A System-Approach for Recoverable Spare Parts Management Using the Discrete Weibull Distribution
Abstract
:1. Introduction
2. Materials and Methods: About the Discrete Weibull Distribution
| Target availability of the system at site | |
| Budget constraint of the system at site | |
| I | Total number of items for each machine in the system |
| M | Minimum required number of the machines at site |
| N | Number of the machines at site |
| Market value of the i-th item | |
| Probability of stand-by switching for a cold machine at site | |
| Repair time at site of the i-th item. |
| Continuous Weibull scale parameter | |
| Standard Discrete Weibull shape parameter | |
| Discrete Weibull shape parameter of the i-th item | |
| Estimator of Discrete Weibull shape parameter | |
| Marginal allocation ability gene of the i-th item | |
| Difference between analytic and simulated Expected Backorder for METRIC | |
| Difference between analytic and simulated Expected Backorder for DW-METRIC | |
| Machine availability at site | |
| Availability of the i-th item at site | |
| Availability of the system | |
| Number of in back order of the i-th item because of a stock-out at site | |
| Number of of the i-th item Due-In from repair at site | |
| Expected value of the Discrete Weibull distribution for the ith item | |
| Expected Backorder for the i-th item at site, with respect to stock level | |
| Simulated backorder for the i-th item at site, with respect to stock level | |
| Discrete Weibull cumulative distribution function | |
| Integer number for the estimation of Discrete Weibull’s mean value | |
| Number of on hand of the i-th item, i.e., currently available at site | |
| Continuous Weibull cumulative distribution function | |
| Indicator function for the random variable for the method of proportions | |
| Total number of zeros (0) in the sample | |
| Total number of ones (1) in the sample | |
| Weekly demand of item i-th at time t | |
| Discrete Weibull probability function | |
| Probability distribution of x-th stock Due-In, from repair of the i-th item at site | |
| i | Item number, |
| Yearly demand mean value of the i-th item | |
| n | Total number of observations for a sample demand |
| Probability distribution of zeros in the sample demand | |
| Probability distribution of ones in the sample demand | |
| Standard Discrete Weibull scale parameter | |
| Discrete Weibull scale parameter of the i-th item | |
| Estimator of Discrete Weibull scale parameter | |
| Array of stock level for each item at site, | |
| Stock level of the i-th item at site |
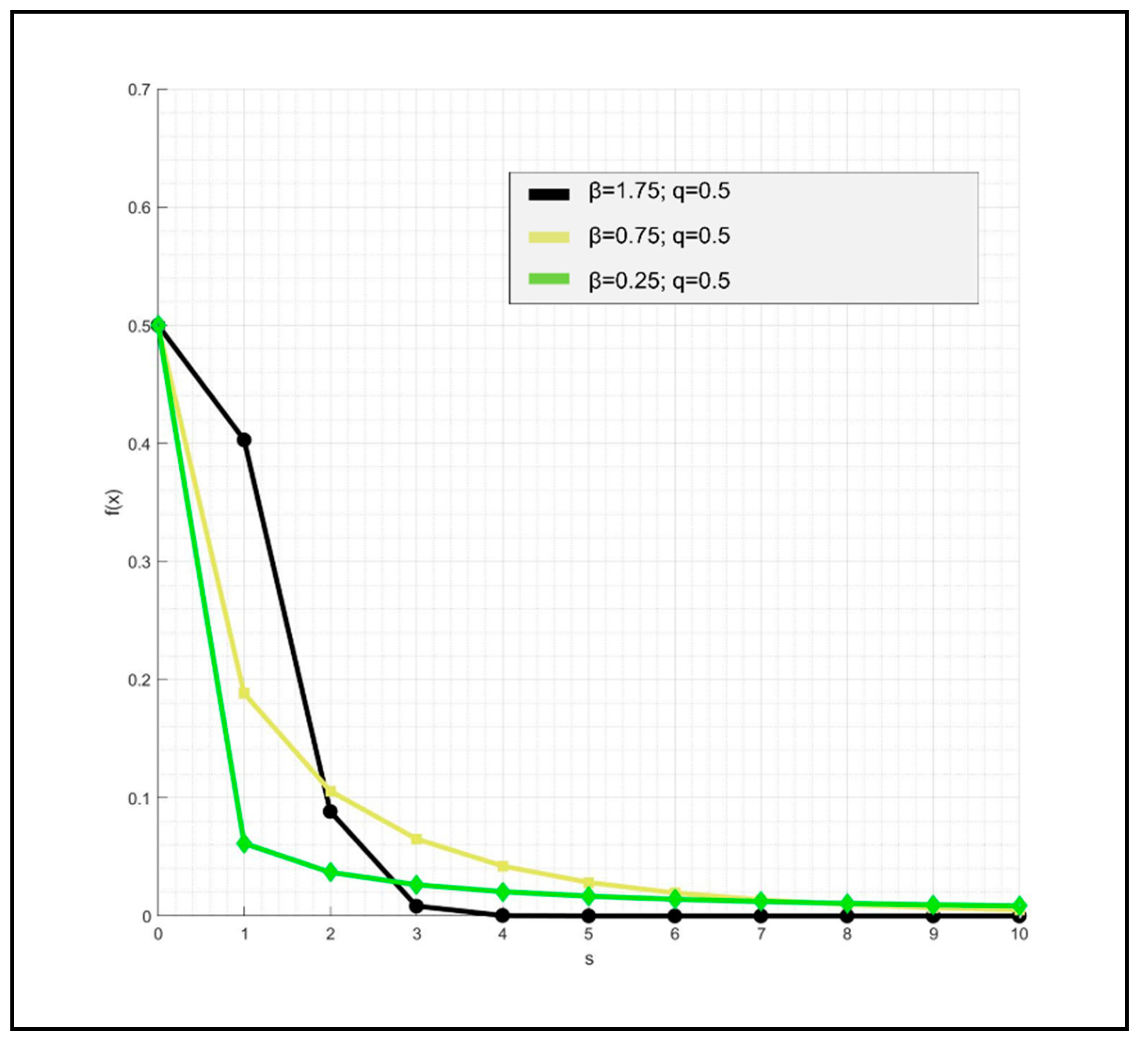
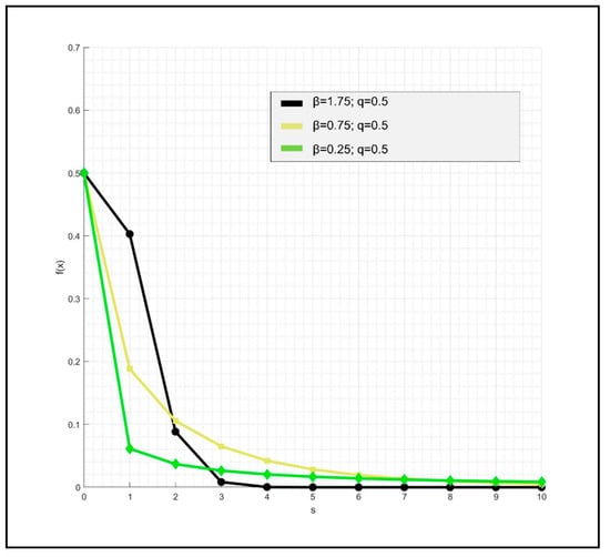
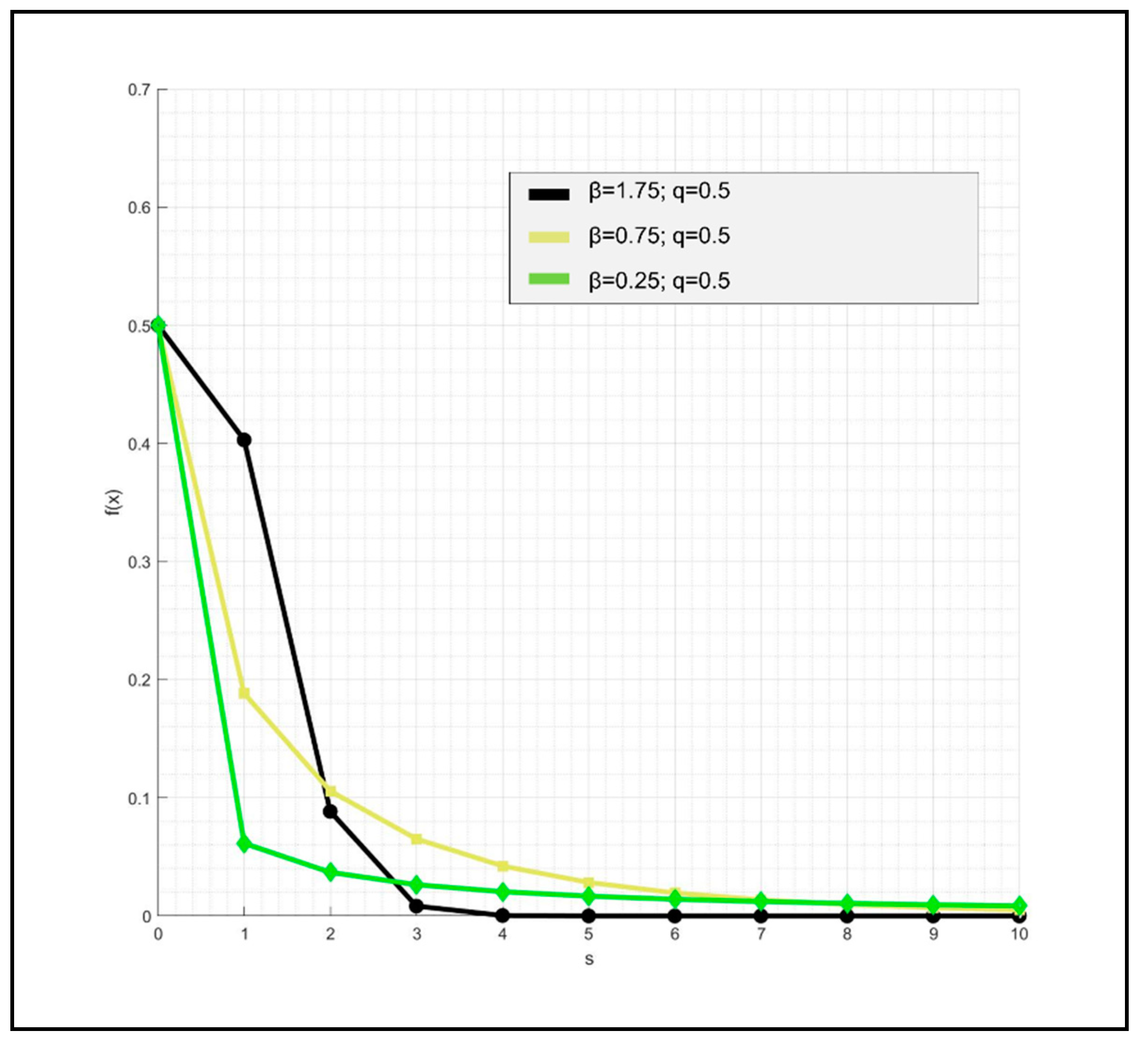
- is the scale parameter
- is the shape parameter
2.1. Method of Proportions
3. Materials and Methods: DW-METRIC
3.1. Single Site Model
- -
- There is only one site, with its own inventory of spare items and its own workshop
- -
- There is only one organization level (single-echelon)
- -
- There are I > 1 different , ,…., (multi-item)
- -
- The failure of a specific happens independently of any other functioning state
- -
- An infinite repair capacity is assumed for each item at the site
- -
- The repair time for are independent and equally-distributed stochastic variables with expected value
3.2. Mathematical Formulation
- represents the number of spare parts of in the site;
- is the number of units on hand , i.e., spare parts currently available in the site;
- is the number of units of stock Due In in base repair;
- (BackOrders) is the number of stocks that is requested but not available on the shelf because of a stock-out.
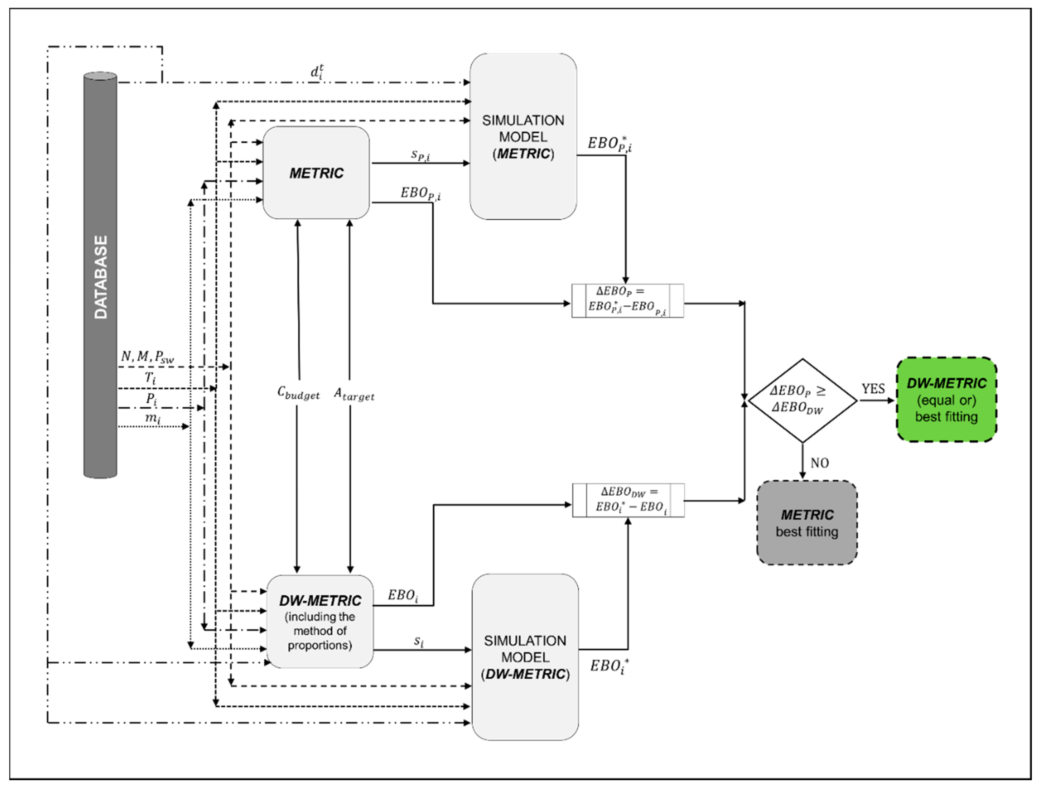
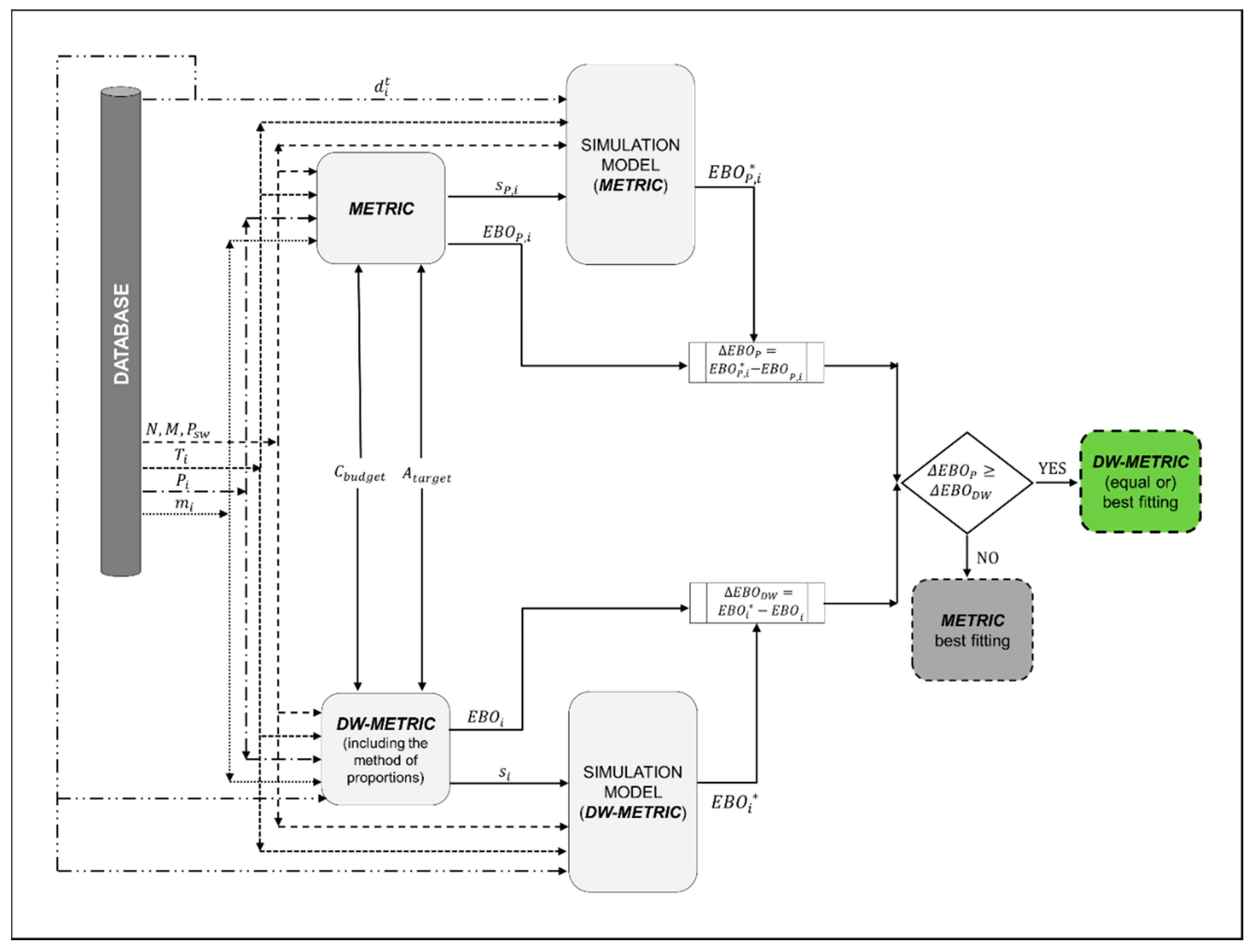
3.3. Optimization Process
4. Results
4.1. Description of the Scenario
4.2. Application Steps of the DW-METRIC
- (1)
- Demand clustering based on .Adapting the Palm theorem, the items demand patterns for each item are firstly clustered in , with the purpose of estimating how many requests might contemporarily arrive to the workshop and thus could generate queues.
- (2)
- Estimation of Discrete Weibull parameters and .Starting from the clustered data, the Discrete Weibull distribution parameters, i.e., and , have been estimated through the method of proportions (see Section 2.1).
- (3)
- Computation of the expected backorder for all LRUs.An estimation of the expected value has been done following the formulation described in (25). To guarantee the effectiveness of this estimation, Englehardt & Li [25] proposed K = 1000, which is generally much higher than the stock level that is expected for the system at hand (average annual demand 11.9 ± 2.5 piece/year). As a consequence, for the case study at hand, the second term of (25) can be neglected, allowing the following approximation (35):Eventually, the expression of EBO (21) becomes (36):
- (4)
- Optimization process.The marginal allocation heuristic originally developed in MATLAB has been used to compute the optimal stock allocations. The input data for the METRIC are the system parameters in Table 1, the repair time of , and the Discrete Weibull parameters and . The algorithm computes the expected backorders based on the best stock allocations of each : a higher contribution to decreasing the expected backorder, compared to the cost required to achieve the result. The heuristic stops only when the system availability has attained the target value , and if respecting the . The outcomes of the METRIC optimization process are the optimum stock allocations , which satisfies the availability constraint and the budget constraint .
4.3. Simulation Model
5. Discussion
6. Conclusions
Author Contributions
Funding
Conflicts of Interest
References
- Sherbrooke, C.C. Optimal Inventory Modeling of Systems: Multi-Echelon Techniques; Springer: Berlin, Germany, 2004; ISBN 1-4020-7849-8. [Google Scholar]
- Sherbrooke, C.C. Metric: A Multi-Echelon Technique for Recoverable Item Control; Rand: Santa Monica, CA, USA, 1968. [Google Scholar]
- Sanchez-Rodrigues, V.; Potter, A.; Naim, M.M. Evaluating the causes of uncertainty in logistics operations. Int. J. Logist. Manag. 2010, 21, 45–64. [Google Scholar] [CrossRef]
- Hillestad, R.J.; Carrillo, M.J. Models and Techniques for Recoverable Item Stockage when Demand and the Repair Process Are Nonstationary—Part I: Performance Measurement; Rand: Santa Monica, CA, USA, 1980. [Google Scholar]
- Graves, S.C. A multi-echelon inventory model for a repairable item with one-for-one replenishment. Manag. Sci. 1985, 31, 1247–1256. [Google Scholar] [CrossRef]
- Costantino, F.; Di Gravio, G.; Patriarca, R.; Petrella, L. Spare parts management for irregular demand items. Omega 2018, 81, 57–66. [Google Scholar] [CrossRef]
- Syntetos, A.A.; Boylan, J.E.; Croston, J.D. On the categorization of demand patterns. J. Oper. Res. Soc. 2005, 56, 495–503. [Google Scholar] [CrossRef]
- Li, Y.; Huang, Z.; Wang, Y.; Fang, B. Evaluating data filter on cross-project defect prediction: Comparison and improvements. IEEE Access 2017. [Google Scholar] [CrossRef]
- Romeijnders, W.; Teunter, R.; Van Jaarsveld, W. A two-step method for forecasting spare parts demand using information on component repairs. Eur. J. Oper. Res. 2012, 220, 386–393. [Google Scholar] [CrossRef]
- Jiangsheng, S.; Sujian, L.; Fanggeng, Z.; Yanmei, L. Research on the Multi-Echelon Inventory Model of Weapon Equipment Repairable Valuable Spare Parts. In Proceedings of the IEEE International Conference on Automation and Logistics (ICAL), Lijang, China, 8–10 August 2007; pp. 662–665. [Google Scholar]
- Nowicki, D.R.; Randall, W.S.; Ramirez-Marquez, J.E. Improving the computational efficiency of metric-based spares algorithms. Eur. J. Oper. Res. 2012, 219, 324–334. [Google Scholar] [CrossRef]
- Yao, Z.; Gao, J.D.; Xing, Z.Y.; Jing, L. Inventory Management Model of Metro Vehicle Repairable Spare Parts Based on METRIC. In Proceedings of the 36th Chinese Control Conference, Dalian, China, 26–28 July 2017; pp. 26–28. [Google Scholar]
- Patriarca, R.; Costantino, F.; Di Gravio, G. Inventory model for a multi-echelon system with unidirectional lateral transshipment. Expert Syst. Appl. 2016, 65, 372–382. [Google Scholar] [CrossRef]
- Patriarca, R.; Costantino, F.; Di Gravio, G.; Tronci, M. Inventory optimization for a customer airline in a performance based contract. J. Air Transp. Manag. 2016, 57, 206–216. [Google Scholar] [CrossRef]
- Xie, M.; Lai, C.D. Reliability analysis using an additive Weibull model with bathtub-shaped failure rate function. Reliab. Eng. Syst. Saf. 1996, 52, 87–93. [Google Scholar] [CrossRef]
- Wang, Y.; Jia, Y.; Jiang, W. Early failure analysis of machining centers: A case study. Reliab. Eng. Syst. Saf. 2001, 72, 91–97. [Google Scholar] [CrossRef]
- Schroeder, B.; Gibson, G. A large-scale study of failures in high-performance computing systems. IEEE Trans. Dependable Secur. Comput. 2010, 7, 337–350. [Google Scholar] [CrossRef]
- Sun, Y.; Hao, X.; Su, Z.; Ren, H. An ordering decision-making approach on spare parts for civil aircraft based on a one-sample prediction. IEEE Access 2018, 6, 27790–27795. [Google Scholar] [CrossRef]
- Manzini, R.; Accorsi, R.; Ferrari, E.; Gamberi, M.; Giovannini, V.; Pham, H.; Persona, A.; Regattieri, A. Weibull vs. normal distribution of demand to determine the safety stock level when using the continuous-review (S, s) model without backlogs. Int. J. Logist. Syst. Manag. 2016, 24, 298–332. [Google Scholar]
- Nakagawa, T.; Osaki, S. The discrete Weibull distribution. IEEE Trans. Reliab. 1975, R-24, 300–301. [Google Scholar] [CrossRef]
- Inoue, S.; Yamada, S. Software Reliability Growth Modeling with Discrete Weibull Software Failure-Occurrence Times Distribution. In Proceedings of the 12th ISSAT International Conference on Reliability and Quality in Design, Chicago, IL, USA, 3–5 August 2006; pp. 42–46. [Google Scholar]
- Hosokawa, Y.; Inoue, S.; Yamada, S. Discrete Software Reliability Modeling Based on a Discrete Modified Weibull Distribution. In Proceedings of the 22nd ISSAT International Conference on Reliability and Quality in Design, Los Angeles, CA, USA, 4–6 August 2016; pp. 176–180. [Google Scholar]
- Jazi, M.A.; Lai, C.-D.; Alamatsaz, M.H. A discrete inverse Weibull distribution and estimation of its parameters. Stat. Methodol. 2010, 7, 121–132. [Google Scholar] [CrossRef]
- Ali Khan, M.S.; Khalique, A.; Abouammoh, A.M. On estimating parameters in a discrete Weibull distribution. IEEE Trans. Reliab. 1989, 38, 348–350. [Google Scholar] [CrossRef]
- Englehardt, J.D.; Li, R. The discrete Weibull distribution: An alternative for correlated counts with confirmation for microbial counts in water. Risk Anal. 2011, 31, 370–381. [Google Scholar] [CrossRef]
- Barbiero, A. Parameter estimation for type III discrete Weibull distribution: A comparative study. J. Probab. Stat. 2013, 2013. [Google Scholar] [CrossRef]
- Kulasekera, K.B. Approximate MLE’s of the parameters of a discrete Weibull distribution with type I censored data. Microelectron. Reliab. 1994, 34, 1185–1188. [Google Scholar] [CrossRef]
- Costantino, F.; Di Gravio, G.; Tronci, M. Multi-echelon, multi-indenture spare parts inventory control subject to system availability and budget constraints. Reliab. Eng. And Sys. Safety. 2013, 119, 95–101. [Google Scholar] [CrossRef]
- Ruan, M.; Li, Q.; Huang, A.; Li, H. Inventory control of multi-echelon maintenance supply system under finite repair channel constraint. Hangkong Xuebao Acta Aeronaut. Astronaut. Sin. 2012, 33, 2018–2027. [Google Scholar]






| Parameter | Value |
|---|---|
| N | 35 |
| M | 32 |
| 0.91 | |
| I | 98 |
| 0.97 | |
| $20,000,000 |
© 2019 by the authors. Licensee MDPI, Basel, Switzerland. This article is an open access article distributed under the terms and conditions of the Creative Commons Attribution (CC BY) license (http://creativecommons.org/licenses/by/4.0/).
Share and Cite
Patriarca, R.; Hu, T.; Costantino, F.; Di Gravio, G.; Tronci, M. A System-Approach for Recoverable Spare Parts Management Using the Discrete Weibull Distribution. Sustainability 2019, 11, 5180. https://doi.org/10.3390/su11195180
Patriarca R, Hu T, Costantino F, Di Gravio G, Tronci M. A System-Approach for Recoverable Spare Parts Management Using the Discrete Weibull Distribution. Sustainability. 2019; 11(19):5180. https://doi.org/10.3390/su11195180
Chicago/Turabian StylePatriarca, Riccardo, Tianya Hu, Francesco Costantino, Giulio Di Gravio, and Massimo Tronci. 2019. "A System-Approach for Recoverable Spare Parts Management Using the Discrete Weibull Distribution" Sustainability 11, no. 19: 5180. https://doi.org/10.3390/su11195180
APA StylePatriarca, R., Hu, T., Costantino, F., Di Gravio, G., & Tronci, M. (2019). A System-Approach for Recoverable Spare Parts Management Using the Discrete Weibull Distribution. Sustainability, 11(19), 5180. https://doi.org/10.3390/su11195180

