An Optimum Irrigation Schedule with Aeration for Greenhouse Tomato Cultivations Based on Entropy Evaluation Method
Abstract
:1. Introduction
2. Materials and Methods
2.1. Experimental Site
2.2. Experimental Design
2.3. Measurement and Methods
2.4. Statistical Analysis
3. Results and Discussion
3.1. Plant Growth
3.2. Nutrient Accumulation and Distribution
3.3. Tomato Yield and IWUE
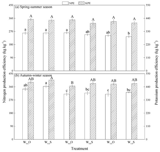
3.4. Nitrogen and Potassium Production Efficiency
3.5. Fruit Quality
3.6. Optimal Management for Greenhouse Tomato Cultivations
4. Conclusions
Author Contributions
Funding
Conflicts of Interest
References
- Sánchez-Moreno, C.; Plaza, L.; De Ancos, B.; Cano, M.P. Nutritional characterisation of commercial traditional pasteurised tomato juices: Carotenoids, vitamin C and radical-scavenging capacity. Food Chem. 2006, 98, 749–756. [Google Scholar] [CrossRef]
- FAOSTAT: Food and Agriculture Organization of the United Nations, Statistical Data; FAO: Rome, Italy, 2017.
- Bradford, J. Physiological responses of plants to waterlogging. HortScience 1981, 16, 25–30. [Google Scholar]
- Agbna, G.H.D.; She, D.; Liu, Z.; Elshaikh, N.A.; Shao, G.; Timm, L.C. Effects of deficit irrigation and biochar addition on the growth, yield, and quality of tomato. Sci. Hortic. 2017, 222, 90–101. [Google Scholar] [CrossRef]
- Bhattarai, S.P.; Pendergast, L.; Midmore, D.J. Root aeration improves yield and water use efficiency of tomato in heavy clay and saline soils. Sci. Hortic. 2006, 108, 278–288. [Google Scholar] [CrossRef]
- Zhu, Y.; Cai, H.J.; Song, L.B.; Chen, H. Impacts of oxygation on plant growth, yield and fruit quality of tomato. Trans. Chin. Soc. Agric. Mach. 2017, 48, 199–211. (In Chinese) [Google Scholar]
- Li, Y.; Niu, W.; Wang, J.; Liu, L.; Zhang, M.; Xu, J. Effects of artificial soil aeration volume and frequency on soil enzyme activity and microbial abundance when cultivating greenhouse tomato. Soil Sci. Soc. Am. J. 2016, 80, 1208–1221. [Google Scholar] [CrossRef]
- Bai, T.; Li, C.; Li, C.; Liang, D.; Ma, F. Contrasting hypoxia tolerance and adaptation in Malus species is linked to differences in stomatal behavior and photosynthesis. Physiol. Plant. 2013, 147, 514–523. [Google Scholar] [CrossRef]
- Li, Y.; Niu, W.; Xu, J.; Wang, J.; Zhang, M.; lv, W. Root morphology of greenhouse produced muskmelon under sub-surface drip irrigation with supplemental soil aeration. Sci. Hortic. 2016, 201, 287–294. [Google Scholar] [CrossRef]
- Du, Y.D.; Niu, W.Q.; Gu, X.B.; Zhang, Q.; Cui, B.J.; Zhao, Y. Crop yield and water use efficiency under aerated irrigation: A meta-analysis. Agric. Water Manag. 2018, 210, 158–164. [Google Scholar] [CrossRef]
- Xing, Y.; Zhang, F.; Zhang, Y.; Li, J.; Qiang, S.; Li, Z.; Gao, X. Irrigation and fertilization coupling of drip irrigation under plastic film promotes tomato’s nutrient uptake and growth. Trans. CSAE 2014, 30, 70–80. (In Chinese) [Google Scholar]
- Cantore, V.; Lechkar, O.; Karabulut, E.; Sellami, M.H.; Albrizio, R.; Boari, F.; Stellacci, A.M.; Todorovic, M. Combined effect of deficit irrigation and strobilurin application on yield, fruit quality and water use efficiency of “cherry” tomato (Solanum lycopersicum L.). Agric. Water Manag. 2016, 167, 53–61. [Google Scholar] [CrossRef]
- Intrigliolo, D.S.; Bonet, L.; Nortes, P.A.; Puerto, H.; Nicolas, E.; Bartual, J. Pomegranate trees performance under sustained and regulated deficit irrigation. Irrig. Sci. 2013, 31, 959–970. [Google Scholar] [CrossRef]
- Wang, X.; Yun, J.; Shi, P.; Li, Z.; Li, P.; Xing, Y. Root growth, fruit yield and water use efficiency of greenhouse grown tomato under different irrigation regimes and nitrogen levels. J. Plant Growth Regul. 2019, 38, 400–415. [Google Scholar] [CrossRef]
- Wang, H.; Li, J.; Cheng, M.; Zhang, F.; Wang, X.; Fan, J.; Wu, L.; Fang, D.; Zou, H.; Xiang, Y. Optimal drip fertigation management improves yield, quality, water and nitrogen use efficiency of greenhouse cucumber. Sci. Hortic. 2019, 243, 357–366. [Google Scholar] [CrossRef]
- Hou, M.; Lin, Z.; Chen, J.; Zhai, Y.; Jin, Q.; Zhong, F. Optimization on the buried depth of subsurface drainage under greenhouse condition based on entropy evaluation method. Entropy 2018, 20, 859. [Google Scholar] [CrossRef]
- Li, S.; Li, Y.; Li, X.; Tian, X.; Zhao, A.; Wang, S.; Wang, S.; Shi, J. Effect of straw management on carbon sequestration and grain production in a maize-wheat cropping system in Anthrosol of the Guanzhong Plain. Soil Till Res. 2016, 157, 43–51. [Google Scholar] [CrossRef]
- Hou, H.; Chen, H.; Cai, H.; Yang, F.; Li, D.; Wang, F. CO2 and N2O emissions from Lou soils of greenhouse tomato fields under aerated irrigation. Atmos. Environ. 2016, 132, 69–76. [Google Scholar] [CrossRef]
- Chen, H.; Hou, H.; Hu, H.; Shang, Z.; Zhu, Y.; Cai, H.; Qaisar, S. Aeration of different irrigation levels affects net global warming potential and carbon footprint for greenhouse tomato systems. Sci. Hortic. 2018, 242, 10–19. [Google Scholar] [CrossRef]
- Chen, H.; Shang, Z.; Cai, H.; Zhu, Y. Response of soil N2O emissions to soil microbe and enzyme activities with aeration at two irrigation levels in greenhouse tomato (Lycopersicon esculentum Mill.) fields. Atmosphere 2019, 10, 72. [Google Scholar] [CrossRef]
- Zou, X.; Niu, W.; Liu, J.; Li, Y.; Liang, B.; Guo, L.; Guan, Y. Effects of residual mulch film on the growth and fruit quality of tomato (Lycopersicon esculentum Mill.). Water Air Soil Poll 2017, 228, 71. [Google Scholar] [CrossRef]
- Bao, S.D. Soil and Agricultural Chemistry Analysis; China Agricultural Press: Beijing, China, 2000. (In Chinese) [Google Scholar]
- AOAC. Official Methods of Analysis, 16th ed.; 5th Reversion. Method 942.15 and 967.21; AOAC International: Gaithersburg, MD, USA, 1999. [Google Scholar]
- Zhong, F.; Hou, M.; He, B.; Chen, I. Assessment on the coupling effects of drip irrigation and organic fertilization based on entropy weight coefficient model. Peer J. 2017, 5, 3855. [Google Scholar] [CrossRef]
- Yu, C.L.; Hui, D.; Deng, Q.; Kudjo, D.E.; Fay, P.A.; Shen, W.; Luo, Y. Responses of switchgrass soil respiration and its components to precipitation gradient in a mesocosm study. Plant Soil 2017, 420, 105–117. [Google Scholar] [CrossRef]
- Chen, H.; Hou, H.; Wang, X.; Zhu, Y.; Saddique, Q.; Wang, Y.; Cai, H. The effects of aeration and irrigation regimes on soil CO2 and N2O emissions in a greenhouse tomato production system. J. Integr. Agric. 2018, 17, 449–460. [Google Scholar] [CrossRef]
- Erice, G.; Irigoyen, J.J.; Perez, P.; Martínez-Carrasco, R.; Sanchez-Diaz, M. Effect of elevated CO2, temperature and drought on dry matter partitioning and photosynthesis before and after cutting of nodulated alfalfa. Plant Sci. 2006, 170, 1059–1067. [Google Scholar] [CrossRef]
- Van Iersel, M. Nutrient solution concentration affects shoot:root ratio, leaf area ratio, and growth of subirrigated Salvia (Salvia splendens). HortScience 2004, 39, 49–54. [Google Scholar]
- Bhattarai, S.P.; Midmore, D.J.; Pendergast, L. Yield, water-use efficiencies and root distribution of soybean, chickpea and pumpkin under different subsurface drip irrigation depths and oxygation treatments in vertisols. Irrig. Sci. 2008, 26, 439. [Google Scholar] [CrossRef]
- Sánchez-Rodríguez, E.; Romero, L.; Ruiz, J.M. Role of grafting in resistance to water stress in tomato plants: Ammonia production and assimilation. J. Plant Growth Regul. 2013, 32, 831–842. [Google Scholar] [CrossRef]
- Xu, F.; Li, J.; Wu, P.; Zhang, D.; Zhao, Z.; Li, J. Effects of water on dry matter accumulation and nutrition absorption of tomato seedling under sub-low temperature. Sci. Agric. Sin. 2013, 46, 3293–3304. (In Chinese) [Google Scholar]
- Bowles, T.M.; Barrios-Masias, F.H.; Carlisle, E.A.; Cavagnaro, T.R.; Jackson, L.E. Effects of arbuscular mycorrhizae on tomato yield, nutrient uptake, water relations, and soil carbon dynamics under deficit irrigation in field conditions. Sci. Total Environ. 2016, 566–567, 1223–1234. [Google Scholar] [CrossRef]
- Zaman, M.M.; Anawarul Huq, A.S.M.; Chowdhury, M.J.A. Production potentiality of summer tomato in Jamalpur region. Int. J. Sustain. Crop Prod. 2006, 1, 12–15. [Google Scholar]
- Zaman, M.; Hemel, R.A.; Ferdous, T. Comparative profitability of winter vegetables in a selected area of Dhaka district. ASA Univ. Rev. 2010, 4, 217–223. [Google Scholar]
- Liu, C.; Rubæk, G.H.; Liu, F.; Andersen, M.N. Effect of partial root zone drying and deficit irrigation on nitrogen and phosphorus uptake in potato. Agric. Water Manag. 2015, 159, 66–76. [Google Scholar] [CrossRef]
- Giuliani, M.M.; Gatta, G.; Nardella, E.; Tarantino, E. Water saving strategies assessment on processing tomato cultivated in Mediterranean region. Ital. J. Agron. 2016, 10, 69–76. [Google Scholar] [CrossRef]
- Li, Y.; Niu, W.Q.; Dyck, M.; Wang, J.W.; Zou, X.Y. Yields and nutritional of greenhouse tomato in response to different soil aeration volume at two depths of subsurface drip irrigation. Sci. Rep. 2016, 6, 39307. [Google Scholar] [CrossRef] [PubMed]
- Qi, H.; Li, T.; Zhang, J.; Wang, L.; Chen, Y. Effects of irrigation on sucrose metabolism, dry matter distribution and fruit quality of tomato under water deficit. Zhongguo Nong Ye Ke Xue 2004, 37, 1045–1049. [Google Scholar]









| Factor | Analysis of Variance (p Value) | ||||||
|---|---|---|---|---|---|---|---|
| Plant Height | Stem Diameter | Total Dry Weight | N Accumulation | K Accumulation | Yield | IWUE | |
| I | 0.443 | 0.487 | 0.000 ** | 0.000 ** | 0.000 ** | 0.000 ** | 0.000 ** |
| O | 0.427 | 0.164 | 0.000 ** | 0.000 ** | 0.000 ** | 0.000 ** | 0.000 ** |
| S | 0.000 ** | 0.000 ** | 0.000 ** | 0.000 ** | 0.000 ** | 0.000 ** | 0.410 |
| I × O | 0.448 | 0.295 | 0.055 | 0.019 * | 0.044 * | 0.374 | 0.974 |
| I × S | 0.364 | 0.646 | 0.249 | 0.001 ** | 0.009 ** | 0.191 | 0.726 |
| O × S | 0.646 | 0.728 | 0.609 | 0.050 * | 0.245 | 0.045 * | 0.546 |
| I × O × S | 0.459 | 0.903 | 0.271 | 0.511 | 0.186 | 0.736 | 0.926 |
| Yield | Plant Height | Stem Diameter | Total Dry Weight | N Accumulation | K Accumulation | |
|---|---|---|---|---|---|---|
| Yield | 1 | −0.791 ** | 0.911 ** | 0.993 ** | 0.986 ** | 0.967 ** |
| Plant Height | 1 | −0.971 ** | −0.796 ** | −0.728 ** | −0.638 * | |
| Stem Diameter | 1 | 0.914** | 0.866 ** | 0.799 ** | ||
| Total Dry Weight | 1 | 0.992 ** | 0.973 ** | |||
| N Accumulation | 1 | 0.989 ** | ||||
| K Accumulation | 1 |
| Treatment | Parameters | |||||
|---|---|---|---|---|---|---|
| Total Soluble Solids (%) | Lycopene (μg g−1) | Vitamin C (mg 100g−1) | Soluble Sugar (%) | Organic Acid (%) | Sugar-Acid Ratio | |
| W0.6O | 6.5a | 23.4a | 12.47a | 2.31a | 0.39a | 6a |
| W0.6S | 6.3a | 20.93a | 11.9ab | 2.03ab | 0.36a | 5.6a |
| W0.8O | 6.46a | 17.6b | 11.81ab | 2.22a | 0.38a | 5.8a |
| W0.8S | 6.15a | 16.27bc | 11.29ab | 1.95ab | 0.35a | 5.5a |
| W1.0O | 6.4a | 16bc | 11.25ab | 2.13ab | 0.38a | 5.6a |
| W1.0S | 6.05a | 14.8c | 10.5b | 1.85b | 0.35a | 5.2a |
| Analysis of Variance (p-value) | ||||||
| I | 0.064 | 0.033 * | 0.421 | 0.198 | 0.469 | 0.271 |
| O | 0.878 | 0.536 | 0.364 | 0.377 | 0.388 | 0.368 |
| I × O | 0.922 | 1.021 | 0.428 | 0.688 | 0.411 | 0.643 |
| Treatment | Spring-Summer Season | Autumn-Winter Season | ||
|---|---|---|---|---|
| Synthesis Score | Rank | Synthesis Score | Rank | |
| W0.6O | 0.461 | 3 | 0.632 | 2 |
| W0.6S | 0.132 | 6 | 0.218 | 5 |
| W0.8O | 0.59 | 2 | 0.582 | 3 |
| W0.8S | 0.184 | 5 | 0.156 | 6 |
| W1.0O | 0.879 | 1 | 0.77 | 1 |
| W1.0S | 0.33 | 4 | 0.285 | 4 |
© 2019 by the authors. Licensee MDPI, Basel, Switzerland. This article is an open access article distributed under the terms and conditions of the Creative Commons Attribution (CC BY) license (http://creativecommons.org/licenses/by/4.0/).
Share and Cite
Chen, H.; Shang, Z.-H.; Cai, H.-J.; Zhu, Y. An Optimum Irrigation Schedule with Aeration for Greenhouse Tomato Cultivations Based on Entropy Evaluation Method. Sustainability 2019, 11, 4490. https://doi.org/10.3390/su11164490
Chen H, Shang Z-H, Cai H-J, Zhu Y. An Optimum Irrigation Schedule with Aeration for Greenhouse Tomato Cultivations Based on Entropy Evaluation Method. Sustainability. 2019; 11(16):4490. https://doi.org/10.3390/su11164490
Chicago/Turabian StyleChen, Hui, Zi-Hui Shang, Huan-Jie Cai, and Yan Zhu. 2019. "An Optimum Irrigation Schedule with Aeration for Greenhouse Tomato Cultivations Based on Entropy Evaluation Method" Sustainability 11, no. 16: 4490. https://doi.org/10.3390/su11164490
APA StyleChen, H., Shang, Z.-H., Cai, H.-J., & Zhu, Y. (2019). An Optimum Irrigation Schedule with Aeration for Greenhouse Tomato Cultivations Based on Entropy Evaluation Method. Sustainability, 11(16), 4490. https://doi.org/10.3390/su11164490
