Elicitor-Mediated Enhancement of α-Tocopherol in Cell Suspension Cultures of Nicotiana tabacum
Abstract
1. Introduction
2. Materials and Methods
2.1. Suspension Culture
2.2. Growth Assessment of Suspension Culture
2.3. Subculture
2.4. Preparation of Elicitors
2.5. Extraction of α-Tocopherol
2.6. Quantification of α-Tocopherol by HPLC
3. Results
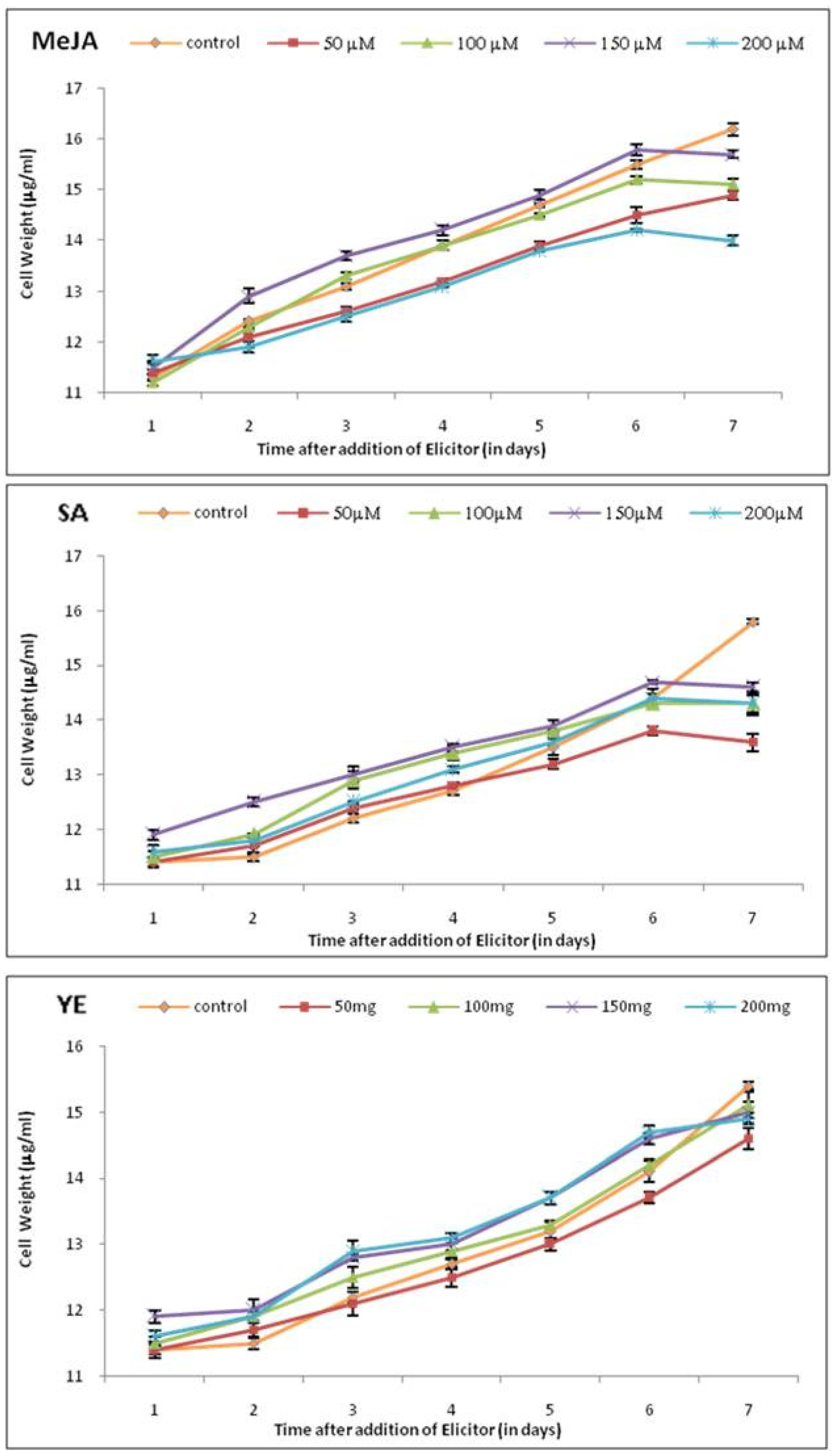
3.1. Effect of Different Elicitors on Cell Growth
3.2. Effect of Elicitors on α-Tocopherol Accumulation in Tobacco Cells
4. Discussion
Supplementary Materials
Author Contributions
Funding
Institutional Review Board Statement
Informed Consent Statement
Data Availability Statement
Acknowledgments
Conflicts of Interest
References
- Alamgir, A.N.M. Biotechnology, In Vitro Production of Natural Bioactive Compounds, Herbal Preparation, and Disease Management (Treatment and Prevention). In Therapeutic Use of Medicinal Plants and their Extracts: Volume 2—Phytochemistry and Bioactive Compounds; Springer: Berlin/Heidelberg, Germany, 2018; Volume 74, pp. 585–664. [Google Scholar] [CrossRef]
- Fais, A.; Era, B. Phytochemical Composition and Biological Activity. Plants 2024, 13, 331. [Google Scholar] [CrossRef] [PubMed]
- Shanmugaraj, B.; Bulaon, C.J.I.; Phoolcharoen, W. Plant Molecular Farming: A Viable Platform for Recombinant Biopharmaceutical Production. Plants 2020, 9, 842. [Google Scholar] [CrossRef] [PubMed]
- Rakesh, B.; Praveen, N. Elicitor and precursor-induced approaches to enhance the in vitro production of L-DOPA from cell cultures of Mucuna pruriens. Ind. Crops Prod. 2022, 188, 115735. [Google Scholar] [CrossRef]
- Qu, J.; Zhang, W.; Yu, X. A combination of elicitation and precursor feeding leads to increased anthocyanin synthesis in cell suspension cultures of Vitis vinifera. Plant Cell Tissue Organ Cult. 2011, 107, 261–269. [Google Scholar] [CrossRef]
- Baenas, N.; García-Viguera, C.; Moreno, D.A. Elicitation: A tool for enriching the bioactive composition of foods. Molecules 2014, 19, 13541–13563. [Google Scholar] [CrossRef]
- Jeyasri, R.; Muthuramalingam, P.; Karthick, K.; Shin, H.; Choi, S.H.; Ramesh, M. Methyl jasmonate and salicylic acid as powerful elicitors for enhancing the production of secondary metabolites in medicinal plants: An updated review. Plant Cell Tissue Organ Cult. 2023, 153, 447–458. [Google Scholar] [CrossRef] [PubMed]
- Mendoza, D.; Cuaspud, O.; Arias, J.P.; Ruiz, O.; Arias, M. Effect of salicylic acid and methyl jasmonate in the production of phenolic compounds in plant cell suspension cultures of Thevetia peruviana. Biotechnol. Rep. 2018, 19, e00273. [Google Scholar] [CrossRef] [PubMed]
- Vergara Martínez, V.M.; Estrada-Soto, S.E.; Arellano-García, J.J.; Rivera-Leyva, J.C.; Castillo-España, P.; Flores, A.F.; Cardoso-Taketa, A.T.; Perea-Arango, I. Methyl jasmonate and salicylic acid enhanced the production of ursolic and oleanolic acid in callus cultures of Lepechinia Caulescens. Pharmacogn. Mag. 2018, 13, S886–S889. [Google Scholar]
- Caretto, S.; Nisi, R.; Paradiso, A.; De Gara, L. Tocopherol production in plant cell cultures. Mol. Nutr. Food Res. 2010, 54, 726–730. [Google Scholar] [CrossRef]
- Harish, M.C.; Dachinamoorthy, P.; Balamurugan, S.; Bala Murugan, S.; Sathishkumar, R. Overexpression of homogentisate phytyltransferase (HPT) and tocopherol cyclase (TC) enhances α-tocopherol content in transgenic tobacco. Biol. Plant. 2013, 57, 395–400. [Google Scholar] [CrossRef]
- Sundararajan, S.; Rajendran, V.; Sivakumar, H.P.; Nayeem, S.; Mani Chandra, H.; Sharma, A.; Ramalingam, S. Enhanced vitamin E content in an Indica rice cultivar harbouring two transgenes from Arabidopsis thaliana involved in tocopherol biosynthesis pathway. Plant Biotechnol. J. 2021, 19, 1083–1085. [Google Scholar] [CrossRef] [PubMed]
- Srinivasan, A.; Sundaram, V.; Vidya Muthulakshmi, M.; Srivastava, S. Multi-fold enhancement in vitamin E (alpha-tocopherol) production via integration of bioprocess optimisation and metabolic engineering in cell suspension of sunflower. J. Plant Biochem. Biotechnol. 2022, 31, 154–167. [Google Scholar] [CrossRef]
- Srinivasan, A.; S, V.; Raman, K.; Srivastava, S. Rational metabolic engineering for enhanced alpha-tocopherol production in Helianthus annuus cell culture. Biochem. Eng. J. 2019, 151, 107256. [Google Scholar] [CrossRef]
- Harish, M.C.; Dachinamoorthy, P.; Balamurugan, S.; Bala Murugan, S.; Sathishkumar, R. Enhancement of α-tocopherol content through transgenic and cell suspension culture systems in tobacco. Acta Physiol. Plant. 2013, 35, 1121–1130. [Google Scholar] [CrossRef]
- Qin, P.; Chen, P.; Zhou, Y.; Zhang, W.; Zhang, Y.; Xu, J.; Gan, L.; Liu, Y.; Romer, J.; Dörmann, P.; et al. Vitamin E biofortification: Enhancement of seed tocopherol concentrations by altered chlorophyll metabolism. Front. Plant Sci. 2024, 15, 1344095. [Google Scholar] [CrossRef] [PubMed]
- Godoy-Hernández, G.; Vázquez-Flota, F.A. Growth Measurements. In Plant Cell Culture Protocols; Loyola-Vargas, V.M., Vázquez-Flota, F., Eds.; Humana Press: Totowa, NJ, USA, 2006; pp. 51–58. [Google Scholar] [CrossRef]
- Wiktorowska, E.; Długosz, M.; Janiszowska, W. Significant enhancement of oleanolic acid accumulation by biotic elicitors in cell suspension cultures of Calendula officinalis L. Enzym. Microb. Technol. 2010, 46, 14–20. [Google Scholar] [CrossRef]
- Lopukhina, A.; Dettenberg, M.; Weiler, E.W.; Holländer-Czytko, H. Cloning and characterization of a coronatine-regulated tyrosine aminotransferase from Arabidopsis. Plant Physiol. 2001, 126, 1678–1687. [Google Scholar] [CrossRef] [PubMed]
- Sandorf, I.; Holländer-Czytko, H. Jasmonate is involved in the induction of tyrosine aminotransferase and tocopherol biosynthesis in Arabidopsis thaliana. Planta 2002, 216, 173–179. [Google Scholar] [CrossRef]
- Munné-Bosch, S.; Weiler, E.W.; Alegre, L.; Müller, M.; Düchting, P.; Falk, J. Alpha-tocopherol may influence cellular signaling by modulating jasmonic acid levels in plants. Planta 2007, 225, 681–691. [Google Scholar] [CrossRef]
- Sudha, G.; Ravishankar, G.A. Involvement and interaction of various signaling compounds on the plant metabolic events during defense response, resistance to stress factors, formation of secondary metabolites and their molecular aspects. Plant Cell Tissue Organ Cult. 2002, 71, 181–212. [Google Scholar] [CrossRef]
- Gala, R.; Mita, G.; Caretto, S. Improving alpha-tocopherol production in plant cell cultures. J. Plant Physiol. 2005, 162, 782–784. [Google Scholar] [CrossRef] [PubMed]
- Antognoni, F.; Faudale, M.; Poli, F.; Biondi, S. Methyl jasmonate differentially affects tocopherol content and tyrosine amino transferase activity in cultured cells of Amaranthus caudatus and Chenopodium quinoa. Plant Biol. 2009, 11, 161–169. [Google Scholar] [CrossRef] [PubMed]
- Singh, G.; Gavrieli, J.; Oakey, J.S.; Curtis, W.R. Interaction of methyl jasmonate, wounding and fungal elicitation during sesquiterpene induction in Hyoscyamus muticus in root cultures. Plant Cell Rep. 1998, 17, 391–395. [Google Scholar] [CrossRef] [PubMed]
- Zhao, J.; Zhu, W.; Hu, Q. Selection of fungal elicitors to increase indole alkaloid accumulation in catharanthus roseus suspension cell culture. Enzym. Microb. Technol. 2001, 28, 666–672. [Google Scholar] [CrossRef] [PubMed]
- Zhang, C.-H.; Wu, J.-Y. Ethylene inhibitors enhance elicitor-induced paclitaxel production in suspension cultures of Taxus spp. cells. Enzym. Microb. Technol. 2003, 32, 71–77. [Google Scholar] [CrossRef]
- Chong, T.M.; Abdullah, M.A.; Lai, O.M.; Nor’Aini, F.M.; Lajis, N.H. Effective elicitation factors in Morinda elliptica cell suspension culture. Process Biochem. 2005, 40, 3397–3405. [Google Scholar] [CrossRef]
- Flores-Sanchez, I.J.; Peč, J.; Fei, J.; Choi, Y.H.; Dušek, J.; Verpoorte, R. Elicitation studies in cell suspension cultures of Cannabis sativa L. J. Biotechnol. 2009, 143, 157–168. [Google Scholar] [CrossRef]



Disclaimer/Publisher’s Note: The statements, opinions and data contained in all publications are solely those of the individual author(s) and contributor(s) and not of MDPI and/or the editor(s). MDPI and/or the editor(s) disclaim responsibility for any injury to people or property resulting from any ideas, methods, instructions or products referred to in the content. |
© 2024 by the authors. Licensee MDPI, Basel, Switzerland. This article is an open access article distributed under the terms and conditions of the Creative Commons Attribution (CC BY) license (https://creativecommons.org/licenses/by/4.0/).
Share and Cite
Harish, M.C.; Balamurugan, S.; Sathishkumar, R. Elicitor-Mediated Enhancement of α-Tocopherol in Cell Suspension Cultures of Nicotiana tabacum. Int. J. Plant Biol. 2024, 15, 534-541. https://doi.org/10.3390/ijpb15030040
Harish MC, Balamurugan S, Sathishkumar R. Elicitor-Mediated Enhancement of α-Tocopherol in Cell Suspension Cultures of Nicotiana tabacum. International Journal of Plant Biology. 2024; 15(3):534-541. https://doi.org/10.3390/ijpb15030040
Chicago/Turabian StyleHarish, Mani Chandra, Shanmugaraj Balamurugan, and Ramalingam Sathishkumar. 2024. "Elicitor-Mediated Enhancement of α-Tocopherol in Cell Suspension Cultures of Nicotiana tabacum" International Journal of Plant Biology 15, no. 3: 534-541. https://doi.org/10.3390/ijpb15030040
APA StyleHarish, M. C., Balamurugan, S., & Sathishkumar, R. (2024). Elicitor-Mediated Enhancement of α-Tocopherol in Cell Suspension Cultures of Nicotiana tabacum. International Journal of Plant Biology, 15(3), 534-541. https://doi.org/10.3390/ijpb15030040

