Geriatric Assessment as an Important Tool for Post-Hip Surgery Prognosis in Seniors
Abstract
1. Introduction
2. Materials and Methods
2.1. Study Design and Setting
2.2. Study Population
2.2.1. Inclusion Criteria
2.2.2. Exclusion Criteria
2.3. Data Collection and Measures
2.3.1. Procedures
2.3.2. Geriatric Tools
2.4. Data Analysis
3. Results
3.1. General Characteristics
3.2. Postoperative Evolution
3.2.1. Cognitive Status
3.2.2. Depression
3.2.3. Nutritional Status
3.2.4. Frailty
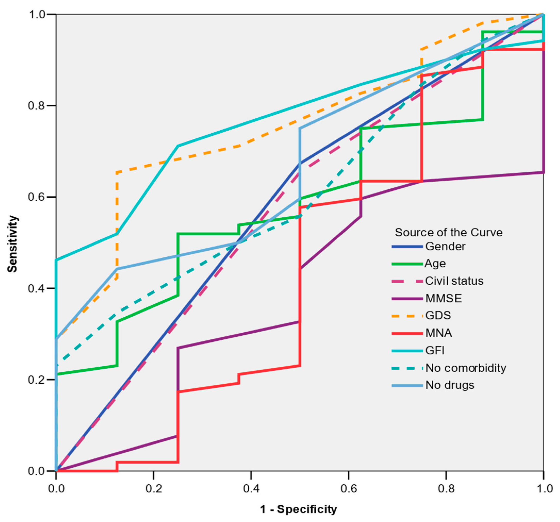
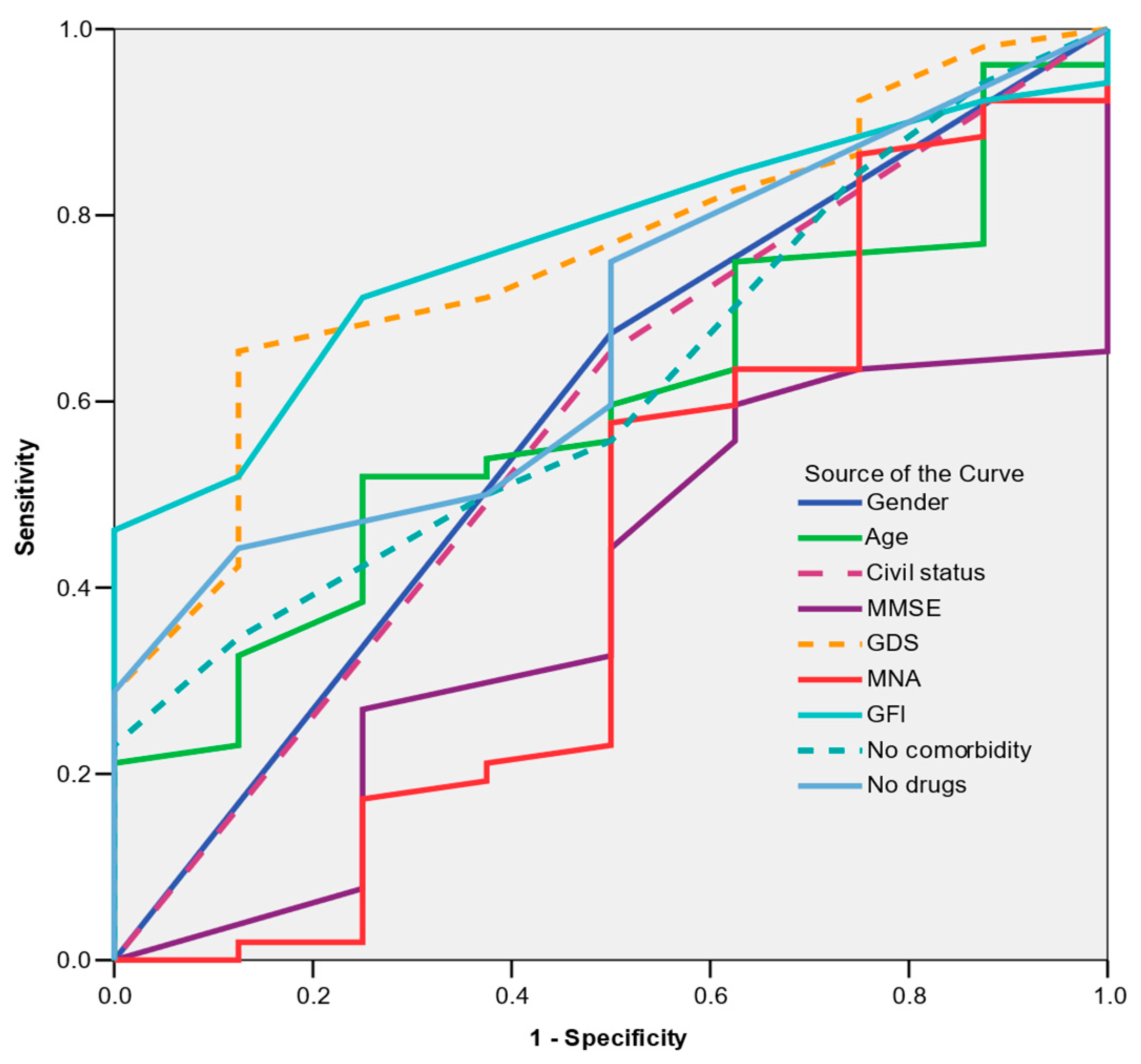
3.2.5. Correlation and Predictive Analysis
3.2.6. Mortality Outcomes
4. Discussion
4.1. Frailty as a Prognostic Marker
4.2. Role of Cognitive and Emotional Status
4.3. Polypharmacy Relevance
4.4. Clinical Implications for Multidisciplinary Care
5. Conclusions
6. Limitation of the Study
Supplementary Materials
Author Contributions
Funding
Institutional Review Board Statement
Informed Consent Statement
Data Availability Statement
Public Involvement Statement
Guidelines and Standards Statement
Use of Artificial Intelligence
Acknowledgments
Conflicts of Interest
References
- Groff, H.; Kheir, M.M.; George, J.; Azboy, I.; Higuera, C.A.; Parvizi, J. Causes of in-hospital mortality after hip fractures in the elderly. Hip Int. 2020, 30, 204–209. [Google Scholar] [CrossRef] [PubMed]
- Flaherty, E.; Bartels, S.J. Addressing the Community-Based Geriatric Healthcare Workforce Shortage by Leveraging the Potential of Interprofessional Teams. J. Am. Geriatr. Soc. 2019, 67 (Suppl. 2), S400–S408. [Google Scholar] [CrossRef] [PubMed]
- Meyer, J.R.; Earnest, R.E.; Johnson, B.M.; Steffensmeier, A.M.; Vyas, D.A.; Laughlin, R.T. Implementation of a Multidisciplinary Preoperative Protocol for Geriatric Hip Fractures Improves Time to Surgery at a Level III Trauma Center. Geriatr. Orthop. Surg. Rehabil. 2023, 14. [Google Scholar] [CrossRef] [PubMed]
- Lu, W.; Dai, L.; Wu, G.; Hu, R. Comparison of two frailty indexes in hip fractures. J. Orthop. Surg. 2020, 28, 2309499020901891. [Google Scholar] [CrossRef] [PubMed]
- Kong, D.; Luo, W.; Zhu, Z.; Sun, S.; Zhu, J. Factors associated with post-operative delirium in hip fracture patients: What should we care. Eur. J. Med. Res. 2022, 27, 40. [Google Scholar] [CrossRef] [PubMed]
- Amata, O.; Panella, L.; Incorvaia, C.; Tomba, A.; Gervasoni, F.; Caserta, A.V.; Callegari, C. Role of frailty in functional recovery after hip fracture, the variable impact in restoring autonomy. Acta Biomed. 2022, 92, e2021387. [Google Scholar] [CrossRef] [PubMed] [PubMed Central]
- Unnanuntana, A.; Kuptniratsaikul, V.; Srinonprasert, V.; Charatcharoenwitthaya, N.; Kulachote, N.; Papinwitchakul, L.; Wattanachanya, L.; Chotanaphuti, T. A multidisciplinary approach to post-operative fragility hip fracture care in Thailand—A narrative review. Injury 2023, 54, 111039. [Google Scholar] [CrossRef] [PubMed]
- Benchimol, J.A.; Elizondo, C.M.; Giunta, D.H.; Schapira, M.C.; Pollan, J.A.; Barla, J.D.; Carabelli, G.S.; Boietti, B.R. Survival and functionality in the elderly over 85 years of age with hip fracture. Rev. Española Cirugía Ortopédica Traumatol. (Engl. Ed.) 2020, 64, 265–271. [Google Scholar] [CrossRef] [PubMed]
- Chan, S.; Wong, E.K.C.; Ward, S.E.; Kuan, D.; Wong, C.L. The Predictive Value of the Clinical Frailty Scale on Discharge Destination and Complications in Older Hip Fracture Patients. J. Orthop. Trauma 2019, 33, 497–502. [Google Scholar] [CrossRef] [PubMed]
- Couderc, A.L.; Alexandre, A.; Baudier, A.; Nouguerede, E.; Rey, D.; Pradel, V.; Argenson, J.N.; Stein, A.; Lalys, L.; Villani, P. Preoperative simplified geriatric assessment in planned hip and knee arthroplasty. Eur. Geriatr. Med. 2020, 11, 623–633. [Google Scholar] [CrossRef] [PubMed]
- Song, Y.; Wu, Z.; Huo, H.; Zhao, P. The Impact of Frailty on Adverse Outcomes in Geriatric Hip Fracture Patients: A Systematic Review and Meta-Analysis. Front. Public Health 2022, 10, 890652. [Google Scholar] [CrossRef] [PubMed] [PubMed Central]
- Chen, Y.P.; Kuo, Y.J.; Hung, S.W.; Wen, T.W.; Chien, P.C.; Chiang, M.H.; Maffulli, N.; Lin, C.Y. Loss of skeletal muscle mass can be predicted by sarcopenia and reflects poor functional recovery at one year after surgery for geriatric hip fractures. Injury 2021, 52, 3446–3452. [Google Scholar] [CrossRef] [PubMed]
- van de Ree, C.L.P.; Landers, M.J.F.; Kruithof, N.; de Munter, L.; Slaets, J.P.J.; Gosens, T.; de Jongh, M.A.C. Effect of frailty on quality of life in elderly patients after hip fracture: A longitudinal study. BMJ Open 2019, 9, e025941. [Google Scholar] [CrossRef] [PubMed] [PubMed Central]
- Sheehan, K.J.; Fitzgerald, L.; Lambe, K.; Martin, F.C.; Lamb, S.E.; Sackley, C. Effectiveness of community-based rehabilitation interventions incorporating outdoor mobility on ambulatory ability and falls-related self-efficacy after hip fracture: A systematic review and meta-analysis. Arch. Osteoporos. 2021, 16, 99. [Google Scholar] [CrossRef] [PubMed] [PubMed Central]
- Grandone, E.; Ostuni, A.; Tiscia, G.L.; Marongiu, F.; Barcellona, D. Management of Patients Taking Oral Anticoagulants Who Need Urgent Surgery for Hip Fracture. Semin. Thromb. Hemost. 2019, 45, 164–170. [Google Scholar] [CrossRef] [PubMed]
- Feng, L.; Chen, W.; Ping, P.; Ma, T.; Li, Y.; Xu, L.; Feng, Z.; Zhao, Y.; Fu, S. Preoperative malnutrition as an independent risk factor for the postoperative mortality in elderly Chinese individuals undergoing hip surgery: A single-center observational study. Ther. Adv. Chronic Dis. 2022, 13, 20406223221102739. [Google Scholar] [CrossRef] [PubMed] [PubMed Central]
- Jorissen, R.N.; Lang, C.; Visvanathan, R.; Crotty, M.; Inacio, M.C. The effect of frailty on outcomes of surgically treated hip fractures in older people. Bone 2020, 136, 115327. [Google Scholar] [CrossRef] [PubMed]
- Winters, A.M.; Hartog, L.C.; Roijen, H.; Brohet, R.M.; Kamper, A.M. Relationship between clinical outcomes and Dutch frailty score among elderly patients who underwent surgery for hip fracture. Clin. Interv. Aging 2018, 13, 2481–2486. [Google Scholar] [CrossRef] [PubMed] [PubMed Central]
- Pereira, F.; Verloo, H.; von Gunten, A.; Del Río Carral, M.; Meyer-Massetti, C.; Martins, M.M.; Wernli, B. Unplanned nursing home admission among discharged polymedicated older inpatients: A single-centre, registry-based study in Switzerland. BMJ Open 2022, 12, e057444. [Google Scholar] [CrossRef] [PubMed] [PubMed Central]
- Xiang, Z.; Chen, Z.; Wang, P.; Zhang, K.; Liu, F.; Zhang, C.; Wong, T.M.; Li, W.; Leung, F. The effect of early mobilization on functional outcomes after hip surgery in the Chinese population—A multicenter prospective cohort study. J. Orthop. Surg. 2021, 29, 23094990211058902. [Google Scholar] [CrossRef] [PubMed]
- Xi, S.; Wu, Z.; Cui, J.; Yin, S.; Xi, S.; Liu, C. Association between frailty, as measured by the FRAIL scale, and 1-year mortality in older patients undergoing hip fracture surgery. BMC Geriatr. 2025, 25, 65. [Google Scholar] [CrossRef] [PubMed] [PubMed Central]
- Howrey, B.T.; Al Snih, S.; Middleton, J.A.; Ottenbacher, K.J. Trajectories of Frailty and Cognitive Decline Among Older Mexican Americans. J. Gerontol. Ser. A 2020, 75, 1551–1557. [Google Scholar] [CrossRef] [PubMed]
- Yuan, Y.; Lapane, K.L.; Tjia, J.; Baek, J.; Liu, S.H.; Ulbricht, C.M. Trajectories of physical frailty and cognitive impairment in older adults in United States nursing homes. BMC Geriatr. 2022, 22, 339. [Google Scholar] [CrossRef] [PubMed]
- de Munter, L.; van de Ree, C.L.P.; van der Jagt, O.P.; Gosens, T.; Maas, H.A.A.M.; de Jongh, M.A.C. Trajectories and prognostic factors for recovery after hip fracture: A longitudinal cohort study. Int. Orthop. 2022, 46, 2913–2926. [Google Scholar] [CrossRef] [PubMed]
- van de Ree, C.L.P.; de Munter, L.; Biesbroeck, B.H.H.; Kruithof, N.; Gosens, T.; de Jongh, M.A.C. The prevalence and prognostic factors of psychological distress in older patients with a hip fracture: A longitudinal cohort study. Injury 2020, 51, 2668–2675. [Google Scholar] [CrossRef] [PubMed]
- Sheehan, K.J.; Williamson, L.; Alexander, J.; Filliter, C.; Sobolev, B.; Guy, P.; Bearne, L.M.; Sackley, C. Prognostic factors of functional outcome after hip fracture surgery: A systematic review. Age Ageing 2018, 47, 661–670. [Google Scholar] [CrossRef] [PubMed]
- Valentini, A.; Federici, M.; Cianfarani, M.A.; Tarantino, U.; Bertoli, A. Frailty and nutritional status in older people: The Mini Nutritional Assessment as a screening tool for the identification of frail subjects. Clin. Interv. Aging 2018, 13, 1237–1244, Erratum in: Clin. Interv. Aging 2018, 13, 1631. [Google Scholar] [CrossRef] [PubMed] [PubMed Central]
- Gabrovec, B.; Veninšek, G.; Samaniego, L.L.; Carriazo, A.M.; Antoniadou, E.; Jelenc, M. The role of nutrition in ageing: A narrative review from the perspective of the European joint action on frailty—ADVANTAGE JA. Eur. J. Intern. Med. 2018, 56, 26–32. [Google Scholar] [CrossRef] [PubMed]
- Su, W.T.; Wu, S.C.; Huang, C.Y.; Chou, S.E.; Tsai, C.H.; Li, C.; Hsu, S.Y.; Hsieh, C.H. Geriatric Nutritional Risk Index as a Screening Tool to Identify Patients with Malnutrition at a High Risk of In-Hospital Mortality among Elderly Patients with Femoral Fractures-A Retrospective Study in a Level I Trauma Center. Int. J. Environ. Res. Public Health 2020, 17, 8920. [Google Scholar] [CrossRef] [PubMed] [PubMed Central]
- Loggers, S.A.I.; Van Lieshout, E.M.M.; Joosse, P.; Verhofstad, M.H.J.; Willems, H.C. Prognosis of nonoperative treatment in elderly patients with a hip fracture: A systematic review and meta-analysis. Injury 2020, 51, 2407–2413. [Google Scholar] [CrossRef] [PubMed]
- Wijnen, H.H.; Schmitz, P.P.; Es-Safraouy, H.; Roovers, L.A.; Taekema, D.G.; Van Susante, J.L.C. Nonoperative management of hip fractures in very frail elderly patients may lead to a predictable short survival as part of advance care planning. Acta Orthop. 2021, 92, 728–732. [Google Scholar] [CrossRef] [PubMed] [PubMed Central]
- Joosse, P.; Loggers, S.A.I.; Van de Ree, C.L.P.M.; Van Balen, R.; Steens, J.; Zuurmond, R.G.; Gosens, T.; Van Helden, S.H.; Polinder, S.; Willems, H.C.; et al. The value of nonoperative versus operative treatment of frail institutionalized elderly patients with a proximal femoral fracture in the shade of life (FRAIL-HIP); protocol for a multicenter observational cohort study. BMC Geriatr. 2019, 19, 301. [Google Scholar] [CrossRef] [PubMed] [PubMed Central]
- Sanz-Reig, J.; Salvador Marín, J.; Ferrández Martínez, J.; Orozco Beltrán, D.; Martínez López, J.F.; Quesada Rico, J.A. Prognostic factors and predictive model for in-hospital mortality following hip fractures in the elderly. Chin. J. Traumatol. 2018, 21, 163–169. [Google Scholar] [CrossRef] [PubMed] [PubMed Central]
- Wilson, J.M.; Boissonneault, A.R.; Schwartz, A.M.; Staley, C.A.; Schenker, M.L. Frailty and Malnutrition Are Associated with Inpatient Postoperative Complications and Mortality in Hip Fracture Patients. J. Orthop. Trauma 2019, 33, 143–148. [Google Scholar] [CrossRef] [PubMed]
- Wilson, J.M.; Schwartz, A.M.; Farley, K.X.; Bradbury, T.L.; Guild, G.N. Combined Malnutrition and Frailty Significantly Increases Complications and Mortality in Patients Undergoing Elective Total Hip Arthroplasty. J. Arthroplasty 2020, 35, 2488–2494. [Google Scholar] [CrossRef] [PubMed]
- Han, T.S.; Yeong, K.; Lisk, R.; Fluck, D.; Fry, C.H. Prevalence and consequences of malnutrition and malnourishment in older individuals admitted to hospital with a hip fracture. Eur. J. Clin. Nutr. 2021, 75, 645–652. [Google Scholar] [CrossRef] [PubMed]
- Inoue, T.; Maeda, K.; Nagano, A.; Shimizu, A.; Ueshima, J.; Murotani, K.; Sato, K.; Tsubaki, A. Undernutrition, Sarcopenia, and Frailty in Fragility Hip Fracture: Advanced Strategies for Improving Clinical Outcomes. Nutrients 2020, 12, 3743. [Google Scholar] [CrossRef] [PubMed]
- Probert, N.; Lööw, A.; Akner, G.; Wretenberg, P.; Andersson, Å.G. A Comparison of Patients with Hip Fracture, Ten Years Apart: Morbidity, Malnutrition and Sarcopenia. J. Nutr. Health Aging 2020, 24, 870–877. [Google Scholar] [CrossRef] [PubMed]
- Ceylan, S.; Oytun, M.G.; Baş, A.O.; Koca, M.; Öztürk, Y.; Balcı, C.; Doğu, B.B.; Cankurtaran, M.; Halil, M.G. Mini Nutritional Assessment-Short Form and frailty screening according to 2 different frailty scales. Clin. Sci. Nutr. 2023, 5, 100–105. [Google Scholar] [CrossRef]
- Folstein, M.F.; Folstein, S.E.; McHugh, P.R. “Mini-mental state”: A practical method for grading the cognitive state of patients for the clinician. J. Psychiatr. Res. 1975, 12, 189–198. [Google Scholar] [CrossRef] [PubMed]
- Yesavage, J.A.; Brink, T.L.; Rose, T.L.; Lum, O.; Huang, V.; Adey, M.; Leirer, V.O. Development and validation of a geriatric depression screening scale: A preliminary report. J. Psychiatr. Res. 1983, 17, 37–49. [Google Scholar] [CrossRef] [PubMed]
- Guigoz, Y.; Lauque, S.; Vellas, B.J. Identifying the elderly at risk for malnutrition: The Mini Nutritional Assessment. Clin. Geriatr. Med. 2002, 18, 737–757. [Google Scholar] [CrossRef] [PubMed]
- Steverink, N.; Slaets, J.P.J.; Schuurmans, H.; van Lis, M. Measuring frailty: Developing and testing the GFI (Groningen Frailty Indicator). Gerontologist 2001, 41, 236–237. [Google Scholar]
- Barchick, S.R.; Masada, K.M.; Fryhofer, G.W., 4th; Alqazzaz, A.; Donegan, D.J.; Mehta, S. The hip fracture assessment tool: A scoring system to assess high risk geriatric hip fracture patients for post-operative critical care monitoring. Injury 2024, 55, 111584. [Google Scholar] [CrossRef] [PubMed]
- Rogers, M.; Brown, R.; Stanger, S. Frailty in orthopaedics: Is age relevant? Injury 2020, 51, 2402–2406. [Google Scholar] [CrossRef] [PubMed] [PubMed Central]
- Morri, M.; Ambrosi, E.; Chiari, P.; Orlandi Magli, A.; Gazineo, D.; D’ Alessandro, F.; Forni, C. One-year mortality after hip fracture surgery and prognostic factors: A prospective cohort study. Sci. Rep. 2019, 9, 18718. [Google Scholar] [CrossRef] [PubMed] [PubMed Central]
- Li, S.; Zhang, J.; Zheng, H.; Wang, X.; Liu, Z.; Sun, T. Prognostic Role of Serum Albumin, Total Lymphocyte Count, and Mini Nutritional Assessment on Outcomes After Geriatric Hip Fracture Surgery: A Meta-Analysis and Systematic Review. J. Arthroplast. 2019, 34, 1287–1296. [Google Scholar] [CrossRef] [PubMed]
- Malafarina, V.; Reginster, J.Y.; Cabrerizo, S.; Bruyère, O.; Kanis, J.A.; Martinez, J.A.; Zulet, M.A. Nutritional Status and Nutritional Treatment Are Related to Outcomes and Mortality in Older Adults with Hip Fracture. Nutrients 2018, 10, 555. [Google Scholar] [CrossRef] [PubMed] [PubMed Central]
- Pes, M.; Pulino, A.; Pisanu, F.; Manunta, A.F. Why malnutrition in orthopaedic elective patient is still an issue? A recent review of the literature. Eur. J. Orthop. Surg. Traumatol. 2023, 33, 3723–3727. [Google Scholar] [CrossRef] [PubMed] [PubMed Central]
- Chiavarini, M.; Ricciotti, G.M.; Genga, A.; Faggi, M.I.; Rinaldi, A.; Toscano, O.D.; D’Errico, M.M.; Barbadoro, P. Malnutrition-Related Health Outcomes in Older Adults with Hip Fractures: A Systematic Review and Meta-Analysis. Nutrients 2024, 16, 1069. [Google Scholar] [CrossRef] [PubMed]
- Chen, Y.; Guo, Y.; Tong, G.; He, Y.; Zhang, R.; Liu, Q. Combined nutritional status and activities of daily living disability is associated with one-year mortality after hip fracture surgery for geriatric patients: A retrospective cohort study. Aging Clin. Exp. Res. 2024, 36, 127. [Google Scholar] [CrossRef] [PubMed] [PubMed Central]
- Inoue, T.; Misu, S.; Tanaka, T.; Kakehi, T.; Kakiuchi, M.; Chuman, Y.; Ono, R. Frailty defined by 19 items as a predictor of short-term functional recovery in patients with hip fracture. Injury 2019, 50, 2272–2276. [Google Scholar] [CrossRef] [PubMed]
- Rockwood, K.; Stadnyk, K.; MacKnight, C.; McDowell, I.; Hebert, R.; Hogan, D.B. A brief clinical instrument to classify frailty in elderly people. Lancet 1999, 353, 205–206. [Google Scholar] [CrossRef] [PubMed]
- Liu, Y.; Wang, Z.; Xiao, W. Risk factors for mortality in elderly patients with hip fractures: A meta-analysis of 18 studies. Aging Clin. Exp. Res. 2018, 30, 323–330. [Google Scholar] [CrossRef] [PubMed]
- Chang, H.Y.; Fang, H.L.; Ting, T.T.; Liang, J.; Chuang, S.Y.; Hsu, C.C.; Wu, C.Y.; Pan, W.H. The Co-Occurrence of Frailty (Accumulation of Functional Deficits) and Depressive Symptoms, and Its Effect on Mortality in Older Adults: A Longitudinal Study. Clin. Interv. Aging 2019, 14, 1671–1680. [Google Scholar] [CrossRef] [PubMed] [PubMed Central]
- Milton-Cole, R.; Ayis, S.; Lambe, K.; O’Connell, M.D.L.; Sackley, C.; Sheehan, K.J. Prognostic factors of depression and depressive symptoms after hip fracture surgery: Systematic review. BMC Geriatr. 2021, 21, 537. [Google Scholar] [CrossRef] [PubMed] [PubMed Central]
- Marcantonio, E.R.; Flacker, J.M.; Michaels, M.; Resnick, N.M. Delirium is independently associated with poor functional recovery after hip fracture. J. Am. Geriatr. Soc. 2000, 48, 618–624. [Google Scholar] [CrossRef] [PubMed]
- Davis, D.H.; Muniz Terrera, G.; Keage, H.; Rahkonen, T.; Oinas, M.; Matthews, F.E.; Cunningham, C.; Polvikoski, T.; Sulkava, R.; MacLullich, A.M.; et al. Delirium is a strong risk factor for dementia in the oldest-old: A population-based cohort study. Brain 2012, 135 (Pt. 9), 2809–2816. [Google Scholar] [CrossRef] [PubMed] [PubMed Central]
- Forssten, M.P.; Mohammad Ismail, A.; Ioannidis, I.; Wretenberg, P.; Borg, T.; Cao, Y.; Ribeiro, M.A.F., Jr.; Mohseni, S. A nationwide analysis on the interaction between frailty and beta-blocker therapy in hip fracture patients. Eur. J. Trauma Emerg. Surg. 2023, 49, 1485–1497. [Google Scholar] [CrossRef] [PubMed] [PubMed Central]
- Cooper, C.; Cole, Z.A.; Holroyd, C.R.; Earl, S.C.; Harvey, N.C.; Dennison, E.M.; Melton, L.J.; Cummings, S.R.; Kanis, J.A.; IOF CSA Working Group on Fracture Epidemiology. Secular trends in the incidence of hip and other osteoporotic fractures. Osteoporos. Int. 2011, 22, 1277–1288. [Google Scholar] [CrossRef] [PubMed] [PubMed Central]
- Midão, L.; Brochado, P.; Almada, M.; Duarte, M.; Paúl, C.; Costa, E. Frailty Status and Polypharmacy Predict All-Cause Mortality in Community Dwelling Older Adults in Europe. Int. J. Environ. Res. Public Health 2021, 18, 3580. [Google Scholar] [CrossRef] [PubMed] [PubMed Central]
- Chen, C.L.; Chen, C.M.; Wang, C.Y.; Ko, P.W.; Chen, C.H.; Hsieh, C.P.; Chiu, H.C. Frailty is Associated with an Increased Risk of Major Adverse Outcomes in Elderly Patients Following Surgical Treatment of Hip Fracture. Sci. Rep. 2019, 9, 19135. [Google Scholar] [CrossRef] [PubMed] [PubMed Central]
- Chow, W.B.; Rosenthal, R.A.; Merkow, R.P.; Ko, C.Y.; Esnaola, N.F. Optimal Preoperative Assessment of the Geriatric Surgical Patient: A Best Practices Guideline from the American College of Surgeons National Surgical Quality Improvement Program and the American Geriatrics Society. J. Am. Coll. Surg. 2012, 215, 453–466. [Google Scholar] [CrossRef] [PubMed]
- European Geriatric Medicine Society (EuGMS). Perioperative Geriatric Medicine—Special Interest Group (SIG). Available online: https://www.eugms.org/groups-projects/perioperative-geriatric-medicine (accessed on 2 June 2025).


| Characteristics | Study Group n = 60 | |
|---|---|---|
| n | % | |
| Female | 39 | 65.0 |
| Male | 21 | 35.0 |
| Age | ||
| Mean ± SD | 77.62 ± 8.65 | |
| Median/min–max | (79/61–96) | |
| <80 years | 31 | 51.7 |
| ≥80 years | 29 | 48.3 |
| Unmarried | 38 | 63.3 |
| Married | 22 | 36.7 |
| Polypharmacy (#) Median/min–max | 3/0–8 | |
| Comorbidities (#) Median/min–max | 4/1–11 | |
| Score Evaluation | Preoperative | Postoperative | Significance Test | p |
|---|---|---|---|---|
| MMSE median ± SD median/min–max | 22.18 ± 5.69 23/5–30 | 21.53 ± 5.52 22/9–30 | Paired-Samples T test Mood′s Median Test | 0.126 0.003 |
| Cognitive impairment Severe Moderate Mild Without impairment | 2 (3.3%) 16 (26.7%) 21 (35.0%) 21 (35.0%) | 2 (3.3%) 18 (30.0%) 23 (38.3%) 17 (28.3%) | Chi Square Test Likelihood Ratio | 0.889 |
| GDS mean ± SD Median/min–max | 6.63 ± 3.49 6.50/0–14 | 6.77 ± 3.33 7/0–14 | Paired-Samples T test Mood′s Median Test | 0.214 0.002 |
| Psycho-emotional impairment (depression) Severe Mild Normal | 7 (11.7%) 33 (55.0%) 20 (33.3%) | 8 (13.3%) 34 (55.8%) 18 (30.0%) | Chi Square Test Likelihood Ratio | 0.918 |
| MNA mean ± SD Median/min–max | 22.61 ± 3.28 23/14.2–29.0 | 22.61 ± 3.28 23/14.2–29.0 | Paired-Samples T test Mood′s Median Test | 1.000 - |
| Nutritional status Malnutrition At risk of malnutrition Normal | 4 (6.7%) 34 (56.7%) 22 (36.7%) | 4 (6.7%) 34 (56.7%) 22 (36.7%) | Chi Square Test Likelihood Ratio | 1.000 |
| GFI mean ± SD Median/min–max | 5.18 ± 3.09 6/0–13 | 7.33 ± 3.20 7/1–13 | Paired-Samples T test Mood′s Median Test | 0.001 0.106 |
| Frailty Frail Robust | 39 (65.0%) 21 (35.0%) | 52 (86.7%) 8 (13.3%) | Chi Square Test Likelihood Ratio | 0.005 |
| GFI | Preoperative | Postoperative | ||
|---|---|---|---|---|
| r | p | r | p | |
| MMSE | −0.481 | <0.01 | −0.402 | 0.001 |
| GDS | 0.503 | <0.01 | 0.352 | 0.006 |
| MNA | −0.382 | <0.01 | −0.253 | 0.051 |
| No Comorbidities | 0.058 | 0.658 | 0.089 | 0.500 |
| No Medications | 0.224 | 0.085 | 0.339 | 0.008 |
| Model | Unstandardized Coefficients | Unstandardized Coefficients | T | p | 95% Confidence Interval for β | |
|---|---|---|---|---|---|---|
| β | Er. Std. | Beta | ||||
| Constant | 3.830 | 7.387 | 0.518 | 0.606 | −9.625 ÷ 20.944 | |
| Sex | 0.147 | 0.892 | 0.022 | 0.165 | 0.870 | −1.545 ÷ 2.066 |
| Age | 0.001 | 0.057 | 0.004 | 0.024 | 0.981 | −0.119 ÷ 0.112 |
| Marital Status | 0.997 | 0.877 | 0.152 | 1.137 | 0.261 | −0.780 ÷ 2.742 |
| MMSE pre | −0.070 | 0.093 | −0.125 | −0.758 | 0.452 | −0.256 ÷ 0.116 |
| GDS pre | 0.288 | 0.136 | 0.313 | 2.109 | 0.040 | −0.011 ÷ 0.543 |
| MNA pre | 0.020 | 0.140 | 0.021 | 0.144 | 0.886 | −0.344 ÷ 0.267 |
| # comorbidities | −0.074 | 0.168 | −0.060 | −0.443 | 0.660 | −0.416 ÷ 0.258 |
| # medications | 0.357 | 0.168 | 0.290 | 1.930 | 0.083 | −0.004 ÷ 0.675 |
| Characteristics | Death n = 40 (42.6%) | Survival n = 54 (57.4%) | Chi2 Test | p | Estimated Risk | CI95% | ||
|---|---|---|---|---|---|---|---|---|
| n | % | n | % | |||||
| Female | 14 | 35.0 | 16 | 29.6 | 0.304 | 0.581 | 1.15 | 0.71–1.86 |
| ≥80 years | 33 | 82.5 | 18 | 33.3 | 23.79 | 0.001 | 3.98 | 1.96–8.06 |
| Unmarried | 30 | 75.0 | 31 | 57.4 | 3.186 | 0.074 | 1.37 | 0.98–1.92 |
Disclaimer/Publisher’s Note: The statements, opinions and data contained in all publications are solely those of the individual author(s) and contributor(s) and not of MDPI and/or the editor(s). MDPI and/or the editor(s) disclaim responsibility for any injury to people or property resulting from any ideas, methods, instructions or products referred to in the content. |
© 2025 by the authors. Licensee MDPI, Basel, Switzerland. This article is an open access article distributed under the terms and conditions of the Creative Commons Attribution (CC BY) license (https://creativecommons.org/licenses/by/4.0/).
Share and Cite
Pîslaru, A.I.; Sîrbu, I.; Albișteanu, S.-M.; Ștefăniu, R.; Turcu, A.-M.; Grigoraș, G.; Lungu, I.-D.; Pînzaru, R.M.; Alexa, I.D.; Ilie, A.C. Geriatric Assessment as an Important Tool for Post-Hip Surgery Prognosis in Seniors. Nurs. Rep. 2025, 15, 262. https://doi.org/10.3390/nursrep15070262
Pîslaru AI, Sîrbu I, Albișteanu S-M, Ștefăniu R, Turcu A-M, Grigoraș G, Lungu I-D, Pînzaru RM, Alexa ID, Ilie AC. Geriatric Assessment as an Important Tool for Post-Hip Surgery Prognosis in Seniors. Nursing Reports. 2025; 15(7):262. https://doi.org/10.3390/nursrep15070262
Chicago/Turabian StylePîslaru, Anca Iuliana, Irina Sîrbu, Sabinne-Marie Albișteanu, Ramona Ștefăniu, Ana-Maria Turcu, Gabriela Grigoraș, Iulia-Daniela Lungu, Roxana Maria Pînzaru, Ioana Dana Alexa, and Adina Carmen Ilie. 2025. "Geriatric Assessment as an Important Tool for Post-Hip Surgery Prognosis in Seniors" Nursing Reports 15, no. 7: 262. https://doi.org/10.3390/nursrep15070262
APA StylePîslaru, A. I., Sîrbu, I., Albișteanu, S.-M., Ștefăniu, R., Turcu, A.-M., Grigoraș, G., Lungu, I.-D., Pînzaru, R. M., Alexa, I. D., & Ilie, A. C. (2025). Geriatric Assessment as an Important Tool for Post-Hip Surgery Prognosis in Seniors. Nursing Reports, 15(7), 262. https://doi.org/10.3390/nursrep15070262

