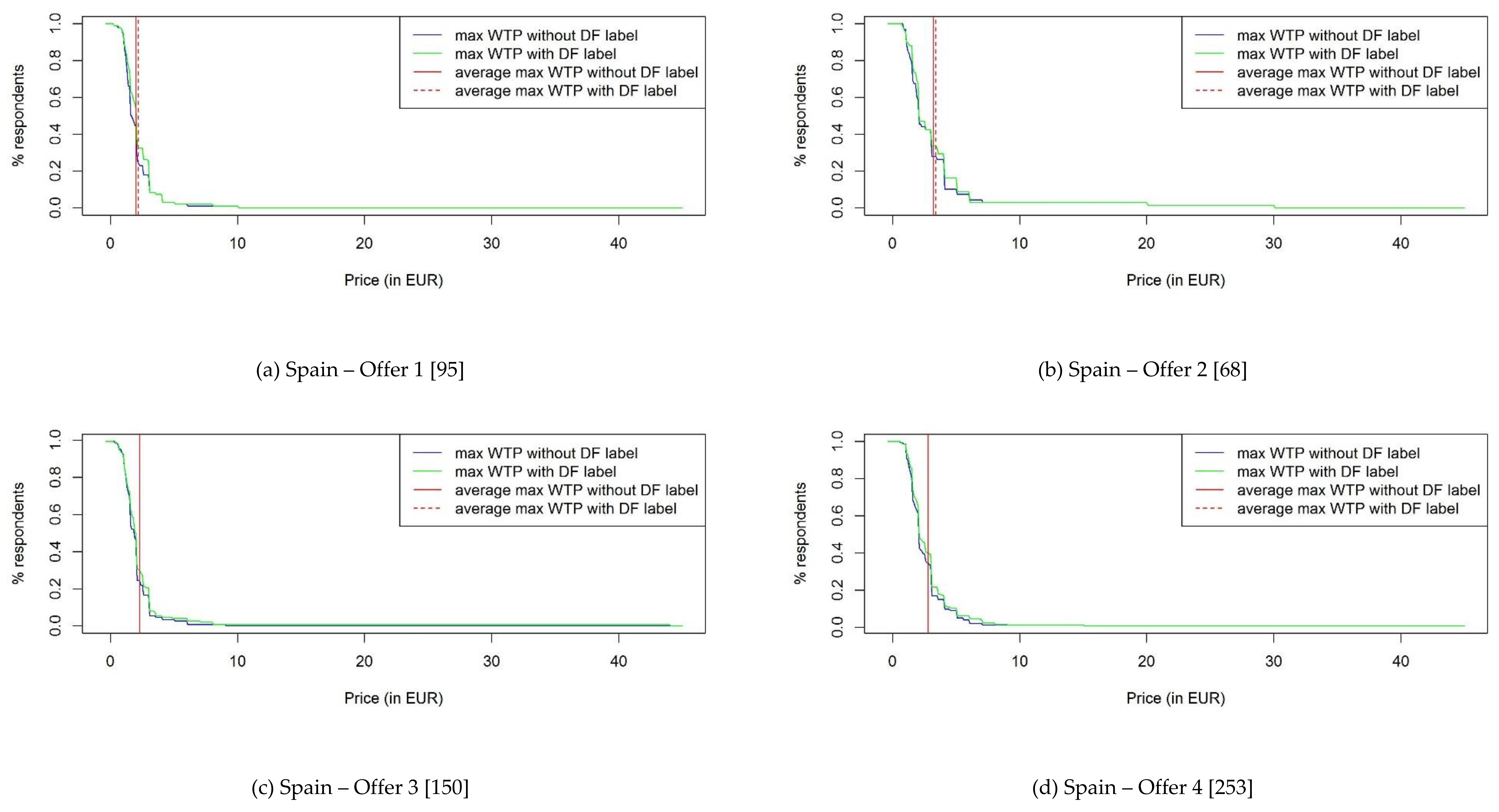
Based on average maximum WTP, premiums ranged between 0% and 13% and were highest in Switzerland for all four consumer segments. The significantly higher premiums in Switzerland are most likely due to Swiss consumers’ greater purchasing power and less likely due to their stronger preference for farmers’ varieties. Hence, this result needs to be interpreted with care. However, what can be stated with more certainty, is that in Switzerland all four segments were willing to pay a significant premium for farmers’ varieties and that the same holds for Segment 1, 3, and 4 in France, Segment 3 and 4 in Italy, and Segment 1 and 2 in Spain. Furthermore, it is also safe to say, that in Spain Segment 3 and 4 were not willing to pay a significant premium. Whether this also holds for Segment 2 in France and Segment 1 and 2 in Italy is less certain, due to the small size of the segments.
4. Discussions
In this study, we investigated whether consumers liked the idea of farmers’ varieties as a means to increase the diversity in the food system and whether they would be willing to pay a premium for farmers’ as compared to standard varieties. After informing respondents about the problem (diversity loss), the solution (on-farm breeding), and the benefits of farmers’ varieties (more diverse, locally adapted, healthy, and tasty products), 80% of the respondents liked the idea and another 15% liked it at least partly. They were also willing to pay a small but significant premium for these varieties. Interestingly, farmers’ varieties, as they were introduced in this study, were not only appealing to consumers with strong preferences for sustainable products (regional and/or organic products) but also for consumers for whom taste, appearance and price were among the most important vegetable purchase criteria.
Premiums for farmer’s varieties were elicited for four different consumer segments per country by comparing their maximum WTP and perceived market price for 1 kg of standard tomatoes and 1 kg of non-standard tomatoes marked as farmers’ varieties. Based on the difference in maximum WTP, significant premiums in Switzerland ranged from 11% to 13% (all four segments), in France from 3% to 9% (excluding organic buyers), in Italy from 4% to 7% (excluding non-organic and non-regional buyers and organic buyers), and in Spain from 6% to 10% (excluding regional and organic and regional buyers). Compared to premiums consumers are willing to pay for organic [51,52] or regional products [53], premiums from 3% to 13% are relatively low. However, they are comparable to the premiums consumers were willing to pay for the feature “traditional variety” in Botelho, Dinis [34] and Dinis, Simoes [27].
Based on these results, we would suggest a premium for farmers’ varieties of about 12% in Switzerland and about 6% in France, Italy, and Spain. However, in France, Italy, and Spain not all consumer segments were willing to pay a premium. Interestingly, even though most respondents liked the idea of farmers’ varieties, this did not translate into the willingness to pay a significant premium in all four segments. Most unexpected was the result, that regional and organic and regional buyers in Spain were not willing to pay a premium for farmers’ varieties, whereas non-organic and non-regional and organic buyers were willing to do so. This result might suggest that Spanish consumers who prefer buying vegetables in their region possibly already profit from locally adapted and particularly tasty varieties and therefore do not attribute an added value to farmers’ varieties. Another explanation could be, that the purchasing power of regional and regional and organic buyers in Spain does not allow another label.
In this study, we also looked at significant differences in the importance of vegetable purchase criteria between countries and consumer segments. These insights are considered valuable for the design of effective marketing strategies that exploit country- and segment-specific differences to further increase consumers’ valuation of farmers’ varieties. For instance, in Switzerland regional and national provenance were not only the most important vegetable purchase criteria (from a total of nine criteria), but they were also significantly more important than in the other three countries. In addition, from a set of four tomato offers presented, Swiss consumers were also the only ones who strongly favored the regional offer (over the organic and regional offer). As shown by other studies, Swiss consumers prefer food from their own country or if possible from their own region and use respective labels as quality or even sustainability cue [54,55,56]. Hence, selling farmers’ varieties on a regional level, possibly as regional-plus products, as they are not only from the region but also locally-adapted, might be very appealing to Swiss consumers.
Another interesting insight was the outstanding importance of Spanish consumers’ placed on taste. Even on the level of consumer segments, taste was the most important purchase criterion for vegetables in Spain. Similar results were found by Botelho, Dinis [34] for consumers in Portugal and Dinis, Simoes [27] in Spain. Hence, particularly in Spain, participatory on-farm breeding schemes could involve consumers at an early stage to make sure that farmers’ varieties match consumers’ expectations on taste. When marketing, taste should be promoted accordingly, including vegetable tasting events.
Interesting was also the finding that Swiss and French consumers placed significantly less importance on vegetables’ appearance. A closer look at consumer segments, however, revealed that it was only organic, regional, and particularly organic and regional consumers in Switzerland and France who cared significantly less about vegetables’ appearance, but not non-organic and non-regional consumers. Hence, there seems to be a correlation between the purchase frequency of organic and regional food and the willingness to accept deficits in appearance. The former is confirmed by previous studies in the US [57,58,59] and the EU [60]. On one hand, this is great news, as farmers’ vegetable varieties come in different, non-standardized shapes, sizes, and colors and might have one or the other cosmetic defect. On the other hand, it indicates that non-organic and non-regional buyers might not be an ideal target group for farmers’ varieties.
Finally, it was also interesting to see that the feature “traditional and old variety”, even though of rather low importance (relative to the other attributes), tended to have greater importance for organic and organic and regional consumers in Switzerland and France. Hence, these two segments might be of particular interest in the marketing of farmers’ varieties. In fact, they also tend to be more aware of the importance of diversity, not only in Switzerland and France but also in Italy and Spain. As environmental concern and health are among the most important drivers of organic food purchase frequency [61,62,63], this result is along the expected lines.
From a methodological point of view, this study faces several limitations. First of all, results are only valid for a supermarket setting. It is likely that consumers would have been willing to pay more in a different setting, for example, one where they feel closer to the producer, like farmers’ markets, box schemes, or specialty stores [33]. In fact, according to Ruiz, García-Martínez [36] traditional tomato cultivars that are sold in local markets can be charged three to six times the price of the hybrid cultivars. Secondly, for the sake of more realistic results, we limited their comparability. That is, the comparability of WTP values across consumer segments was limited, as the segments significantly differed with respect to education and income levels (and possibly other variables, as respondents were not randomly allocated to these segments). Thirdly, consumers had to fully rely on the information provided and were not given the opportunity to verify the information by seeing, smelling, and tasting the products. Also, the label used was generic and not a real one. It is likely that this created some uncertainty and led to lower WTP values [30,31,33].
Future research should further explore consumers’ valuation of farmers’ varieties and for example investigate the impact of different purchase channels as well as target group-specific communication strategies, including for example a label for regional-plus products in Switzerland.
Moreover, if consumers’ WTP for farmers’ varieties stays relatively low, in spite of a high share of consumers liking the idea, policymakers should consider creating a policy framework that is conducive to the development of farmers’ varieties. It has to be acknowledged, that farmers who conserve and use agrobiodiversity in situ, contribute to food security and environmental sustainability [23]. Taking this into account, not only consumers should pay for agrobiodiversity. Complementary, payments for agrobiodiversity conservation and development as well as valorization strategies should be developed. This would include a seed regulation that enhances and promotes crop genetic diversity, incentives to cultivate diverse crop species and varieties, research programs, training and support for actors involved in in-situ conservation and participatory plant breeding and fostering information about the genetic origin of the food. Depending on the context, these measures might support a successful valorization of agrobiodiversity and increased consumer awareness.
Finally, it is important to note that consumers’ WTP more for farmers’ varieties not necessarily translates into more value-added for farmers. Rey, Chable [26] report cases, where there are strong relationships between farmers, processors, and consumers. However, this is not always the case. Therefore, the embedding of crop genetic diversity needs adaptations on all levels of the supply chain [26].
5. Conclusions
Our study suggests that consumers in Europe prefer a food system with more diverse production systems, more autonomy for farmers and more varietal diversity and are, therefore, willing to pay a small but significant premium for so-called farmers’ varieties. Whereas the concept of farmers’ varieties seems to be appealing to a wide range of consumers, the analysis of different consumer segments has shown that target group-specific communication strategies could be worth exploring to further increase consumers’ valuation of these products. The same holds for different marketing modes or channels. However, not only consumers should pay more for farmers’ varieties. Participatory on-farm breeding schemes generate a number of benefits for society at large which is why other policy instruments should also be considered to finance and promote these initiatives. Indeed, based on the findings of the present study policymakers should consider creating a policy framework that is conducive to the development of farmers’ varieties and to the increase of cultivated diversity.
Consumer research in the area of food system diversity, as it is defined in the present study, is scarce. In fact, this is the first study to focus on consumer demand for farmers’ varieties. Hence, further research is needed to explore the marketability of farmers’ varieties.
Author Contributions
Conceptualization, C.M. and B.O.; Data curation, C.M.; Formal analysis, C.M.; Funding acquisition, B.O.; Investigation, C.M.; Methodology, C.M.; Project administration, B.O.; Supervision, B.O.; Visualization, C.M.; Writing—Original draft, C.M.; Writing—Review and editing, C.M. and B.O. All authors have read and agreed to the published version of the manuscript.
Funding
This research has received funding from the European Union’s Horizon 2020 Research and Innovation program under Grant Agreement no 633571.
Acknowledgments
We would like to thank our partners of task 3 work package 5 in the DIVERSIFOOD project for their important contribution to this research.
Conflicts of Interest
The authors declare no conflict of interest.
Appendix A
Table A1.
Variable description.
Table A1.
Variable description.
| Question Number | Variable Name | Scale | Categories/Scale | Meaning |
|---|---|---|---|---|
| S05 | AGE | Continuous | - | Age in number of years |
| S05 | C_AGE | Ordinal | 18–29 | Age classified |
| 30–44 | ||||
| 45–59 | ||||
| 60–79 | ||||
| F410 | GEN | Nominal | FEMALE | Gender |
| MALE | ||||
| F460 | EDUC | Ordinal | LOW | Education classified |
| MEDIUM (MED) | ||||
| HIGH | ||||
| NO ANSWER (NA) | ||||
| F470 | INC | Ordinal | LOW | Income classified |
| MEDIUM (MED) | ||||
| HIGH | ||||
| NO ANSWER (NA) | ||||
| F130B | OFFER | Nominal | Offer without any labels (O1) | Tomato offer chosen |
| Offer with organic label (O2) | ||||
| Offer with regional label (O3) | ||||
| Offer with organic and regional label (O4) | ||||
| F240 | DFLIKE | Nominal | YES | Liking of Diversifood |
| NO | ||||
| PARTLY (PART) | ||||
| DON’T KNOW (DKNOW) | ||||
| F490 | ORG PUR | Continuous | From Never (1) to Very often (6) | Organic food purchasing frequency |
| F120B03 | IMP REG | Continuous | From Least important (1) to Most important (100) | Importance of purchasing criterion when buying vegetables: “produced in your region (as indicated by the brand or a label)” |
| F120B07 | IMP NAT | Continuous | Same as above | …: “produced in your country” |
| F120B06 | IMP TAS | Continuous | Same as above | …: “good taste (as indicated by the brand or a label)” |
| F120B02 | IMP ORG | Continuous | Same as above | …: “organic or pesticide-free (as indicated by the brand or a label)” |
| F120B05 | IMP APP | Continuous | Same as above | …: “impeccable and fresh appearance” |
| F120B04 | IMP PRI | Continuous | Same as above | …: “good price (in relation to other offers of the same vegetable category)” |
| F120B01 | IMP TRA | Continuous | Same as above | …: “traditional, old variety (as indicated by the brand or a label)” |
| F120B08 | IMP COL | Continuous | Same as above | …: “special or unfamiliar color” |
| F120B09 | IMP SH/SI | Continuous | Same as above | …: “special or unfamiliar shape or size” |
| F20006 | ATT BDIV | Continuous | From Fully disagree (1) to Fully agree (10)/Do not know/no answer | Agreement with the following statement: “Diversity of life (= biodiversity) is important.” |
| F20007 | ATT BREE1 | Continuous | Same as above | …: “Farmers should breed their own vegetable varieties and not be dependent on industrially bred varieties.” |
| F20009 | ATT SEED | Continuous | Same as above | …: “Seeds should be free to use for everyone.” |
| F20010 | ATT APP | Continuous | Same as above | …: “Vegetables don’t necessarily have to look pretty, above all they have to be tasty.” |
| F20008 | ATT BREE2 | Continuous | Same as above | …: “The multiplication of seeds should again be in the hands of farmers and not anymore in the hands of a few large multinational firms.” |
| F20005 | ATT ABDIV | Continuous | Same as above | …: “More diversity on the plate means more diversity of life (= biodiversity).” |
| F20011 | ATT IND | Continuous | Same as above | …: “If I buy a vegetable I want to know if it is an industrial variety or not.” |
| F20003 | ATT TRA | Continuous | Same as above | …: “I want to be able to buy traditional and old vegetable varieties.” |
| F20002 | ATT DIV | Continuous | Same as above | …: “Within a vegetable category (e.g., tomatoes or carrots) I want to be able to choose among different varieties that differ with respect to color, shape, taste, etc.” |
| F20004 | ATT TAS | Continuous | Same as above | …: “In the past vegetables used to be much more tasty.” |
| F20001 | ATT STD | Continuous | Same as above | …: “The offer of vegetables is generally very limited and highly standardized.” |
| F280 | IMP DF | Continuous | Rank from Most important (1) to Least important (10) | Importance of Diversifood Label among other nine purchasing criteria in the previous question (including IMP REG, IMP NAT, etc.) (This question was only asked if DFLIKE = YES OR PARTLY |
Appendix B
Table A2, Table A3, Table A4 and Table A5 show the WTP values for each country by consumer segment. In addition, Figure A1, Figure A2, Figure A3 and Figure A4 show the cumulative frequency distributions of respondents’ maximum WTP and the corresponding average values for each country by consumer segment. The blue line represents respondents maximum WTP for their preferred tomato offer, the baseline, and the green line their maximum WTP for the farmers’ variety version of their preferred offer. The unbroken, red line indicates the average value of the former and the dashed, red line the average value of the latter.
Table A2.
Swiss consumers’ willingness to pay by offer (in EUR).
Table A2.
Swiss consumers’ willingness to pay by offer (in EUR).
| Offer 1 [91] 1 (1) | Offer 2 [47] (2) | Offer 3 [213] (3) | Offer 4 [149] (4) | |||||||||||||
|---|---|---|---|---|---|---|---|---|---|---|---|---|---|---|---|---|
| Price Points (In EUR) | DF No (N) | DF Yes (Y) | Diff | %change | DF No | DF Yes | Diff | %change | DF No | DF Yes | Diff | %change | DF No | DF Yes | Diff | %change |
| Average max WTP 2 | 4.00 (4 4) | 4.50 (4) | 0.50 *** 3 (ns) | +13% (ns) | 4.90 (4) | 5.50 (4) | 0.60 *** (ns) | +12% (ns) | 4.70 (4) | 5.20 (4) | 0.50 *** (ns) | +11% (ns) | 6.30 (123) | 7.10 (123) | 0.80 *** (ns) | +13% (ns) |
| Indifference Price 2 | 3.10 | 3.70 | 0.60 | +19% | 3.90 | 4.40 | 0.50 | +13% | 3.80 | 4.10 | 0.30 | +8% | 4.70 | 5.20 | 0.50 | +11% |
1 Numbers in square brackets stand for number of respondents. 2 Average maximum WTP and indifference price are weighted. For respondents who did not like farmers’ varieties, PSM values for farmers’ varieties were assumed the same as for not farmers’ varieties. 3 Indicates whether the difference in average maximum WTP was significant or not. Significance levels: 0.05: *, 0.01: **, 0.001: ***, ns: not significant (according to paired T-test). 4 For numeric variables: The numbers below the mean values indicate whether a value is significantly different from another value, as calculated by a one-way ANOVA. 1: significantly different from offer/segment one, 2: significantly different from offer/segment two, 3: significantly different from offer/segment three, 4: significantly different from offer/segment four, ns: no significant difference.
Figure A1.
The cumulative frequency distributions of maximum WTP and the corresponding average values for Switzerland by consumer segment.
Figure A1.
The cumulative frequency distributions of maximum WTP and the corresponding average values for Switzerland by consumer segment.

Table A3.
French consumers’ willingness to pay by offer (in EUR).
Table A3.
French consumers’ willingness to pay by offer (in EUR).
| Offer 1 [87] 1 | Offer 2 [44] | Offer 3 [170] | Offer 4 [195] | |||||||||||||
|---|---|---|---|---|---|---|---|---|---|---|---|---|---|---|---|---|
| Price Points (In EUR) | DF No | DF Yes | Diff | %change | DF No | DF Yes | Diff | %change | DF No | DF Yes | Diff | %change | DF No | DF Yes | Diff | %change |
| Average max WTP 2 | 2.30 (24 4) | 2.50 (24) | 0.20 ** 3 (ns) | 9% (ns) | 3.50 (1) | 3.50 (1) | 0.00 ns (ns) | 0% (ns) | 2.90 (4) | 3.00 (4) | 0.10 * (ns) | 3% (ns) | 3.50 (13) | 3.70 (13) | 0.20 *** (ns) | 6% (ns) |
| Indifference Price 2 | 1.80 | 2.00 | 0.20 | 11% | 2.60 | 3.00 | 0.40 | 15% | 2.00 | 2.10 | 0.10 | 5% | 2.80 | 3.00 | 0.20 | 7% |
1 Numbers in square brackets stand for number of respondents. 2 Average maximum WTP and indifference price are weighted. For respondents who did not like farmers’ varieties, PSM values for farmers’ varieties were assumed the same as for not farmers’ varieties.3 Indicates whether the difference in average maximum WTP was significant or not. Significance levels: 0.05: *, 0.01: **, 0.001: ***, ns: not significant (according to paired t-test). 4 For numeric variables: The numbers below the mean values indicate whether a value is significantly different from another value, as calculated by a one-way ANOVA. 1: significantly different from offer/segment one, 2: significantly different from offer/segment two, 3: significantly different from offer/segment three, 4: significantly different from offer/segment four, ns: no significant difference.

Figure A2.
The cumulative frequency distributions of maximum WTP and the corresponding average values for France by consumer segment.
Figure A2.
The cumulative frequency distributions of maximum WTP and the corresponding average values for France by consumer segment.


Table A4.
Italian consumers’ willingness to pay by offer (in EUR).
Table A4.
Italian consumers’ willingness to pay by offer (in EUR).
| Offer 1 [63] 1 | Offer 2 [51] | Offer 3 [168] | Offer 4 [223] | |||||||||||||
|---|---|---|---|---|---|---|---|---|---|---|---|---|---|---|---|---|
| Price Points (In EUR) | DF No | DF Yes | Diff | %change | DF No | DF Yes | Diff | %change | DF No | DF Yes | Diff | %change | DF No | DF Yes | Diff | %change |
| Average max WTP 2 | 2.10 (ns 4) | 2.20 (ns) | 0.10 ns 3 (ns) | 5% (ns) | 2.70 (ns) | 2.90 (ns) | 0.20 ns (ns) | 7% (ns) | 2.30 (ns) | 2.40 (ns) | 0.10 *** (ns) | 4% (ns) | 2.70 (ns) | 2.90 (ns) | 0.20 *** (ns) | 7% (ns) |
| Indifference Price 2 | 1.50 | 2.00 | 0.50 | 33% | 2.00 | 2.10 | 0.10 | 5% | 1.60 | 1.90 | 0.30 | 19% | 2.00 | 2.00 | 0.00 | 0% |
1 Numbers in square brackets stand for number of respondents. 2 Average maximum WTP and indifference price are weighted. For respondents who did not like farmers’ varieties, PSM values for farmers’ varieties were assumed the same as for not farmers’ varieties.3 Indicates whether the difference in average maximum WTP was significant or not. Significance levels: 0.05: *, 0.01: **, 0.001: ***, ns: not significant (according to paired t-test). 4 For numeric variables: The numbers below the mean values indicate whether a value is significantly different from another value, as calculated by a one-way ANOVA. 1: significantly different from offer/segment one, 2: significantly different from offer/segment two, 3: significantly different from offer/segment three, 4: significantly different from offer/segment four, ns: no significant difference.

Figure A3.
The cumulative frequency distributions of maximum WTP and the corresponding average values for Italy by consumer segment.
Figure A3.
The cumulative frequency distributions of maximum WTP and the corresponding average values for Italy by consumer segment.


Table A5.
Spanish consumers’ willingness to pay by offer (in EUR).
Table A5.
Spanish consumers’ willingness to pay by offer (in EUR).
| Offer 1 [95]1 | Offer 2 [68] | Offer 3 [150] | Offer 4 [253] | |||||||||||||
|---|---|---|---|---|---|---|---|---|---|---|---|---|---|---|---|---|
| Price Points (In EUR) | DF No | DF Yes | Diff | %change | DF No | DF Yes | Diff | %change | DF No | DF Yes | Diff | %change | DF No | DF Yes | Diff | %change |
| Average max WTP 2 | 2.00 (ns 4) | 2.20 (ns) | 0.20 ** 3 (ns) | 10% (ns) | 3.20 (ns) | 3.40 (ns) | 0.20 ** (ns) | 6% (ns) | 2.30 (ns) | 2.30 (ns) | 0.00 ns (ns) | 0% (ns) | 2.80 (ns) | 2.80 (ns) | 0.00 ns (ns) | 0% (ns) |
| Indifference Price 2 | 1.30 | 1.50 | 0.20 | 15% | 1.90 | 2.00 | 0.10 | 5% | 1.30 | 1.40 | 0.10 | 8% | 1.60 | 1.80 | 0.20 | 13% |
1 Numbers in square brackets stand for number of respondents. 2 Average maximum WTP and indifference price are weighted. For respondents who did not like farmers’ varieties, PSM values for farmers’ varieties were assumed the same as for not farmers’ varieties.3 Indicates whether the difference in average maximum WTP was significant or not. Significance levels: 0.05: *, 0.01: **, 0.001: ***, ns: not significant (according to paired t-test). 4 For numeric variables: The numbers below the mean values indicate whether a value is significantly different from another value, as calculated by a one-way ANOVA. 1: significantly different from offer/segment one, 2: significantly different from offer/segment two, 3: significantly different from offer/segment three, 4: significantly different from offer/segment four, ns: no significant difference.
Figure A4.
The cumulative frequency distributions of maximum WTP and the corresponding average values for Spain by consumer segment.
Figure A4.
The cumulative frequency distributions of maximum WTP and the corresponding average values for Spain by consumer segment.

References
- Hufford, M.B.; Berny Mier y Teran, J.C.; Gepts, P. Crop biodiversity: An unfinished magnum opus of nature. Annu. Rev. Plant Biol. 2019, 70, 727–751. [Google Scholar] [CrossRef] [PubMed]
- Dwivedi, S.L.; Ceccarelli, S.; Blair, M.W.; Upadhyaya, H.D.; Are, A.K.; Ortiz, R. Landrace germplasm for improving yield and abiotic stress adaptation. Trends Plant Sci. 2016, 21, 31–42. [Google Scholar] [CrossRef] [PubMed]
- Ceccarelli, S. Evolution, plant breeding and biodiversity. J. Agric. Environ. Int. Dev. 2009, 103, 131–145. [Google Scholar]
- Biodiversity International. Mainstreaming Agrobiodiversity in Sustainable Food Systems: Scientific Foundations for an Agrobiodiversity Index; Bioversity International Rome: Rome, Italy, 2017. [Google Scholar]
- Diamond, J. The local origins of domestication. In Biodiversity in Agriculture: Domestication, Evolution and Sustainability; Gepts, P., Famula, T.R., Bettinger, R.L., Brush, S.B., Damania, A.B., McGuire, P.E., Qualset, C.O., Eds.; Cambridge University Press: Cambridge, UK, 2012; pp. 9–18. [Google Scholar]
- Jackson, L.E.; Pascual, U.; Hodgkin, T. Utilizing and conserving agrobiodiversity in agricultural landscapes. Agric. Ecosyst. Environ. 2007, 121, 196–210. [Google Scholar] [CrossRef]
- Hammer, K.; Arrowsmith, N.; Gladis, T. Agrobiodiversity with emphasis on plant genetic resources. Naturwissenschaften 2003, 90, 241–250. [Google Scholar] [CrossRef] [PubMed]
- Qualset, C.; McGuire, P.; Warburton, M. In california: Agrobiodiversitykey to agricultural productivity. Calif. Agric. 1995, 49, 45–49. [Google Scholar] [CrossRef]
- Kastler, G.; Moÿ, A.-C. The european union directive on conservation varieties and its incompatibility with on-farm management of plant genetic resources. In Community Biodiversity Management: Promoting Resilience and the Conservation of Plant Genetic Resources, 1st ed.; De Boef, W.S., Subedi, A., Peroni, N., Thijssen, M., O’Keeffe, E., Eds.; Routledge: London, UK, 2013; pp. 366–371. [Google Scholar]
- Gruber, K. Agrobiodiversity: The living library. Nature 2017, 544, S8. [Google Scholar] [CrossRef]
- FAO. The State of the World’s Plant Genetic Resources for Food and Agriculture; Food and Agricultural Organisation of the United Nations: Rome, Italy, 1997; p. 540. [Google Scholar]
- Khoury, C.K. The Conservation and Use of Crop Genetic Resources for Food Security; Wageningen University: Wageningen, The Netherlands, 2015. [Google Scholar]
- Khoury, C.K.; Bjorkman, A.D.; Dempewolf, H.; Ramirez-Villegas, J.; Guarino, L.; Jarvis, A.; Rieseberg, L.H.; Struik, P.C. Increasing homogeneity in global food supplies and the implications for food security. Proc. Natl. Acad. Sci. USA 2014, 111, 4001–4006. [Google Scholar] [CrossRef]
- Frison, E.A.; Cherfas, J.; Hodgkin, T. Agricultural biodiversity is essential for a sustainable improvement in food and nutrition security. Sustainability 2011, 3, 238–253. [Google Scholar] [CrossRef]
- Hajjar, R.; Jarvis, D.I.; Gemmill-Herren, B. The utility of crop genetic diversity in maintaining ecosystem services. Agric. Ecosyst. Environ. 2008, 123, 261–270. [Google Scholar] [CrossRef]
- Brunori, G.; Rossi, A.; D’Amico, S.A.; D’Amico, S. A comprehensive and participatory approach to the valorisation of biodiverse products. In Food Diversity between Rights, Duties and Autonomies; Isoni, A., Troisi, M., Pierri, M., Eds.; Springer: Cham, Switzerland, 2018; pp. 3–22. [Google Scholar]
- Andersen, R. The international treaty on plant genetic resources for food and agriculture: Toward the realization of farmers’ rights as a means of protecting and enhancing crop genetic diversity. In Routledge Handbook of Biodiversity and the Law; Routledge: London, UK, 2017; pp. 135–153. [Google Scholar]
- De Boef, W.S.; Subedi, A.; Peroni, N.; Thijssen, M.; O’Keeffe, E. Community biodiversity management and in situ conservation of plant genetic resources. In Community Biodiversity Management; Routledge: London, UK, 2013; pp. 85–96. [Google Scholar]
- Oehen, B.; Meier, C.; Holzherr, P.; Förster, I. Strategies to Valorise Agrobiodiversity. In Proceedings of the 13th European International Farming Systems Association (IFSA) Symposium, Farming Systems: Facing Uncertainties and Enhancing Opportunities, Chania, Crete, Greece, 1–5 July 2018; International Farming Systems Association (IFSA) Europe: Vienna, Austria, 2018; pp. 1–11. [Google Scholar]
- Bocci, R.; Chable, V. Peasant seeds in europe: Stakes and prospects. J. Agric. Environ. Int. Dev. 2009, 103, 81–93. [Google Scholar]
- Ceccarelli, S.; Grando, S. From participatory to evolutionary plant breeding. Farmers Plant Breed. Curr. Approaches Perspect. 2019, 231. [Google Scholar] [CrossRef]
- Bellon, M.R.; Dulloo, E.; Sardos, J.; Thormann, I.; Burdon, J.J. In situ conservation—Harnessing natural and human-derived evolutionary forces to ensure future crop adaptation. Evol. Appl. 2017, 10, 965–977. [Google Scholar] [CrossRef] [PubMed]
- Jager, M.; van Loosen, I.; Giuliani, A. How have markets affected the governance of agrobiodiversity. In Agrobiodiversity: Integrating Knowledge for a Sustainable Future; Zimmerer, K.S., De Haan, S., Eds.; MIT Press: Cambridge, MA, USA, 2019; pp. 303–319. [Google Scholar]
- Corrado, C.; Elena, T.; Giancarlo, R.; Stefano, C. The role of agrobiodiversity in sustainable food systems design and management. In Genetic Diversity in Horticultural Plants; Springer: Cham, Switzerland, 2019; pp. 245–271. [Google Scholar]
- Lamine, C.; Dawson, J. The agroecology of food systems: Reconnecting agriculture, food, and the environment. Agroecol. Sustain. Food Syst. 2018, 42, 629–636. [Google Scholar] [CrossRef]
- Rey, F.; Chable, V.; Nuijten, E.; Rossi, A.; Oehen, B.; Padel, S.; Andersen, R. Innovative approaches to embed diversity in food systems: Diversfood outcomes from field to plate. Available online: http://www.diversifood.eu/publications/booklets-and-reports/ (accessed on 9 December 2019).
- Dinis, I.; Simoes, O.; Moreira, J. Using sensory experiments to determine consumers’ willingness to pay for traditional apple varieties. Span. J. Agric. Res. 2011, 9, 351–362. [Google Scholar] [CrossRef]
- Hamm, U.; Feindt, P.H.; Wätzold, F.; Wolters, V.; Backes, G.; Bahrs, E.; Brandt, H.; Dempfle, L.; Engels, E.-M.; Engels, J.; et al. Verbraucher Für die Erhaltung der Biologischen Vielfalt in der Landwirtschaft Aktivieren! Wissenschaftlicher Beirat für Biodiversität und Genetische Ressourcen beim BMEL: Bonn, Germany, 2016; p. 9. [Google Scholar]
- Verain, M.; Sijtsema, S.; Dagevos, H.; Antonides, G. Attribute segmentation and communication effects on healthy and sustainable consumer diet intentions. Sustainability 2017, 9, 743. [Google Scholar] [CrossRef]
- Aprile, M.C.; Caputo, V.; Nayga, R.M., Jr. Consumers’ valuation of food quality labels: The case of the european geographic indication and organic farming labels. Int. J. Consum. Stud. 2012, 36, 158–165. [Google Scholar] [CrossRef]
- Brach, S.; Walsh, G.; Shaw, D. Sustainable consumption and third-party certification labels: Consumers’ perceptions and reactions. Eur. Manag. J. 2018, 36, 254–265. [Google Scholar] [CrossRef]
- Weaver, R.D.; Evans, D.J.; Luloff, A. Pesticide use in tomato production: Consumer concerns and willingness-to-pay. Agribusiness 1992, 8, 131–142. [Google Scholar] [CrossRef]
- Balogh, P.; Békési, D.; Gorton, M.; Popp, J.; Lengyel, P. Consumer willingness to pay for traditional food products. Food Policy 2016, 61, 176–184. [Google Scholar] [CrossRef]
- Botelho, A.; Dinis, I.; Lourenço-Gomes, L.; Moreira, J.; Costa Pinto, L.; Simões, O. The role of consumers in agrobiodiversity conservation: The case of traditional varieties of apples in portugal. Agroecol. Sustain. Food Syst. 2018, 42, 796–811. [Google Scholar] [CrossRef]
- Brugarolas, M.; Martínez-Carrasco, L.; Martínez-Poveda, A.; Ruiz-Martínez, J. A competitive strategy for vegetable products: Traditional varieties of tomato in the local market. Span. J. Agric. Res. 2009, 7, 294–304. [Google Scholar] [CrossRef]
- Ruiz, J.J.; García-Martínez, S.; Picó, B.; Gao, M.; Quiros, C.F. Genetic variability and relationship of closely related spanish traditional cultivars of tomato as detected by srap and ssr markers. J. Am. Soc. Hortic. Sci. 2005, 130, 88–94. [Google Scholar] [CrossRef]
- Resano, H.; Sanjuán, A.I. Exploring the role of mountain origin and autochthonous breed on urban consumers’ acceptability. Sustainability 2018, 10, 4423. [Google Scholar] [CrossRef]
- Rocchi, L.; Paolotti, L.; Cortina, C.; Boggia, A. Conservation of landrace: The key role of the value for agrobiodiversity conservation. An application on ancient tomatoes varieties. Agric. Agric. Sci. Procedia 2016, 8, 307–316. [Google Scholar] [CrossRef]
- Tienhaara, A.; Ahtiainen, H.; Pouta, E. Consumers as conservers—Could consumers’ interest in a specialty product help to preserve endangered finncattle? Agroecol. Sustain. Food Syst. 2013, 37, 1017–1039. [Google Scholar] [CrossRef]
- Tyack, N.; Ščasný, M. Social valuation of genebank activities: Assessing public demand for genetic resource conservation in the czech republic. Sustainability 2018, 10, 3997. [Google Scholar] [CrossRef]
- Lauterbach, J.; Bantle, D. (k) ein label für die vielfalt? Verbrauchereinstellungen zur agrobiodiversität. In Proceedings of the Innovatives Denken für eine nachhaltige Land-und Ernährungswirtschaft. Beiträge zur 15. Wissenschaftstagung Ökologischer Landbau, Kassel, Germany, 5–8 March 2019. [Google Scholar]
- Bantle, C.; Hamm, U. Der bezug von verbrauchern zu agrobiodiversität–grundlagen für eine zielgruppengerechte kommunikation. Berichte über Landwirtschaft-Zeitschrift für Agrarpolitik und Landwirtschaft 2014, 92. [Google Scholar] [CrossRef]
- 9 Key-Concepts for Food Diversity. Available online: shorturl.at/hrKMP (accessed on 9 December 2019).
- Lusk, J.L.; Hudson, D. Willingness-to-pay estimates and their relevance to agribusiness decision making. Appl. Econ. Perspect. Policy 2004, 26, 152–169. [Google Scholar] [CrossRef]
- Carson, R.T.; Louviere, J.J. A common nomenclature for stated preference elicitation approaches. Environ. Resour. Econ. 2011, 49, 539–559. [Google Scholar] [CrossRef]
- Carson, R.T.; Groves, T. Incentive and informational properties of preference questions. Environ. Resour. Econ. 2007, 37, 181–210. [Google Scholar] [CrossRef]
- Carson, R.T. Contingent Valuation: A User’s Guide; ACS Publications: Washington, DC, USA, 2000. [Google Scholar]
- Van Westendrop, P.H. Nss Price Sensitivity Meter: A New Approach to Study Consumer Perception of Prices; ESOMAR Congress: Venice, Italy, 1976. [Google Scholar]
- Roll, O.; Achterberg, L.-H.; Herbert, K.-G. Innovative approaches to analyzing the price sensitivity meter: Results of an international comparative study. Laurea Publ. A 72 2010, 181. [Google Scholar]
- Harmon, R.R.; Unni, R.; Anderson, T.R. PICMET’07-2007 Portland International Conference on Management of Engineering & Technology. In Price Sensitivity Measurement and New Product Pricing: A Cognitive Response Approach; IEEE: New York, NY, USA, 2007; pp. 1961–1967. [Google Scholar]
- Janssen, M.; Hamm, U. Product labelling in the market for organic food: Consumer preferences and willingness-to-pay for different organic certification logos. Food Qual. Prefer. 2012, 25, 9–22. [Google Scholar] [CrossRef]
- Vukasovič, T. Consumers’ perceptions and behaviors regarding organic fruits and vegetables: Marketing trends for organic food in the twenty-first century. J. Int. Food Agribus. Mark. 2016, 28, 59–73. [Google Scholar] [CrossRef]
- Fernández-Ferrín, P.; Calvo-Turrientes, A.; Bande, B.; Artaraz-Miñón, M.; Galán-Ladero, M.M. The valuation and purchase of food products that combine local, regional and traditional features: The influence of consumer ethnocentrism. Food Qual. Prefer. 2018, 64, 138–147. [Google Scholar] [CrossRef]
- Lazzarini, G.A.; Visschers, V.H.; Siegrist, M. Our own country is best: Factors influencing consumers’ sustainability perceptions of plant-based foods. Food Qual. Prefer. 2017, 60, 165–177. [Google Scholar] [CrossRef]
- Bolliger, C.; Réviron, S. Consumer Willingness to Pay for Swiss Chicken Meat: An In-Store Survey to Link Stated and Revealed Buying Behaviour. In Proceedings of the 2008 International Congress, Ghent, Belgium, 26–29 August 2008. [Google Scholar]
- Götze, F.; Brunner, T.A. Sustainability and country-of-origin. Br. Food J. 2019. Ahead-of-print. [Google Scholar]
- Goldman, B.J.; Clancy, K.L. A survey of organic produce purchases and related attitudes of food cooperative shoppers. Am. J. Altern. Agric. 1991, 6, 89–96. [Google Scholar] [CrossRef]
- Ravenswaay, E.O.V.; Hoehn, J.P. Consumer Willingness to Pay for Reducing Pesticide Residues in Food: Results of a Nationwide Survey; Michigan State University: East Lansing, MI, USA, 1991. [Google Scholar]
- Lin, B.H.; Payson, S.; Wertz, J. Opinions of professional buyers toward organic produce: A case study of mid-atlantic market for fresh tomatoes. Agribus. An Int. J. 1996, 12, 89–97. [Google Scholar] [CrossRef]
- Torjusen, H.; Sangstad, L.; O’Doherty Jensen, K.; Kjærnes, U. European Consumers’ Conceptions of Organic Food: A Review of Available Research; National Institute for Consumer Research: Oslo, Norway, 2004. [Google Scholar]
- Shafie, F.A.; Rennie, D. Consumer perceptions towards organic food. Procedia Soc. Behav. Sci. 2012, 49, 360–367. [Google Scholar] [CrossRef]
- Naspetti, S.; Zanoli, R. Organic consumption as a change of mind? Exploring consumer narratives using a structural cognitive approach. J. Int. Food Agribus. Mark. 2014, 26, 258–285. [Google Scholar] [CrossRef]
- Zanoli, R.; Naspetti, S. Consumer motivations in the purchase of organic food: A means-end approach. Br. Food J. 2002, 104, 643–653. [Google Scholar] [CrossRef]
© 2019 by the authors. Licensee MDPI, Basel, Switzerland. This article is an open access article distributed under the terms and conditions of the Creative Commons Attribution (CC BY) license (http://creativecommons.org/licenses/by/4.0/).



