Influence of Hospital Bed Count on the Positioning of Cardiovascular Interventional Radiology (IR) Nurses: Online Questionnaire Survey of Japanese IR-Specialized Radiological Technologists
Abstract
1. Introduction
2. Materials and Methods
2.1. Study Design
2.2. Setting and Context
2.3. Participants
2.4. Data Sources
2.5. Statistical Method
3. Results
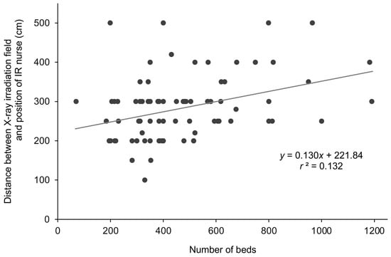
3.1. Comparison of Distance Between Position of IR Nurse and X-Ray Irradiation Field by Number of Hospital Beds
3.2. Comparison of IR Staff Composition by Number of Hospital Beds
3.3. Comparison of Other Characteristics by Number of Hospital Beds
3.4. Comparison of Position of IR Nurse by Number of Hospital Beds
3.5. Factors That Determine the Position of the IR Nurse
4. Discussion
5. Conclusions
Supplementary Materials
Author Contributions
Funding
Institutional Review Board Statement
Informed Consent Statement
Data Availability Statement
Public Involvement Statement
Guidelines and Standards Statement
Use of Artificial Intelligence
Acknowledgments
Conflicts of Interest
References
- The Ministry of Health, Labour and Welfare. Medical Facility Surveys and Hospital Reports. Available online: https://www.mhlw.go.jp/toukei/list/79-1a.html (accessed on 14 October 2024).
- Kozuma, K.; Chikamori, T.; Hashimoto, J.; Honye, J.; Ikeda, T.; Ishiwata, S.; Kato, M.; Kondo, H.; Matsubara, K.; Matsumoto, K.; et al. JCS 2021 Guideline on Radiation Safety in Cardiology. Circ. J. 2022, 86, 1148–1203. [Google Scholar] [CrossRef]
- Vañó, E.; González, L.; Beneytez, F.; Moreno, F. Lens injuries induced by occupational exposure in non-optimized interventional radiology laboratories. Br. J. Radiol. 1998, 71, 728–733. [Google Scholar] [CrossRef] [PubMed]
- Junk, A.K.; Haskal, Z.; Worgul, B.V. Cataract in Interventional Radiology—An Occupational Hazard? Investig. Ophthalmol. Vis. Sci. 2004, 45, 388. [Google Scholar]
- Chodick, G.; Bekiroglu, N.; Hauptmann, M.; Alexander, B.H.; Freedman, D.M.; Doody, M.M.; Cheung, L.C.; Simon, S.L.; Weinstock, R.M.; Bouville, A.; et al. Risk of cataract after exposure to low doses of ionizing radiation: A 20-year prospective cohort study among US radiologic technologists. Am. J. Epidemiol. 2008, 168, 620–631. [Google Scholar] [CrossRef] [PubMed]
- Kleiman, N.J.; Cabrera, M.; Duran, G.; Ramirez, R.; Duran, A.; Vañó, E. Occupational risk of radiation cataract in interventional cardiology. Investig. Ophthalmol. Vis. Sci. 2009, 49, 511. [Google Scholar]
- Vano, E.; Kleiman, N.J.; Duran, A.; Rehani, M.M.; Echeverri, D.; Cabrera, M. Radiation cataract risk in interventional cardiology personnel. Radiat. Res. 2010, 174, 490–495. [Google Scholar] [CrossRef] [PubMed]
- Ciraj-Bjelac, O.; Rehani, M.M.; Sim, K.H.; Liew, H.B.; Vano, E.; Kleiman, N.J. Risk for radiation-induced cataract for staff in interventional cardiology: Is there reason for concern? Catheter. Cardiovasc. Interv. 2010, 76, 826–834. [Google Scholar] [CrossRef] [PubMed]
- Rehani, M.M.; Vano, E.; Ciraj-Bjelac, O.; Kleiman, N.J. Radiation and cataract. Radiat. Prot. Dosim. 2011, 147, 300–304. [Google Scholar] [CrossRef]
- Jacob, S.; Boveda, S.; Bar, O.; Brézin, A.; Maccia, C.; Laurier, D.; Bernier, M.O. Interventional cardiologists and risk of radiation-induced cataract: Results of a French multicenter observational study. Int. J. Cardiol. 2013, 167, 1843–1847. [Google Scholar] [CrossRef]
- Ciraj-Bjelac, O.; Rehani, M.; Minamoto, A.; Sim, K.H.; Liew, H.B.; Vano, E. Radiation-induced eye lens changes and risk for cataract in interventional cardiology. Cardiology 2012, 123, 168–171. [Google Scholar] [CrossRef]
- Vano, E.; Kleiman, N.J.; Duran, A.; Romano-Miller, M.; Rehani, M.M. Radiation-associated lens opacities in catheterization personnel: Results of a survey and direct assessments. J. Vasc. Interv. Radiol. 2013, 24, 197–204. [Google Scholar] [CrossRef] [PubMed]
- International Commission on Radiological Protection. ICRP statement on tissue reactions and early and late effects of radiation in normal tissues and organs-threshold doses for tissue reactions in a radiation protection context; ICRP Publication 118. Ann. ICRP 2012, 41, 1–322. [Google Scholar] [CrossRef]
- Brown, N.P. The lens is more sensitive to radiation than we had believed. Br. J. Ophthalmol. 1997, 81, 257. [Google Scholar] [CrossRef] [PubMed]
- Ainsbury, E.A.; Bouffler, S.D.; Dörr, W.; Graw, J.; Muirhead, C.R.; Edwards, A.A.; Cooper, J. Radiation cataractogenesis: A review of recent studies. Radiat. Res. 2009, 172, 1–9. [Google Scholar] [CrossRef] [PubMed]
- Kuriyama, T.; Moritake, T.; Nakagami, K.; Morota, K.; Hitomi, G.; Kitamura, H. Background Factors Affecting the Radiation Exposure of the Lens of the Eye among Nurses in Interventional Radiology: A Quantitative Observational Study. Nurs. Rep. 2024, 14, 413–427. [Google Scholar] [CrossRef]
- van der Merwe, B. Establishing ionising radiation safety culture during interventional cardiovascular procedures. Cardiovasc. J. Afr. 2021, 32, 271–275. [Google Scholar] [CrossRef]
- Omar, A.; Kadesjö, N.; Palmgren, C.; Marteinsdottir, M.; Segerdahl, T.; Fransson, A. Assessment of the occupational eye lens dose for clinical staff in interventional radiology, cardiology and neuroradiology. J. Radiol. Prot. 2017, 37, 145–159. [Google Scholar] [CrossRef] [PubMed]
- Sánchez, R.M.; Vano, E.; Fernández, J.M.; Pifarré, X.; Ordiales, J.M.; Rovira, J.J.; Carrera, F.; Goicolea, J.; Fernández-Ortiz, A. Occupational eye lens doses in interventional cardiology. A multicentric study. J. Radiol. Prot. 2016, 36, 133–143. [Google Scholar] [CrossRef] [PubMed]
- Domienik, J.; Brodecki, M.; Rusicka, D. A study of the dose distribution in the region of the eye lens and extremities for staff working in interventional cardiology. Radiat. Meas. 2012, 47, 130–138. [Google Scholar] [CrossRef]
- Wilson, S.K.; Hartel, G.; Fontanarosa, D. Occupational radiation exposure to the head is higher for scrub nurses than cardiologists during cardiac angiography. J. Adv. Nurs. 2019, 75, 2692–2700. [Google Scholar] [CrossRef] [PubMed]
- Mori, H.; Koshida, K.; Fujii, T.; Ichikawa, K. Examination of Types of Exposure and Management Methods for Nurses in Interventional Radiology. Jpn. J.Radiol. Technol. 2007, 63, 401–411. [Google Scholar] [CrossRef][Green Version]
- Antic, V.; Ciraj-Bjelac, O.; Rehani, M.; Aleksandric, S.; Arandjic, D.; Ostojic, M. Eye lens dosimetry in interventional cardiology: Results of staff dose measurements and link to patient dose levels. Radiat. Prot. Dosim. 2013, 154, 276–284. [Google Scholar] [CrossRef] [PubMed]
- Omar, A.; Marteinsdottir, M.; Kadesjö, N.; Fransson, A. On the feasibility of utilizing active personal dosimeters worn on the chest to estimate occupational eye lens dose in x-ray angiography. J. Radiol. Prot. 2015, 35, 271–284. [Google Scholar] [CrossRef]
- Madder, R.D.; LaCombe, A.; VanOosterhout, S.; Mulder, A.; Elmore, M.; Parker, J.L.; Jacoby, M.E.; Wohns, D. Radiation Exposure Among Scrub Technologists and Nurse Circulators During Cardiac Catheterization: The Impact of Accessory Lead Shields. JACC Cardiovasc. Interv. 2018, 11, 206–212. [Google Scholar] [CrossRef] [PubMed]
- Komemushi, A.; Suzuki, S.; Sano, A.; Kanno, S.; Kariya, S.; Nakatani, M.; Yoshida, R.; Kono, Y.; Ikeda, K.; Utsunomiya, K. Radiation dose of nurses during IR procedures: A controlled trial evaluating operator alerts before nursing tasks. J. Vasc. Interv. Radiol. 2014, 25, 1195–1199. [Google Scholar] [CrossRef] [PubMed]
- National Institute of Radiological Sciences. Radiology for Nurses; Asakura Publishing Co., Ltd.: Tokyo, Japan, 2012. [Google Scholar]
- Japan Professional Accreditation Board of Radiological Technologist for Angiography and Intervention. Available online: http://ivr-rt.kenkyuukai.jp/special/index.asp?id=18148 (accessed on 14 October 2024).
- Landis, J.R.; Koch, G.G. The measurement of observer agreement for categorical data. Biometrics 1977, 33, 159–174. [Google Scholar] [CrossRef]
- The Ministry of Health, Labour and Welfare. Proposals for Decentralization Reform in 2022. Available online: https://www.pref.miyagi.jp/documents/22588/ekkusu.pdf (accessed on 14 October 2024).
- Chan, D.; Downing, D.; Keough, C.E.; Saad, W.A.; Annamalai, G.; d’Othee, B.J.; Ganguli, S.; Itkin, M.; Kalva, S.P.; Khan, A.A.; et al. Joint Practice Guideline for Sterile Technique during Vascular and Interventional Radiology Procedures. J. Vasc. Interv. Radiol. 2012, 23, 1603–1612. [Google Scholar] [CrossRef] [PubMed]
- Bayramzadeh, S.; Joseph, A.; San, D.; Khoshkenar, A.; Taaffe, K.; Jafarifiroozabadi, R.; Neyens, D.M. The Impact of Operating Room Layout on Circulating Nurse’s Work Patterns and Flow Disruptions: A Behavioral Mapping Study. HERD-Health Environ. Res. 2018, 11, 124–138. [Google Scholar] [CrossRef] [PubMed]
- Komemushi, A.; Ichida, T.; Inoue, M.; Ohuchi, Y.; Onozawa, S.; Tanikake, M.; Tamura, M.; Horikawa, M.; Yabuta, M.; Tanigawa, N.; et al. Recommendations for the medical system for performing interventional radiology procedures. Jpn. J. Interv. Radiol. 2019, 33, 445–460. [Google Scholar]
- Mohapatra, A.; Greenberg, R.K.; Mastracci, T.M.; Eagleton, M.J.; Thornsberry, B. Radiation exposure to operating room personnel and patients during endovascular procedures. J. Vasc. Surg. 2013, 58, 702–709. [Google Scholar] [CrossRef]
- Sailer, A.M.; Schurink, G.W.; Bol, M.E.; de Haan, M.W.; van Zwam, W.H.; Wildberger, J.E.; Jeukens, C.R. Occupational Radiation Exposure During Endovascular Aortic Repair. Cardiovasc. Interv. Radiol. 2015, 38, 827–832. [Google Scholar] [CrossRef] [PubMed]
- International Commission on Radiological Protection. Occupational Radiological Protection in Interventional Procedures; publication 139. Ann. ICRP 2018, 47, 1–118. [Google Scholar] [CrossRef]
- Ministry of Health, Labour and Welfare. A Study on the Actual Status of Radiation Exposure in Radiation Work Involving Uneven Exposure and the Assessment of Issues for Reducing Radiation Exposure; Research Summary Report: FY2020 Industrial Accident Disease Clinical Research Project; Ministry of Health, Labour and Welfare: Tokyo, Japan, 2021. Available online: https://www.mhlw.go.jp/content/000812185.pdf (accessed on 22 December 2024).







| Question Item | Response Method | Options | |
|---|---|---|---|
| Basic information on respondent and their affiliated institution | |||
| Overview of affiliated institution | Hospital type by establishment body | Private hospitals, public/public and social insurance-related hospitals, national hospitals, university hospitals | |
| District location | Multiple choice | 47 prefectures | |
| Emergency medical system | Multiple choice | Primary emergency designation, secondary emergency designation, tertiary emergency designation, no emergency designation | |
| Number of hospital beds | Descriptive | ||
| Annual number of cardiovascular IR procedures conducted | Multiple choice | <100 cases, 100–299 cases, 300–499 cases, 500–699 cases, 700–899 cases, ≥900 cases | |
| Cardiovascular IR work status * | |||
| Angiography room environment | Size of angiography room | Multiple choice | <40 m2, 40–49 m2, 50–59 m2, 60–69 m2, ≥70 m2, unknown |
| CSS installation status | Multiple choice | Installed, installed in part of the room, not installed | |
| RS installation status | Multiple choice | Installed, installed in part of the room, not installed | |
| Medical equipment located outside of angiography room | Multiple choice (multiple choices allowed) | Emergency cart, medicine cabinet, IR catheter storage shelf, hygiene material (infusion route, etc.) storage shelf, activated clotting time (ACT) measurement device, nursing recording media (computer for electronic medical records, etc.), all in room and not applicable | |
| Staff personnel composition † | Proportion of procedures (diagnosis, treatment) conducted by only one physician | Multiple choice | None at all, 10–20%, 30–40%, approximately 50%, 60–70%, 80–90%, almost all |
| Proportion of procedures (diagnosis, treatment) conducted by three or more physicians | Multiple choice | ||
| Proportion of procedures (diagnosis, treatment) conducted by only one IR nurse | Multiple choice | ||
| Proportion of procedures (diagnosis, treatment) attended by resident | Multiple choice | ||
| Position of IR nurse | Distance (cm) ‡ | Descriptive | |
| Direction § | Multiple choice | A-T with 360° of room centered on radiation field divided into 20 sections | |
| Determining factor of position of IR nurse | What criteria were used to determine the position of the IR nurse? | Multiple choice (multiple choices allowed) | Physician’s opinion, nurse’s opinion, radiological technologist’s opinion, discussion between other professions, room size, item arrangement, ease of entering and exiting room, ease of assisting operator, ease of observing patient, reduction in radiation exposure for nurses, unknown |
| Number of IR Staff | ≤343 Beds (n = 26) | 344–520 Beds (n = 27) | ≥521 Beds (n = 25) | p (Kruskal–Wallis) | Multiple Comparisons (Mann–Whitney U) | |||
|---|---|---|---|---|---|---|---|---|
| IR procedure for diagnosis | ||||||||
| Physician | ||||||||
| one | mean ± SD | 3.7 ± 2.5 | 3.2 ± 2.1 | 1.9 ± 1.4 | 0.02 | ≥521 beds vs. ≤343 beds * | ||
| median [IQR] | 2.5 [1–6.75] | 2 [2–5] | 2 [1–2] | ≥521 beds vs. 344–520 beds * | ||||
| three or more | mean ± SD | 2.1 ± 1.6 | 1.9 ± 1.2 | 2.8 ± 1.5 | 0.018 | ≤343 beds vs. ≥521 beds ** | ||
| median [IQR] | 2 [1–2] | 2 [1–2] | 2 [2–4] | 344–520 beds vs. ≥521 beds ** | ||||
| Resident † | ||||||||
| one or more | mean ± SD | 2.9 ± 1.5 | 3.5 ± 1.6 | 5.1 ± 1.8 | <0.001 | ≤343 beds vs. ≥521 beds ** | ||
| median [IQR] | 2 [2–4] | 3 [2.5–5] | 6 [3–7] | 344–520 beds vs. ≥521 beds ** | ||||
| IR nurse | ||||||||
| one | mean ± SD | 3.9 ± 2.3 | 5.0 ± 2.3 | 5.0 ± 2.0 | 0.099 | |||
| median [IQR] | 3.5 [2–6] | 6 [3–7] | 6 [4–7] | |||||
| IR procedure for treatment | ||||||||
| Physician | ||||||||
| one | mean ± SD | 2.3 ± 2.1 | 2.2 ± 1.8 | 1.2 ± 0.4 | 0.092 | |||
| median [IQR] | 1 [1–2] | 1 [1–2.5] | 1 [1–1] | |||||
| three or more | mean ± SD | 2.8 ± 1.7 | 2.7 ± 1.3 | 4.3 ± 1.4 | <0.001 | ≤343 beds vs. ≥521 beds ** | ||
| median [IQR] | 2 [2–3.75] | 2 [2–3.5] | 4 [3–5] | 344–520 beds vs. ≥521 beds ** | ||||
| Resident † | ||||||||
| one or more | mean ± SD | 2.9 ± 1.5 | 3.6 ± 1.7 | 4.8 ± 1.9 | 0.003 | ≤343 beds vs. ≥521 beds ** | ||
| median [IQR] | 2 [2–4] | 3 [3–4.75] | 5 [3–7] | 344–520 beds vs. ≥521 beds * | ||||
| IR nurse | ||||||||
| one | mean ± SD | 3.5 ± 2.4 | 4.3 ± 2.2 | 4.4 ± 2.4 | 0.375 | |||
| median [IQR] | 3 [1–6] | 5 [2–6] | 5 [2–7] | |||||
| ≤343 Beds (n = 26) | 344–520 Beds (n = 27) | ≥521 Beds (n = 25) | p (χ2-Test) | |||||
|---|---|---|---|---|---|---|---|---|
| n (exp) | Adjusted R | n (exp) | Adjusted R | n (exp) | Adjusted R | |||
| Hospital type | Private hospital | 15 (11.7) | 1.6 | 14 (12.1) | 0.9 | 6 (11.2) | −2.5 | 0.017 |
| National/public hospital | 9 (10.0) | −0.5 | 11 (10.4) | 0.3 | 10 (9.6) | 0.2 | ||
| University hospital | 2 (4.3) | −1.5 | 2 (4.5) | −1.6 | 9 (4.2) | 3.1 | ||
| Emergency medical system # | Primary emergency | 4 (1.7) | 2.3 | 0 (1.7) | −1.7 | 1 (1.6) | −0.6 | <0.001 |
| Secondary emergency | 17 (15.7) | 0.7 | 24 (16.3) | 3.8 | 6 (15.1) | −4.5 | ||
| Tertiary emergency | 4 (8.3) | −2.2 | 3 (8.7) | −2.9 | 18 (8.0) | 5.2 | ||
| No emergency designation | 1 (0.3) | 1.4 | 0 (0.3) | −0.7 | 0 (0.3) | −0.7 | ||
| Annual number of cardiovascular IR procedures conducted | <300 cases | 13 (7.0) | 3.2 | 8 (7.3) | 0.4 | 0 (6.7) | −3.7 | <0.001 |
| 300–499 cases | 5 (4.7) | 0.2 | 6 (4.8) | 0.7 | 3 (4.5) | −0.9 | ||
| 500–699 cases | 4 (3.7) | 0.2 | 5 (3.8) | 0.8 | 2 (3.5) | −1.1 | ||
| ≥700 cases | 4 (10.7) | −3.3 | 8 (11.1) | −1.5 | 20 (10.3) | 4.8 | ||
| Size of angiography room † | <50 m2 | 3 (5.3) | −1.4 | 6 (5.6) | 0.3 | 8 (6.2) | 1.1 | 0.390 |
| 50–59 m2 | 7 (4.3) | 1.8 | 4 (4.6) | −0.4 | 3 (5.1) | −1.3 | ||
| 60–69 m2 | 5 (5.3) | −0.2 | 7 (5.6) | 0.9 | 5 (6.2) | −0.7 | ||
| ≥70 m2 | 2 (2.2) | −0.1 | 1 (2.3) | −1.1 | 4 (2.5) | 1.2 | ||
| Medical equipment location ‡ | Some placed outside room | 13 (16.0) | −1.5 | 14 (16.6) | −1.3 | 21 (15.4) | 2.8 | 0.020 |
| All placed in room | 13 (10.0) | 1.5 | 13 (10.4) | 1.3 | 4 (9.6) | −2.8 | ||
| CSS | All placed in room | 22 (24.3) | −2.3 | 27 (25.3) | 1.7 | 24 (23.4) | 0.6 | 0.115 |
| Some placed in room | 1 (0.7) | 0.5 | 0 (0.7) | −1.0 | 1 (0.6) | 0.6 | ||
| No placement | 3 (1.0) | 2.5 | 0 (1.0) | −1.3 | 0 (1.0) | −1.2 | ||
| RS | All placed in room | 20 (21.0) | −0.6 | 22 (21.8) | 0.1 | 21 (20.2) | 0.5 | 0.177 |
| Some placed in room | 1 (2.7) | −1.3 | 4 (2.8) | 1.0 | 3 (2.6) | 0.3 | ||
| No placement | 5 (2.3) | 2.2 | 1 (2.4) | −1.2 | 1 (2.2) | −1.1 | ||
| Option | Number of Selecting Hospitals (%) |
|---|---|
| 1. Medical equipment location | 36 (46.2) |
| 2. Room size | 32 (41.0) |
| 3. Nurse’s opinion | 31 (39.7) |
| 4. Ease of observing the patient’s face | 21 (26.9) |
| 5. Discussions between other professions | 15 (19.2) |
| 6. Reduction in radiation exposure | 14 (17.9) |
| 7. Radiological technologist’s opinion | 13 (16.7) |
| 8. Ease of assisting physician | 12 (15.4) |
| 9. Physician’s opinion | 9 (11.5) |
| 10. Ease of entering and exiting room | 8 (10.3) |
| 11. No idea | 8 (10.3) |
Disclaimer/Publisher’s Note: The statements, opinions and data contained in all publications are solely those of the individual author(s) and contributor(s) and not of MDPI and/or the editor(s). MDPI and/or the editor(s) disclaim responsibility for any injury to people or property resulting from any ideas, methods, instructions or products referred to in the content. |
© 2025 by the authors. Licensee MDPI, Basel, Switzerland. This article is an open access article distributed under the terms and conditions of the Creative Commons Attribution (CC BY) license (https://creativecommons.org/licenses/by/4.0/).
Share and Cite
Kuriyama, T.; Moritake, T.; Hitomi, G.; Nakagami, K.; Morota, K.; Matsuzaki, S.; Sakamoto, H.; Matsumoto, K.; Kato, M.; Kitamura, H. Influence of Hospital Bed Count on the Positioning of Cardiovascular Interventional Radiology (IR) Nurses: Online Questionnaire Survey of Japanese IR-Specialized Radiological Technologists. Nurs. Rep. 2025, 15, 11. https://doi.org/10.3390/nursrep15010011
Kuriyama T, Moritake T, Hitomi G, Nakagami K, Morota K, Matsuzaki S, Sakamoto H, Matsumoto K, Kato M, Kitamura H. Influence of Hospital Bed Count on the Positioning of Cardiovascular Interventional Radiology (IR) Nurses: Online Questionnaire Survey of Japanese IR-Specialized Radiological Technologists. Nursing Reports. 2025; 15(1):11. https://doi.org/10.3390/nursrep15010011
Chicago/Turabian StyleKuriyama, Tomoko, Takashi Moritake, Go Hitomi, Koichi Nakagami, Koichi Morota, Satoru Matsuzaki, Hajime Sakamoto, Kazuma Matsumoto, Mamoru Kato, and Hiroko Kitamura. 2025. "Influence of Hospital Bed Count on the Positioning of Cardiovascular Interventional Radiology (IR) Nurses: Online Questionnaire Survey of Japanese IR-Specialized Radiological Technologists" Nursing Reports 15, no. 1: 11. https://doi.org/10.3390/nursrep15010011
APA StyleKuriyama, T., Moritake, T., Hitomi, G., Nakagami, K., Morota, K., Matsuzaki, S., Sakamoto, H., Matsumoto, K., Kato, M., & Kitamura, H. (2025). Influence of Hospital Bed Count on the Positioning of Cardiovascular Interventional Radiology (IR) Nurses: Online Questionnaire Survey of Japanese IR-Specialized Radiological Technologists. Nursing Reports, 15(1), 11. https://doi.org/10.3390/nursrep15010011

