Abstract
Addressing the prevailing mode of high-carbon lifestyles is crucial for the transition towards a net-zero carbon society. Existing studies fail to fully investigate the underlining factors of unsustainable lifestyles beyond individual determinants nor consider the gaps between current footprints and reduction targets. This study examines latent lifestyle factors related to carbon footprints and analyzes gaps between decarbonization targets and current lifestyles of major consumer segments through exploratory factor analysis and cluster analysis. As a case study on Japanese households, it estimates carbon footprints of over 47,000 households using expenditure survey microdata, and identifies high-carbon lifestyle factors and consumer segments by multivariate regression analysis, factor analysis, and cluster analysis. Income, savings, family composition, house size and type, ownership of durables and automobiles, and work style were confirmed as determinants of high-footprint Japanese households, with eight lifestyles factors, including long-distance leisure, materialistic consumption, and meat-rich diets, identified as the main contributory factors. The study revealed a five-fold difference between lowest and highest footprint segments, with all segments overshooting the 2030 and 2050 decarbonization targets. The findings imply the urgent need for policies tailored to diverse consumer segments and to address the underlying causes of high-carbon lifestyles especially of high-carbon segments.
1. Introduction
The Paris Agreement requires that society transitions to net-zero carbon by the second half of this century. In addition to direct greenhouse gas (GHG) emissions, such as those caused by using fuels for vehicles and home heating, a variety of products and services are consumed by households, causing indirect GHG emissions throughout the global supply chain. This consumption perspective can be better explained through the use of carbon footprinting, which reveals the total amount of carbon emissions directly and indirectly caused by activities or through the life cycle of products [1]. Existing studies revealed the large contribution of household consumption to GHG emissions, estimated at 58%–72% of the total carbon footprint [2,3], and Japanese household consumption is a major contributor to global GHG emissions—the average carbon footprint is almost 2.7 times larger than the global average [3]. A further study shows that over half of the average Japanese household carbon footprint results from indirect emissions induced through the purchase of products and services, with less than half caused by direct emissions such as from energy use at home [4].
Transitioning towards sustainable lifestyles has been a major focal point of global sustainability policy agenda over the past few decades. The necessity for “encourage[ing] sustainable consumption patterns and lifestyles” was recognized in the United Nations Conference on Environment and Development (Earth Summit) in 1992 [5]. The Sustainable Development Goals (SDGs) adopted targets to “ensure that people everywhere have the relevant information and awareness for sustainable development and lifestyles in harmony with nature” and to “ensure that all learners acquire knowledge and skills needed to promote … sustainable lifestyles,” among other issues [6]. In the context of the climate change policy, transitioning to sustainable lifestyles has also been adopted as part of the strategies towards net-zero carbon societies. The IPCC’s Special Report on the impacts of global warming of 1.5 °C points out that “changes in human behavior and lifestyles are enabling conditions that enhance the feasibility of mitigation and adaptation options for 1.5 °C-consistent systems transitions,” [7]. The European Long-term Strategic Vision for climate-neutral economy emphasizes that “[m]aking the transformation towards a net-zero greenhouse gas economy happen is not just about technologies and jobs [but] about people and their daily lives, about the way Europeans work, transport themselves and live together,” and “[p]ersonal lifestyle choices can make a real difference, while improving quality of life,” [8]. Similarly, Japan’s Long-term Strategy under the Paris Agreement emphasizes “Lifestyle innovation” for shifting the ways of daily living of its citizens towards sustainability [9]. Low-carbon lifestyles can also be enhanced through transition towards a circular economy; e.g., through efficient use of materials by the 3Rs, sharing of vehicles and buildings by ride sharing and co-housing, and reduction of food loss [10]. A previous study suggests that carbon footprints are an effective indicator to track the progress towards the circular economy [11].
The lifestyles of citizens define their consumption patterns—such as the decisions people make on food, housing, mobility, consumer goods, leisure, and communication, which all interact with each other—and therefore act as one of the underlying drivers of unsustainable trends in society [12]. For facilitating the transition towards low-carbon lifestyles, it is important to understand the underlying lifestyle factors of especially high-carbon consumption patterns [13,14] and the implications of the changes required in people’s actual lifestyles [15]. Such factors not only include sociodemographic household characteristics, for example age and gender, but also other factors such as attitudes, beliefs, and consumer choices. An existing study proposed a framework of consumer lifestyles approach that consists of (i) external environmental variables such as culture and technology, (ii) individual determinants such as attitudes, beliefs, and psychological factors, (iii) household characteristics such as household size, income, and location, (iv) consumer choices or purchases, and (v) consequences of resource use and environmental impacts [14]. As lifestyles of citizens vary within, and across countries, analyzing lifestyles and carbon footprints at the national and sub-national levels is crucial [10,16]. This paper addresses the latter, and examines the characteristics of consumer lifestyles using household survey microdata by focusing on household characteristics, patterns of consumer choices, as well as their relationship with environmental impacts in the aforementioned consumer lifestyles framework.
Studies linking household expenditure survey microdata to environmentally extended input–output analysis (EEIOA) have identified some of the major determinants of high-carbon households and revealed a large variation of footprints among different groups of a population. A number of studies identified sociodemographic factors such as income, household size, location, automobile ownership, housing type, and food consumption patterns, and socio-cultural differences as determining variables of footprints [17]. Some studies investigated expenditure survey data to explain footprints by economic factors and quantified expenditure elasticity of environmental impacts in the Netherlands [18] and the United States [19]. Another branch of studies focuses on location and concluded that a more nuanced discussion is necessary regarding the comparison of footprints between rural and urban residents in Germany [20], Finland [21], and the United States [22]. Other studies extended the explanatory variables and examined footprints with age, education, gender, employment, and housing type in the United Kingdom [23]. Such examination of household-level footprints revealed a large, within-country variation among households; for example, at least a 10-fold difference between the lowest and highest footprint households in the United States [19]. These studies are mostly from Europe and North America. In comparison with its counterparts, analysis of Japanese household carbon footprints is limited. Previous research from Japan estimating carbon footprints from an expenditure survey identified differences based on income, household size, and age groups, but the effects from these factors were not quantified [4]. Other research has focused on age, and predicted future changes in carbon footprint due to Japan’s aging society [24]. Another study investigated expenditure, urbanity, employment, house type, age, and education in terms of energy consumption using prefecture-level data but not carbon footprints [25]. Taken in sum, this pointed to the need for further investigation of the determinants of carbon footprints of Japanese households.
As various lifestyle elements are mutually interlinked, an holistic understanding of lifestyles beyond single domains or behaviors is necessary [12,26]. Methodologies applied in the aforementioned studies were mostly limited to multivariate regression analysis, which although helps elucidate the effects of individual variables, involve certain limitations such as the existence of correlations between variables, implying a more thorough approach was needed in model selection and interpretation of multivariate analysis [25]. This shortcoming was highlighted in another study, which concludes that multicollinearity can be an issue, and implies that approaches other than multivariable regression might be appropriate [19]. Furthermore, the underlying factors related to consumer lifestyles are not limited to the sociodemographic household characteristics included as variables in household expenditure surveys typically used for carbon footprint studies of individual households. Expanding the scope of the factors under consideration in order to cross-analyze the patterns of consumer choices and purchases is one way to address this shortcoming. Exploratory factor analysis is a useful data reduction technique to identify unobserved factors based on multiple observed variables and has been widely used in marketing research [27]. It has also been used in sustainability research to identify some of the most relevant factors using a large number of variables to provide meaningful insights into data, and in particular to examine the attitudes and behaviors surrounding pro-environmental behaviors such as energy conservation [28] and recycling [29], as well as pro-environmental behaviors in general [30]. The authors’ literature search revealed no application of exploratory factor analysis for analyzing carbon footprints using microdata to date. This study thus applied exploratory factor analysis to examine the carbon footprints of households and their underlying lifestyle factors.
Due to the diverse nature of consumer lifestyles and resultant climate impacts, it is difficult to comprehend the whole picture if the underlying factors are only studied separately and not considered as being interlinked. Consumer segmentation by clustering based on multivariate survey information has been widely used in marketing research [31], and has recently been applied to researching environmental footprints. A study from the United Kingdom estimated the carbon footprints of major consumer segments based on an existing consumer segmentation model and analyzed a much broader range of predictors [32]. A recent study from Switzerland also applied the clustering method to identify major consumer segments and examined their characteristics in terms of environmental footprints [33]. Other compelling applications of cluster analysis include a study of dietary habits in Canada [34] and Hungary [35], and household appliances in Germany [36], but their scope is limited to particular consumption domains rather than being applicable to the environmental impact of lifestyles as a whole. Combining these two methods of factor analysis and cluster analysis was an approach taken by a previous comparative study, which concluded that using the results of exploratory factor analysis as inputs for cluster analysis improves the quality of clusters [37]. Drawing on this conclusion, the present study thus combines cluster analysis and exploratory factor analysis to examine variations in carbon footprints within a country based on the underlying lifestyle factors.
As regards the wider topic of society managing to operate within planetary boundaries, ‘One Planet Living’ has been suggested from the perspective of lifestyles [38]. A previous study by some of this paper’s authors identified that it would be necessary to reduce household carbon footprints by over 80%–90% for developed countries including Japan by 2050 in order to comply with the 1.5-degree aspirational target of the Paris Agreement [10]. The gaps between the decarbonization target and current consumer lifestyles need to be assessed both at the country level and individual household level because carbon footprints vary across consumer segments. However, existing studies only analyze these gaps at the country level using national average footprints as indicators [10,39]. Further, the aforementioned studies on carbon footprints based on microdata do not analyze current lifestyles of citizens in terms of per-capita footprint targets but instead focus on identifying current characteristics, and further, do not explicitly focus on identifying opportunities for drastic reductions in footprints. This pointed to the need to further examine consumer carbon footprints using household survey microdata from the perspective of gap analysis, while considering the long-term targets.
This study examines the lifestyle-related factors related to high carbon households by multivariate regression analysis and exploratory factor analysis based on the carbon footprints of Japanese households estimated from expenditure survey microdata. It also develops a consumer segmentation model by cluster analysis and examines the gaps between current footprints and mid- to long-term decarbonization targets.
The paper is structured as follows. Section 2 describes the methodology used for estimating carbon footprints of Japanese households, analysis of individual determinants and lifestyle-related latent factors, and consumer segmentation. Section 3 provides an overview of the distribution of carbon footprints among Japanese households, describes the individual determinants and latent factors of high-carbon lifestyles, and gives results of the gap analysis based on consumer segmentation. Section 4 provides a summary of the contributions, recommendations for policymaking, limitations of the present study, and pointers for further research.
2. Materials and Methods
The methodology used in this study included the following steps. First, estimation of the carbon footprints of over 47,000 Japanese households was carried out using expenditure survey microdata, after which the distribution of the carbon footprints among sample households was examined. This was followed by identifying individual determinants of high-carbon households by multivariate regression analysis, then further identifying the most relevant lifestyle factors contributing to carbon footprints in different areas using exploratory factor analysis. Cluster analysis was then used to identify major consumer segments, based on differences in the lifestyle factors. Gaps between current lifestyles of Japanese households and the mid- to long-term per capita carbon footprint targets were then investigated and revealed.
2.1. Estimation of the Carbon Footprints of Japanese Households
Environmentally extended input–output analysis (EEIOA) is a methodology used to estimate the carbon footprint induced by final demand sector, such as household consumption [2,3]. The present study uses a combination of household expenditure survey microdata and EEIOA to estimate the carbon footprints of individual households in the survey samples as proposed in previous studies [18,19,40]. The household expenditure data used in the study were the anonymized microdata of the 2004 National Survey of Family Income and Expenditure (NSFIE) [41] provided by the National Statistics Center, and are the most recent anonymized household expenditure survey microdata available in Japan. The data covers expenditure of more than 300 consumption items along with sociodemographic characteristics of households and their makeup. NSFIE consists of two separate datasets, one for single households and one for multiple-member households, which were combined in the present study to examine all household types in Japan. Sample weights were adjusted considering the length of the survey period in the two datasets.
The carbon intensity of each product or service was obtained by summing up the direct and indirect emissions. The indirect intensity figures were obtained from the global link input–output (GLIO) model, which is a multi-regional EEIOA model with high resolution of sectoral aggregation in Japan [42], the database of which contains the estimated GHG intensity of over 400 goods and services based on categories of the Japanese Input–Output Table as of 2005. The direct GHG emissions of Japan’s household sector were estimated from the emission data included in the Embodied Energy and Emission Intensity Data for Japan Using Input–Output Tables (3EID) database for 2005 [43]. This database contains annual amounts of direct GHG emissions related to the Japanese household sector such as those resulting from the use of fuels for homes and vehicles, as of 2005. To estimate the direct carbon intensity of in terms of monetary unit of household expenditure (Japanese Yen), the annual direct emissions were divided by the relevant household expenditure based on the 2005 Japanese Input–Output Table [44].
The carbon footprints of Japanese households were estimated by multiplying the expenditure from the NSFIE data by the corresponding carbon intensity of GLIO at each product or service level. As consumption item categories in NSFIE and GLIO differed, a concordance matrix was created to match data from the product and service categories of NSFIE and GLIO. The estimated item-level carbon footprints were aggregated to estimate the total footprints for consumption domains and components. However, the footprints estimated from the household expenditure survey are known to be underestimated due to inconsistencies between the social accounting matrix and the survey data [24,45]. This can result from underreporting or misreporting of some expenditure items in the household accounts book survey used in the NSFIE. To address this issue, in this study the calculated footprints were adjusted using the estimated footprints by the household expenditure of the 2005 Japanese Input–Output Table with the carbon intensity of indirect emissions from the GLIO and direct emissions from the 3EID. In other words, the calculated footprints for each item for each household using the NSFIE microdata were adjusted by the proportion of the total carbon footprints of Japanese households based on the 2004 NSFIE to that based on the 2005 Japanese Input–Output Table. Differences in estimates between the years 2004 and 2005 were adjusted by the proportion of the total household expenditure of 2004 to that of 2005 based on the Family Income and Expenditure Survey (FIES), which is an annual national household expenditure survey for which microdata is not available [46].
The consumption domains considered in this study were food, housing, mobility, household goods, leisure, and services, following the existing literature on sustainable consumption and production [3]. Components forming the subcategories under domains were modified from the previous study by some of the authors [10] considering the availability of items in NSFIE. The domain-level footprint data were bottom-coded by winsorizing to address the bias due to underreporting of some items under particular domains. In other words, any values smaller than the first percentile of the domain-level footprints were replaced with values of the first percentile. The per capita carbon footprints were calculated by dividing the household footprints by family size. The descriptive statistics of carbon footprints by domain were calculated considering the sample weights. Furthermore, the distribution of carbon footprints among Japanese households were investigated based on the estimated share of total carbon footprints induced by the population in different percentile groups to the total carbon footprints of Japanese households.
2.2. Analyzing the Individual Determinants of High-Carbon Households by Regression Analysis
The estimated carbon footprints of Japanese households were analyzed using sociodemographic variables of households to understand the determining factors of high-carbon consumer lifestyles. In this analysis, weighted multivariate regression analysis was applied, with the per capita carbon footprint as the dependent variable and the household as a unit of analysis. The independent variables were selected from among the available variables in the NSFIE data and based on the literature review of existing studies. To prepare the data, some of the numeric data were converted into categorical data or vice versa, and some variables were transformed into dummy variables. As some of the information on family members was only available at the family member level, some variables were converted into household level variables. Multiple models were developed using different independent variables: economic (income, savings), sociodemographic (family size, household type, number of household members by age group, age and sex of household head), infrastructure-related variables (metropolitan area, house size, house type, car and motorbike ownership), and other lifestyle and durables ownership (work style, ownership of durable products). Square terms of the age variable were included in the model due to the age-related peak-out effects identified in the previous study [4].
2.3. Analyzing the Lifestyle Factors Contributing to Carbon Footprints in Various Items by Factor Analysis
As discussed in the introduction section, the determining variables of carbon footprints are interrelated, which makes the interpretation of individual variables in the regression analysis difficult. This is why consumer lifestyles need to be examined and understood as a whole, rather than by individual, isolated determinants. Expenditure survey data also has its limitations in terms of the coverage of available variables, and often important information related to consumer lifestyles is not recorded or cannot even be observed. Most of the available variables are static characteristics of households, such as economic, sociodemographic, or infrastructure-related ones. Although the NSFIE dataset contains ownership of durable products and work style, variables considered in the regression models in the previous step are insufficient for a holistic understanding of consumer lifestyles. To overcome this challenge, an exploratory factor analysis was used in this study to identify the major lifestyle factors contributing to the different areas of household carbon footprints.
Exploratory factor analysis is a method to examine the underlying structure of data to identify smaller sets of unobserved factors from the large amount of observed variables. In this study, an exploratory factor analysis by the maximum likelihood method using the correlation matrix was used to extract lifestyle factors that explain the carbon footprints of various consumption components. The variables used for the exploratory factor analysis in this study are carbon footprints at the component level in kgCO2e per capita. The consumption components are categories such as meat, fish, beverages, housing space, electricity, water, public transport, automobiles, furniture, and electronics. The number of factors were determined using parallel analysis [47]. Promax rotation was applied to obtain lifestyle factors that are more interpretable. The identified factors were interpreted and manually labeled based on the factor loadings on component-level footprints. To understand the effects of the factors on overall carbon footprints, weighted multivariate regression analysis was conducted using the factor scores as independent variables and per capita total carbon footprints as dependent variables.
2.4. Identifying Consumer Segments by Cluster Analysis and Analyzing Gaps with Footprint Targets
The consumer segmentation of Japanese households was developed using cluster analysis, and household characteristics on carbon footprints and lifestyles were examined in comparison with the mid- to long-term reduction targets of per capita carbon footprints. In this study, k-means clustering was used as a method to determine consumer segments. This is an unsupervised machine learning method to assign samples into a certain number of clusters based on the statistical distances between cluster centroid and data points. To identify consumer segments based on the characteristics of consumer lifestyles related to carbon footprints, identified factors of consumer lifestyles in the previous step were used as input variables for the cluster analysis. The number of clusters was determined by the elbow method, the weighted mean carbon footprints of each cluster were estimated to understand the variation among major consumer segments, and the identified clusters were manually labeled based on the information on their carbon footprints, lifestyle factors, and household characteristics.
The mid- to long-term per capita targets of carbon footprints were adopted from the previous study by some of the authors [10]. The total per capita footprint targets to be achieved by 2030 and 2050 were assigned into six domains based on the predictive analysis on domain-level carbon footprints. In other words, the per capita footprint for each domain (i.e., food, housing, mobility, household goods, leisure, and services) was predicted by a regression model using total per capita footprint as an independent variable. In the model, the square term was included to consider the non-linear changes, and the intercept was set at zero to avoid inconsistency in the predicted total footprint. The assumption here is that because the total carbon footprint is reduced over time, so too will the footprint allocated to each domain, in accordance with the observed proportion of domain level footprints among the sample households in the NSFIE data. Finally, the current footprint and the 2030 and 2050 targets were compared for each consumer segment in order to understand the gaps in the transition toward low-carbon lifestyles.
3. Results and Discussion
3.1. The Estimated Carbon Footprints of Japanese Households
This study first estimated the carbon footprints of over 47,000 sample households of the NSFIE using its anonymized microdata. The descriptive statistics of the estimated footprints are summarized in Table 1. The weighted mean of the annual carbon footprints was estimated as 7.5 t-CO2e per capita, equivalent to 19.6 t-CO2e per household, which is a figure slightly lower than those of the previous study by some of the authors (7.6 t-CO2e per capita) [10] and lower than the existing study using multi-regional EEIOA (9.0 t-CO2e per capita) [3]. This disparity might be due to the difference in sectoral disaggregation and carbon intensities used. Further, the use of different models to estimate carbon footprints naturally tends to result in a certain level of differences—one comparative study of different MRIO models concluded there was up to 10%–20% disparity for major economies [48]. Furthermore, the adjustment made in this study addressed the tendency of footprints obtained from the NSFIE data to be underestimated in comparison with those estimated by the input–output table reported in a previous study [45].
Table 1.
Descriptive statistics of estimated carbon footprints.
Most of the footprint could be attributable to housing, mobility, and food (74% of the total footprint was from these three domains). This corroborates the importance of these domains highlighted in previous studies [17]. The estimated carbon footprints indicate substantive variations between households across Japan. As the median (6.6 t-CO2e per capita; 17.9 t-CO2e per household) is substantively smaller than the mean (7.5 t-CO2e per capita; 19.6 t-CO2e per household), the distribution of carbon footprints is right-skewed, implying a limited number of consumers have especially high footprints and therefore have an excessive influence on the average carbon footprints. The standard deviation of the estimated total footprint is more than half of the weighted mean. Variations were relatively smaller for the housing and food domains, whereas were larger for other domains such as mobility, leisure, and goods. These differences can be interpreted to mean that some consumers had very large carbon footprints due to moving long distances, purchasing especially large amounts of goods, and enjoying high-carbon leisure activities whereas many other consumers had lifestyles with considerably lower footprints for these domains. On the other hand, most of the country’s population had certain footprints for food and housing in common, partly because nutritional intake and comfortable housing space are basic needs and such needs are mostly satisfied in developed countries like Japan—and even high-footprint households had relatively limited maximum footprints for these domains compared to other domains.
The distribution of carbon footprints among Japanese households was further analyzed based on the estimated carbon footprints of sample households. The results confirmed that the carbon footprints of Japanese households were heavily right-skewed, and a limited share of the population was responsible for a large share of the sum of carbon footprints of households in the country. As illustrated in Figure 1, on the one hand, the top 10% of the population in terms of per capita carbon footprint (population with per capita footprints above 90th percentile) was responsible for 22% of the total carbon footprints of household consumption in Japan, and the top 30% of the population was responsible for almost half, or 48% of the country’s household carbon footprints. On the other hand, the lower 10% (population with per capita footprints below 10th percentile), 30% (below 30th percentile), and 50% (below median) of the population were responsible for only 4%, 16%, and 32% of the total carbon footprints, respectively. This unequal distribution of carbon footprint within the country implies the importance of considering the burden sharing of mitigation actions based on the polluter-pays-principle from the consumption perspective, in relation to the necessity of the drastic decarbonization of per capita carbon footprints discussed in Section 3.4 of this paper. These results show that for reducing carbon footprints of households, high-footprint consumer segments in particular should be addressed, and low-footprint households should not be the first ones to be made responsible for mitigation efforts. This implication is in line with the previous studies on the footprints of low-income household segments [15,16,26].
Figure 1.
Distribution of the carbon footprints among Japanese households. The share of the total carbon footprint of the population between two percentiles to the total carbon footprints of Japanese households. More details are given in Appendix A. N = 47,797.
3.2. The Individual Determinants of High-Carbon Households in Japan
In this study, the individual determinants of high-carbon households in Japan were examined by multivariate regression analysis of the estimated carbon footprints and household characteristics of the NSFIE sample households. The descriptive statistics of the variables used in the analysis are summarized in Table 2 and Table 3. It should be noted that some of the variables, such as income and savings, were top coded as part of the anonymization process in the provided NSFIE microdata.
Table 2.
Descriptive statistics of selected household characteristics (numeric variables).
Table 3.
Descriptive statistics of selected household characteristics (categorical variables).
The results of the weighted multivariate regression analysis with per capita carbon footprints as dependent variable and various household characteristics as independent variables (summarized in Table 4) confirmed that economic affluence and family composition were the determinants of household carbon footprints. According to Model 1, households with incomes higher by 1 million JPY and savings of over 10 million JPY were likely to have per capita footprints larger by 381 kgCO2e and 290 kgCO2e, respectively, with statistical significance (p < 0.001). After controlling for these economic factors, a decrease in one family member was associated with 1925 kgCO2e per capita increase in carbon footprint (p < 0.001). This could be explained by the more efficient use of shared space, products, and activities such as cooking and heating with more people living together. The effects of a decreased family size on carbon footprints imply that the trends of nuclear families and single households in Japan might have adverse impacts on the carbon footprints of Japanese.
Table 4.
Results of the regression analysis of selected variables on carbon footprints.
Consumer lifestyles are expected to differ due to other sociodemographic characteristics, which affect energy use and product purchase behavior and in turn determine carbon footprints. Not only family size but also family composition and age have effects on carbon footprints, as according to Model 2, in comparison with a household comprising a non-elderly couple, a single household was predicted to have a 2330 kgCO2e per capita larger carbon footprint (p < 0.001). In contrast, a child-raising family with two children and a three-generation family with one child and one elderly member were predicted to have 4531 kgCO2e and 4293 kgCO2e per capita smaller carbon footprints, respectively, with statistical significance (p < 0.001). After controlling for other factors, a household with a female household head was likely to have a 120 kgCO2e per capita smaller footprint (p < 0.05). The statistically significant estimated coefficients with a square term indicate that the effects of age on carbon footprints had an inverse-U shape, with a peak at around 56 years old (p < 0.001). These differences reflect the effects from shared space and activities among household members and also different levels of basic needs and lifestyles for younger and older household members. These results confirmed the relevance of income, household size, and age on carbon footprints as revealed in previous studies of carbon footprints in Japan [4], which the present study had built on by quantifying the effects of such determinants.
The infrastructure surrounding the daily living of households, including urbanity, housing, and transport, are also expected to affect the carbon intensity of lifestyles. According to Model 3, after controlling for economic affluence and demographic factors, a household living within the three major metropolitan areas in Japan was likely to have a 318 kgCO2e per capita smaller carbon footprint, with statistical significance (p < 0.001). This could be due to more developed public transport in urban areas, but additional analysis reveals that house and transport-related specific variables explained the carbon footprints better than for residential areas. According to Model 4, households with 10 m2 larger housing space, those within a high-rise apartment and those comprising a detached single house, were associated with 129 kgCO2e, 288 kgCO2e (p < 0.001), and 164 kgCO2e (p < 0.05) per capita higher carbon footprints, respectively. In this model, the effects of the metropolitan area became statistically insignificant, which implies that the effects of residential areas observed in Model 3 were mostly explained by type and size of residence. Furthermore, according to Model 5, after controlling for other factors, a household with one more owned car and motorbike was likely to have a 706 kgCO2e and 143 kgCO2e per capita (p < 0.001) higher carbon footprint, respectively. In this model, the effects of the metropolitan area were opposite to those of Model 3. After controlling for other factors including car and motorbike ownership, a household living in a major metropolitan area was likely to have a 228 kgCO2e per capita higher footprint (p < 0.001). This increased footprint could possibly be explained by more consumption opportunities and consumption-oriented lifestyles that outweigh the savings in carbon emissions from developed public transport and relatively smaller house size. These differences in the effects of urbanity on carbon footprints by model selections were in line with previous studies focusing on rural and urban location, which conclude that not necessarily all urban households are low-carbon but that increased material consumption in urban lifestyles also contributes to larger footprints [20]. These findings confirm the effects of various household characteristics related to urbanity, housing type, and automobile ownership on carbon footprints in previous studies [17] and were also applicable to Japanese households.
Consumer lifestyles and their impacts on carbon footprints can also be explained by work style. According to Model 6, after controlling for income, savings, and other sociodemographic and infrastructure-related factors, compared to non-working households, households with one member working full time and additional members working part time were likely to have 369 kgCO2e (p < 0.001) and 193 kgCO2e per capita (p < 0.05) higher carbon footprints, respectively. Conversely, a household with more than one member working full time was likely to have a 444 kgCO2e per capita smaller footprint (p < 0.001). These differences could be potentially explained by changes in activity level, consumption opportunities, and consumption-oriented lifestyles due to differences in work style. For example, households with only one member working full-time may have work-related emissions such as commuting and socializing with coworkers, but also other household members may enjoy other activities such as leisure and cultural activities. However, households with two or more members working full-time may have fewer opportunities for consumption due to limited free time. Nevertheless, the effects of work should be interpreted in combination with the effects of increased income. One additional person working full-time would usually be associated with a substantial increase in income, the effects of which may outweigh the decreased emissions from limited free time. These results confirm the relevance of time use aspects in terms of the sustainability of lifestyles [49,50,51].
Carbon footprints of consumers can also be explained by ownership of major durable products. Model 7 confirmed that ownership of durable products was associated with higher carbon footprints. After controlling for other factors, households with one more refrigerator, air conditioner, TV, and PC were associated with 358 kgCO2e, 220 kgCO2e (p < 0.001), 49 kgCO2e (p < 0.01), and 360 kgCO2e (p < 0.001) per capita larger footprints. This could be partly explained by the energy requirement to operate these products, but also by the tendency for materialistic consumer lifestyles to have higher carbon footprints overall, as a sum of footprints across all consumption domains. The findings in this study on the impacts of materialistic lifestyles with multiple product ownership confirmed the relevance of ownership of household equipment [36]. To confirm the absence of multicollinearity, the variance influence factor (VIF) test of independent variables was used for each model, which revealed that none of the above models had multicollinearity problems based on the criteria of a VIF not greater than 10.
3.3. The Lifestyle Factors Contributing to Carbon Footprints in Various Consumption Items in Japan
As the individual determinants of high-carbon households in the previous section might not consider the unobserved lifestyle-related factors nor the interrelationships between the individual determinants, this study further examined the characteristics of high-carbon households by the application of exploratory factor analysis to identify the latent factors contributing to variation in carbon footprints for the different consumption items. The most appropriate number of factors was identified as eight by parallel analysis. As a result, various factors related to consumer lifestyles were identified as the factor loadings on the carbon footprints by components summarized in Table 5. Based on these factor loadings, eight factors were manually labeled as shown in Table 6. To understand the contribution of these lifestyle factors on climate change impacts, the effects of the factors on carbon footprints were estimated by weighted multivariate regression analysis using factor scores as independent variables and per capita carbon footprints as the dependent variable. These labels and estimated effects on carbon footprints are summarized in Table 6.
Table 5.
Summary of factor loadings on carbon footprints by component.
Table 6.
Label of lifestyle factors and their relationship with total per capita carbon footprint.
According to the results of the exploratory factor analysis, the factors identified in the analysis covered various aspects of consumer lifestyles including dietary habits, leisure and hobby, home utilities, and product consumption. The factor with the largest impact on climate change was leisure with driving and in-home hobby (Factor 7). Households with high scores for this lifestyle factor tended to enjoy automobile driving and leisure activities outside of home, purchase large amounts of electronics, hobby products, and cooked food with high electricity consumption at home. The second largest high-carbon lifestyle factor was long-distance leisure and outings (Factor 3). Households with high scores for this lifestyle factor were likely to have high footprints from leisure activities and mobility demand including airplane flights, public transport, and automobiles as well as the purchase of large amounts of clothes and cooked food. The third major high-footprint lifestyle factor was materialistic consumption at home (Factor 4). People with high scores for this factor tended to purchase large amounts of consumer goods including clothes, appliances, electronics, and hobby products. They also had a relatively large footprint from the maintenance of housing space. The fourth largest high-carbon factor was home utilities (Factor 5), which was related to larger per capita footprints from the use of home utilities including electricity, fuel, and water.
Three to four lifestyle factors related to dietary habits were also identified in the analysis. Households with meat- and fish-rich diets (Factor 1) tended to purchase more fish and meat with some vegetables, whereas households with lacto-vegetarian diets and essentials (Factor 2) were likely to purchase dairy products and eggs, vegetables, and cereals. This factor also covered purchase of other essential products such as daily necessities. Households with a lifestyle factor featuring beverages, cooked food, and snacks (Factor 6) had a tendency to enjoy beverages, cooked food, and snacks at home. It should be noted that eating and drinking at restaurants was included in the leisure component, so this factor specifically covered drinking and snack intake at home, whereas lifestyles of eating and drinking outside the home were covered by Factors 3 and 7. The remaining factor (Factor 8) had somewhat mixed characteristics and covered other tendencies. Households with this factor tended to use large amounts of fuel at home for heating but might also consume less meat and more fruit and vegetables. These underlying lifestyle factors confirmed the relevance of carbon-intensive leisure activities, car driving, home energy consumption, meat and dairy product consumption [10], and ownership and use of goods [36] for addressing environmental impacts of consumer lifestyles. The identified lifestyle factors were beyond a single product category or domain, as illustrated by a factor referring to car driving, leisure, and product consumption. This cross-cutting nature of lifestyle factors implies the necessity to address consumer lifestyles across different consumption domains, which confirms the importance of policy integrations on sustainable consumption and production between different policy sectors [52].
3.4. Consumer Segments of Japanese Households and Gaps with Footprint Targets by 2030 and 2050
Based on the lifestyle-related factors of high-carbon households identified in the previous section, this study developed a consumer segmentation model and examined the gaps between their carbon footprints and the mid- to long-term carbon footprint targets. In the present study, the 2030 and 2050 per capita targets of carbon footprints for household consumption were adopted from the previous study by some of the authors [10]. The upper and lower bounds of 2030 and 2050 targets are summarized in Table 7. These targets are globally unified per capita consumption based targets in accordance with the review of emission scenarios and in line with the 1.5 and 2 degree targets of the Paris Agreement assuming zero to moderate use of negative emission technologies. The total per capita footprint targets were allocated to domains based on the predictive analysis of domain-level footprints. More details of domain-level footprint prediction are given in Appendix B.
Table 7.
Carbon footprint reduction targets in 2030 and 2050 in tCO2e/cap/year.
The present study applied k-means clustering using the eight lifestyle factors identified in the previous section as input variables. As a result, a consumer segmentation model with 15 household segments was identified as shown in Figure 2. The number of clusters was determined by the elbow method as discussed in Appendix C. The weighted mean per capita footprints in total and by domain, and the weighted share of population for consumer segments are indicated in bar charts. The mean, median, 1st quartile, 3rd quartile, 90th percentile, and 95th percentile per capita footprints of Japanese households as well as 2030 and 2050 targets are also indicated in the reference lines. The identified clusters were manually labeled based on the information of lifestyle factors and household characteristics of the clusters, which are indicated in Appendix C.
Figure 2.
Carbon footprints of consumer segments in Japan. Weighted mean per capita carbon footprint by domain in stacked bar chart by using the products of the household sample weight and family size as weight. Weighted total per capita carbon footprints in number. Population share of clusters in parentheses. Mean, median, 1st quartile, 3rd quartile, 90th percentile, and 95th percentile per capita footprints and 2030 and 2050 targets in reference lines. N = 47,797.
Results reveal a very large range in carbon footprints of Japanese consumer segments. The segments with the highest and second highest footprints were Cluster 1 (small families with very frequent driving and materialistic hobbies), with no less than 24.5 tCO2e per capita and Cluster 2 (small families enjoying material consumption and long-distance leisure) with 20.7 tCO2e per capita. Other consumer segments within the top 10% carbon footprints (cluster with per capita footprints above 90th percentile) were Cluster 3 (rural small families living in large houses with high fuel consumption, 15.5 tCO2e per capita), Cluster 4 (meat and fish lovers enjoying leisure living in large houses with high electricity consumption, 14.5 tCO2e per capita), Cluster 5 (medium-sized families with frequent driving and materialistic hobbies, 14.1 tCO2e per capita), and Cluster 6 (single residents in metropolitan apartments enjoying long-distance leisure and outings, 13.7 tCO2e per capita). These households tended to have multiple characteristics of high-carbon lifestyle factors, such as frequent car driving, long-distance leisure, large houses, meat-rich diets, materialistic consumption, and small family size. Apart from these households, other segments that had carbon footprints higher than the 3rd quartile (11.3–11.9 tCO2e per capita) tended to exhibit fewer characteristics of high-carbon lifestyles, such as moderately high consumption of goods and services or beverage and snack consumption (Cluster 7–8).
The consumer segment with the smallest footprint was Cluster 15 (large families with efficient housing and limited material consumption), with only 4.7 tCO2e per capita. Other household segments that have carbon footprints that are lower than or almost close to average were Cluster 14 (large families with limited material consumption, 5.9 tCO2e per capita) and Cluster 13 (all-round consumers living in small-sized houses, 7.7 tCO2e per capita). These households were either large families with limited materialistic consumption, which could share housing space, energy, and products, or those living in small houses. These households were likely to have lower energy demand and less space for a large number of durables and household goods. Apart from these low-carbon segments, other household segments with footprints above the mean and slightly lower than the 3rd quartile (8.5–8.9 tCO2e per capita) tended to exhibit few characteristics of high-carbon lifestyles, such as inefficient housing, meat consumption, or high home fuel consumption (Cluster 9–11) or combine both characteristics of high- and low-carbon lifestyle factors, such as leisure with cars and a large family (Cluster 12). The household characteristics of clusters summarized in Appendix C confirmed that these clusters were not in poverty or unemployment, which implies that the relatively low-carbon lifestyles of these segments were not only caused by economic factors but other factors including those related to infrastructure and lifestyle-related factors.
This comparison between consumer segments indicates that there was no less than five-fold variation between the highest and lowest footprint consumer segments in Japan. Of the 15 consumer segments, as many as eight were responsible for lifecycle GHG emissions substantially higher than the 3rd quartile, and these consumer segments had carbon footprints that were about 1.5 to 3.3 times larger than average Japanese households. While these segments represented only about one seventh (14%, Cluster 1–8) of the population, about half of the population (50%, Cluster 14–15) had footprints substantially lower than average (only 0.6–0.8 times the average). These results confirmed the existence of a large in-country variation in carbon footprint, similarly with previous studies [19,33], implying that focusing on the country average could easily overlook the extreme carbon-emitting consumer segments, but also revealing that many households have lifestyles with substantially lower carbon footprints.
Comparing the carbon footprints of these segments with 2030 and 2050 targets in Figure 2 reveals that the carbon footprints of Japanese households significantly overshot the targets. None of the identified consumer segments currently had lifestyles compatible with even the upper 2030 targets. The highest footprint segment (Cluster 1, 24.5 tCO2e per capita) was as much as 7.7–9.8 times and 16.3–35.0 times larger than the 2030 and 2050 targets, respectively (upper to lower targets). Even the lowest footprint segment (Cluster 15, 4.7 tCO2e per capita) overshot the 2030 target by 47%–88%, and current footprints were 3.1–6.7 times higher than the 2050 targets (upper to lower targets).
The domain-level carbon footprints of the identified consumer segments, and the 2030 and 2050 reduction targets are illustrated as radar charts in Figure 3. The comparison between targets and current footprints by domain and segment reveals an extremely large overshoot in some domains in several consumer segments, whereas footprints of a few domains in several segments were somewhat close to the upper 2030 target. On the one hand, there were extremely large footprints for mobility in Cluster 1, household goods in Cluster 2, and housing in Clusters 3 and 4 as well as large footprints for every domain in Clusters 1–8. This indicates a significant overshoot compared to any of the 2030 to 2050 targets. On the other hand, the lowest footprint segment, Cluster 15, currently had a lifestyle close to the upper 2030 target at the domain level except for the mobility and housing domains. In addition, carbon footprints from the leisure domain in Clusters 9–12 and 14 were somewhat close to the upper 2030 targets. This examination of domain-level footprints illustrates that some Japanese consumer segments already had low-carbon lifestyles in terms of particular areas of consumption, but the majority of high-carbon segments had a large overshoot with regards to climate change impacts in multiple consumption domains. These findings imply the urgent need to address the extremely high-carbon lifestyles of some Japanese consumers and the possibility that society could learn from some of the low-carbon lifestyle segments, especially in terms of specific lifestyle aspects.
Figure 3.
Targets and current carbon footprints by the consumer segment in Japan in kgCO2e/cap/year.
4. Conclusions
This study estimated the carbon footprints of over 47,000 Japanese households using anonymized microdata of the 2004 National Survey of Family Income and Expenditure (NSFIE). The individual determinants of carbon footprints were examined by multivariate regression analysis, and eight lifestyle factors were identified by exploratory factor analysis based on the carbon footprints of different consumption items. The cluster analysis identified 15 major consumer segments in Japan based on lifestyle factors. Variations in carbon footprints between these segments were examined, and the gaps toward the 2030 and 2050 carbon footprint targets were analyzed.
This study contributed to a better understanding of the underlying lifestyle factors of high-carbon lifestyles based on a case study on Japanese households. In particular, it is the first such study to estimate the effects of sociodemographic and infrastructure-related household characteristics on per capita carbon footprints in Japan. It also reveals the relevance of work style and ownership of durables for carbon footprints. The novel approach adopted in this study also identified the latent lifestyle factors of high-carbon households, such as long-distance leisure, materialistic consumption, and meat-rich diets based on the consumption patterns observed in expenditure survey microdata. Further, the study contributed to a better understanding of the distribution of carbon footprints among consumer segments and the gaps with the long-term decarbonization targets. In particular, to the best of the knowledge of the authors, the present study was a first attempt to examine the gaps of carbon footprints with long-term targets at the consumer segment level.
The findings from this study had the following policy implications. First, the identified high-carbon lifestyle-related factors should be addressed by consumer-oriented mitigation policies such as through awareness raising, financial incentives and disincentives, and providing attractive low-carbon product and service options to households. The holistic analysis conducted in this paper revealed that the high-carbon lifestyle factors were related to more than one product category or domain, such as the factor on frequent driving and materialistic consumption, which imply interlinkages between purchasing, use, and other behaviors of citizens across product categories or domains. This finding suggests the necessity to target the overall aspects of consumer lifestyles rather than specific products or services in consumer-oriented mitigation policies.
Second, the consumer segments and their household characteristics and lifestyle factors identified in this study suggests the necessity to develop policies tailored to diversified consumer segments and their lifestyles. For example, some consumer segments might have higher footprints due to frequent driving and overconsumption of materialistic hobbies, whereas other segments might have higher emissions due to home utilities or carbon-intensive dietary habits. Therefore, awareness raising campaigns or other mitigation programs should not focus on generalized suggestions but should have specific targets with tailored recommendations of low-carbon behaviors. The identified determinants of carbon footprints, such as income, family composition, age, house size and type, ownership of durables, and work style were also useful to identify specific targets for which policies could be tailored.
Third, the large variation in carbon footprints among Japanese households suggests the necessity to urgently address the unsustainable lifestyles of high-carbon segments. The difference between the segments with lowest and highest footprint segments was five-fold, and the mean and total carbon footprints were largely influenced by the limited number of high-carbon segments. This implies that progressive policies such as targeted awareness raising or disincentives focusing on the high-carbon population segments could be effective for reducing the overall carbon footprints in the country. This is also high relevance for designing and orchestrating the transition to a sustainable welfare state, ensuring better wellbeing for everyone without overshooting planetary boundaries.
Finally, the large gaps between the current footprints and the decarbonization targets revealed the huge challenge for most of the consumer segments to reduce carbon footprints in order to comply with the 1.5-degree and 2-degree targets of the Paris Agreement. The analysis in this study revealed that all of the 15 segments overshot even the upper 2030 target, and overshooting was observed for almost all domains across the consumer segments. This suggests the necessity for progressive early actions and policies to enable low-carbon lifestyles on every aspect of lifestyles including both the consumption amounts and the carbon intensities of mobility, housing, food, goods, and leisure and to address the various high-carbon lifestyle factors revealed in this paper.
The analyses in this study had certain limitations due to the nature of the data and methodology. First, the carbon footprints estimated in this study might not capture the seasonal expenses due to the limitation of the data. This study used the anonymized microdata of the 2004 NSFIE, which is the only survey with anonymized microdata available for household expenditure in Japan, and is the most recent. While this household expenditure data was prepared using household bookkeeping records and only covered a limited period of 2–3 months, the target period of the survey (i.e., September to November) was a period with relatively stable expenditure patterns; for example, it did not include extremely hot or cold periods nor a month in which salary bonuses were paid. In this study, total footprints were adjusted using the estimation by the input–output table, so potential differences in terms of total footprints were reduced. However, it should be noted that the breakdown of footprints at the item level might not exactly match the actual situation of seasonal differences. Furthermore, carbon footprints estimated in the study were as of 2004, which is the year of the latest available data for anonymized survey microdata provided by the National Statistics Center.
Second, the carbon footprints estimated in this study might not reflect the differences in commodity prices in different parts of the country or the differences in carbon intensity between products recorded within the same item. The carbon intensity data was obtained from the database of the GLIO model, which does not consider regional differences within Japan. The variation in GHG intensity among products categorized under the same item in the dataset was not considered, nor is the fact that double the expenditure in a certain product group did not necessarily mean carbon emissions from that product group were doubled. Nevertheless, this is a common methodological limitation of the carbon footprint estimation by EEIOA. Estimation based on household consumption data in physical units can address this issue, but such data are not typically available from public statistics at the microdata level. Adjusting the potential biases from this limitation was beyond the scope of this study and could be addressed in future studies.
Finally, this study did not consider people’s time-use or quality of life, as such information could not be obtained from the available microdata with detailed expenditure data in Japan. Although it was confirmed from the data that the low-carbon footprint segments were not necessarily in the impoverished part of the population, the variation in wellbeing between high- and low-carbon consumer segments could not be examined from the dataset used in this study. Therefore, an integrated analysis of carbon footprints, time-use, and wellbeing was out of the scope of this study. However, considering the importance of ensuring a high quality of life within the planetary boundaries, future studies could consider these perspectives to identify some potential ways to live sustainably while increasing wellbeing.
Author Contributions
R.K. developed the methodology, conducted analysis, and drafted this paper. M.L., S.K., and V.T. assisted in developing the methodology, interpretation of the results, and writing of this paper. A.A. contributed to determining the per capita footprint targets. L.A. contributed to the conceptualization of this research.
Funding
This research was funded by the Environment Research and Technology Development Fund (S-16) of the Environmental Restoration and Conservation Agency (Japan), the Finnish Innovation Fund Sitra (Finland), and the KR Foundation (Denmark).
Acknowledgments
The anonymized microdata of the 2004 National Survey of Family Income and Expenditure (NSFIE) was provided by the National Statistics Center for research purpose.
Conflicts of Interest
The authors declare no conflict of interest.
Appendix A
The distribution of estimated carbon footprints among the population by different percentile groups is summarized in Table A1. Here, mean carbon footprints per capita in kgCO2e/year and share of carbon footprints compared to the total carbon footprints of all households in the country are indicated for each population group between two percentiles.
Table A1.
Distribution of carbon footprints by percentile.
Table A1.
Distribution of carbon footprints by percentile.
| Percentile | Break Footprint 1 | Mean Footprint 2 | Footprint Share % 3 | Accumulated % (Top) 4 | Accumulated % (Bottom) 5 |
|---|---|---|---|---|---|
| 100th percentile (Maximum) | 111,703 | ||||
| 16,300 | 21.7% | 21.7% | 100.0% | ||
| 90th percentile | 12,145 | ||||
| 10,843 | 14.4% | 36.1% | 78.3% | ||
| 80th percentile | 9812 | ||||
| 9037 | 12.0% | 48.2% | 63.9% | ||
| 70th percentile | 8363 | ||||
| 7859 | 10.5% | 58.6% | 51.8% | ||
| 60th percentile | 7376 | ||||
| 6960 | 9.3% | 67.9% | 41.4% | ||
| 50th percentile (Median) | 6570 | ||||
| 6223 | 8.3% | 76.2% | 32.1% | ||
| 40th percentile | 5879 | ||||
| 5551 | 7.4% | 83.6% | 23.8% | ||
| 30th percentile | 5237 | ||||
| 4907 | 6.5% | 90.1% | 16.4% | ||
| 20th percentile | 4572 | ||||
| 4225 | 5.6% | 95.7% | 9.9% | ||
| 10th percentile | 3835 | ||||
| 3203 | 4.3% | 100.0% | 4.3% | ||
| 0th percentile (Minimum) | 1049 | ||||
Population-weighted statistics of the estimated carbon footprints of Japanese households in kgCO2e/year/cap by using the product of sample household weight and family size as weight. 1 Footprint per capita for each percentile. 2 Weighted mean footprints of the population between two percentiles. 3 Share of total footprints of the population between two percentiles. 4 Accumulated share counting from the highest footprint. 5 Accumulated share counting from the lowest footprint. N = 47,797.
Appendix B
The per capita targets of carbon footprints by household consumption were allocated to six domains by the predictive models of domain-level footprints assuming that the overall footprint reduction will induce reduction in each domain following the observed differences in the current footprint of Japanese households. The regression models were developed using total per capita carbon footprints as the independent variable and carbon footprints in each domain as the dependent variables. Square terms were included to account for nonlinear changes in the share of footprint by domain. The results are summarized in Table A2. According to adjusted R2 values, total footprint can explain approximately 47% to 88% of domain-level footprints, depending on the domain.
Table A2.
Regression model for predicting domain level carbon footprints.
Table A2.
Regression model for predicting domain level carbon footprints.
| Food | Housing | Mobility | Goods | Leisure | Services | |
|---|---|---|---|---|---|---|
| Footprints | 0.2306 *** (0.00051) | 0.4105 *** (0.00086) | 0.09613 *** (0.0012) | 0.1208 *** (0.00074) | 0.0526 *** (0.00040) | 0.0893 *** (0.00068) |
| (Square Term) | −3.485 × 10−6 *** (2.85 × 10−8) | −5.847 × 10−6 *** (4.80 × 10−8) | 7.755 × 10−6 *** (6.74 × 10−8) | 9.362 × 10−7 *** (4.12 × 10−8) | 5.722 × 10−8 ** (2.20 × 10−8) | 5.831 × 10−7 *** (3.76 × 10−8) |
| Adjusted R2 | 0.869 | 0.883 | 0.624 | 0.618 | 0.474 | 0.508 |
Results of weighted regression analysis with per capita carbon footprints by domain as the dependent variables and total per capita footprints as the independent variable by using the products of the household sample weight and family size as weight. Standard deviations are given in parentheses. Significance level of p < 0.001 ***, 0.01 **, 0.05 * N = 47,797.
Appendix C
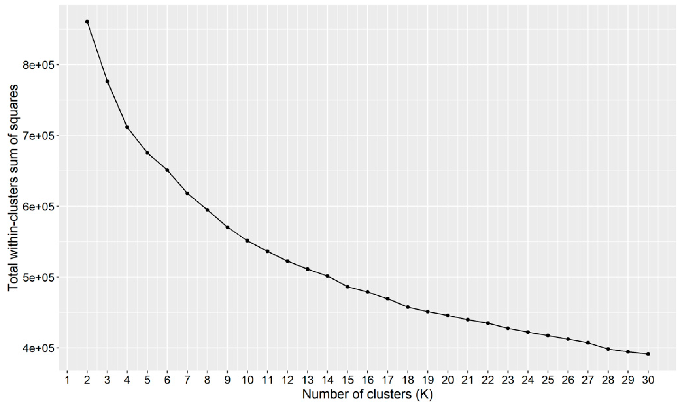
The number clusters (k) in k-means clustering were identified by the elbow method. K-means clustering was iterated from k = 2 to 30, and total within-cluster sum of squares were plotted in Figure A1. Based on the shape of this graph, k = 15 was selected as the number of clusters in this study.
Figure A1.
Elbow graph of total within-cluster sum of squares for k-means clustering.
Figure A1.
Elbow graph of total within-cluster sum of squares for k-means clustering.

Weighted mean of lifestyle factors and household characteristics by cluster were estimated and summarized in Table A3 and Table A4.
Table A3.
Weighted mean of lifestyle factor scores and household characteristics by clusters (numeric variables).
Table A3.
Weighted mean of lifestyle factor scores and household characteristics by clusters (numeric variables).
| Cluster | Factor 1 | Factor 2 | Factor 3 | Factor 4 | Factor 5 | Factor 6 | Factor 7 | Factor 8 | Income | Savings | Family Size | Member Under 18 | Member Over 65 | Member 18 to 64 | Age | House Size | Car | Motorbike | Refrigerator | Air Conditioner | TV | PC |
|---|---|---|---|---|---|---|---|---|---|---|---|---|---|---|---|---|---|---|---|---|---|---|
| 1 | 0.22 | 0.81 | −3.19 | 1.09 | 0.23 | 0.04 | 12.55 | 1.05 | 613 | 1579 | 1.5 | 0.0 | 0.5 | 1.0 | 55.5 | 107.4 | 1.2 | 0.3 | 1.4 | 2.2 | 2.0 | 0.9 |
| 2 | 0.11 | 1.30 | 3.61 | 11.46 | 0.98 | 1.40 | −0.41 | 0.84 | 579 | 1879 | 1.3 | 0.0 | 0.4 | 1.0 | 55.8 | 91.2 | 0.7 | 0.0 | 1.3 | 2.1 | 1.5 | 1.0 |
| 3 | 0.44 | 1.17 | 0.76 | 2.71 | 1.21 | 1.20 | 0.73 | 9.49 | 363 | 1515 | 1.3 | 0.0 | 0.7 | 0.5 | 55.9 | 101.5 | 0.5 | 0.1 | 1.1 | 1.0 | 1.5 | 0.7 |
| 4 | 2.75 | 2.69 | 0.11 | 1.06 | 3.62 | 1.73 | 2.58 | −5.57 | 668 | 2390 | 1.8 | 0.0 | 0.7 | 1.0 | 54.5 | 129.4 | 1.0 | 0.1 | 1.4 | 3.3 | 2.3 | 0.9 |
| 5 | 0.54 | 0.79 | −1.01 | 0.34 | 0.57 | 0.20 | 4.34 | 0.32 | 561 | 1724 | 1.8 | 0.1 | 0.6 | 1.1 | 55.0 | 118.4 | 1.3 | 0.2 | 1.3 | 2.3 | 2.0 | 0.9 |
| 6 | −0.95 | 0.34 | 7.31 | 1.04 | −0.49 | 1.70 | −1.10 | 1.24 | 566 | 1126 | 1.2 | 0.0 | 0.2 | 1.0 | 53.6 | 55.7 | 0.5 | 0.1 | 1.0 | 1.1 | 1.1 | 0.9 |
| 7 | 0.75 | 2.21 | 1.44 | 1.77 | 0.96 | 1.10 | 0.14 | −0.58 | 622 | 2133 | 1.8 | 0.1 | 0.7 | 1.1 | 55.0 | 104.1 | 0.8 | 0.1 | 1.2 | 2.5 | 1.8 | 0.8 |
| 8 | −0.37 | 0.71 | 1.06 | 0.91 | 0.43 | 5.59 | 0.87 | 0.83 | 484 | 939 | 1.3 | 0.0 | 0.3 | 1.0 | 56.0 | 70.6 | 0.7 | 0.2 | 1.0 | 1.3 | 1.4 | 0.7 |
| 9 | 0.40 | 0.28 | −0.19 | 0.23 | 0.18 | 0.01 | 0.15 | 3.07 | 381 | 1252 | 1.7 | 0.0 | 0.9 | 0.8 | 55.4 | 99.9 | 0.8 | 0.1 | 1.2 | 1.4 | 1.7 | 0.4 |
| 10 | 0.34 | 0.14 | −0.02 | −0.03 | 2.70 | 0.15 | −0.47 | 0.13 | 552 | 1319 | 2.3 | 0.2 | 0.8 | 1.3 | 54.3 | 115.1 | 1.0 | 0.2 | 1.3 | 2.4 | 2.1 | 0.8 |
| 11 | 0.89 | 0.62 | −0.35 | −0.13 | 1.06 | 0.17 | 0.65 | −2.84 | 740 | 1614 | 2.8 | 0.4 | 0.5 | 2.0 | 54.7 | 121.4 | 1.4 | 0.2 | 1.3 | 3.0 | 2.3 | 1.1 |
| 12 | 0.03 | −0.15 | −0.62 | −0.23 | −0.23 | −0.11 | 1.13 | 0.26 | 602 | 1354 | 2.6 | 0.3 | 0.7 | 1.6 | 54.1 | 116.2 | 1.5 | 0.2 | 1.3 | 2.2 | 2.1 | 0.9 |
| 13 | −0.59 | 0.13 | 1.23 | 0.45 | −0.34 | 0.52 | −0.97 | 0.91 | 544 | 1199 | 2.1 | 0.3 | 0.4 | 1.4 | 54.3 | 76.5 | 0.8 | 0.1 | 1.1 | 1.6 | 1.6 | 0.9 |
| 14 | −0.20 | −0.26 | −0.14 | −0.43 | −0.23 | −0.39 | −0.57 | −1.02 | 713 | 1123 | 3.8 | 1.1 | 0.4 | 2.3 | 54.4 | 111.6 | 1.5 | 0.2 | 1.2 | 2.5 | 2.2 | 1.1 |
| 15 | −0.72 | −0.93 | −0.16 | −0.54 | −0.96 | −0.72 | −0.90 | 0.63 | 556 | 787 | 3.7 | 1.2 | 0.4 | 2.1 | 54.2 | 99.8 | 1.4 | 0.2 | 1.2 | 1.7 | 1.9 | 0.9 |
Weighted mean by cluster using the household sample weight. N = 47,797.
Table A4.
Weighted share of population, footprints, and household characteristics by cluster (categorical variables).
Table A4.
Weighted share of population, footprints, and household characteristics by cluster (categorical variables).
| Cluster | Population Share | Household Share | Footprint Share | Single | Husband Wife | Child-Raising Family | Single Parent | Three Or More Generations | Other Household | Male | Female | One Full Time Only | Multiple Full-Time | One Full And Part-Time | Part-time Only | Seeking Job Only | Not In Labor Force Only | Metropolitan | Not Metropolitan | Detached | High Rise | Mid Rise | Other House |
|---|---|---|---|---|---|---|---|---|---|---|---|---|---|---|---|---|---|---|---|---|---|---|---|
| 1 | 0.4% | 0.6% | 1.2% | 57% | 32% | 4% | 1% | 1% | 6% | 78% | 22% | 58% | 9% | 4% | 3% | 1% | 26% | 49% | 51% | 68% | 8% | 10% | 14% |
| 2 | 0.5% | 0.9% | 1.3% | 74% | 18% | 4% | 2% | 0% | 2% | 29% | 71% | 57% | 10% | 1% | 6% | 1% | 25% | 63% | 37% | 53% | 22% | 20% | 5% |
| 3 | 0.6% | 1.1% | 1.2% | 78% | 16% | 2% | 1% | 1% | 2% | 47% | 53% | 28% | 4% | 1% | 6% | 2% | 59% | 24% | 76% | 71% | 5% | 3% | 21% |
| 4 | 1.4% | 2.0% | 2.7% | 41% | 41% | 11% | 2% | 1% | 4% | 77% | 23% | 39% | 17% | 3% | 4% | 5% | 32% | 60% | 40% | 83% | 9% | 4% | 4% |
| 5 | 2.8% | 4.1% | 5.3% | 44% | 35% | 12% | 2% | 3% | 5% | 77% | 23% | 36% | 18% | 5% | 4% | 3% | 34% | 40% | 60% | 79% | 5% | 10% | 6% |
| 6 | 1.8% | 4.0% | 3.3% | 83% | 13% | 2% | 0% | 0% | 1% | 77% | 23% | 79% | 5% | 2% | 2% | 0% | 12% | 72% | 28% | 21% | 18% | 33% | 28% |
| 7 | 4.1% | 5.9% | 6.5% | 39% | 41% | 12% | 3% | 1% | 4% | 64% | 36% | 38% | 14% | 5% | 5% | 1% | 37% | 68% | 32% | 67% | 15% | 11% | 7% |
| 8 | 2.5% | 4.9% | 3.7% | 75% | 17% | 4% | 1% | 0% | 1% | 78% | 22% | 63% | 6% | 2% | 4% | 1% | 24% | 54% | 46% | 39% | 13% | 20% | 27% |
| 9 | 4.9% | 7.4% | 5.8% | 49% | 34% | 8% | 2% | 3% | 5% | 62% | 38% | 27% | 10% | 4% | 6% | 2% | 51% | 30% | 70% | 70% | 3% | 10% | 17% |
| 10 | 4.5% | 5.2% | 5.2% | 27% | 35% | 22% | 4% | 6% | 6% | 74% | 26% | 34% | 21% | 7% | 6% | 2% | 31% | 49% | 51% | 79% | 6% | 8% | 6% |
| 11 | 7.1% | 6.6% | 8.2% | 10% | 30% | 40% | 5% | 9% | 7% | 87% | 13% | 32% | 34% | 13% | 4% | 1% | 16% | 57% | 43% | 81% | 7% | 6% | 6% |
| 12 | 9.6% | 9.8% | 10.9% | 20% | 30% | 27% | 4% | 10% | 9% | 86% | 14% | 33% | 29% | 10% | 4% | 2% | 22% | 41% | 59% | 80% | 5% | 8% | 7% |
| 13 | 9.8% | 12.1% | 10.0% | 39% | 24% | 26% | 3% | 4% | 4% | 73% | 27% | 46% | 18% | 8% | 5% | 2% | 21% | 60% | 40% | 44% | 12% | 21% | 24% |
| 14 | 21.9% | 15.2% | 17.1% | 3% | 10% | 63% | 4% | 17% | 4% | 92% | 8% | 35% | 35% | 20% | 3% | 1% | 6% | 54% | 46% | 73% | 10% | 11% | 6% |
| 15 | 28.2% | 20.2% | 17.6% | 8% | 9% | 56% | 5% | 17% | 4% | 88% | 12% | 40% | 30% | 16% | 4% | 2% | 8% | 44% | 56% | 63% | 8% | 16% | 13% |
Weighted mean by cluster using the household sample weight, except for population share, which uses the product of the household sample weight and family size as weight. N = 47,797.
References
- Wiedmann, T.; Minx, J. A Definition of ‘Carbon Footprint’. In Ecological Economics Research Trends; Pertsova, C.C., Ed.; Nova Science Publishers: Hauppauge, NY, USA, 2008; Chapter 1; pp. 1–11. [Google Scholar]
- Hertwich, E.G.; Peters, G.P. Carbon footprint of nations: A global, trade-linked analysis. Environ. Sci. Technol. 2009, 43, 6414–6420. [Google Scholar] [CrossRef] [PubMed]
- Ivanova, D.; Stadler, K.; Steen-Olsen, K.; Wood, R.; Vita, G.; Tukker, A.; Hertwich, E.G. Environmental Impact Assessment of Household Consumption. J. Ind. Ecol. 2016, 20, 526–536. [Google Scholar] [CrossRef]
- Hirano, Y.; Ihara, T.; Yoshida, Y. Estimating residential CO2 emissions based on daily activities and consideration of methods to reduce emissions. Build. Environ. 2016, 103, 1–8. [Google Scholar] [CrossRef]
- United Nations. United Nations Conference on Environment and Development: Agenda 21; United Nations Division for Sustainable Development: New York, NY, USA, 1992. [Google Scholar]
- United Nations. Transforming Our World: The 2030 Agenda for Sustainable Development; United Nations: New York, NY, USA, 2015. [Google Scholar]
- IPCC. Global Warming of 1.5 °C: An IPCC Special Report on the Impacts of Global Warming of 1.5 °C above Pre-Industrial Levels and Related Global Greenhouse Gas Emission Pathways, in the Context of Strengthening the Global Response to the Threat of Climate Change, Sustainable Development, and Efforets to Eradicate Poverty; The Intergovernmental Panel on Climate Change: Geneva, Switzerland, 2018. [Google Scholar]
- European Commission. A Clean Planet for all: A European Strategic Long-Term Vision for a Prosperous, Modern, Competitive and Climate Neutral Economy; European Commission: Brussels, Belgium, 2018. [Google Scholar]
- The Government of Japan. The Long-term Strategy under the Paris Agreement; The Government of Japan: Tokyo, Japan, 2019.
- Akenji, L.; Lettenmeier, M.; Koide, R.; Toivio, V.; Amellina, A. 1.5 Degree Lifestyles: Targets and Options for Reducing Lifestyle Carbon Footprints; Institute for Global Environmental Strategies: Hayama, Japan, 2019. [Google Scholar]
- Fang, K.; Dong, L.; Ren, J.; Zhang, Q.; Han, L.; Fu, H. Carbon footprints of urban transition: Tracking circular economy promotions in Guiyang, China. Ecol. Modell. 2017, 365, 30–44. [Google Scholar] [CrossRef]
- Akenji, L.; Chen, H. A Framework for Shaping Sustainable Lifestyles; United Nations Environment Programme: Nairobi, Kenya, 2016. [Google Scholar]
- Weber, C.; Perrels, A. Modelling lifestyle effects on energy demand and related emissions. Energy Policy 2000, 28, 549–566. [Google Scholar] [CrossRef]
- Bin, S.; Dowlatabadi, H. Consumer lifestyle approach to US energy use and the related CO2 emissions. Energy Policy 2005, 33, 197–208. [Google Scholar] [CrossRef]
- Druckman, A.; Jackson, T. The bare necessities: How much household carbon do we really need? Ecol. Econ. 2010, 69, 1794–1804. [Google Scholar] [CrossRef]
- Hirvilammi, T.; Laakso, S.; Lettenmeier, M.; Lähteenoja, S. Studying Well-being and its Environmental Impacts: A Case Study of Minimum Income Receivers in Finland. J. Hum. Dev. Capab. 2013, 14, 134–154. [Google Scholar] [CrossRef]
- Tukker, A.; Cohen, M.J.; Hubacek, K.; Mont, O. The Impacts of household consumption and options for change. J. Ind. Ecol. 2010, 14, 13–30. [Google Scholar] [CrossRef]
- Kerkhof, A.C.; Nonhebel, S.; Moll, H.C. Relating the environmental impact of consumption to household expenditures: An input-output analysis. Ecol. Econ. 2009, 68, 1160–1170. [Google Scholar] [CrossRef]
- Weber, C.L.; Matthews, H.S. Quantifying the global and distributional aspects of American household carbon footprint. Ecol. Econ. 2008, 66, 379–391. [Google Scholar] [CrossRef]
- Gill, B.; Moeller, S. GHG Emissions and the Rural-Urban Divide. A Carbon Footprint Analysis Based on the German Official Income and Expenditure Survey. Ecol. Econ. 2018, 145, 160–169. [Google Scholar] [CrossRef]
- Ala-Mantila, S.; Heinonen, J.; Junnila, S. Relationship between urbanization, direct and indirect greenhouse gas emissions, and expenditures: A multivariate analysis. Ecol. Econ. 2014, 104, 129–139. [Google Scholar] [CrossRef]
- Jones, C.; Kammen, D.M. Spatial distribution of U.S. household carbon footprints reveals suburbanization undermines greenhouse gas benefits of urban population density. Environ. Sci. Technol. 2014, 48, 895–902. [Google Scholar] [CrossRef] [PubMed]
- Büchs, M.; Schnepf, S.V. Who emits most? Associations between socio-economic factors and UK households’ home energy, transport, indirect and total CO2 emissions. Ecol. Econ. 2013, 90, 114–123. [Google Scholar] [CrossRef]
- Shigetomi, Y.; Nansai, K.; Kagawa, S.; Tohno, S. Changes in the carbon footprint of Japanese households in an aging society. Environ. Sci. Technol. 2014, 48, 6069–6080. [Google Scholar] [CrossRef] [PubMed]
- Lenzen, M.; Wier, M.; Cohen, C.; Hayami, H.; Pachauri, S.; Schaeffer, R. A comparative multivariate analysis of household energy requirements in Australia, Brazil, Denmark, India and Japan. Energy 2006, 31, 181–207. [Google Scholar] [CrossRef]
- Lettenmeier, M.; Hirvilammi, T.; Laakso, S.; Lähteenoja, S.; Aalto, K. Material Footprint of Low-Income Households in Finland-Consequences for the Sustainability Debate. Sustainability 2012, 4, 1426–1447. [Google Scholar] [CrossRef]
- Stewart, D.W. The Application and Misapplication of Factor Analysis in Marketing Research. J. Mark. Res. 1981, 18, 51–62. [Google Scholar] [CrossRef]
- Tewathia, N. Consumption Behaviour and Conservation of Household Electricity in Delhi: A Factor Analysis Approach. Asian Bull. Energy Econ. Technol. 2018, 4, 22–35. [Google Scholar] [CrossRef]
- Oskamp, S.; Harrington, M.J.; Okuda, S.M.; Edwards, T.C.; Sherwood, D.L.; Swanson, D.C. Factors influencing household recycling behavior. Environ. Behav. 1991, 23, 494–519. [Google Scholar] [CrossRef]
- Árnadóttir, Á.; Czepkiewicz, M.; Heinonen, J. The geographical distribution and correlates of pro-environmental attitudes and behaviors in an urban region. Energies 2019, 12, 1540. [Google Scholar] [CrossRef]
- Dolničar, S. Using cluster analysis for market segmentation—Typical misconceptions, established methodological weaknesses and some recommendations for improvement. Australas. J. Mark. Res. 2003, 11, 5–12. [Google Scholar]
- Baiocchi, G.; Minx, J.; Hubacek, K. The Impact of social factors and consumer behavior on carbon dioxide emissions in the United Kingdom. J. Ind. Ecol. 2010, 14, 50–72. [Google Scholar] [CrossRef]
- Froemelt, A.; Dürrenmatt, D.J.; Hellweg, S. Using Data Mining to Assess Environmental Impacts of Household Consumption Behaviors. Environ. Sci. Technol. 2018, 52, 8467–8478. [Google Scholar] [CrossRef]
- Veeramani, A.; Dias, G.M.; Kirkpatrick, S.I. Carbon footprint of dietary patterns in Ontario, Canada: A case study based on actual food consumption. J. Clean. Prod. 2017, 162, 1398–1406. [Google Scholar] [CrossRef]
- Vetoné Mózner, Z. Sustainability and consumption structure: Environmental impacts of food consumption clusters. A case study for Hungary. Int. J. Consum. Stud. 2014, 38, 529–539. [Google Scholar] [CrossRef]
- Teubler, J.; Buhl, J.; Lettenmeier, M.; Greiff, K.; Liedtke, C. A Household’s Burden—The Embodied Resource Use of Household Equipment in Germany. Ecol. Econ. 2018, 146, 96–105. [Google Scholar] [CrossRef]
- Anand, S.; Padmanabham, P.; Govardhan, A. Application of Factor Analysis to k-means Clustering Algorithm on Transportation Data. Int. J. Comput. Appl. 2014, 95, 40–46. [Google Scholar] [CrossRef]
- Desai, P. Creating Low Carbon Communities: One Planet Living Solutions. Globalizations 2008, 5, 67–71. [Google Scholar] [CrossRef]
- Nykvist, B.; Persson, Å.; Moberg, F.; Persson, L.; Cornell, S.; Rockström, J. National Environmental Performance on Planetary Boundaries: A study for the Swedish Environment Protection Agency; The Swedish Environmental Protection Agency: Stockholm, Sweden, 2013; ISBN 9789162065768. [Google Scholar]
- Ihara, T.; Ohashi, T.; Dowaki, K.; Kudoh, Y. Analysis and evaluation of CO2 emissions from consumers’ daily lives (Shouhisha No Seikatsu Koudou Ni Tomonau CO2 Haishutsu No Bunseki To hyouka) [In Japanese]. In Proceedings of the Abstracts for the 4th Meeting of the Institute of Life Cycle Assessment Japan, Kitakyushu, Japan, March 2009; pp. 256–257. [Google Scholar]
- Ministry of Internal Affairs and Communications, Japan. National Survey of Family Income and Expenditure 2004 (Heisei 16 Nen Zenkoku Shouhi Jittai Chousa); Ministry of Internal Affairs and Communications: Tokyo, Japan, 2004.
- Nansai, K.; Kondo, Y.; Kagawa, S.; Suh, S.; Nakajima, K.; Inaba, R.; Tohno, S. Estimates of embodied global energy and air-emission intensities of japanese products for building a Japanese input-output life cycle assessment database with a global system boundary. Environ. Sci. Technol. 2012, 46, 9146–9154. [Google Scholar] [CrossRef]
- National Institute for Environmental Studies. Embodied Energy and Emission Intensity Data for Japan Using Input-Output Tables (3EID); National Institute for Environmental Studies: Tsukuba, Japan, 2005. [Google Scholar]
- Ministry of Internal Affairs and Communications, Japan. Input-Output Tables for Japan 2005 (Heisei 17 Nen Sangyou Renkan Hyou); Ministry of Internal Affairs and Communications: Tokyo, Japan, 2009.
- Ihara, T.; Motose, R.; Kudoh, Y. Consideration of Analysis on CO2 Emissions From Household Expenditure with Input-Output Tables (Sangyou Renkan Hyou Wo Mochiita Kakei Shouhi Sishutsu Ni Tomonau CO2 Haishutsu Kaiseki No Kousatsu) [in Japanese]. In Proceedings of the 37th Annual Meeting of Environmental Systems Research, Tokyo, Japan, October 2009; pp. 267–273. [Google Scholar]
- Ministry of Internal Affairs and Communications. Family Income and Expenditure Survey 2004–2005 (Heise 16-17 Nen Kakei Chousa); Ministry of Internal Affairs and Communications: Tokyo, Japan, 2004–2005.
- Horn, J.L. A rationale and test for the number of factors in factor analysis. Psychometrika 1965, 30, 179–185. [Google Scholar] [CrossRef]
- Moran, D.; Wood, R. Convergence Between the Eora, Wiod, Exiobase, and Openeu’S Consumption-Based Carbon Accounts. Econ. Syst. Res. 2014, 26, 245–261. [Google Scholar] [CrossRef]
- Jalas, M.; Juntunen, J.K. Energy intensive lifestyles: Time use, the activity patterns of consumers, and related energy demands in Finland. Ecol. Econ. 2015, 113, 51–59. [Google Scholar] [CrossRef]
- Buhl, J.; Acosta, J. Work less, do less?: Working time reductions and rebound effects. Sustain. Sci. 2016, 11, 261–276. [Google Scholar] [CrossRef]
- Nässén, J.; Larsson, J. Would shorter working time reduce greenhouse gas emissions? An analysis of time use and consumption in Swedish households. Environ. Plan. C Gov. Policy 2015, 33, 726–745. [Google Scholar] [CrossRef]
- Koide, R.; Akenji, L. Assessment of Policy Integration of Sustainable Consumption and Production into National Policies. Resources 2017, 6, 48. [Google Scholar] [CrossRef]
© 2019 by the authors. Licensee MDPI, Basel, Switzerland. This article is an open access article distributed under the terms and conditions of the Creative Commons Attribution (CC BY) license (http://creativecommons.org/licenses/by/4.0/).


