Individual Differences in Auditory Training Benefits for Hearing Aid Users
Abstract
1. Introduction
2. Materials and Methods
2.1. Participants
2.2. Training
2.3. Assessment of Speech Perception (Generalization)
2.4. Overall Design
2.5. Data Analysis
3. Results
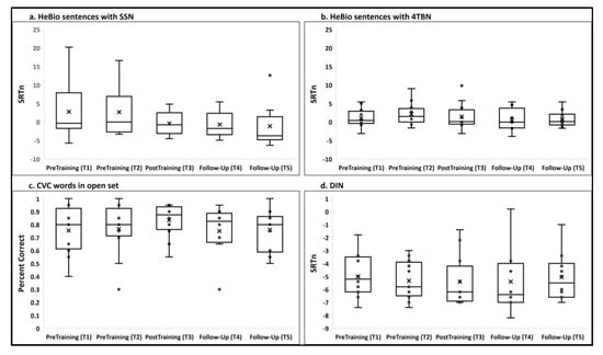
3.1. Group Analysis
3.2. Individual Analysis
4. Discussion
5. Conclusions
Author Contributions
Funding
Institutional Review Board Statement
Informed Consent Statement
Data Availability Statement
Acknowledgments
Conflicts of Interest
References
- Banh, J.; Singh, G.; Pichora-Fuller, M.K. Age affects responses on the speech, spatial and qualities of hearing scale (SSQ) by adults with minimal audiometric loss. J. Am. Acad. Audiol. 2012, 23, 81–91. [Google Scholar] [CrossRef]
- Boothroyd, A. Adult aural rehabilitation: What is it and does it work? Trends Amplif. 2007, 11, 63–71. [Google Scholar] [CrossRef] [PubMed]
- Cunningham, L.L.; Tucci, D.L. Hearing loss in adults. N. Engl. J. Med. 2017, 377, 2465–2473. [Google Scholar] [CrossRef] [PubMed]
- Katz, J.; Chasin, M.; English, K.M.; Hood, L.J.; Tillery, K.L. Handbook of Clinical Audiology, 7th ed.; Wolters Kluwer Health: Philadelphia, PA, USA, 2015. [Google Scholar]
- Kiessling, J.; Pichora-Fuller, M.K.; Gatehouse, S.; Stephens, D.; Arlinger, S.; Chisolm, T.; Davis, A.C.; Erber, N.P.; Hickson, L.; Holmes, A.; et al. Candidature for and delivery of audiological services: Special needs of older people. Int. J. Audiol. 2003, 42, S92–S101. Available online: https://pubmed.ncbi.nlm.nih.gov/12918635 (accessed on 28 September 2023). [CrossRef]
- Lin, F.R.; Ferrucci, L.; Metter, E.J.; An, Y.; Zonderman, A.B.; Resnick, S.M. Hearing loss and cognition in the Baltimore Longitudinal Study of Aging. Neuropsychology 2011, 25, 763–770. [Google Scholar] [CrossRef]
- Lin, F.R.; Metter, E.J.; O’Brien, R.J.; Resnick, S.M.; Zonderman, A.B.; Ferrucci, L. Hearing loss and incident dementia. Arch. Neurol. 2011, 68, 214–220. [Google Scholar] [CrossRef] [PubMed]
- Pichora-Fuller, M.K.; Schneider, B.A.; Daneman, M. How young and old adults listen to and remember speech in noise. J. Acoust. Soc. Am. 1995, 97, 593–608. [Google Scholar] [CrossRef]
- Schneider, B.A.; Daneman, M.; Murphy, D.R.; Kwong-See, S. Listening to discourse in distracting settings: The effects of gaining. Psychol. Aging 2000, 15, 110–125. [Google Scholar] [CrossRef]
- Blamey, P.; Artieres, F.; Baskent, D.; Bergeron, F.; Beynon, A.; Burke, E.; Dillier, N.; Dowell, R.; Fraysse, B.; Gallego, S.; et al. Factors affecting auditory performance of postlinguistically deaf adults using cochlear implants: An update with 2251 patients. Audiol. Neuro. Otol. 2013, 18, 36–47. [Google Scholar] [CrossRef]
- Krueger, B.; Joseph, G.; Rost, U.; Strau-Schier, A.; Lenarz, T.; Buechner, A. Performance groups in adult cochlear implant users: Speech perception results from 1984 until today. Otol. Neurotol. 2008, 29, 509–512. [Google Scholar] [CrossRef]
- Mahol, B.; Olstein, E. Linguistic Development among Arabic Speakers in a Multi-Lingual Society; The MOFET Institute: Tel Aviv, Israel, 2018; pp. 105–107. (In Hebrew) [Google Scholar]
- Barcroft, J.; Spehar, B.; Tye-Murray, N.; Sommers, M. Task-and talker-specific gains in auditory training. J. Speech Lang. Hear. Res. 2016, 59, 862–870. [Google Scholar] [CrossRef] [PubMed][Green Version]
- Olson, A.D.; Preminger, J.E.; Shinn, J.B. The effect of LACE DVD training in new and experienced hearing aid users. J. Am. Acad. Audiol. 2013, 24, 214–230. [Google Scholar] [CrossRef] [PubMed]
- Stecker, G.C.; Bowman, G.A.; Yund, E.W.; Herron, T.J.; Roup, C.M.; Woods, D.L. Perceptual training improves syllable identification in new and experienced hearing aid users. J. Rehabil. Res. Dev. 2006, 43, 537–552. [Google Scholar] [CrossRef] [PubMed]
- Olson, A.D. Options for Auditory Training for Adults with Hearing Loss. Semin. Hear. 2015, 36, 284–295. [Google Scholar] [CrossRef]
- Stropahl, M.; Besser, J.; Launer, S. Auditory Training Supports Auditory Rehabilitation: A State-of-the-Art Review. Ear Hear. 2020, 41, 697–704. [Google Scholar] [CrossRef] [PubMed]
- Schow, R.L.; Nerbonne, M.A. Introduction to Audiologic Rehabilitation, 5th ed.; Pearson-Allyn & Bacon: Boston, MA, USA, 2007. [Google Scholar]
- Lavie, L.; Attias, J.; Karni, A. Semi-structured listening experience (listening training) in hearing aid fitting: Influence on dichotic listening. Am. J. Audiol. 2013, 22, 347–350. [Google Scholar] [CrossRef]
- Lessa, A.; Hennig, T.; Costa, M.; Rossi, A.G. Results of auditory rehabilitation in elderly users of hearing aids evaluated by a dichotic test. CoDAS 2013, 25, 169–175. [Google Scholar] [CrossRef]
- Morais, A.A.; Rocha-Muniz, C.N.; Schochat, E. Efficacy of auditory training in elderly subjects. Front. Aging Neurosci. 2015, 7, 78. [Google Scholar] [CrossRef][Green Version]
- Anderson, S.; White-Schwoch, T.; Choi, H.J.; Kraus, N. Training changes processing of speech cues in older adults with hearing loss. Front. Syst. Neurosci. 2013, 7, 97. [Google Scholar] [CrossRef]
- Anderson, S.; White-Schwoch, T.; Parbery-Clark, A.; Kraus, N. Reversal of age-related neural timing delays with training. Proc. Natl. Acad. Sci. USA 2013, 110, 4357–4362. [Google Scholar] [CrossRef]
- Abrams, H.B.; Bock, K.; Irey, R.L. Can a remotely delivered auditory training program improve speech-in-noise understanding? Am. J. Audiol. 2015, 24, 333–337. Available online: https://pubs.asha.org/doi/abs/10.1044/2015_AJA-15-0002 (accessed on 28 September 2023). [CrossRef] [PubMed]
- Henshaw, H.; Ferguson, M. Assessing the benefits of auditory training to real-world listening: Identifying appropriate and sensitive outcomes. Proc. Int. Symp. Audit. Audiol. Res. 2013, 4, 45–52. Available online: https://proceedings.isaar.eu/index.php/isaarproc/article/view/2013-05 (accessed on 28 September 2023).
- Reis, M.; McMahon, C.M.; Távora-Vieira, D.; Humburg, P.; Boisvert, I. Effectiveness of Computer-Based Auditory Training for Adult Cochlear Implant Users: A Randomized Crossover Study. Trends Hear. 2021, 25, 23312165211025938. [Google Scholar] [CrossRef] [PubMed]
- Sweetow, R.; Palmer, C.V. Efficacy of individual auditory training in adults: A systematic review of the evidence. J. Am. Acad. Audiol. 2005, 16, 494–504. [Google Scholar] [CrossRef] [PubMed]
- Barcroft, J.; Sommers, M.S.; Tye-Murray, N.; Mauzé, E.; Schroy, C.; Spehar, B. Tailoring auditory training to patient needs with single and multiple talkers: Transfer-appropriate gains on a four-choice discrimination test. Int. J. Audiol. 2011, 50, 802–808. [Google Scholar] [CrossRef] [PubMed]
- Burk, M.H.; Humes, L.E. Effects of long-term training on aided speech-recognition performance in noise in older adults. J. Speech Lang. Hear. Res. 2008, 51, 759–771. [Google Scholar] [CrossRef]
- Nasreddine, Z.S.; Phillips, N.A.; Bédirian, V.; Charbonneau, S.; Whitehead, V.; Collin, I.; Cummings, J.L.; Chertkow, H. The Montreal Cognitive Assessment, MoCA: A brief screening tool for mild cognitive impairment. J. Am. Geriatr. Soc. 2005, 53, 695–699. [Google Scholar] [CrossRef]
- Spahr, A.J.; Dorman, M.F.; Litvak, L.M.; Van Wie, S.; Gifford, R.H.; Loizou, P.C.; Loiselle, L.M.; Oakes, T.; Cook, S. Development and validation of the AzBio sentence lists. Ear Hear. 2012, 33, 112–117. [Google Scholar] [CrossRef]
- Taitelbaum-Swead, R.; Dahan, T.; Katzenel, U.; Dorman, M.F.; Litvak, L.M.; Fostick, L. AzBio Sentence test in Hebrew (HeBio): Development, preliminary validation, and the effect of noise. Cochlear Implant. Int. 2022, 23, 270–279. [Google Scholar] [CrossRef]
- Boothroyd, A. Statistical theory of the speech discrimination score. J. Acoust. Soc. Am. 1968, 43, 362–367. [Google Scholar] [CrossRef]
- Smits, C.; Goverts, T.; Festen, J. The digits-in-noise test: Assessing auditory speech recognition abilities in noise. J. Acoust. Soc. Am. 2013, 133, 1693–1706. [Google Scholar] [CrossRef] [PubMed]
- Fostick, L.; Berlin, M.; Taitelbaum-Swead, R. Digit in noise test: Validation in Hebrew. In Proceedings of the 56 Annual Meeting of the Israeli Speech Hearing and Language Association, Tel Aviv, Israel, 21–22 February 2020. [Google Scholar]
- Barda, A.; Shapira, Y.; Fostick, L. Benefits of Auditory Training with an Open-Set Sentences-in-Babble-Noise. Appl. Sci. 2023, 13, 9126. [Google Scholar] [CrossRef]
- Fu, Q.J.; Galvin, J.; Wang, X.; Nogaki, G. Effects of auditory training on adult cochlear implant patients: A preliminary report. Cochlear Implant. Int. 2004, 5, 84–90. [Google Scholar] [CrossRef]
- Oba, S.; Fu, Q.J.; Galvin, J.J. Digit training in noise can improve cochlear implant users’ speech understanding in noise. Ear Hear. 2011, 32, 573–581. [Google Scholar] [CrossRef]
- Schumann, A.; Serman, M.; Gefeller, O.; Hoppe, U. Computer-based auditory phoneme discrimination training improves speech recognition in noise in experienced adult cochlear implant listeners. Int. J. Audiol. 2015, 54, 190–198. [Google Scholar] [CrossRef]
- Ahissar, M.; Hochstein, S. The reverse hierarchy theory of visual perceptual learning. Trends Cogn. Sci. 2004, 8, 457–464. [Google Scholar] [CrossRef]
- Hung, S.C.; Seitz, A.R. Prolonged training at threshold promotes robust retinotopic specificity in perceptual learning. J. Neurosci. 2014, 34, 8423–8431. [Google Scholar] [CrossRef]
- Molloy, K.; Moore, D.R.; Sohoglu, E.; Amitay, S. Less Is More: Latent Learning Is Maximized by Shorter Training Sessions in Auditory Perceptual Learning. PLoS ONE 2012, 7, e36929. [Google Scholar] [CrossRef]
- Saunders, G.H.; Smith, S.L.; Chisolm, T.H.; Frederick, M.T.; McArdle, R.A.; Wilson, R.H. A Randomized Control Trial: Supplementing Hearing Aid Use with Listening and Communication Enhancement (LACE) Auditory Training. Ear Hear. 2016, 37, 381–396. [Google Scholar] [CrossRef]
- Tye-Murray, N.; Spehar, B.; Sommers, M.; Mauzé, E.; Barcroft, J.; Grantham, H. Teaching Children with Hearing Loss to Recognize Speech: Gains Made with Computer-Based Auditory and/or Speechreading Training. Ear Hear. 2022, 43, 181–191. [Google Scholar] [CrossRef]
- Pisoni, D.B.; Kronenberger, W.G.; Harris, M.S.; Moberly, A.C. Three challenges for future research on cochlear implants. World J. Otorhinolaryngol. Head Neck Surg. 2017, 3, 240–254. [Google Scholar] [CrossRef] [PubMed]
- Lowe, S.C.; Henshaw, H.; Wild, J.; Ferguson, M.A. Evaluation of home-delivered live-voice auditory training for adult hearing aid users involving their communication partners: A randomised controlled trial. Int. J. Audiol. 2022, 62, 89–99. [Google Scholar] [CrossRef] [PubMed]
- Babkoff, H.; Zukerman, G.; Fostick, L.; Ben-Artzi, E. Effect of the diurnal rhythm and 24 h of sleep deprivation on dichotic temporal order judgment. J. Sleep Res. 2005, 14, 7–15. [Google Scholar] [CrossRef] [PubMed]
- Gazia, F.; Galletti, B.; Portelli, D.; Alberti, G.; Freni, F.; Bruno, R.; Galletti, F. Real ear measurement (REM) and auditory performances with open, tulip and double closed dome in patients using hearing aids. Eur. Arch. Otorhinolaryngol. 2020, 277, 1289–1295. [Google Scholar] [CrossRef]
- Bruno, R.; Freni, F.; Portelli, D.; Alberti, G.; Gazia, F.; Meduri, A.; Galletti, F.; Galletti, B. Frequency-lowering processing to improve speech-in-noise intelligibility in patients with age-related hearing loss. Eur. Arch. Otorhinolaryngol. 2021, 278, 3697–3706. [Google Scholar] [CrossRef]





| ID | Age (Years) | Gender | Year Since First Diagnosis | Etiology of Hearing Loss | Hearing Loss Level | |
|---|---|---|---|---|---|---|
| Right | Left | |||||
| 1 | 68 | F | 7 | Hole in the eardrum | Mild to moderate | Mild to moderate |
| 2 | 66 | M | 4 | Unknown | Mild | Mild to moderate-severe |
| 3 | 65 | F | 15 | Unknown | Moderate to moderate-severe | Mild to moderate-severe |
| 4 | 70 | M | 30 | Calcification | Moderate-severe to profound | Mild to severe |
| 5 | 74 | F | 11 | Accumulation of fluid in the brain | Mild to moderate | Moderate to moderate-severe |
| 6 | 72 | F | 12 | Unknown | Moderate-severe | Moderate to moderate-severe |
| 7 | 60 | F | 10 | Genetic | Moderate | Moderate |
| 8 | 70 | M | 46 | Unknown | Mixed, Minimal to severe | Minimal to severe |
| 9 | 68 | M | 47 | Noise exposure | Minimal to profound | Minimal to severe |
| 10 | 61 | F | 8 | Chemotherapy | Mild to severe | Moderate-severe |
| 11 | 72 | F | 4 | Unknown | Mild to moderate | Mild to moderate |
| 12 | 75 | F | 5 | Unknown | Moderate | Minimal to mild |
| Mean | 68.42 | M: 33.3% F: 66.6% | 16.58 | |||
| SD | 4.76 | 15.62 | ||||
| Pre-Training Scores of: | ||||
|---|---|---|---|---|
| HeBio with SSN | HeBio with 4TBN | CVC Words | DIN | |
| Change in: | ||||
| Identification of Vowel Frontal | 0.02 (0.33) | 0.09 (0.19) | 0.17 (0.09) | 0.08 (0.19) |
| Identification of Vowel Height | 0.07 (0.21) | 0.03 (0.29) | 0.09 (0.17) | 0.004 (0.42) |
| Identification of Manner of Articulation | 0.13 (0.12) | 0.02 (0.33) | 0.0002 (0.48) | 0.007 (0.40) |
| Identification of Point of Articulation | 0.23 (0.06) | 0.02 (0.33) | 0.01 (0.35) | 0.0001 (0.49) |
| Identification of Voicing | 0.18 (0.08) | 0.38 (0.02) | 0.47 (.007) | 0.41 (0.01) |
| Identification of Open Set CVC Words | 0.01 (0.38) | 0.41 (0.01) | 0.21 (0.05) | 0.52 (.004) |
| HeBio with SSN | 0.78 (.001) | 0.27 (0.04) | 0.00001 (0.50) | 0.007 (0.40) |
| HeBio with 4TBN | 0.02 (0.33) | 0.008 (0.39) | 0.19 (0.08) | 0.23 (0.06) |
| CVC words | 0.20 (0.07) | 0.49 (.006) | 0.76 (.001) | 0.17 (0.09) |
| DIN | 0.0009 (0.46) | 0.12 (0.13) | 0.13 (0.12) | 0.06 (0.22) |
Disclaimer/Publisher’s Note: The statements, opinions and data contained in all publications are solely those of the individual author(s) and contributor(s) and not of MDPI and/or the editor(s). MDPI and/or the editor(s) disclaim responsibility for any injury to people or property resulting from any ideas, methods, instructions or products referred to in the content. |
© 2023 by the authors. Licensee MDPI, Basel, Switzerland. This article is an open access article distributed under the terms and conditions of the Creative Commons Attribution (CC BY) license (https://creativecommons.org/licenses/by/4.0/).
Share and Cite
Barda, A.; Shapira, Y.; Fostick, L. Individual Differences in Auditory Training Benefits for Hearing Aid Users. Clin. Pract. 2023, 13, 1196-1206. https://doi.org/10.3390/clinpract13050107
Barda A, Shapira Y, Fostick L. Individual Differences in Auditory Training Benefits for Hearing Aid Users. Clinics and Practice. 2023; 13(5):1196-1206. https://doi.org/10.3390/clinpract13050107
Chicago/Turabian StyleBarda, Ayelet, Yair Shapira, and Leah Fostick. 2023. "Individual Differences in Auditory Training Benefits for Hearing Aid Users" Clinics and Practice 13, no. 5: 1196-1206. https://doi.org/10.3390/clinpract13050107
APA StyleBarda, A., Shapira, Y., & Fostick, L. (2023). Individual Differences in Auditory Training Benefits for Hearing Aid Users. Clinics and Practice, 13(5), 1196-1206. https://doi.org/10.3390/clinpract13050107

