Abstract
In China, the government has made great achievements in mass higher education and intended to promote sustainable economic and social development. However, China still lacks innovation today and is trapped in its low-value-added industrial dilemma. Therefore, this paper aimed to understand how higher education outputs and industrial structure evolution affect each other by analysing evidence from Hubei, China, from 2004 to 2013. This paper quantified higher education outputs into graduate scale, education advancement, and innovation outputs and quantified industrial structure evolution into industrial structure upgrading and industrial structure rationalisation. Next, we applied the Granger causality test, vector auto-regression model, impulse response function, and variance decomposition to explore the causal relationships, response styles, and contribution rates between the indicators. The findings are as follows: (i) industrial structure upgrading and rationalisation are the Granger reasons for education advancement, and innovation outputs and graduate scale are the Granger reasons for industrial structure rationalisation; (ii) industrial structure upgrading and rationalisation can promote education advancement both quickly and significantly, however, education advancement, in turn, does not contribute to industrial structure evolution; (iii) though the contribution of innovation outputs to industrial structure rationalisation is hysteretic, it is greater than that of the graduate scale.
1. Introduction
In the early 1980s, Romer [1] proposed the new economic growth theory and highlighted the importance of higher education institutions (HEIs), demonstrating that an economy with a larger stock of human capital experiences faster growth. Nowadays, with the unparalleled success of Silicon Valley near Stanford, and Boston’s Route 128 corridor near MIT, this theory has been convincingly supported. Meanwhile, HEIs can help to facilitate the survival or revival of secondary cities, thus fostering different economic sectors via the transfer of a highly tacit knowledge developed through research [2]. Therefore, a new framework, namely the concept of university 3.0, emerged in the 1990s and emphasised the socioeconomic functions of universities [3]. While university 1.0 was primarily focused on being an educational institution, university 2.0 was focused on teaching and research. University 3.0 added a third aspect, namely the commercialisation of knowledge. These three missions of universities are now becoming the basis for global competitiveness among national economies and receiving increasing attention from regulators and scholars in all types of economies.
A rich body of literature has discussed the role of higher education in economic development. One of the major arguments is that higher education influences economic development mainly through its outputs. Benhabib and Spiegel [4] indicated that higher education has both a direct impact on the economy through the generation of worker skills and indirect effects through the facilitation of technology diffusion. Existing empirical studies have mostly concentrated on the statistical relationships between aggregate economic growth rates and education levels [5] while neglecting the relationships between the quality of economic development and other higher education outputs (HEO). Minsky [6] indicated that the industrial structure embodies the level of development in an economy, and its rationality directly determines whether the economy has the potential for rapid growth. Therefore, the industrial structure can reflect the quality and sustainability of economic development [7]. With the emergence of global production networks (GPNs), a country’s industrial structure and its evolution are becoming more and more important for developing countries [8]. Notably, industrial structure evolution (ISE) can drive technology innovation, create more job opportunities, and generate a sophisticated demand for talents [9]. This creates a situation where the development of specialised industries leads to the flourishing of a variety of specialised schools. Thus, HEO and ISE have a direct and intimate developmental relationship. However, although there is relevant research on the relationship between HEO and ISE, the research mainly remains at the level of qualitative analysis and fails to provide good answers to these questions: Is the relationship between HEO and ISE a direct or indirect mutual reinforcing relationship? How do HEO and ISE affect each other? How much is the degree of relevance between them? In short, the interaction between HEO and ISE needs further exploration.
Since the economic reforms of 1978, education in China has undergone remarkable changes, both quantitatively and qualitatively. The Chinese government have adopted specific policies and programs to improve research outcomes and the cultivation of research labour in higher education [10]. In particular, a university expansion plan was implemented in 1999 aimed to cultivate more university students. Nevertheless, despite large amounts of investment, Nolan [11] found that these policies had not resulted in the creation of corresponding competitive technologies to help China improve its industrial structure. On the contrary, the industrialization model of China has remained resource-intensive and brought about increasingly severe environmental pollution and ecological deterioration, which have endangered regional sustainable development [12]. Further, China’s lag in industrial evolution is becoming restrictive and confines Chinese enterprises to lower-end industries, thus hindering China’s sustained development in a globalised world [13]. Therefore, it is of great theoretical and empirical significance to figure out the interaction between HEO and ISE in the context of China and help China explore a more effective to proceed higher quality development.
Given above, this paper aims to address the interaction between HEO and ISE by studying their causal relationships and how they affect each other in detail. The rest of this paper is organised as follows. The next section combs existing literature related to the higher education-economic development relationship and HEO and ISE measurements. This is followed by an explanation of the research material and methods, after which we present our results. The paper concludes with an overview of our main findings and a discussion of avenues for further research, and the paper’s methodological limitations.
2. Literature Review
This section firstly analyses the existing research on the relationship between higher education and economic development from different perspectives and then combs the common methods to measure HEO and ISE. It concludes with how this study could fill the gap of existing literature.
2.1. The Relationship between Higher Education and Economic Development
Recent decades have witnessed a significant increase in the number of studies that tend to analyse the sophisticated relationship between higher education and economic development. In general, the research agendas can be divided into three branches.
The first one—which is also considered a mainstream approach in current studies—is research on the effects of higher education on economic development. On the one hand, scholars have consistently agreed that higher education can accelerate economic growth rates through the cultivation of skilled workers, the capitalisation of university ideas, and the creation of innovative achievements [14,15,16]. This notion led to the framing and implementation of several policies that facilitated university-industry linkages, the most influential of which was the 1980 Bayh-Dole Act in the United States. This act is frequently considered as a catalyst for the United States’ rocketing economy during the 1980s and 1990s, given that growth was achieved through the provision of innovation property rights to universities [17]. On the other hand, scholars have highlighted the importance of higher education for ISE, and have demonstrated that higher education can accelerate ISE through knowledge spillovers, technological innovations, and entrepreneurial ecosystems [18,19]. He [5] and OECD [9] claimed that a large pool of creative human capital is crucial for making such approaches possible; this capital tends to include masters and doctoral students. Some empirical examples confirming the above-mentioned viewpoints focus on South Korea, Hong Kong, Singapore, Taiwan, and Japan, all of which, through massive investments in higher education, have realized industrial upgrading and a successful transformation from low-value-added exportation to high-value-added exportation [20]. Therefore, one can conclude that higher education plays a significant role in economic development, the results of which are embodied in the quantitative effect (accelerating economic growth rates) and the qualitative effect (facilitating industrial structure evolution). Existing studies have focused on analysing the quantitative effect.
The second agenda involves research on the effects of economic development on higher education. The theory of total factor productivity framed by Solow [21] indicated that a rapidly growing economy produces demand for innovative human resources and technological capabilities. Nowadays, thanks to the global workings of capitalism and the increase in decision-making regarding production locations and technology mixes, this demand has been profoundly affected, thus stimulating the development of higher education. Furthermore, the financial benefits gained through economic development increase the inputs allotted to HEIs (for example, funding for laboratories). Concentrating on the effects of industrial structures on higher education, studies have verified that ISE also generates demand for human resources [22,23]. Jing [24] indicates that secondary and tertiary industries with high productivity and employment elasticity particularly demonstrate a strong ability to boost job opportunities. Simultaneously, changes in the industrial structure tend to bring about corresponding adjustments in the subject settings of HEIs [25].
The third agenda is research on the interactions between higher education and economic development. This research agenda requires further exploration. On the one hand, scholars have advanced various arguments on the existence—or the lack—of a significant causal relationship between higher education and economic development. Whilst Pillay [26] points out that there are obvious statistical correlations between higher education and economic development, Ca [27] demonstrates that their relationships are limited. On the other hand, researchers have drawn contradictory results on how higher education and economic development affect each other. Vu et al. [28] demonstrate the existence of a virtuous cumulating circle of higher education and economic growth. Nevertheless, Kumar [29] found that higher education clearly increases economic growth, but this growth, in turn, has a negative effect on enrolments in education. Overall, existing studies concerning this agenda are inadequate, and their results are mixed, and even controversy. Consequently, it is necessary to focus on the specific parts of economic development, which can help researchers understand the varying modes of interaction between higher education and the different aspects of economic development. As mentioned above, the industrial structure can reflect the quality of economic development and studying the interactions between higher education and ISE can remedy the defects in the existing literature.
2.2. The Measurement of HEO
Higher education affects ISE through its outputs and, therefore, should be assessed based on output indicators [30]. HEO was originally conceptualised as a component of the theory of educational production functions, which considers schools as sites where various educational resources interact to produce educational outputs [31]. Scholars mainly measure HEO using the gross enrolment rate [5], the educational achievement levels of university students [32], and the graduation rate [33]. A few have considered other approaches such as employment rates [30], course evaluations [34], and the proportion of university students in the labour force [35].
In short, most studies construct output indicators based on the perspectives of university students. However, university students are not yet a part of the social productive forces that can exert a direct impact on ISE. Furthermore, existing studies tend to adopt a single output measure, since they consider only the human capital function of higher education and ignore the functions of research and knowledge commercialisation. Nevertheless, as the concept of university 3.0 has pointed out, universities of the new era not only educate students and conduct research but—to a greater extent—also aid the commercialisation of research. In particular, universities in East Asia have taken knowledge transfer more seriously and regard it as the stepping-stone to enhance their global competitiveness [36]. Thus, the research and knowledge commercialisation functions of higher education should also be valued.
2.3. The Measurement of ISE
The concept of ISE began with the theory of the global value chain [37], which, in most literature, refers to the process of industrial structure upgrading. From the perspective of firms, industrial structure upgrading implies the constellations of ways in which firms can move up the global value chain from low-value-added manufactures to high-value-added goods [20,38]. From the perspective of structural change, industrial structure upgrading refers to the process of constant change in the industrial structure’s centre and the evolution of the primary industry into secondary and tertiary industries successively [39,40]. It is mainly measured by the unit prices, market shares, and overall intrinsic quality of the products [38,41,42].
However, the concept of industrial structure upgrading cannot reflect the dynamic optimisation and combination between production, economic technology, and resources during the process of ISE. Therefore, employing the concept of industrial structure rationalisation is necessary; this concept refers to the process by which resource allocation is optimised continuously with the sustainable development of the economy, and enterprises are upgraded from low-tech and labour-intensive to high-tech and capital-intensive industries [43]. It is often measured by labour productivity, industrial structure relations, and industrial deviation degrees [44,45].
In sum, previous studies have had some weaknesses. First, despite abundant and insightful writings on the unidirectional relationship between higher education and economic development, there has been a relative dearth of research on the two-way causal relationship between HEO and specific parts of economic development, especially ISE. Second, studies have not clarified whether the different indicators of HEO and ISE have equal impacts on each other. Third, studies such as Etkowitz [46] have placed particular focus on universities, especially research universities, while neglecting the fact that vocational schools are also important sources of higher education. Fourth, studies have tended to analyse the relationship between HEO and ISE at the national level. However, as Bergman [47] pointed out, regional-level analysis is also important because university-industry relations may play a different role in each region based on the specific conditions of firms, universities, and socioeconomic contexts. Last, the measurements of HEO and ISE still require further improvements, since past studies have seldom taken the research and knowledge commercialisation functions of higher education into account and have neglected the process of industrial structure rationalisation during ISE.
This study, therefore, aims to overcome the weakness of existing studies and complement their findings. Accordingly, taking both universities and vocational schools into account, this study selected a regional case, the Hubei province in China, and analysed its relevant HEO-ISE interactions in great detail by systematically measuring the causality, response styles, and contribution rates between their different indicators. Meanwhile, this study also constructed comprehensive indicator systems for HEO and ISE.
3. Materials and Methods
This section firstly expounds the research framework of this study and then states the reason why the authors select Hubei province as the research target. Next, it illustrates the research methodology in detail, followed by the explanation of the sources of the data required.
3.1. Research Framework
As shown in Figure 1, this study utilised a relation framework (0) to delineate the HEO-ISE interaction in Hubei, China. Primarily, this study quantified HEO into the graduate scale (GS), education advancement (EA), and innovation outputs (IO); quantified industrial structure evolution into industrial structure upgrading (IU) and industrial structure rationalisation (IR). Next, it applied the Granger causality test to explore the two-way causal relationships between the indicators. Moreover, it employed the vector auto-regression (VAR) model, impulse response function (IRF), and variance decomposition to explain their different response styles and contribution rates further. The empirical process was conducted using EViews 6.0.
Figure 1.
Research framework.
3.2. Study Area
China is a vast country consisting of 34 administrative districts, namely provinces, most of which are similar in size to the larger European states and quite divergent in their socioeconomic contexts. Furthermore, they have their own sub-national governments and exercise substantial autonomy in policymaking and fiscal matters, thus leading to obvious regional disparities [48]. Therefore, in the Chinese context, it is necessary to focus on a specific and representative regional case.
The Hubei province is home to many immortal poets and politicians. It has implemented major educational policies in China since ancient times. Now, in the modern era, it plays a more vital role in Chinese higher education, owning the largest number of HEIs in the Midlands and producing over 6,000,000 graduates since the economic reform in the late 1970s. Notably, according to the Hubei Provincial Bureau of Statistics [49], local enterprises tend to be the first choice for most graduates, so the phenomenon of brain drain is not a serious concern in the Hubei province. Thus, this study assumed that graduates from Hubei HEIs have low mobility and tend to move only within the Hubei province.
3.3. Research Methodology
3.3.1. Indicator Selection and Definitions
Considering the human capital function of HEIs, the first HEO is the number of graduates. However, graduates are not the exclusive source of human resources in ISE, and certain fluctuations can be found in the ratio of graduates to human resources. Thus, the number of graduates cannot correctly reflect the human capital function of HEIs. Considering this, this study assumed that all university students were engaged in secondary and tertiary industries after graduation, and applied the ratio of the number of additional graduates to the number of additional employees compared to the prior year in both secondary and tertiary industries; this calculation reflected the ratio of changes in the number of graduates to the number of employees (recorded as Ri). After normalising it to 0~1, Ri represented the function coefficient of the number of graduates (Ni), and their product indicated the human resource outputs with weight from HEIs, namely, graduate scale (recorded as GSi).
GSi = Ni × Ri.
In this formula, Ni is the number of graduates, Ri is the function coefficient, i is the year, and GSi is the value of graduate scale.
Considering the research function of HEIs and the fact that postgraduates with higher education level than undergraduates are the main forces of research [50], education advancement was considered as the second HEO. Education advancement refers to the process by which the talent structure shifts its gravity centre. This paper assumes that n kinds of educational backgrounds exist and that, by ordering them according to decreasing levels and recording their proportions to gross graduate numbers as Pj, (0 < Pj < 1), an education advancement evaluation index (EA) can be constructed to describe the hierarchy that exists among graduates with regard to average educational level. In this study, educational backgrounds comprised three hierarchies formed by the average educational levels of postgraduates, undergraduates, and vocational school graduates, respectively. As the percentage of the number of graduates with higher educational levels increases, the EA value also increases.
Considering the knowledge commercialisation function of HEIs, the third HEO is innovation outputs. Many early studies on innovation outputs have taken patenting and licensing as indicators [51,52]. However, recent studies have verified that collaborative activities, such as contracts and consulting, account for a larger proportion of innovation outputs [53]. Therefore, this study measured innovation outputs using universities’ market turnover related to technological innovations in contracts; this refers to the sum of the contractual amounts recorded in the registered technology contracts (including technology development, technology transfer, and technical consultation and services).
In terms of industrial structure upgrading, this study used the concept based on the perspective of structural change and followed the measurement used by Fu [54]. First, a three-dimensional space vector, X0 = (x10, x20, x30), was defined, where x10, x20, and x30 indicated the ratios of the GDP accounted for by the added values of the primary, secondary, and tertiary industries, respectively. Next, the intersection angles, θ1, θ2, and θ3, between X0 and space vectors, X1 = (1,0,0), X2 = (0,1,0), and X3 = (0,0,1), ordered according to increase in level, were calculated. The general mathematical expression was as follows
where, i, j = 1, 2, 3.
Successively, the IU value of industrial structure upgrading was calculated as
where, k, j = 1, 2, 3. The higher the IU value, the more superior the industrial structure.
In terms of industrial structure rationalisation, this study adopted the Theil index as a measure because it included the economic theoretical foundation of structural deviation and indicated the importance of different industries, thus effectively simulating the actual process of economic development through the parameters in
where IR represents the value of industrial structure rationalisation; Y, the value of outputs; L, the number of employees; i, industry; n, the number of industries. The closer the IR value is to 0, the more rational the industrial structure becomes; conversely, the higher the IR value, the more irrational the industrial structure becomes.
3.3.2. Methods for Analysing Causal Relationships between HEO and ISE
The Granger causality test is a statistical explanation of the relationship between variables, which is essentially a test of whether a variable’s lag variable can be introduced into other variables’ equations [55]. Thus, the Granger causality test is a pivotal approach for determining the causality among variables of time series. Its fundamental concept is that if a variable is affected by other variables’ lagged values Granger causality exists among them. Suppose there are two time series, the variables could be expressed in the following equation:
The lagged value Xt−i of X can cause Yt to fluctuate. That is, at least one i0 causes βi0 ≠ 0. Under this circumstance, variable Y is the Granger reason for X. In practice, before the operation, the time series should first meet the requirements of stability; otherwise, it is necessary to smooth the variables. Generally, the stability of the time series is verified by the difference operation and the unit root test of sequences, followed by a cointegration test. Only when the variables have a long-term equilibrium relationship can a Granger causality test be performed.
3.3.3. Methods for Analysing Response Style and Contribution Rate
Vector autoregression (VAR) is a model based on the statistical properties of data; it constructs the model by considering each endogenous variable in the economic system as a function of the hysteresis value of all endogenous variables in the system, and then analyses the dynamic impact caused by random disturbance on the variable system to explain various economic impacts on the formulation of economic variables [55]. Compared with ordinary simultaneous equations, the VAR model deals with all variables as endogenous variables, reducing the uncertainty in the simultaneous equation model due to subjective error. Thus, the VAR model is one of the most useful and convenient methods to analyse and predict the complex relationship between multiple relative indicators. Its general mathematical expression is
where, t = 1, 2, …, t. yt is the column vector of the k-dimension endogenous variable; Xt, the column vector of the d-dimension exogenous variable; Φ1~Φp, the parameter matrices to be estimated; εt, the k-dimensional perturbed column vector; p, the lagged intervals for the endogenous. After constructing the VAR model, this study further adopted the impulse response function to analyse the dynamic response of an endogenous variable to the impact of a perturbation term (namely, the response style), and applied the variance decomposition to delineate the relative importance degrees of each impact on the endogenous variables (namely, the contribution rate).
3.4. Research Data
The methodology above requires data that describe the key indicators. Specifically, the number of employees and the GDP were derived from the Hubei Statistical Yearbook. Also, the numbers of postgraduates, undergraduates, and vocational school graduates were obtained from the Hubei Education Statistical Yearbook. In addition, the universities’ market turnover related to technological innovations was derived from the Compilation of Science and Technology Statistics of Universities. Furthermore, a constant price processing was applied to the GDP and university technology market turnover based on 2003 values.
Besides, the period from 2004 to 2013 was selected as the research interval for the following reasons: (i) 2004 is the start year when the first group of university graduates joined the employees and had an impact on ISE after the university expansion plan; (ii) in 2012, the Chinese government implemented some large-scale discipline adjustments, and a scientific comparison of graduates can be conducted only under the same discipline-setting framework; (iii)the overall tendency of economic development from 2004 to 2013 was stable led to reduced external distractions in data selection and improved the reliability of the results. The descriptive statistics of variables are shown in Table 1.
Table 1.
Descriptive statistics of variables for HEO and ISE.
4. Results
Consistent with the research design, this section firstly presents the results of the different indicators of HEO and ISE. Then it orderly discusses the results of Granger causality test, VAR model parameter estimation, impulse response function and variance decomposition.
4.1. Measurement and Analysis of HEO and ISE
4.1.1. Measurement and Analysis of HEO
As indicated in Figure 2, the graduate scale between 2004 and 2008 presented a wavelike rising trend from 93,829 in 2004 to 464,123 in 2008, implying that the impact of graduates on human resources in the Hubei province became increasingly significant. Notably, in 2009, the number of employees in both secondary and tertiary industries increased rapidly, while the number of graduates decreased by 8396, resulting in the most significant weakening of the graduates’ impact on human resources. The 2008–2009 Chinese economic stimulus program was carried out by the State Council of China to explain this phenomenon in a certain extent. On November 2008, the Chinese government announced a RMB¥ 4 trillion stimulus package as an attempt to minimize the impact of the global financial crisis on the economy. This program brought increasing investment in key areas such as housing, rural infrastructure, transportation, and disaster rebuilding, which, consequently, supplied quantity of labour-intensive occupations and helped transform lots of farmers into construction workers. At the same time, many university students chose to pursue further education in graduate schools due to the fact that the financial crisis made it difficult for them to find optimal jobs. This reduced the numbers of graduates during the period of the financial crisis. Further, the Regulations on adjusting the enrolment plan for vocational schools released in 2006 greatly reduced the enrolment rate in vocational schools, partly accounting for the shrinkage of the numbers of graduates in 2009. After the financial crisis, the graduate scale then began to increase from 30,553 in 2010 to 51,478 in 2013.
Figure 2.
The level of graduate scale in Hubei Province from 2004 to 2013.
As shown in Figure 3, the education advancement level presents a tendency toward a decrease, followed by increase: from 2004 to 2005, the education advancement level declined from 1.592 to 1.545 due to the rapid increase in the number of vocational school graduates. After the policy of enrolment structure adjustment was introduced in 2006, the education advancement level increased slightly. However, from 2007 to 2009, China began to launch the reform in the higher education system, and the school years of masters students have gradually changed from two years to three years. This reduced the numbers of postgraduates. Therefore, during this period, the value of education advancement dropped again and fell to its valley value (1.467) in 2009. Since 2010, the level of educational advancement has gradually increased from 1.522 to 1.570 in 2013.
Figure 3.
The level of educational advancement in the Hubei Province from 2004 to 2013.
By applying constant price processing to universities’ market turnover related to technological innovations in different years based on the 2003 value, the market turnover of constant price from 2004 to 2013 in the Hubei province can be identified, namely, the level of innovation outputs. As shown in Figure 4, the level of innovation outputs progressed through different stages. On the one hand, it showed a trend toward wavelike decrease and fell to its valley value (40,082) during the first stage; on the other hand, it performed a trend of wavelike increase and reached its peak value (80,288) during the second stage.
Figure 4.
The level of innovation outputs in the Hubei Province from 2004 to 2013.
4.1.2. Measurement and Analysis of ISE
By using Equations (3)–(5), the values of industrial structure upgrading and rationalisation in Hubei province from 2004 to 2013 were obtained (Figure 5). Overall, the level of industrial structure upgrading in the Hubei Province is improving and can be classified into stages. From 2004 to 2006, a rapid increase in the level can be observed; it rose from 5.889 to 6.818. However, it began to decrease between 2006 and 2008 and fell to 5.954 in 2008. This was closely related to the financial crisis of 2008. In 2009, it began to advance and reached 6.328. Between 2010 and 2013, the level steadily increased from 6.297 to 7.491. In terms of industrial structure rationalisation levels, it fluctuated within the range of 0.21 to 0.31 during the study period, and its overall change was not significant. As mentioned above, the higher the IR value, the more irrational the industrial structure becomes. Between 2004 and 2011, the IR value reached its peak (0.31) in 2011, meaning the industrial structure tended to be irrational; this was closely related to the labour-intensive industry transfer from east China to the Midlands. From 2012 to 2013, the IR value declined from 0.3 to 0.27, indicating that the industrial structure was moving toward a tendency to be rational.
Figure 5.
Industrial structure evolution in the Hubei Province from 2004 to 2013. (a) Value of industrial structure upgrading; (b) value of industrial structure rationalisation.
4.2. The Causal Relationships between HEO and ISE
4.2.1. The Unit Root Test and Cointegration Test
A time series was employed for the paper’s empirical test, which must be checked prior to the model establishment and analysis to avoid pseudo regression between variables [56]. In this paper, the common unit root test methods, Augment Dickey-Fuller (ADF) and cointegration tests were carried out to test the time series. The results of the unit root test are shown in Table 2, which shows that all the time series of this empirical test under the 10% confidence level satisfies the first order integer serial.
Table 2.
The results of the unit root test.
The results of the cointegration test are shown in Table 3. They reveal that the variables rejected the null hypothesis on IU-EA, IU-IO, IR-EA, and IR-GS at the 95% confidence level and rejected the null hypothesis on IR-IO at the 90% confidence level, thus indicating that there were cointegration relations between the variables. Therefore, a Granger causality test could be performed on the above variable pairs. However, the p value of variables on IU-GS was 0.273, implying that it did not pass the cointegration test, and thus a Granger causality test could not be conducted.
Table 3.
The results of the cointegration test.
4.2.2. Granger Causality Test
Prior to the Granger causality test, the most reasonable lagged order was decided based on the Akaike information criterion (AIC) and Schwarz criterion (SC). The results of the Granger causality test are shown in Table 4. The probabilities that industrial structure upgrading (IU) and industrial structure rationalisation (IR) were not the Granger reasons for education advancement (EA) were only 0.017 and 0.035, respectively. This indicated that the early changes in industrial structure upgrading (IU) and industrial structure rationalisation (IR) could effectively explain the changing process of education advancement (EA). Additionally, the probabilities that graduate scale (GS) and innovation outputs (IO) were not the Granger reasons for industrial structure rationalisation (IR) were only 0.045 and 0.092 respectively, indicating that the early changes of graduate scale (GS) and innovation outputs (IO) could also effectively explain the change process of industrial structure rationalisation (IR). However, there were no causal relationships between industrial structure upgrading (IU) and innovation outputs (IO) because their p-values were not significant. Furthermore, education advancement (EA) was not the Granger reason for industrial structure upgrading (IU) or industrial structure rationalisation (IR).
Table 4.
The results of the Granger causality test.
4.3. The Response Style and Contribution Rate between HEO and ISE
4.3.1. VAR Model Parameter Estimation
Based on the Granger causality relations obtained above, two sets of VAR models were constructed.
In the first model, industrial structure upgrading (IU), industrial structure rationalisation (IR), and education advancement (EA) were the variables. After parameter estimation, a relationship model was constructed as follows (the adjusted R2 = 0.970791):
In the second model, the graduate scale (GS), innovation outputs (IO), and industrial structure rationalisation (IR) were the variables. After parameter estimation, a relationship model was constructed as follows (the adjusted R2 = 0.527275):
4.3.2. Impulse Response Function
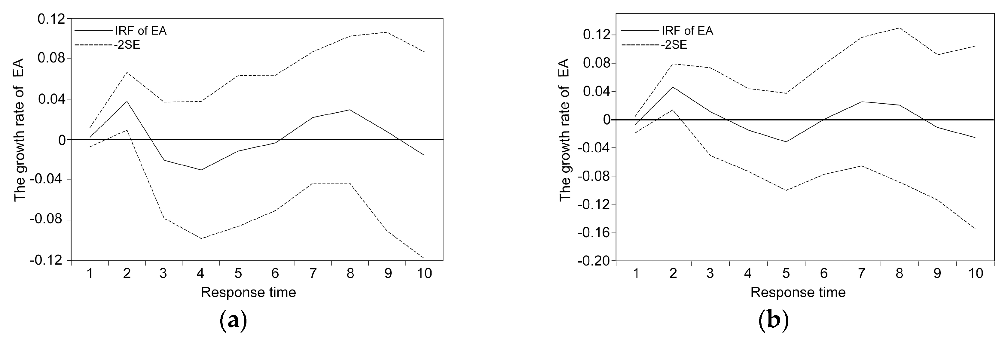
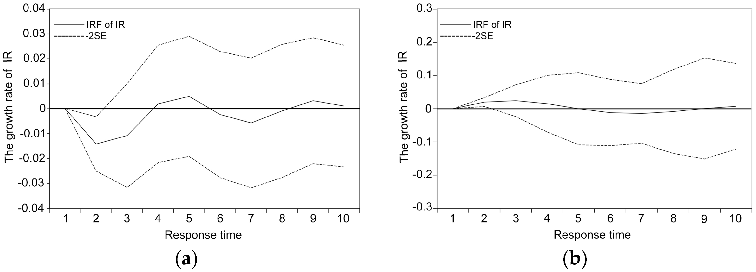
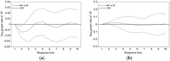
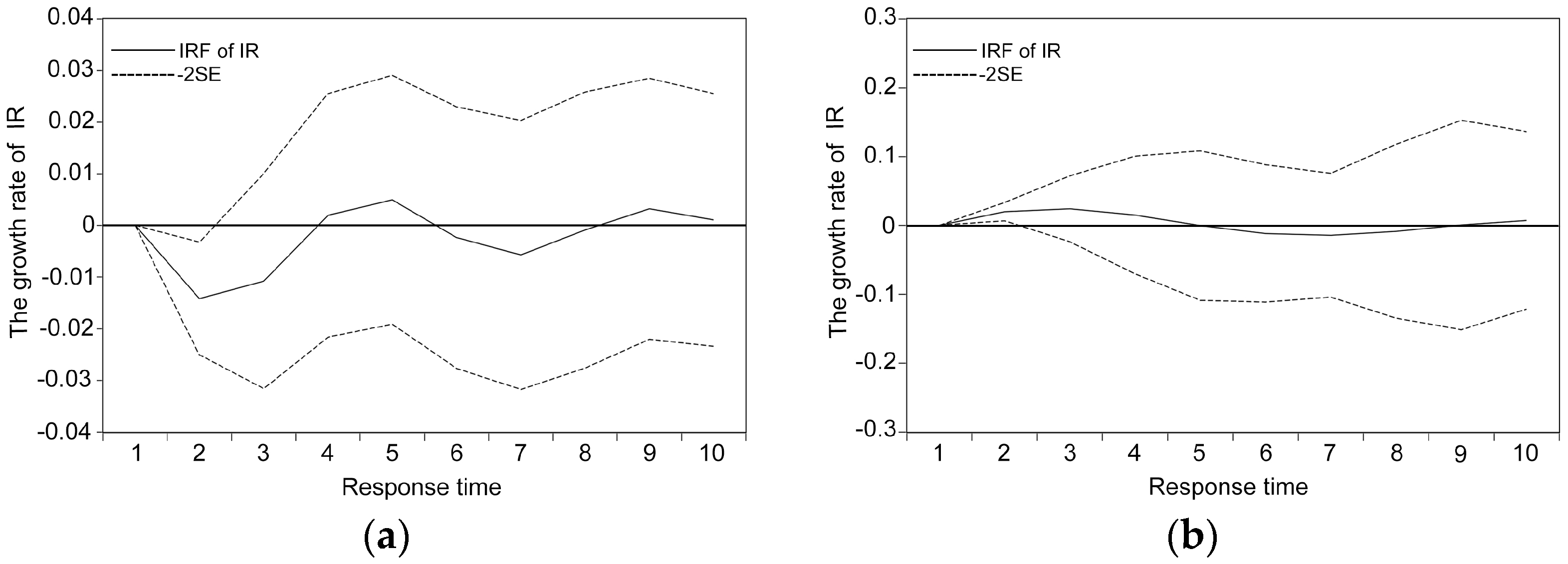
The results of the stationary test of the VAR models obtained above show that all characteristic roots of the models are in the unit circle. Thus, an impulse response function can be carried out to analyse the response styles between the variables. Their IRF graphs were plotted in Figure 6 and Figure 7. The horizontal axis is the response time (unit: year) of the impact, the vertical axis the growth rate of variable, the solid line the IRF, and the dotted line the positive or negative double standard deviation belts (-2SE).
Figure 6.
The impulse response of EA caused by the impact of IU and IR. (a) Response of EA to IU; (b) Response of EA to IR.
Figure 7.
Impulse response of IR caused by the impact of IO and GS. (a) Response of IR to IO; (b) Response of IR to GS.
As Figure 6 indicates, if a positive impact is applied to industrial structure upgrading (IU) and industrial structure rationalisation (IR) respectively, education advancement (EA) will indicate a response quickly, and it will achieve the peak value in the second year. This means that whenever the industrial structure becomes more advanced and rational, the demand for advanced talents emerges within a short time period. As enterprises continue to employ adequate talents for production, the quantity demanded declines until the seventh year, which indicated that the ISE demand for talents in Hubei province had a strong stage characteristic.
As Figure 7 indicates, if a positive impact is applied to innovation outputs (IO), industrial structure rationalisation (IR) will be promoted in the fourth and fifth periods, suggesting that the positive impact of technology innovation on industrial structure will be revealed only after four or five years. This can be described as the time lag. If a positive impact is applied to the graduate scale (GS), the industrial structure rationalisation (IR) will be promoted in the first four periods, but this effect is not obvious enough.
4.3.3. Variance Decomposition
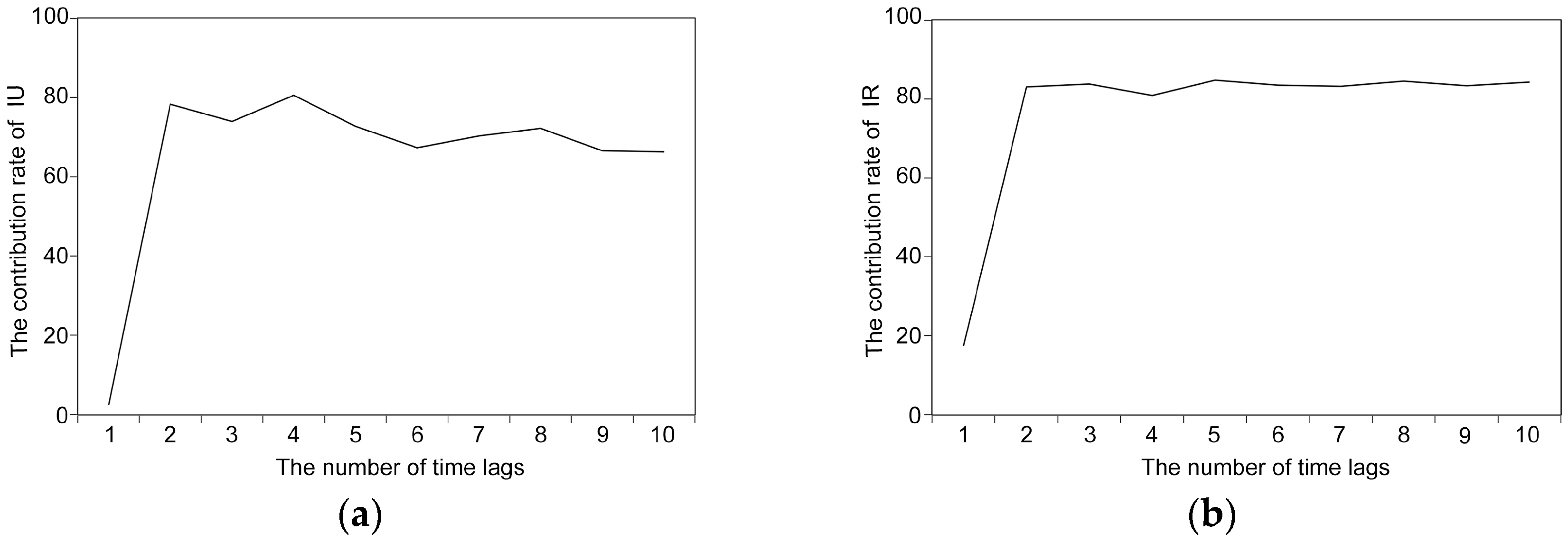
To assess the importance of impulse response impact further, this study introduced variance decomposition to analyse the four variables pairs, EA-IU, EA-IR, IR-IO and IR-GS, and determined the contribution rate of every structural impact on the growth rates of the variables. The results are shown in Figure 8 and Figure 9 respectively. The horizontal axis represents the number of time lags (unit: year), and the vertical axis represents the contribution rate (unit: Per centage) of the variable. The higher the value, the greater the contribution.
Figure 8.
Variance Decomposition of EA. (a) Per cent EA variance due to IU; (b) Per cent EA variance due to IR.
Figure 9.
Variance Decomposition of IR. (a) Per cent IR variance due to IO; (b) Per cent IR variance due to GS.
As Figure 8 indicates industrial structure upgrading (IU) had a very high contribution rate towards education advancement (EA), with a maximum of 80.57%. Moreover, with the passage of time, the contribution rates presented a trend of wavelike decrease but were still high in overall. Industrial structure rationalisation (IR) also had a high contribution rate, with a sustained and stable high contribution capacity.
As shown in Figure 9, the contribution rate of innovation outputs (IO) to industrial structure rationalisation (IR) was above 40%, reaching its maximum value in three years, fluctuating slightly in the fourth, fifth, and sixth years, then staying comparatively stable during the later periods. The contribution rate of graduate scale (GS) to industrial structure rationalisation (IR) was above 30%. It appears that the contribution of graduate scale (GS) to industrial structure rationalisation (IR) was weaker than that of the innovation outputs (IO).
5. Discussion and Implications
As pointed out by the Ministry of Education of China (2017) [57], the gross enrolment rate of Chinese HEIs in 2017 reached 45.7%—higher than the global average level—and the number of students in Chinese HEIs reached 38 million, accounting for one-fifth of the world’s total number. Undoubtedly, China has made great achievements in mass higher education. Contrary to the widely-accepted opinions about the positive impact of higher education on industrial structure, China is still trapped in its labour-intense, low-value-added and high-resource-consumed industrial production mode. This production mode has significantly hindered the sustainable development of China. Specifically, from the ecological dimension, this production mode has exerted too much pressure on the environment and broken the general laws of nature, leading to extreme weather and unusual nature activities. From the social dimension, this production mode has exposed human beings to serious industrial pollution such as air pollution, climate change, and heat island effect, which is threatening public health [58]. Meanwhile, from the economic dimension, this production mode has greatly decreased the efficiency of material and energy usage and produced a huge financial loss in light of the enormous scale of China’s industrial sector. Under this circumstance, in May 2015, the Chinese Central Government released the initiative of ‘Made in China 2025’ which aspires to comprehensively evolve China’s industrial structure, and based on this plan involving "Smart Manufacturing” and “Industrie 4.0”, China aims to become the leading industrial power by 2049 [59]. However, some scholars demonstrated that industrial digitalization would also bring about some social challenges such as large-scale job losses and increasing competition [60,61]. Notably, Beier et.al [61] advocated that qualifications required of workers in a digitalized industry would increase substantially, suggesting that educational levels and skills of workers will become more vital components of people’s future viability. Hereby, policy-makers and scholars should address the questions about how to fully utilize the positive effects of HEO on ISE and what HEIs could do to follow up the changes in industry. The findings of this paper can, to some extent, give answers to the above questions and provide some noteworthy implications for future policies about educational improvement, industrial evolution and sustainable development.
First, this study verified that there exist two sets of unidirectional Granger causality between HEO and ISE: (i) industrial structure upgrading and rationalisation are the Granger reasons for education advancement; (ii) innovation outputs and graduate scale are the Granger reasons for industrial structure rationalization. This provides new empirical findings to the fierce argument on the interaction between higher education and economic development.
Second, industrial structure upgrading and rationalisation can promote education advancement both quickly and remarkable. This means whenever the industrial structure indicates more upgrading and rationalization, the demand for advanced talents with higher education levels emerges in a short time. Thus, from the perspective of educational improvement, talent cultivation should be modified in accordance with changes in the industrial structure. Just as Lee (2016) [62] suggested that schools can make changes in the goals and content of the learning process to adjust to industrial restructuring.
Third, education advancement, in turn, does not contribute to ISE, which suggests that there exists a substantial mismatch between the supply of higher-educated human capital and the demands of industrial development; this may have resulted from the nation’s strong control over HEIs [63]. More autonomy thereby should be granted to HEIs, and more efficient policies should be formulated to enhance HEIs’ abilities to cope with dramatic evolutions in technology and the changing skill needs of enterprises. In this way, HEIs can develop more scientifically and achieve their positive effects on ISE.
Fourth, none of the indicators of HEO contributes to industrial structure upgrading, partly due to the lack of effective channels between HEO and ISE. In addition, as revealed by He [5] higher education itself is not a sufficient condition for industrial structure upgrading, since other intermediating markets and social contexts are crucial too, especially the rational allocation of educational resources to both the private and public sectors, rather than one or the other. Thus, to advance the industrial structure, it is crucial to develop a friendly and fair environment and optimise the resources between different sectors.
Lastly, the burgeoning number of university expansion plans in China may be perceived to be too time-consuming and effort-consuming as the impact of graduate scale on industrial structure rationalisation is limited when compared to that of innovation outputs. Therefore, to optimize the industrial structure, on the one hand, the Chinese government should develop a wider portfolio of robust data for supporting evidence-based decision-making to address human capital needs better instead of focusing on blind expansion. On the other hand, more emphasis should be placed on accelerating the knowledge transfer from universities to industries (e.g., establishing specialised units, constructing collaboration networks, and carrying out public-private research and development partnership programmes). However, the findings of this paper also show that it takes the increase of innovation outputs by HEIs four or five years to have a positive impact on industrial structure rationalisation. This indicates that university innovation should be considered as a long-term development strategy.
6. Conclusions
Confronted with the severe environmental pollution caused by industrial production, many countries have been keen on developing strategic, innovative, and profitable industries to proceed with higher quality development and strive to achieve a balance between economic development and environmental protection [64,65]. Thus, industrial structure evolution is widely considered as an important force in sustainable development [12]. Meanwhile, the advent of the global economy, the expansion of technological knowledge, and the growth of the knowledge production have made higher education inclusive and directly responsible for industrial structure evolution. Despite a long and fruitful research tradition in understanding the unidirectional relationships between higher education and economic development, there is a lack of empirical studies on the interaction modes between HEO and ISE. In light of this situation, this study employed an explicit econometrical method to explore the causality, response styles, and contribution rates between HEO and ISE.
The main empirical results of this study have highlighted the importance of industrial structure evolution for educational advancement and the catalytic action of innovation outputs for industrial structure evolution. These findings are expected to be useful as an instrument to promote sustainable ecological, social and economic development as they have lit the paths on how to improve Chinese industrial structure and facilitate sound interaction between the economic system and education system. Further, the findings could also help to shed light on the required frame conditions for successfully implementing the program of Made in China 2025.
Our main contributions to the existing literature lie in systematically exploring the two-way causal relationship between HEO and ISE. By using the graduate scale and universities’ market turnover related to technological innovations in contracts as indicators of HEO instead of the numbers of graduates and patents, the study made another important contribution. The measurement processes of indicators used in this study are replicable and systematic, allowing for potential longitudinal studies. Furthermore, the approach this paper took to determine the interaction modes offers a way forward for exploring the relationships between education and other specific aspects of economic development.
However, this research design also has some limitations, which simultaneously point toward future research avenues. First, as modern HEIs take on more and more new roles in the socio-economic system, it is difficult to consider all the aspects of HEO in the study. Thereby, other aspects of HEO such as the quality of higher education and the outputs of university culture could be further discussed. Second, the study integrated vocational schools and universities together and did not segment the sectors of industries. However, more inspiring conclusions might be drawn if the authors do some comparative study across the geographical regions. Further research hereby could be conducted on the varying interaction modes between different types of HEIs and different sectors of industries. Third, the factors underlying the interaction modes between HEO and ISE, especially the specific roles played by intermediaries and educational institutions, also deserve more attention from policy-makers and scholars.
Author Contributions
Conceptualization, D.H.; methodology, software, formal analysis, M.Z. and W.C.; writing—original draft preparation, M.Z. and Y.L.; writing—review and editing, D.H., Q.Y. and M.Z.
Funding
This research was funded by the National Natural Science Foundation of China (grant number 41471138); the State Scholarship Fund of China Scholarship Council (grant number 201706145003); the Key Project of Chief Research Base of Humanities and Social Sciences of MOE (grant number 11JJDZH007).
Conflicts of Interest
The authors declare that they have no conflict of interest.
References
- Romer, P.M. Endogenous Technological Change. J. Polit. Econ. 1990, 98, 70–102. [Google Scholar] [CrossRef]
- Wright, M.; Clarysse, B.; Lockett, A.; Knockaert, M. Mid-range universities’ linkages with industry: Knowledge types and the role of intermediaries. Res. Policy 2008, 37, 1205–1223. [Google Scholar] [CrossRef]
- Etzkowitz, H.; Leydesdorff, L. The dynamics of innovation: From National Systems and “Mode 2” to a Triple Helix of university–industry–government relations. Res. Policy 2000, 29, 109–123. [Google Scholar] [CrossRef]
- Benhabib, J.; Spiegel, M.M. The role of human capital in economic development evidence from aggregate cross-country data. J. Monet. Econ. 1994, 34, 143–173. [Google Scholar] [CrossRef]
- He, Q. Link education to industrial upgrading: A comparison between South Korea and China. Asian Educ. Dev. Stud. 2015, 4, 163–179. [Google Scholar] [CrossRef]
- Minsky, H.P. Stabilizing an Unstable Economy: The Lessons for Industry, Finance and Government. Hyman P. Minsky Archive 1986, 513. Available online: https://digitalcommons.bard.edu/cgi/viewcontent.cgi?article=1513&context=hm_archive (accessed on 15 March 2010).
- Grossman, G.; Helpman, E. Innovation and Growth in the World Economy; MIT Press: Cambridge, MA, USA, 1991. [Google Scholar]
- Milberg, W.; Winkler, D. Economic and social upgrading in global production networks: Problems of theory and measurement. Int. Labour Rev. 2011, 150, 341–365. [Google Scholar] [CrossRef]
- OECD. Higher Education in Regional and City Development: Catalonia, Spain; OECD Publishing: Paris, France, 2010. [Google Scholar]
- Ge, Y.; Ho, K.C. The cultivation of research labor in Pacific Asia with special reference to Singapore doctoral programs in Pacific Asia. Asia Pacific Educ. Rev. 2018, 19, 199–210. [Google Scholar] [CrossRef]
- Nolan, P. Is China Buying the World? Challenge 2012, 55, 108–118. [Google Scholar] [CrossRef]
- Wu, J.; Wei, Y.D.; Li, Q.; Yuan, F. Economic transition and changing location of manufacturing industry in China: A study of the Yangtze River Delta. Sustainability 2018, 10, 2624. [Google Scholar] [CrossRef]
- Sharma, S.D. China and India in the Age of Globalization; Cambridge University Press: Cambridge, UK, 2009. [Google Scholar]
- Hojo, M. An indirect effect of education on growth. Econ. Lett. 2003, 80, 31–34. [Google Scholar] [CrossRef]
- Huang, C.Y. How background, motivation, and the cooperation tie of faculty members affect their university–industry collaboration outputs: An empirical study based on Taiwan higher education environment. Asia Pac. Educ. Rev. 2018, 19, 413–431. [Google Scholar] [CrossRef]
- Paniccia, P.M.A.; Baiocco, S. Co-evolution of the university technology transfer: Towards a sustainability-oriented industry: Evidence from Italy. Sustainability 2018, 10, 4675. [Google Scholar] [CrossRef]
- Sampat, B.N.; Mowery, D.C.; Ziedonis, A.A. Changes in university patent quality after the Bayh-Dole act: A re-examination. Int. J. Ind. Organ. 2003, 21, 1371–1390. [Google Scholar] [CrossRef]
- Bloom, D.E.; Hartley, M.; Rosovsky, H. Beyond private gain: The public benefits of higher education. In International Handbook of Higher Education; Forest, J.J.F., Altbach, P.G., Eds.; Springer: Dordrecht, The Netherlands, 2006; Volume 18, pp. 293–308. [Google Scholar]
- Karpov, A. The Modern University as a Driver of Economic Growth. Probl. Econ. Transit. 2017, 59, 909–930. [Google Scholar] [CrossRef]
- Gereffi, G. International trade and industrial upgrading in the apparel commodity chain. J. Int. Econ. 1999, 48, 37–70. [Google Scholar] [CrossRef]
- Solow, R.M. Technical Change and the Aggregate Production Function. Rev. Econ. Stat. 1957, 39, 312–320. [Google Scholar] [CrossRef]
- Aguiar-Díaz, I.; Díaz-Díaz, N.L.; Ballesteros-Rodríguez, J.L.; De Sáa-Pérez, P. University-industry relations and research group production: Is there a bidirectional relationship? Ind. Corp. Chang. 2016, 25, 611–632. [Google Scholar] [CrossRef]
- Leydesdorff, L.; Meyer, M. The Triple Helix of university–industry–government relations. Scientometrics 2003, 58, 191–203. [Google Scholar] [CrossRef]
- Jing, J.J. Research on the coordination of Chinese industrial structure and employment structure. Econ. Probl. 2016, 1, 60–65. (In Chinese) [Google Scholar]
- Lau, Y.Y.; Ng, A.K.Y. The motivations and expectations of students pursuing maritime education. WMU J. Marit. Aff. 2015, 14, 313–331. [Google Scholar] [CrossRef]
- Pillay, P. Higher Education and Economic Development: Literature Review; Centre for Higher Education Transformation: Cape Town, South Africa, 2011. [Google Scholar]
- Ca, T. Universities as Drivers of the Urban Economies in Asia: The Case of Vietnam; World Bank Policy Research Working Paper 3949; World Bank: Washington, DC, USA, 2006. [Google Scholar]
- Vu, T.B.; Hammes, D.L.; Im, E.I. Vocational or university education? A new look at their effects on economic growth. Econ. Lett. 2012, 117, 426–428. [Google Scholar] [CrossRef]
- Kumar, K.B. Education and technology adoption in a small open economy: Theory and evidence. Macroecon. Dyn. 2003, 7, 586–617. [Google Scholar] [CrossRef]
- Lee, K.W.; Chung, M. Enhancing the link between higher education and employment. Int. J. Educ. Dev. 2015, 40, 19–27. [Google Scholar] [CrossRef]
- Hanushek, E. Conceptual and Empirical Issues in the Estimation of Educational Production Functions. J. Hum. Resour. 1979, 14, 351–388. [Google Scholar] [CrossRef]
- Hanushek, E.A.; Woessmann, L. The economics of international differences in educational achievement. In Handbook of the Economics of Education; Hanushek, E.A., Machin, S., Woessmann, L., Eds.; Elsevier: Amsterdam, The Netherlands, 2011; Volume 3, pp. 89–200. [Google Scholar]
- Webber, D.A.; Ehrenberg, R.G. Do expenditures other than instructional expenditures affect graduation and persistence rates in American higher education? Econ. Educ. Rev. 2010, 29, 947–958. [Google Scholar] [CrossRef]
- Kelley, A.C. Uses and Abuses of Course Evaluations as Measures of Educational Output. J. Econ. Educ. 1972, 4, 13–18. [Google Scholar] [CrossRef]
- Li, Y.M. Research on the impact of higher education development on industrial structure in Guangdong. Higher Educ. Explor. 2012, 5, 38–43. (In Chinese) [Google Scholar]
- Mok, K.H. The quest for an entrepreneurial university in East Asia: Impact on academics and administrators in higher education. Asia Pac. Educ. Rev. 2013, 14, 11–22. [Google Scholar] [CrossRef]
- Porter, M.E. Competitive Advantage: Creating and Sustaining Superior Performance; Simon and Schuster Press: New York, NY, USA, 1985. [Google Scholar]
- Ponte, S.; Ewert, J. Which Way is “Up” in Upgrading? Trajectories of Change in the Value Chain for South African Wine. World Dev. 2009, 37, 1637–1650. [Google Scholar] [CrossRef]
- Guan, W.; Xu, S.T. Spatial patterns and coupling relations between energy efficiency and industrial structure in Liaoning Province. Acta Geogr. Sinica 2014, 69, 520–530. (In Chinese) [Google Scholar]
- Pipkin, S.; Fuentes, A. Spurred to Upgrade: A Review of Triggers and Consequences of Industrial Upgrading in the Global Value Chain Literature. World Dev. 2017, 98, 536–554. [Google Scholar] [CrossRef]
- Kaplinsky, R.; Readman, J. Globalization and upgrading: What can (and cannot) be learnt from international trade statistics in the wood furniture sector? Ind. Corp. Chang. 2005, 14, 679–703. [Google Scholar] [CrossRef]
- Schott, P.K. Across-product versus within-product specialization in international trade. Q. J. Econ. 2004, 119, 647–678. [Google Scholar] [CrossRef]
- Zhou, L.; Yang, Y.L.; Lu, W. Promoting development and reform by industrial policy—A research report on the industrial policy design of our country at the present stage. Econ. Res. 1987, 3, 16–24. (In Chinese) [Google Scholar]
- Gan, C.H.; Zheng, R.G.; Yu, D.F. An empirical study on the effects of industrial structure on economic growth and fluctuations in China. Econ. Res. J. 2011, 5, 4–16. (In Chinese) [Google Scholar]
- Pan, W.Q.; Chen, S.Y. Quantitative calculation of the height and rationalisation of industrial structue: Comment on the optimization degree of industrial structure in Gansu. Res. Dev. 1994, 1, 42–44. (In Chinese) [Google Scholar]
- Etzkowitz, H. Innovation in innovation: The Triple Helix of university–industry–government relations. Soc. Sci. Inf. 2003, 42, 293–337. [Google Scholar] [CrossRef]
- Bergman, E.M. Knowledge links between European universities and firms: A review. Pap. Reg. Sci. 2010, 89, 311–333. [Google Scholar] [CrossRef]
- Batisse, C.; Poncet, S. Protectionism and Industry Location in Chinese Provinces. J. Chin. Econ. Bus. Stud. 2004, 2, 133–154. [Google Scholar] [CrossRef]
- Hubei Provincial Bureau of Statistics of China. Hubei Education Statistical Yearbook; China Statistics Press: Beijing, China, 2016. (In Chinese)
- Agrawal, A. University to industry knowledge transfers: Literature review and unanswered questions. Int. J. Manag. Rev. 2001, 3, 285–302. [Google Scholar] [CrossRef]
- Bonaccorsi, A.; Piccaluga, A. A theoretical framework for the evaluation of university-industry relationships. R&D Manag. 1994, 24, 229–247. [Google Scholar]
- Meyer-Krahmer, F.; Schmock, U. Science-based technologies: University–industry interactions in four fields. Res. Policy 1998, 27, 835–851. [Google Scholar] [CrossRef]
- Rentocchini, F.; D’Este, P.; Manjarrés-Henríquez, L.; Grimaldi, R. The relationship between academic consulting and research performance: Evidence from five Spanish universities. Int. J. Ind. Organ. 2014, 32, 70–83. [Google Scholar] [CrossRef][Green Version]
- Fu, L.H. An empirical research on industry structure and economic growth. Stat. Res. 2010, 27, 79–81. (In Chinese) [Google Scholar]
- Zhou, G.; Luo, S. Higher education input, technological innovation, and economic growth in China. Sustainability 2018, 10, 2615. [Google Scholar] [CrossRef]
- He, D.; Yin, Q.; Zheng, M.; Gao, P. Transport and regional economic integration: Evidence from the Chang–Zhu–Tan region in China. Transp. Policy 2019, 79, 193–203. [Google Scholar] [CrossRef]
- Ministry of Education of China. National Statistical Report on Education Development of 2017; China Statistics Press: Beijing, China, 2017. (In Chinese)
- Zhang, Y.; Su, Z.; Li, G.; Zhuo, Y.; Xu, Z. Spatial-temporal evolution of sustainable urbanization development: A perspective of the coupling coordination development based on population, industry, and built-up land spatial agglomeration. Sustainability 2018, 10, 1766. [Google Scholar] [CrossRef]
- Liu, S.X. Innovation Design: Made in China 2025. Des. Manag. Rev. 2016, 27, 52–58. [Google Scholar]
- Beier, G.; Niehoff, S.; Ziems, T.; Xue, B. Sustainability aspects of a digitalized industry—A comparative Study from China and Germany. Int. J. Precis. Eng. Manuf.-Green Technol. 2017, 4, 227–234. [Google Scholar] [CrossRef]
- Müller, J.M.; Voigt, K.I. Sustainable industrial value creation in SMEs: A comparison between industry 4.0 and made in China 2025. Int. J. Precis. Eng. Manuf.-Green Technol. 2018, 5, 659–670. [Google Scholar] [CrossRef]
- Lee, M.N.N. Contemporary education policies in Southeast Asia: Common philosophical underpinnings and practices. Asia Pac. Educ. Rev. 2016, 17, 465–478. [Google Scholar] [CrossRef]
- Ennew, C.T.; Fujia, Y. Foreign Universities in China: A case study. Eur. J. Educ. 2009, 44, 21–36. [Google Scholar] [CrossRef]
- Yang, C.; He, C. Transformation of China’s ‘World Factory’: Production relocation and export evolution of the electronics firms. Tijdschr. Voor Econ. Soc. Geogr. 2017, 108, 571–591. [Google Scholar] [CrossRef]
- He, C.; Pan, F.; Chen, T. Research progress of industrial geography in China. J. Geogr. Sci. 2016, 26, 1057–1066. [Google Scholar] [CrossRef]
© 2019 by the authors. Licensee MDPI, Basel, Switzerland. This article is an open access article distributed under the terms and conditions of the Creative Commons Attribution (CC BY) license (http://creativecommons.org/licenses/by/4.0/).








