A Comprehensive Thermal Comfort Analysis of the Cooling Effect of the Stand Fan Using Questionnaires and a Thermal Manikin
Abstract
1. Introduction
2. Method
- Step ①: Prior to studying the cooling effect of the fan and its impact on the occupant thermal comfort, the air velocity the temperature at the location of the occupant was measured. Assuming that the occupant would be sitting, the air current was measured at the foot level (0.1 m), head level (1.1 m), and the level parallel to the fan (0.6 m), where the air current was likely to be the strongest.
- Step ②: To derive the impact of stand fan operation according to indoor temperature on thermal comfort, a questionnaire was administered to 16 university and graduate students in their 20s. Indoor temperature conditions were 22, 24, 26, 28, and 30 °C, and the fan was set to off mode (Off), low mode (L), medium mode (M), and high mode (H), which were combined to create 20 environmental conditions.
- Step ③: The thermal manikin test was conducted in the environmental chamber. Indoor temperature and relative humidity represented the same conditions as in the questionnaires. The airflow devices were calibrated to the same conditions as the air velocity at the three levels in ①.
- Step ④: Through the thermal manikin test, the heat flux of each body part was measured and used to obtain the coefficient of convective heat transfer.
- Step ⑤: The convective heat transfer coefficient (obtained through the thermal manikin test and the sensitivity of each body part) was utilized to calculate the cooling effect of the stand fan for each of the three modes (L, M, and H).
- Step ⑥: A comprehensive analysis of the cooling effect was derived through the questionnaire and the thermal manikin on the stand fan.
3. Questionnaire for Thermal Comfort
3.1. Setting for the Questionnaire
3.1.1. Standing Fan
3.1.2. Object Space
3.1.3. Indoor Temperature Control of Target Space
3.1.4. Questionnaire Conditions
3.1.5. Study Subjects
3.1.6. Questionnaire Procedures
3.1.7. Questionnaire Contents
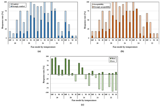
3.2. Questionnaire Results
3.2.1. Thermal Sensation (TS)
3.2.2. Thermal Comfort (TC) and Thermal Acceptability (TA)
3.2.3. Demands on Changes to the Air Velocity
4. Thermal Manikin Experiment
4.1. Experiment Overview
4.2. Thermal Manikin Experiment
4.2.1. Environmental Chamber
4.2.2. Environmental Conditions
4.2.3. Airflow Device
4.3. Experiment Results
4.3.1. Convective Heat Transfer Coefficient
4.3.2. Cooling Effect by the Stand Fan
5. Discussion
5.1. Comfort Conditions of Stand Fan Use
5.2. Cooling Effect of the Stand Fan
6. Conclusions and Future Works
- The stand fan was most effective at M and L modes of 28 °C, Off and L modes of 26 °C, and Off mode of 24 °C. In situations with an indoor temperature of 28 °C, a stand fan would be able to create a sufficient cooling effect.
- It was possible to confirm that the human body feels cooling when airflow is created. However, with a set indoor temperature that is 30 or 22 °C the cooling effect due to airflow may produce different results than expected.
Author Contributions
Acknowledgments
Conflicts of Interest
Abbreviations
| Nomenclature | |
| Surface area of body part (m2) | |
| Coefficient | |
| Coefficient of convective heat transfer (W/m2K) | |
| Coefficient of dry heat transfer (W/m2K) | |
| Coefficient of radiant heat transfer (W/m2 K) | |
| Body segments | |
| Coefficient | |
| R2 | Coefficient of determination |
| Sensitivity of body part | |
| Manikin-based equivalent temperature (°C) | |
| Equivalent temperature when fan is on (°C) | |
| Equivalent temperature when fan is off (°C) | |
| Aggravated cooling effect at indoor set-point temperature () (°C) | |
| Cooling effect for the body part at indoor set-point temperature () (°C) | |
| Manikin-based skin temperature (°C) | |
| Indoor set-point temperature (°C) | |
| Expected sensible temperature (°C) | |
| Sensible heat loss (W/m2) | |
| Air velocity (m/s) | |
| Acronyms and Abbreviations | |
| H | High mode of stand fan |
| L | Low mode of stand fan |
| M | Medium mode of stand fan |
| MBE | Mean bias error |
| PMV | Predictive mean vote |
| RMSE | Root mean square error |
| SRC | Standardized regression coefficient |
| TA | Thermal acceptability |
| TC | Thermal comfort |
| TS | Thermal sensation |
References
- Houghten, F.C.; Gutberlet, C.; Witkowski, E. Draft Temperatures and Velocities in Relation to Skin Temperature and Feeling of Warmth. ASHRAE Trans. 1938, 44, 289–308. [Google Scholar]
- Toftum, J. Air movement—Good or bad? Indoor Air Suppl. 2004, 14, 40–45. [Google Scholar] [CrossRef] [PubMed]
- Konz, S.; Al-Wahab, S.; Gough, H. The Effect of Air Velocity on Thermal Comfort. Proc. Hum. Factors Ergon. Soc. Annu. Meet. 1983, 27, 733–737. [Google Scholar] [CrossRef]
- Hseieh, K. The Effect of Air Velocity on Thermal Comfort with Moderate Activity. Master’s Thesis, Kansas State University, Manhattan, KS, USA, 1985. [Google Scholar]
- Toftum, J.; Nielsen, R. Impact of metabolic rate on human response to air movements during work in cool environments. Int. J. Ind. Ergon. 1996, 18, 307–316. [Google Scholar] [CrossRef]
- ASHRAE. ASHRAE Standard 55-2013, Thermal Environmental Conditions for Human Occupancy; American Society of Heating, Refrigerating and Air-Conditioning Engineers: Atlanta, GA, USA, 2013; p. 31. [Google Scholar]
- Arens, E.; Turner, S.; Zhang, H.; Paliaga, G. Moving air for comfort. ASHRAE J. 2009, 51, 18–28. [Google Scholar]
- Sun, W.; Cheong, K.W.D.; Melikov, A.K. Subjective study of thermal acceptability of novel enhanced displacement ventilation system and implication of occupants’ personal control. Build. Environ. 2012, 57, 49–57. [Google Scholar] [CrossRef]
- Yu, W.; Cheong, K.; Tham, K.; Sekhar, S.; Kosonen, R. Draft sensation study in a space served by displacement ventilation system in the tropics. Proc. Indoor Air 2005, 2005, 239–243. [Google Scholar]
- Zhang, H.; Dai, L.; Xu, G.; Li, Y.; Chen, W.; Tao, W. Studies of air-flow and temperature fields inside a passenger compartment for improving thermal comfort and saving energy. Part II: Simulation results and discussion. Appl. Therm. Eng. 2009, 29, 2028–2036. [Google Scholar] [CrossRef]
- Mao, Y.; Wang, J.; Li, J. Experimental and numerical study of air flow and temperature variations in an electric vehicle cabin during cooling and heating. Appl. Therm. Eng. 2018, 137, 356–367. [Google Scholar] [CrossRef]
- Roghanchi, P.; Kocsis, K.C.; Sunkpal, M. Sensitivity analysis of the effect of airflow velocity on the thermal comfort in underground mines. J. Sustain. Min. 2016, 15, 175–180. [Google Scholar] [CrossRef]
- Yang, B.; Schiavon, S.; Sekhar, C.; Cheong, D.; Tham, K.W.; Nazaroff, W.W. Cooling efficiency of a brushless direct current stand fan. Build. Environ. 2015, 85, 196–204. [Google Scholar] [CrossRef]
- Zhai, Y.; Zhang, H.; Zhang, Y.; Pasut, W.; Arens, E.; Meng, Q. Comfort under personally controlled air movement in warm and humid environments. Build. Environ. 2013, 65, 109–117. [Google Scholar] [CrossRef]
- Ho, S.H.; Rosario, L.; Rahman, M.M. Thermal comfort enhancement by using a ceiling fan. Appl. Therm. Eng. 2009, 29, 1648–1656. [Google Scholar] [CrossRef]
- Fong, M.L.; Lin, Z.; Fong, K.F.; Chow, T.T.; Yao, T. Evaluation of thermal comfort conditions in a classroom with three ventilation methods. Indoor Air 2011, 21, 231–239. [Google Scholar] [CrossRef] [PubMed]
- Lan, L.; Wargocki, P.; Lian, Z. Quantitative measurement of productivity loss due to thermal discomfort. Energy Build. 2011, 43, 1057–1062. [Google Scholar] [CrossRef]
- Niemelä, R.; Hannula, M.; Rautio, S.; Reijula, K.; Railio, J. The effect of air temperature on labour productivity in call centres—A case study. Energy Build. 2002, 34, 759–764. [Google Scholar] [CrossRef]
- Kwak, Y.; Huh, J.-H. Management of cooling energy through building controls for thermal comfort and relative performance in an office building. Sci. Technol. Built Environ. 2019, 25, 139–148. [Google Scholar] [CrossRef]
- Hoof, V. Forty years of Fanger’s model of thermal comfort: Comfort for all? Indoor Air. 2008, 18, 182–201. [Google Scholar] [CrossRef]
- Kim, Y.J. Thermally Comfortable Operating Conditions and the Cooling Effect of a Stand Fan in Summer. Master’s Thesis, University of Seoul, Seoul, Korea, 2016. (In Korean). [Google Scholar]
- Oliveira, A.V.M.; Gaspar, A.R.; Francisco, S.C.; Quintela, D.A. Analysis of natural and forced convection heat losses from a thermal manikin: Comparative assessment of the static and dynamic postures. J. Wind Eng. Ind. Aerodyn. 2014, 132, 66–76. [Google Scholar] [CrossRef]
- Mun, S.-H.; Kim, Y.-J.; Huh, J.-H. Analysis on the Actual Cooling Effect of the Standing Fan: A Comparative Study of Heat Loss and Thermal Comfort for Body Segments. In Proceedings of the 15th IBPSA Conference, San Francisco, CA, USA, 7–9 August 2017; pp. 564–569. [Google Scholar] [CrossRef]
- Schiavon, S.; Melikov, A. Evaluation of the cooling fan efficiency index for a desk fan and a computer fan. 11th Int. J. Biometeorol. 2017, 40, 141–156. [Google Scholar] [CrossRef]
- Nilsson, H.; Holmér, I.; Bohm, M.; Noren, O. Definition and theoretical background of the equivalent temperature. In CABCLI Seminar Dissemination of Results from EQUIV-Project; JTI—Swedish Institute of Agricultural and Environmental Engineering: Florence, Italy, 18–19 November 1999; pp. 31–40. [Google Scholar]
- De Dear, R.J.; Arens, E.; Hui, Z.; Oguro, M. Convective and radiative heat transfer coefficients for individual human body segments. Int. J. Biometeorol. 1997, 40, 141–156. [Google Scholar] [CrossRef] [PubMed]
- ASHRAE. Thermal comfort. In 2013 ASHRAE Handbook-Fundamentals (SI); American Society of Heating, Refrigerating and Air-Conditioning Engineers: Atlanta, GA, USA, 2013; p. 9. [Google Scholar]
- Domínguez-Muñoz, F.; Cejudo-López, J.M.; Carrillo-Andrés, A. Uncertainty in peak cooling load calculations. Energy Build. 2010, 42, 1010–1018. [Google Scholar] [CrossRef]








| Picture of the Model | Product Details | |
|---|---|---|
![]() | Model | EFe-492R |
| Air velocity | Levels 1–4 | |
| Electricity consumption | Level 1 (8 W) | |
| Level 2 (33 W) | ||
| Level 3 (39 W) | ||
| Level 4 (45 W) | ||
| Weight | 3.4 kg | |
| Dimensions | 0.40 (L) × 0.35 (W) × 0.70–0.86 (H) m | |
| Fan Mode | Air Velocity |
|---|---|
| Level 1 (Low mode) | 1.48 m/s |
| Level 2 (Medium mode) | 3.55 m/s |
| Level 3 (High mode) | 4.73 m/s |
| Indoor Temperature (°C) | 22 | 24 | 26 | 28 | 30 |
| Fan mode | Off, Low (L), Medium (M), High (H) | ||||
| Relative humidity (%) | 40–60 | ||||
| Sex | Number of Subjects | Age | Height (m) | Weight (kg) |
|---|---|---|---|---|
| Female (F) | 8 | 25 ± 1 * | 158.8 ± 2.7 * | 53.8 ± 7.8 * |
| Male (M) | 8 | 28 ± 2 * | 176.5 ± 3.8 * | 76.9 ± 8.2 * |
| F + M | 16 | 26 ± 2 * | 167.6 ± 9.7 * | 65.3 ± 14.2 * |
| Item | Content | Possible Responses |
|---|---|---|
| 1 | Thermal sensation (TS) | · 7-point scale (−3, −2, −1, 0, 1, 2, 3) |
| 2 | Thermal comfort (TC) | · Strongly comfort |
| · Comfort | ||
| · Discomfort | ||
| · Strongly discomfort | ||
| 3 | Thermal acceptability (TA) | · Strongly acceptability |
| · Acceptability | ||
| · Unacceptability | ||
| · Strongly unacceptability | ||
| 4 | Demands on changes to the air velocity | · More |
| · No | ||
| · Less |
| Indoor Temperature (°C) | Fan Mode | Average TS | Responses within −1~1 Range (%) | Responses within −2~0 Range (%) |
|---|---|---|---|---|
| 30 | Off | 2.19 | 20 | 20 |
| L | 2.31 | 30 | 30 | |
| M | 0.94 | 80 | 80 | |
| H | −0.19 | 90 | 90 | |
| 28 | Off | 0.81 | 58 | 58 |
| L | 0.25 | 83 | 83 | |
| M | −0.63 | 92 | 100 | |
| H | −1.00 | 83 | 100 | |
| 26 | Off | 0.25 | 92 | 92 |
| L | −0.69 | 100 | 100 | |
| M | −1.31 | 58 | 100 | |
| H | −1.88 | 17 | 75 | |
| 24 | Off | −0.63 | 75 | 100 |
| L | −1.31 | 58 | 92 | |
| M | −2.31 | 17 | 67 | |
| H | −2.75 | 8 | 25 | |
| 22 | Off | −1.94 | 25 | 67 |
| L | −2.50 | 17 | 33 | |
| M | −3.00 | 0 | 0 | |
| H | −3.00 | 0 | 0 |
| Chamber Environment Control | Specification |
|---|---|
| Airflow device | 0.6–6 m/s |
| Temperature | −40–80 °C |
| Humidity | 20–95% |
| Thermal Manikin | i | Segment |
|---|---|---|
![]() | ① | Head |
| ② | R(right)-hand | |
| ③ | L(left)-hand | |
| ④ | R-forearm | |
| ⑤ | L-forearm | |
| ⑥ | R-upper arm | |
| ⑦ | L-upper arm | |
| ⑧ | Torso | |
| ⑨ | R-thigh | |
| ⑩ | L-thigh | |
| ⑪ | R-calf | |
| ⑫ | L-calf | |
| ⑬ | R-foot | |
| ⑭ | L-foot |
| Height [m] | Off (m/s) | Low (m/s]) | Medium (m/s) | High (m/s) | ||||
|---|---|---|---|---|---|---|---|---|
| Survey | Manikin | Survey | Manikin | Survey | Manikin | Survey | Manikin | |
| 0.1 | 0.05 | 0.16 | 0.10 | 0.22 | 0.22 | 0.22 | 0.24 | 0.22 |
| 0.6 | 0.07 | 0.19 | 0.48 | 0.41 | 1.57 | 1.44 | 1.98 | 1.87 |
| 1.1 | 0.04 | 0.17 | 0.16 | 0.31 | 0.27 | 0.37 | 0.32 | 0.45 |
| Average | 0.05 | 0.17 | 0.25 | 0.31 | 0.69 | 0.68 | 0.85 | 0.85 |
| RMSE | 0.10 | 0.11 | 0.09 | 0.10 | ||||
| MBE | 0.10 | 0.10 | 0.08 | 0.09 | ||||
| i | 22 °C | 24 °C | 26 °C | 28 °C | 30 °C | ||||||||||
|---|---|---|---|---|---|---|---|---|---|---|---|---|---|---|---|
| R2 | R2 | R2 | R2 | R2 | |||||||||||
| ① | 7.47 | 0.37 | 0.93 | 7.56 | 0.39 | 0.94 | 7.28 | 0.40 | 0.78 | 7.80 | 0.37 | 0.94 | 8.06 | 0.38 | 0.94 |
| ② | 9.13 | 0.21 | 0.79 | 9.19 | 0.19 | 0.79 | 9.25 | 0.23 | 0.85 | 9.41 | 0.22 | 0.80 | 9.84 | 0.22 | 0.81 |
| ③ | 9.61 | 0.60 | 0.98 | 9.97 | 0.55 | 0.97 | 9.87 | 0.62 | 0.98 | 10.21 | 0.60 | 0.97 | 11.05 | 0.61 | 0.98 |
| ④ | 6.83 | 0.16 | 0.61 | 7.05 | 0.12 | 0.60 | 7.20 | 0.18 | 0.63 | 7.53 | 0.14 | 0.51 | 8.11 | 0.16 | 0.58 |
| ⑤ | 5.10 | 0.94 | 0.99 | 5.20 | 0.97 | 0.99 | 5.20 | 0.94 | 0.99 | 5.26 | 0.95 | 0.99 | 5.84 | 0.92 | 0.99 |
| ⑥ | 4.71 | 0.02 | 0.00 | 4.78 | 0.01 | 0.01 | 4.92 | 0.10 | 0.20 | 5.01 | 0.05 | 0.07 | 5.38 | 0.10 | 0.23 |
| ⑦ | 2.52 | 1.44 | 0.99 | 2.82 | 1.38 | 0.99 | 2.66 | 1.44 | 0.99 | 2.62 | 1.45 | 0.99 | 3.04 | 1.40 | 0.99 |
| ⑧ | 0.60 | 0.90 | 0.96 | 0.61 | 0.96 | 0.97 | 0.74 | 0.87 | 0.97 | 0.83 | 0.81 | 0.96 | 1.20 | 0.66 | 0.96 |
| ⑨ | 1.21 | 0.85 | 0.67 | 1.24 | 0.85 | 0.70 | 1.28 | 0.81 | 0.62 | 1.08 | 0.88 | 0.62 | 0.89 | 0.87 | 0.50 |
| ⑩ | 1.64 | 0.95 | 0.91 | 1.64 | 1.00 | 0.89 | 1.47 | 1.01 | 0.89 | 1.25 | 1.04 | 0.85 | 0.89 | 1.14 | 0.79 |
| ⑪ | 1.41 | 0.61 | 0.76 | 1.55 | 0.57 | 0.79 | 1.82 | 0.51 | 0.66 | 2.02 | 0.46 | 0.69 | 3.75 | 0.24 | 0.43 |
| ⑫ | 1.57 | 0.90 | 0.91 | 1.76 | 0.85 | 0.90 | 1.94 | 0.81 | 0.87 | 2.15 | 0.74 | 0.83 | 4.22 | 0.48 | 0.75 |
| ⑬ | 3.27 | 0.22 | 0.67 | 3.52 | 0.19 | 0.60 | 3.58 | 0.23 | 0.64 | 4.05 | 0.19 | 0.63 | 4.79 | 0.13 | 0.44 |
| ⑭ | 3.12 | 0.30 | 0.77 | 3.44 | 0.25 | 0.67 | 3.49 | 0.29 | 0.71 | 3.91 | 0.25 | 0.71 | 4.77 | 0.19 | 0.61 |
| Avrage | 2.68 | 0.62 | 0.92 | 2.77 | 0.62 | 0.93 | 2.83 | 0.62 | 0.91 | 2.95 | 0.59 | 0.91 | 3.49 | 0.54 | 0.90 |
| I | Segment | Standardized Regression Coefficients |
|---|---|---|
| ① | Head | 0.93 |
| ② | R(right)-hand | 0.86 |
| ③ | L(left)-hand | 1.00 |
| ④ | R-forearm | 1.00 |
| ⑤ | L-forearm | 0.98 |
| ⑥ | R-upper arm | 0.87 |
| ⑦ | L-upper arm | 0.93 |
| ⑧ | Torso | 0.90 |
| ⑨ | R-thigh | 0.89 |
| ⑩ | L-thigh | 0.88 |
| ⑪ | R-calf | 0.89 |
| ⑫ | L-calf | 0.86 |
| ⑬ | R-foot | 0.95 |
| ⑭ | L-foot | 0.97 |
| Indoor Set-Point Temperature (°C) | Fan Mode | Thermal Sensation (TS) | Thermal Comfort (TC; %) | Strongly Acceptable + Acceptable (%) | Comfort Conditions of Fan Use | ||
|---|---|---|---|---|---|---|---|
| Comfort | Strong Comfort | Total | |||||
| 30 | Off | 2.19 | 19 | 0 | 19 | 19 | |
| L | 2.31 | 13 | 0 | 13 | 19 | ||
| M | 0.94 | 38 | 13 | 50 | 50 | ||
| H | −0.19 | 56 | 19 | 75 | 75 | * | |
| 28 | Off | 0.81 | 31 | 13 | 44 | 44 | |
| L | 0.25 | 56 | 19 | 75 | 75 | * | |
| M | −0.63 | 38 | 63 | 100 | 100 | ** | |
| H | −1.00 | 38 | 56 | 94 | 100 | ** | |
| 26 | Off | 0.25 | 69 | 19 | 88 | 88 | * |
| L | −0.69 | 38 | 50 | 88 | 94 | ** | |
| M | −1.31 | 31 | 69 | 100 | 100 | ** | |
| H | −1.88 | 25 | 44 | 69 | 75 | ||
| 24 | Off | −0.63 | 25 | 75 | 100 | 100 | ** |
| L | −1.31 | 6 | 75 | 81 | 81 | ** | |
| M | −2.31 | 38 | 6 | 44 | 63 | ||
| H | −2.75 | 13 | 6 | 19 | 31 | ||
| 22 | Off | −1.94 | 31 | 44 | 75 | 69 | |
| L | −2.50 | 19 | 19 | 38 | 44 | ||
| M | −3.00 | 0 | 6 | 6 | 13 | ||
| H | −3.00 | 6 | 0 | 6 | 13 | ||
© 2019 by the authors. Licensee MDPI, Basel, Switzerland. This article is an open access article distributed under the terms and conditions of the Creative Commons Attribution (CC BY) license (http://creativecommons.org/licenses/by/4.0/).
Share and Cite
Mun, S.-H.; Kwak, Y.; Kim, Y.; Huh, J.-H. A Comprehensive Thermal Comfort Analysis of the Cooling Effect of the Stand Fan Using Questionnaires and a Thermal Manikin. Sustainability 2019, 11, 5091. https://doi.org/10.3390/su11185091
Mun S-H, Kwak Y, Kim Y, Huh J-H. A Comprehensive Thermal Comfort Analysis of the Cooling Effect of the Stand Fan Using Questionnaires and a Thermal Manikin. Sustainability. 2019; 11(18):5091. https://doi.org/10.3390/su11185091
Chicago/Turabian StyleMun, Sun-Hye, Younghoon Kwak, Yeonjung Kim, and Jung-Ho Huh. 2019. "A Comprehensive Thermal Comfort Analysis of the Cooling Effect of the Stand Fan Using Questionnaires and a Thermal Manikin" Sustainability 11, no. 18: 5091. https://doi.org/10.3390/su11185091
APA StyleMun, S.-H., Kwak, Y., Kim, Y., & Huh, J.-H. (2019). A Comprehensive Thermal Comfort Analysis of the Cooling Effect of the Stand Fan Using Questionnaires and a Thermal Manikin. Sustainability, 11(18), 5091. https://doi.org/10.3390/su11185091


