Introduction
Pharmaceutical compounds are a class of emerging contaminants with potential concern for the aquatic environment [1,2,3]. Although they are mainly used for medical and veterinary purposes, their inadvertent release in the environment may pose a potential threat to nontarget aquatic organisms. Pharmaceutical residues are continuously discharged into surface waters and many recent studies have revealed the presence of measurable concentrations from nanogram to low microgram-perliter range [1,2]. Thus, aquatic organisms are exposed during their entire life cycle and studies are necessary to evaluate their potential effects, particularly on marine organisms for which data are still missing.
The aim of the present study was to investigate the potential effects of four pharmaceutical compounds to Haliotis tuberculata hemocytes in vitro. Hemocytes represent an interesting model due to their key role in defenses of organisms against foreign particles and microorganisms [4,5]. These cells are routinely used in in vitro ecotoxicological studies for specific endpoints with great precision and reproducibility [6,7,8,9,10] allowing to chemically-induced immunological disorders to be well documented in an increasing number of species [5,11,12,13]. Phagocytosis is one of the main immune response and is complemented by an array of bacterial killing mechanisms, where lysosomes are involved. In this study, the four pharmaceutical compounds of interest belong to β-blockers (acebutolol), antiepileptics (gabapentin), antihistamines (cetirizine) and serotonin-norepinephrine reuptake inhibitors (venlafaxine). Hemocytes were exposed to different concentrations of the selected compounds. Toxicities of these different compounds were assessed on the cell viability by the MTT assay and the neutral red uptake assay.
Materials and Methods
Animals
Abalones with shell length between 9 and 11 cm were collected by France Haliotis (S. Huchette, Plougerneau, France). Organisms were maintained in natural and continuously aerated seawater at 17°C and fed with a mixed algal diet (Laminaria sp. and Palmaria sp.) at the Centre de Recherche en Environnement Côtier (C.R.E.C., Luc-sur-Mer, Basse-Normandie, France). Prior their use in our study, abalones were acclimated for at least 2 weeks.
Primary cell cultures
Hemocytes were cultured as previously described [14]. Briefly, the hemolymph was collected from the pedal sinus of each abalone with a 20 mL syringe with a 25G needle. Hemolymph was transferred into a sterile tube and diluted 1:4 in cooled sterile modified Alsever’s solution to avoid hemocyte aggregation [15]. Cells were rapidly placed into 12-well plates at a density of 5x105 cells per well (MTT assay) or into 24-well plates at a density of 3×105 cells per well (neutral red uptake assay) with the addition of three volumes of artificial sterile seawater (ASSW), and maintained at 17°C during 90 min. Then, the ASSW were replaced by Hank’s sterile 199 medium modified [10,13]. Cell cultures were incubated at 17°C overnight.
Exposure design
Pharmaceuticals, all supplied by Sigma-Aldrich at analytical grade were acebutolol (β-blocker), cetirizine (antihistamine), gabapentin (antiepileptic), venlafaxine (serotonin-norepinephrine reuptake inhibitor). All pharmaceuticals were dissolved in dimethyl sulfoxide (DMSO) and the final concentration of the solvent was 0.01%. The tested pharmaceutical concentrations ranged from 0.5 µg/L to 500 µg/L. Each concentration was tested in quadruplicate (i.e. four wells per concentration). Cells were exposed during 48 h and the medium was changed every day. The cell exposure was repeated three times, i.e. using three abalones (experiment replicates).
Cytotoxicity assays
MTT assay
The effect of pharmaceuticals on hemocytes survival was measured using the MTT reduction assay [16]. Briefly, 10% (v/v) of the MTT stock solution (5 mg MTT/mL PBS 1X) was added to the culture dishes. After 24 h incubation at 17°C, an equal volume of isopropanol containing 0.04 N HCl was added to each culture to dissolve the converted formazan dye. The absorbance was measured at a wavelength of 570 nm with a 630 nm reference point.
Neutral red uptake assay
The neutral red uptake assay is a cell viability assay based on the ability of viable cells to incorporate and bind neutral red (NR) within lysosomes [17]. After treatments, the neutral red uptake assay was used to determine lysosome membrane stability following the method adapted to microplate cultures [10,18]. Briefly, 30 µL of NR stock solution (0.5 % NR in PBS 1X) was added to each well containing 270 µL of culture medium. After 1 h incubation at 17°C the medium was removed, and wells were washed first with 3% formaldehyde in ASSW to fix cells and then twice with PBS 1X. NR was extracted using 1% glacial acetic acid in 50% ethanol. After 30 min at room temperature, the plates were transferred to a TECAN Infinite M200 microplate reader, and the absorbance was measured at a wavelength of 540 nm with a 650 nm reference point.
Data analysis
Results are expressed as means±standard deviations (SD). Statistical analyses were undertaken with R software version 2.15.1 [19], and performed on values resulting from quadruplicate wells containing cells repeated at least three times. Data normality and homoscedasticity were checked but were not assumed even with data transformation. Moreover, as we used pseudoreplication (i.e. the same organism was used to test all the concentrations), the significance of the differences between mean values was estimated using Wilcoxon tests.
Results and Discussion
The extension of pseudopods by hemocytes and their adhesion capacity play key roles in the cellular migration and the immune defence of mollusks. The morphological results obtained in this study were presented in Figure 1. No morphological changes were observed with increasing pharmaceutical concentrations. Cultured cells displayed an elongated shape with large pseudopods and were mostly interconnected whatever the pharmaceutical tested. Concomitantly, results of MTT assays showed no effects of pharmaceuticals on cell viability under our experimental conditions (data not shown).
Figure 1.
Light microscopy images showing the morphology of Haliotis tuberculata hemocytes. Cells were seeded at a density of 5×105 cells per well and grown at 17°C in culture medium for 48 h in the absence (A) or presence of 500 µg/L of venlafaxine (B), gabapentine (C) and cetirizine (D).
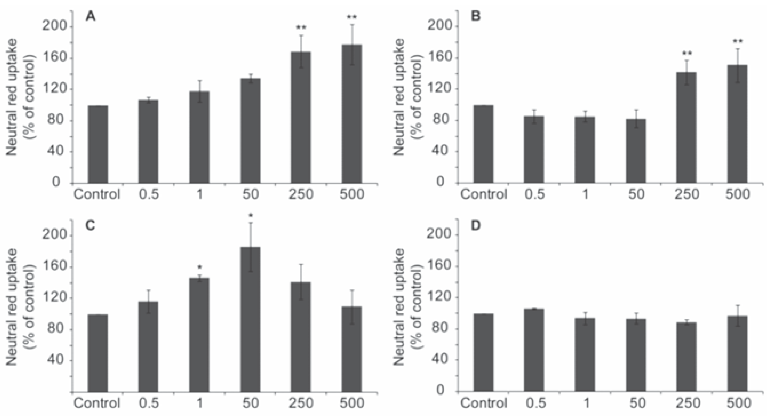
In contrast, a significant increase of NR retention was measured for venlafaxine, gabapentin and cetirizine. For venlafaxine and gabapentin, this increased retention was only observed from 250 µg/L (P<0.01), and can reach 77% and 50% of increase at 500 µg/L of venlafaxine (Figure 2A) and Gabapentin (Figure 2B) respectively, compared to control. For Cetirizine (Figure 2C), a significant (P<0.05) increase of NR uptake by cells was observed when hemocytes were exposed to a concentration of 1 µg/L and reached 85% of increase compared to the control at 50 µg/L. On the contrary, acebutolol (Figure 2D) did not affect NR uptake. Neutral red assays are considered reliable tools to quantify the number of viable and uninjured cells after exposure to pollutants where lysosomal integrity is a generic common target for environmental stressors [20]. The assay used here is based on the ability of viable cells to uptake the dye and to concentrate it in the lysosomes. Non-viable cells do not take up the dye. A change in the number of cells or in their physiological state related to lysosomes, results in a concomitant change in the amount of dye incorporated by cells.17 The abalone hemocytes are not proliferative cells. Thus, the increase of dye incorporation observed in hemocytes exposed to venlafaxine, gabapentin and cetirizine, suggest an increase in lysosome number and/or size. In general, exposure to pollutants is known to cause an increase of lysosomal size which is often linked with a destabilization of lysosomal membranes [21,22,23]. These three pharmaceuticals affected the uptake of NR, but displayed different effect profiles. For venlafaxine and gabapentin, the NR uptake was still in the ascending phase of dye accumulation whereas for cetirizine, the maximum accumulation was already observed at 50 µg/L followed by a descending phase of dye accumulation from 250 µg/L. From our results, the four tested pharmaceutical compounds would not display any particular danger for abalone hemocytes and immunity, when considered individually. However, in the field, aquatic organisms are exposed to contaminant mixtures. Further investigations are needed to address the toxicity of pharmaceutical mixture on aquatic organisms.
Figure 2.
Results of neutral red uptake by control and exposed abalone hemocytes. NR uptake by cells exposed to different concentrations (µg/L) of venlafaxine (A), gabapentine (B), cetirizine (C) or acebutolol (D) were given compared to the 100% control. Each data point represents the mean percentage±S.D. of triplicate cultures. Significant differences from control cells were indicated by stars: *P<0.05, **P<0.01.
Acknowledgments
this work is a contribution to the Pharm@Ecotox project funded by the French National Research Agency (ANR, fr: Agence Nationale de la Recherche). This research work was also supported by a post-doctoral grant from the Université de Caen Basse-Normandie (France) to L. Minguez. The authors thank the technical staff of the Centre de Recherche en Environnement Côtier (Luc-sur-Mer, Basse-Normandie) for their assistance in animal care.
References
- Kent, K.; Weston, A.A.; Caminada, D. Ecotoxicology of human pharmaceuticals. Aquat. Toxicol. 2006, 76, 122–159. [Google Scholar]
- Santos, L.H.M.L.M.; Araújo, A.N.; Fachini, A.; Pena, A.; Delerue-Matos, C.; Montenegro, M.C.B.S.M. Ecotoxicological aspects related to the presence of pharmaceuticals in the aquatic environment. J. Hazard. Mater. 2010, 175, 45–95. [Google Scholar] [CrossRef] [PubMed]
- Gust, M.; Fortier, M.; Garric, J.; Fournier, M.; Gagné, F. Immunotoxicity of surface waters contaminated by municipal effluents to the snail Lymnaea stagnalis. Aquat. Toxicol. 2013, 126, 392–403. [Google Scholar] [CrossRef] [PubMed]
- Pipe, R.K.; Coles, J.A. Environmental contaminants influencing immune-function in marine bivalve molluscs. Fish Shellfish Immunol. 1995, 5, 581–595. [Google Scholar] [CrossRef]
- Auffret, M.; Rousseau, S.; Boutet, I.; Tanguy, A.; Baron, J.; Moraga, D.; et al. A multiparametric approach for monitoring immunotoxic responses in mussels from contaminated sites in western Mediterranean. Ectotoxicol. Environ. Saf. 2006, 63, 393–405. [Google Scholar] [CrossRef]
- Brousseau, P.; Pellerin, J.; Morin, Y.; Cyr, D.; Blakley, B.; Boermans, H.; et al. Flow cytometry as a tool to monitor the disturbance of phagocytosis in the clam Mya arenaria hemocytes following in vitro exposure to heavy metals. Toxicology 2000, 142, 145–156. [Google Scholar] [CrossRef]
- Sauvé, S.; Brousseau, P.; Pellerin, J.; Morin, Y.; Senécal, L.; Goudreau, P.; et al. Phagocytic activity of marine and freshwater bivalves: in vitro exposure of hemocytes to metals (Ag, Cd, Hg and Zn). Aquat. Toxicol. 2002, 58, 189–200. [Google Scholar] [CrossRef]
- Gagnaire, B.; Thomas-Guyon, H.; Renault, T. In vitro effects of cadmium and mercury on Pacific oyster, Crassostrea gigas (Thunberg), haemocytes. Fish Shellfish Immunol. 2004, 16, 501–512. [Google Scholar] [CrossRef]
- Duchemin, M.; Auffret, M.; Wessel, N.; Fortier, M.; Morin, Y.; Pellerin, J.; et al. Multiple experimental approaches of immunotoxic effects of mercury chloride in the blue mussel, Mytilus edulis, through in vivo, in tubo and in vitro exposures. Environ. Pollut. 2008, 153, 416–423. [Google Scholar] [CrossRef]
- Minguez, L.; Halm-Lemeille, M.P.; Costil, K.; Bureau, R.; Lebel, J.M.; Serpentini, A. Immunotoxicity assessment of four antidepressants on primary cultures of abalone hemocytes (Haliotis tuberculata). Aquat. Toxicol. 2014, 153, 3–11. [Google Scholar] [CrossRef]
- Gust, M.; Fortier, M.; Garric, J.; Fournier, M.; Gagné, F. Effects of short-term exposure to environmentally relevant concentrations of different pharmaceutical mixtures on the immune response of the pond snail Lymnaea stagnalis. Sci. Total Environ. 2010, 445–446, 210–218. [Google Scholar] [CrossRef] [PubMed]
- Mottin, E.; Caplat, C.; Mahaut, M.L.; Costil, K.; Barillier, D.; Lebel, J.M.; et al. Effect of in vitro exposure to zinc on immunological parameters of haemocytes from the marine gastropod Haliotis tuberculata. Fish Shellfish Immunol. 2010, 29, 846–853. [Google Scholar] [CrossRef] [PubMed]
- Latire, T.; Le Pabic, C.; Mottin, E.; Mottier, A.; Costil, K.; Koueta, N.; et al. Responses of primary cultured haemocytes from the marine gastropod Haliotis tuberculata under 10-day exposure to cadmium chloride. Aquat. Toxicol. 2012, 109, 213–221. [Google Scholar] [CrossRef] [PubMed]
- Lebel, J.M.; Giard, W.; Favrel, P.; Boucaud-Camou, E. Effects of different vertebrate growth factors on primary cultures of hemocytes from the gastropod mollusc, Haliotis tuberculata. Biol. Cell 1996, 86, 67–72. [Google Scholar] [CrossRef]
- Bachère, E.; Chargot, D.; Grizel, H. Separation of Crassostrea gigas hemocytes by density gradient centrifugation and counterflow centrifugal elutriation. Dev. Comp. Immunol. 1988, 12, 549–559. [Google Scholar] [CrossRef]
- Mosmann, T. Rapid colorimetric assay for cellular growth and survival: application to proliferation and cytotoxicity assays. J. Immunol. Methods 1983, 65, 55–63. [Google Scholar] [CrossRef]
- Repetto, G.; del Peso, A.; Zurita, J.L. Neutral red uptake assay for the estimation of cell viability/cytotoxicity. Nat. Protoc. 2008, 3, 1125–1131. [Google Scholar] [CrossRef]
- Coles, J.A.; Farley, S.R.; Pipe, R.K. Alteration of the immune response of the common marine mussel Mytilus edulis resulting from exposure to cadmium. Dis. Aquat. Org. 1995, 22, 59–65. [Google Scholar] [CrossRef]
- R Core Team. R: A language and environment for statistical computing; R Foundation for Statistical Computing: Vienna, 2012; Available online: http://www.R-project.org/.
- Viarengo, A.; Lowe, D.; Bolognesi, C.; Fabbri, E.; Koehler, A. The use of biomarkers in biomonitoring: a 2-tier approach assessing the level of pollutant-induced stress syndrome in sentinel organisms. Comp. Biochem. Physiol. C 2007, 146, 281–300. [Google Scholar] [CrossRef]
- Moore, M.N. Lysosomes and environmental stress. Mar. Pollut. Bull. 1982, 13, 42–43. [Google Scholar] [CrossRef]
- Etxeberria, M.; Sastre, I.; Cajaraville, M.P.; Marigómez, I. Digestive lysosome enlargement induced by experimental exposure to metals (Cu, Cd, and Zn) in mussels collected from a zinc-polluted site. Arch. Environ. Contam. Toxicol. 1994, 27, 338–345. [Google Scholar] [CrossRef]
- Lowe, D.M.; Fossato, V.U.; Depledge, M.H. Contaminant-induced lysosomal membrane damage in blood cells of mussels Mytilus galloprovincialis from Venice Lagoon: an in vitro study. Mar. Ecol. Prog. Ser. 1995, 129, 189–196. [Google Scholar] [CrossRef]
© Copyright A. Robert et al., 2014. Licensee PAGEPress, Italy. This work is licensed under a Creative Commons Attribution NonCommercial 3.0 License (CC BY-NC 3.0).

