Predictive Measurement of the Structure of Land Use in an Urban Agglomeration Space
Abstract
:1. Introduction
2. Measurement of the Structure of Land Use in the Urban Agglomeration Space
2.1. Method
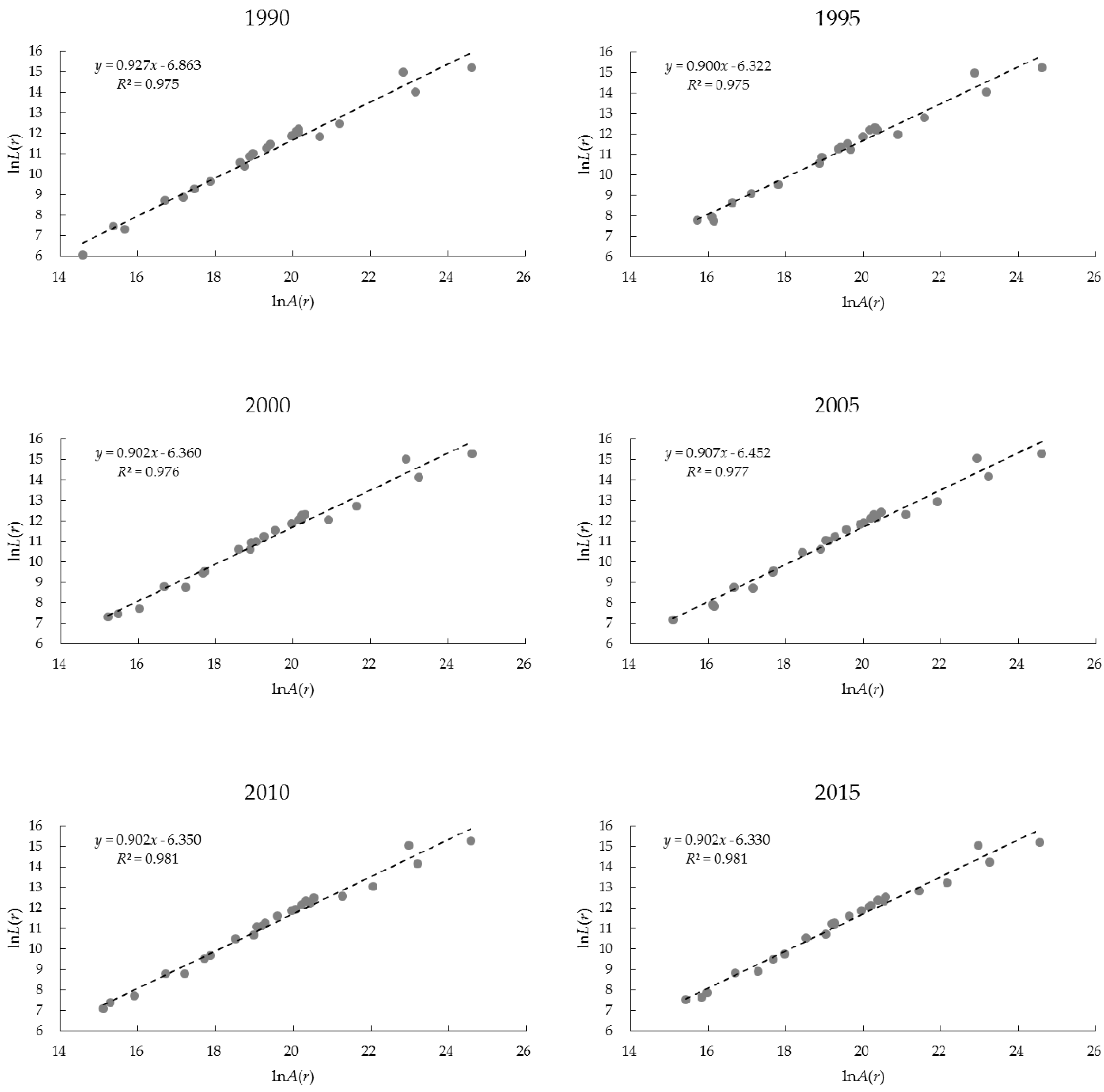
2.2. Data and Results
3. Prediction for the Structure of Land Use in Urban Agglomeration Space
3.1. Method
3.2. Data and Results
4. Conclusions
- (1)
- The perspective used in this study for measuring the fractal is different from the traditional measurement method used in previous studies that separately analyzed the fractal feature of different land use types. The method proposed in this study can obtain the measurement of the fractal feature and the fractal measure of the relationship between different land use types by grouping different types of land as one overall sample collection, which can recap some innovations and reference values for the relative predictive measure of the land use structure in space from the field of fractals.
- (2)
- The prediction method used in this paper regards the development and evolution of land use in urban agglomeration space as a black box that does not need to be detected, which is different from the traditional measurement methods used in previous studies that rely on complex transformation rules by subjective abstraction. Our approach applies the gray prediction method and the allometry model to realize the prediction of the “local” through the prediction of the “entirety”. This can avoid the incompleteness and subjectivity in the mining of the complex evolution law, such as the selections of factors and judgment criteria, and can avoid using reductionism. The approach obtains the predictive fractal measurement on the structure of land use with higher efficiency by only needing to predict the “entirety” instead of repeating the same predictions for each type of land separately. It can provide some innovative reference for the improvement of the land use development goals or related regulatory policies.
Acknowledgments
Author Contributions
Conflicts of Interest
References
- Guo, S. Urban Land Use Structure and Land Use Efficiency in Hercynian Urban Agglomeration. Econ. Geogr. 2017, 37, 170–175, 180. [Google Scholar]
- Veldkamp, A.; Fresco, L.O. CLUE: A conceptual model to study the conversion of land use and its effects. Ecol. Model. 1996, 85, 253–270. [Google Scholar] [CrossRef]
- Verburg, P.H.; Soepboer, W.; Veldkamp, A.; Limpiada, R.; Espaldon, V.; Mastura, S.S.A. Modeling the spatial dynamics of regional land use: The CLUE-S Model. Environ. Manag. 2002, 30, 391–405. [Google Scholar] [CrossRef] [PubMed]
- McConnell, W.J. Agent-Based Models of Land-Use and Land-Cover Change. Available online: http://citeseerx.ist.psu.edu/viewdoc/download?doi=10.1.1.125.9851&rep=rep1&type=pdf (accessed on 4 December 2017).
- Manson, S.M. Agent-based modeling and genetic programming for modeling land change in the Southern Yucatan Peninsular Region of Mexico. Agric. Ecosyst. Environ. 2005, 111, 47–62. [Google Scholar] [CrossRef]
- Aspinall, R. Modeling land use change with generalized linear models: A multi-model analysis of change between 1860 and 2000 in Gallatin Valley, Montana. J. Environ. Manag. 2004, 72, 91–103. [Google Scholar] [CrossRef] [PubMed]
- He, C.; Shi, P.; Chen, J.; Li, X.; Pan, Y.; Li, J.; Li, Y.; Li, J. Developing land use scenario dynamics model by the integration of system dynamics model and cellular automata model. Sci. China Ser. D Earth Sci. 2005, 48, 1979–1989. [Google Scholar] [CrossRef]
- Huang, B.; Xie, C.; Tay, R.; Wu, B. Land-use-change modeling using unbalanced support-vector machines. Environ. Plan. B Plan. Des. 2009, 36, 398–416. [Google Scholar] [CrossRef]
- Liu, J.; Kuang, W.; Zhang, Z.; Xu, X.; Qin, Y.; Ning, J.; Zhou, W.; Zhang, S.; Li, R.; Yan, C.; et al. Spatiotemporal characteristics, patterns, and causes of land-use changes in China since the late 1980s. J. Geogr. Sci. 2014, 24, 195–210. [Google Scholar] [CrossRef]
- Liu, D.; Zheng, X.; Zhang, C.; Wang, H. A new temporal–spatial dynamics method of simulating land-use change. Ecol. Model. 2017, 350, 1–10. [Google Scholar] [CrossRef]
- Deal, B.; Pan, H.; Zhuang, Y. Modeling Land-Use Change in Complex Urban Environments. In Reference Module in Earth Systems and Environmental Sciences; Elsevier: New York, NY, USA, 2017. [Google Scholar]
- Mandelbrot, B. How long is the coast of Britain? Statistical self-similarity and fractional dimension. Science 1967, 156, 636–638. [Google Scholar] [CrossRef] [PubMed]
- Batty, M.; Longley, P.A. Fractal-based description of urban form. Environ. Plan. B 1987, 14, 123–134. [Google Scholar] [CrossRef]
- Batty, M.; Longley, P.A. Fractal Cities: A Geometry of Form and Function; Academic Press: London, UK, 1994. [Google Scholar]
- Batty, M. Fractals: New ways at looking at cities. Nature 1995, 377, 574. [Google Scholar] [CrossRef]
- Liu, J.; Chen, Y. Fractal dimensions of spatial structure of an urban system and the methods of their determination. Geogr. Res. 1999, 18, 171–172. [Google Scholar]
- Chen, Y.; Luo, J. A tentative theoretical interpretation of the fractal dimension of urban form. Urban Dev. Stud. 2006, 13, 35–40. [Google Scholar]
- White, R.; Engelen, G. Cellular Dynamics and GIS: Modelling spatial complexity. Geogr. Syst. 1994, 1, 237–253. [Google Scholar]
- Zhao, H.; Wang, D.; Tan, X. A study on fractal characteristics of Shenyang’s urban form and spatial structure. Planners 2007, 2, 81–83. (In Chinese) [Google Scholar]
- Zhu, X.; Cai, Y. Fractal analysis of land use in China. Sci. Geogr. Sin. 2005, 25, 671–677. (In Chinese) [Google Scholar]
- Sun, D.; Zhao, C.; Wei, H.; Peng, D. Based on fractal dimension model for land use change of Tailan River Basin. J. Soil Water Conserv. 2010, 24, 218–222. [Google Scholar]
- Wang, D.; Yuan, C.; Zhou, W.; Zhang, Y. A case study on Xianfeng County, Hubei province: Land use scene pattern features based on fractal theory. Resour. Ind. 2012, 6, 148–153. (In Chinese) [Google Scholar]
- Zhao, K.; Feng, Y.; Han, G. Calculating the area of urban-rural construction land based on the human-earth harmonious fractal relations. City Plan. Rev. 2011, 7, 20–23. (In Chinese) [Google Scholar]
- Liu, S.; Yang, Y.; Wu, L. Grey System Theory and Its Application, 7th ed.; Science Press: Beijing, China, 2014. (In Chinese) [Google Scholar]
- Wang, H.T.; Guo, W.D.; Li, H. Improvement of Grey Prediction Model GM (1, 1) Based on RAGA and Its Application in Land Use Change Forecasting of HuLin City; Destech Publications, Inc.: Lancaster, PA, USA, 2014. [Google Scholar]
- Wang, R.; Zhang, R.; Chen, Y. Forecast of urban and rural construction land based on the multiple regression analysis and gray model in Kangle Country. J. Gansu Agric. Univ. 2012, 47, 134–139. (In Chinese) [Google Scholar]
- Chen, F.; Sun, P.; Liu, X.; Zhang, X. Dynamic change prediction of the cultivated land in Lanzhou city based on the Gray Model (1, 1). Hunan Agric. Sci. 2009, 3, 110–112. (In Chinese) [Google Scholar]
- Beckmann, M.J.; McPherson, J. City size distributions in a central place hierarchy: An alternative approach. J. Reg. Sci. 1970, 10, 25–33. [Google Scholar] [CrossRef]
- Chen, Y. Fractal City System: Scaling · Symmetry · Spatial Complexity; Science Press: Beijing, China, 2008. (In Chinese) [Google Scholar]
- Xu, J.; Ai, N.S.; Jin, J. A fractal study on the mosaic structure of the landscape of northwest China: Taking the drainage area of Heihe River as an example. Arid Zone Res. 2001, 18, 426–436. (In Chinese) [Google Scholar]
- Resources and Environmental Science Data Center, Chinese Academy of Sciences. Available online: http://www.resdc.cn (accessed on 28 December 2017).
- Liu, F.; Zheng, X.; Huang, Q. Identification of the physical space of urban systems based on fractal analysis. Prog. Geogr. 2017, 36, 677–684. (In Chinese) [Google Scholar]







| Year | Boundary Dimension | Stability Index S |
|---|---|---|
| 1990 | 1.854 | 0.354 |
| 1995 | 1.800 | 0.300 |
| 2000 | 1.805 | 0.305 |
| 2005 | 1.814 | 0.314 |
| 2010 | 1.805 | 0.305 |
| 2015 | 1.804 | 0.304 |
| Year | Original Area/m2 | Simulation (Prediction) Area/m2 | Residual Error/m2 | Relative Error/% |
|---|---|---|---|---|
| 1990 | 75,308,293,669 | 75,308,293,669 | - | - |
| 1995 | 77,583,545,808 | 77,435,169,842 | 148,375,966 | 0.191 |
| 2000 | 78,212,536,933 | 78,339,887,796 | −127,350,863 | −0.163 |
| 2005 | 79,077,344,520 | 79,255,176,072 | −177,831,551 | −0.225 |
| 2010 | 80,341,676,686 | 80,181,158,166 | 160,518,520 | 0.200 |
| 2015 | (80,489,246,119) | (81,117,959,023) | 628,712,903 | 0.781 |
| 2020 | - | (82,065,705,042) | - | - |
| 2025 | - | (83,024,524,103) | - | - |
| First-Level Type | Control Value/m2 | Predicted Value/m2 | Relative Error/% | ||
|---|---|---|---|---|---|
| 2015 | 2015 | 2020 | 2025 | 2015 | |
| Built-up land | 15,681,730,864 | 16,099,047,598 | 17,362,973,275 | 18,726,128,928 | 2.661 |
| Cultivated land | 59,286,570,034 | 60,139,381,219 | 60,054,307,424 | 59,969,353,976 | 1.438 |
| Forestry land | 1,607,041,921 | 1,618,905,493 | 1,762,435,107 | 1,918,689,831 | 0.738 |
| Grass land | 1,393,238,489 | 1,374,197,195 | 1,402,846,262 | 1,432,092,602 | −1.367 |
| Water area | 2,291,987,657 | 2,286,443,778 | 2,404,009,889 | 2,527,621,103 | −0.242 |
| Unused land | 228,677,151 | 210,280,588 | 203,636,738 | 197,202,802 | −8.045 |
| First-Level Type | Control Value/m | Predicted Value/m | Relative Error/% | ||
|---|---|---|---|---|---|
| 2015 | 2015 | 2020 | 2025 | 2015 | |
| Built-up land | 4,287,521 | 4,340,524 | 4,525,789 | 4,718,962 | 1.236 |
| Cultivated land | 5,494,681 | 5,837,889 | 5,964,840 | 6,094,553 | 6.246 |
| Forestry land | 477,534 | 476,587 | 509,900 | 545,542 | −0.198 |
| Grass land | 427,690 | 428,968 | 441,962 | 455,349 | 0.299 |
| Water area | 710,355 | 720,746 | 755,799 | 792,557 | 1.463 |
| Unused land | 70,389 | 64,817 | 63,014 | 61,262 | −7.916 |
| Year | Boundary Dimension | Stability Index |
|---|---|---|
| 2015 | 1.638 | 0.138 |
| 2005 | 1.646 | 0.146 |
| 2010 | 1.654 | 0.154 |
© 2017 by the authors. Licensee MDPI, Basel, Switzerland. This article is an open access article distributed under the terms and conditions of the Creative Commons Attribution (CC BY) license (http://creativecommons.org/licenses/by/4.0/).
Share and Cite
Liu, F.; Zheng, X.; Huang, Q. Predictive Measurement of the Structure of Land Use in an Urban Agglomeration Space. Sustainability 2018, 10, 65. https://doi.org/10.3390/su10010065
Liu F, Zheng X, Huang Q. Predictive Measurement of the Structure of Land Use in an Urban Agglomeration Space. Sustainability. 2018; 10(1):65. https://doi.org/10.3390/su10010065
Chicago/Turabian StyleLiu, Fei, Xinqi Zheng, and Qing Huang. 2018. "Predictive Measurement of the Structure of Land Use in an Urban Agglomeration Space" Sustainability 10, no. 1: 65. https://doi.org/10.3390/su10010065
APA StyleLiu, F., Zheng, X., & Huang, Q. (2018). Predictive Measurement of the Structure of Land Use in an Urban Agglomeration Space. Sustainability, 10(1), 65. https://doi.org/10.3390/su10010065

