Abstract
The course and outcome of infection with the parasitic protozoa Leishmania major depends on the host immune response which, itself, depends mainly on the cytokine milieu, especially early in the infection. It is widely accepted that INF-γ, TNF-α, and IL-12 usually favor a protective response, while IL-4, IL-5, IL-10, and IL-13 favor a pathogenic one. These and other cytokines also play a major role in Leishmania-induced hyperalgesia via two possible pathways, one involving prostaglandins and the other sympathetic amines as final mediators, preceded by a cascade of cytokines, among which TNF-α seems to play a pivotal role via a still unclear mechanism of action. This study investigates the effects of anti-TNF-α antibody (Infliximab) on L. major-induced hyperalgesia in susceptible BALB/c mice using the hot plate and tail flicks tests, as well as the levels of many cytokines in the infected paws of mice using the ELISA technique. In addition, the parasite burden was assessed using the serial dilution method. Our results show that Infliximab can reduce the induced hyperalgesia, up-regulate TNF-α, IL-1β, and keratinocyte-derived chemokine (KC), and down-regulate IL-10 and IL-17 in the paws of infected mice. Infliximab may also have beneficial effects on the prognosis of cutaneous leishmaniasis by reducing the parasite burden.
1. Introduction
The increased pain sensation associated with most inflammatory diseases is due to the sensitization of pain receptors (nociceptors), a process known as hyperalgesia [1]). Nociceptors, which are mainly unmyelinated C-fibers and thinly myelinated Aδ fibers [2], are located at nerve cell endings and transmit pain stimuli from the site of tissue injury to the central nervous system (dorsal root ganglia, DRG neurons) [3] via a process called peripheral sensitization [4]. Prolonged peripheral sensitization might lead to central sensitization [5] involving the increased excitability of pain-processing neurons and the activation of glial cells (microglia and astrocytes) [6]. The process of hypersensitization, which involves changes in the activities of ion channels (voltage-gated and leak channels) expressed in nociceptors [7], is mainly mediated by two major pathways, both being initiated by TNF-α (mainly produced by macrophages). The first pathway involves IL-1β, IL-6, and prostaglandin E2 as the final mediator, while the second one involves IL-8 resulting in the production of sympathetic amines [8,9,10]. Furthermore, TNF-α could directly sensitize nociceptive neurons through the tumor necrosis factor receptor 1 (TNFR1) [11]. The inhibition of those pro-inflammatory cytokines can substantially reduce hypersensitivity in diverse neuropathic pain models [12,13,14].
One of the models recently used to unravel the cascade of hyperalgesia-involved mediators is infection with Leishmania major, an obligate intracellular parasitic protozoan which infects the mononuclear phagocytes of the host [15,16]. Although the associated immunological mechanisms are not completely clear yet, it is widely accepted that the course and outcome of the disease depend on the host immune response which itself depends on many factors, mainly the cytokine milieu, especially during early stages of the infection [17]. For example, in BALB/c mice, which are known to be susceptible to Leishmania infection, the early production of IL-12 is accompanied by the concomitant production of Th2 and T regulatory cells cytokines such as IL-4/IL-13, TGF-β, and IL-10 [18,19], which, in turn, inhibit the functions of IL-12 [20] and natural killer (NK) cells, which are crucial for Th1 cell activation to clear the intracellular parasite [21]. On the other hand, L. major infection in resistant hosts, such as humans, rats, and CBA mice, results in Th1 cells activation with the production of IL-2, TNF-α, and interferon-γ (IFN-γ) [22], which activate macrophages to produce nitric oxide (NO), leading to the clearance of the parasite [21].
Although neural involvement was not previously known to be associated with cutaneous leishmaniasis, ref. [23] demonstrated that a high dose of L. major can cause persistent nociceptive responses in BALB/c mice accompanied by the up-regulation of nerve growth factor (NGF) and IL-1β. Moreover, it was shown that a low dose of the same parasite can cause short-lived hyperalgesia with the up-regulation of IL-1β and IL-6 [24]. However, in studies investigating the ability of thymulin [25], IL-10 [26], and IL-13 [24] to reverse L. major-induced hyperalgesia in BALB/c mice, it was shown that the reversal of the low pain thresholds is independent of IL-6 and IL-1β [24]. Furthermore, a more recent study by [27] has shown that the administration of the prostanoid inhibitor indomethacin in L. major-infected mice did not have any effect on hyperalgesia, whereas atenolol, which inhibits sympathetic amines, reduced hyperalgesia in an IL-1β-and IL-6-independent manner [27].
Although IL-17 has been shown to be involved in mechanical hyperalgesia through the regulation of TRPV4 in the dorsal root ganglion neurons and to stimulate the production of IL-1β and TNF-α [28,29,30], its role in L. major-induced hyperalgesia has not been investigated yet. Accordingly, and since many recent findings favor a central role for TNF-α in L. major-induced hyperalgesia and parasite clearance in susceptible hosts [24,27], we investigate in the current study the effect of Infliximab, a monoclonal anti-TNF-α antibody, on L. major infection as to hyperalgesia, as well as the cytokine interplay, course, and outcome of infection in BALB/c mice.
2. Materials and Methods
2.1. Ethics Statement
All experimental procedures were carried out with ethics committee approval from the University of Balamand (IAS001/3 January 2024) and the study was conducted with strict adherence to the recommendations in the “Guide for the care and use of laboratory animals” of the National Institute of Health and to the ethical guidelines for the study of experimental pain in conscious animals [31].
2.2. Parasite Culture and Preparations
Leishmania major (MHOM/SU/73/5 ASKH) parasites (provided by the London School of Hygiene and Tropical Medicine) were subcultured on a weekly basis at 22 ± 1 °C to 25 ± 1 °C in a standard monophasic medium composed of 80% nutrient broth (peptic digest of animal tissue 5 g/L, sodium chloride 5 g/L, beef extract 1.500, and yeast extract 1.5 g/L; pH 7.2–7.6 at 25 °C) and supplemented with 20% fetal bovine serum and 1% of 100 IU/mL penicillin and 100 IU/mL streptomycin (Sigma Aldrich, Beirut, Lebanon). For a high dose of L. major, the parasite count was adjusted to 4 × 106 parasites per 50 µL nutrient broth using trypan blue and a hemocytometer. L. major was injected subcutaneously in the ventral side of BALB/c mice’s left hind paws. Two additional groups of mice (10 mice each) were infected with L. major (one of them was treated with 10 mg/kg of Infliximab) to be used for parasite burden determination in the removed paw tissues at months 2 and 3 post-infection. Three different doses of Infliximab (5 mg/kg, 10 mg/kg, and 20 mg/kg) were tested. The 10 mg/kg dose is highlighted here as it showed substantial effects on hyperalgesia and cytokine modulation.
2.3. Experimental Animals and Treatment Groups
Eight groups of mice were used in this study, with each group consisting of five mice. The groups included untreated controls, L. major-infected mice, and L. major-infected mice treated with different doses of Infliximab (5 mg/kg, 10 mg/kg, and 20 mg/kg). Table 1 provides a detailed breakdown of these groups and their treatments. Eight-week-old female BALB/c mice (20–25 g) were randomly selected and placed in a transparent plastic cage with 4–5 cm of sawdust in an animal facility at 22 ± 3 °C with 12 h:12 h light–dark cycles. Food and water were provided ad libitum.
Table 1.
Experimental groups used in pain tests.
Three different doses (5 mg/kg, 10 mg/kg, and 20 mg/kg) of Infliximab, an anti-TNF-α chimeric monoclonal antibody (IgG1) (Centocor BV, Leiden, the Netherlands), were administered intraperitoneally to the mice. The chosen concentrations were based on previous trials in BALB/c mice and rats [32]. Three doses of Infliximab were tested, with 10 mg/kg proving optimal. Detailed data are shown in Figures. Vehicle control groups were injected with phosphate-buffered saline (PBS). All treated groups (n = 5 each) received 100 µL intraperitoneal injections on days 0, 4, 7, and 10 after L. major infection.
2.4. Behavioral Measurements—Pain Tests
Pain tests were performed on eight groups of mice. Baseline values of the hot plate (HP) and tail flick (TF) tests were recorded before any infection or injection. Thereafter, the mice of each group were injected with L. major promastigotes alone or in combination with Infliximab as indicated in Table 1.
All groups were subjected to pain tests over a period of four weeks until plateaus of pain thresholds were reached. Note that behavioral measurements of groups 2, 3, and 4 (Table 1) were performed for 15 days prior to the remaining groups in order to investigate any effect of anti-TNF-α antibody on the pain thresholds of treated mice.
2.5. Hot Plate Test
The animals were placed on a hot plate analgesia meter (Harvard Apparatus, Holliston, MA, USA) set at a temperature of 50 °C ± 0.5 °C. The time required by each mouse for paw licking, jumping, or urinating was recorded. This test was repeated three times for each mouse and the average was recorded [33]. The results are reported as the mean of 5 mice ± standard error of the mean.
2.6. Tail Flick Test
The tails of the mice were immersed into a water bath (50 °C ± 0.5 °C). Time intervals between tail immersion and the first tail flicking reaction were recorded using a digital stopwatch with a 1/100 s precision. Three measurements were obtained for each animal, averaged, and recorded [33]. The results are reported as the mean of 5 mice ± standard error of the mean. Latency refers to the time in seconds until a behavioral response, such as paw licking or tail flicking, is observed.
2.7. Tissue Cytokine Measurements
Mice were divided into four groups of 25 mice each: a vehicle control group, mice treated with 10 mg/kg anti-TNF-α antibody (Infliximab), L. major-infected mice, and L. major-infected mice treated with 10 mg/kg Infliximab. Five mice per group were used for each time point as described below.
Skin from the injected left hind paw and the uninfected right hind paw was removed under deep anesthesia at days 1, 3, 6, 8, and 16 post-infection (Figure 1). These time points were selected based on prior research indicating critical phases in cytokine activity and pain threshold changes during L. major infection. This approach ensures comprehensive assessment of the effects of Infliximab over the course of the disease. The samples were divided into 2 parts, weighed, and stored at −80 °C for later use. Mice were sacrificed by chloroform overdose immediately following tissue collection. The method of sacrificing was reviewed and approved by the University of Balamand ethics committee (IAS001). All procedures adhered to international ethical guidelines for animal research.
Figure 1.
Timeline of L. major Infection, Infliximab injections, and tissue sampling for ELISA analysis; n = 5 mice in each group.
Tissue samples removed from the infected paw were individually homogenized using an IkA T10 basic ULTRA-TURREX homogenizer for one minute at 20,000 rpm in 1.5 mL of homogenization buffer consisting of 2.3376 g NaCl, 0.5 g bovine serum albumin (BSA) (Sigma), two tablets of protease inhibitors, and 50 µL Tween-20 dissolved in 100 mL PBS. Homogenized samples were then centrifuged at 13,000× g for 60 min at 4 °C; supernatants were removed and aliquoted in endotoxin-free tubes and stored at −80 °C.
The levels of cytokines (IL-4, IL-10, TNF-α, IFN-γ, IL-1β, IL-17, and KC) were assessed using two-site Enzyme-Linked Immunosorbant Assay (ELISA) kits (Peprotech, Thermo Fisher Scientific, Waltham, MA, USA). Microtiter plates (Corning, New York, NY, USA) were set up according to the manufacturer’s instructions and read at 405 nm and a correction wavelength of 650 nm using Ascent software (Epoch-Biotek, Agilent, Santa Clara, CA, USA).
2.8. Statistical Analysis
Values of pain tests are the average of three trials at each experimental time point. Values are plotted as time latency versus duration of test. For immunoassays, the measured levels of each cytokine are averaged on every tissue removal date for each experimental group. Comparisons were made at each experimental time point using Statistical Package for the Social Sciences (SPSS) one-way ANOVA v.20, followed by Bonferoni post hoc test. Results having p < 0.05, p < 0.01, and p < 0.001 were considered to exhibit statistically significant differences.
3. Results
3.1. Pain Thresholds
3.1.1. Effect of Infliximab on Pain Threshold in Uninfected Mice
Three different doses of Infliximab were injected intraperitoneally in uninfected BALB/c mice. The hot plate test (Figure 2A) showed no observable change in pain response time between treated and untreated control mice. Similarly, the tail flick test (Figure 2B) indicated no variation in pain sensitivity across all groups. These results suggest that Infliximab does not affect baseline pain thresholds in uninfected mice.
Figure 2.
The effect of Infliximab on pain thresholds in non-infected mice as assessed by the hot plate (A) and tail flick (B) tests. Mice were injected intraperitoneally with different doses of Infliximab. Hot plate and tail flick tests were performed on a daily basis. Results are displayed as mean of 5 mice ± SEM and the degree of significance was calculated with reference to the control (naive).
3.1.2. Effect of Infliximab on L. major-Induced Hyperalgesia in Mice
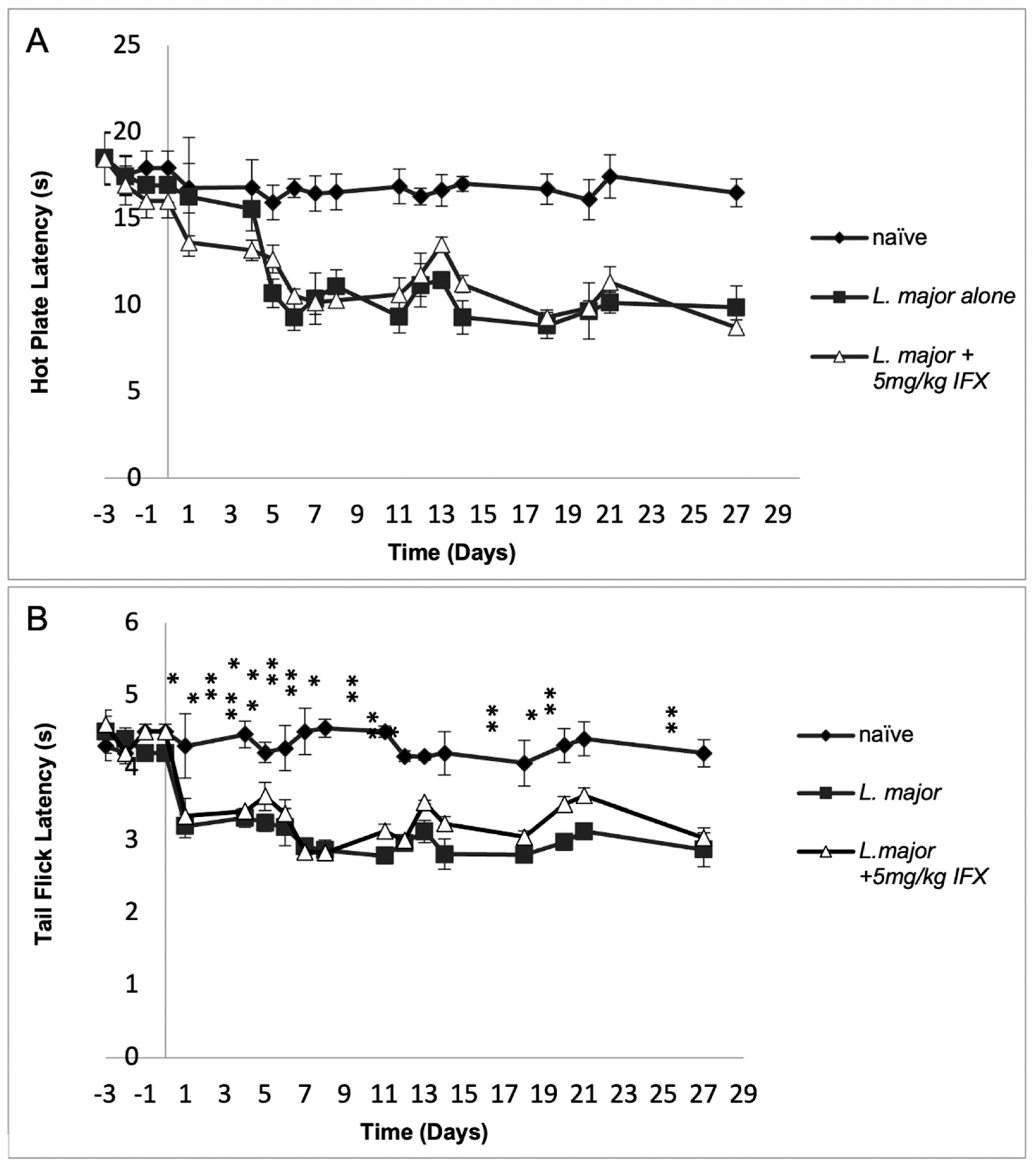
The treatment of L. major-infected mice with 5 mg/kg Infliximab did not alter hyperalgesia, as pain latencies remained unchanged from day 4 post-infection. Both treated and untreated infected mice exhibited approximately 50% lower pain thresholds compared to uninfected control mice. Comparisons were made with uninfected groups, denoted by asterisks (*), to indicate significance (Figure 3A,B).
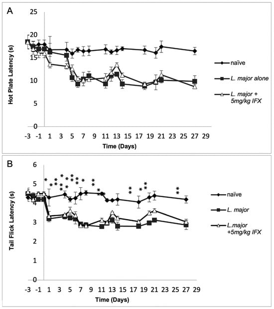
Figure 3.
The time course of the effect of Infliximab (5 mg/kg) on L. major (high dose)-induced hyperalgesia as assessed by the hot plate (A) and tail flick (B) tests. The infected mice were treated (i.p.) with Infliximab on days 0, 4, 7, and 10 post-infection. Each result is the mean of 5 mice ± SEM and the degree of significance was calculated with reference to the uninfected mice (* p < 0.05, ** p < 0.01).
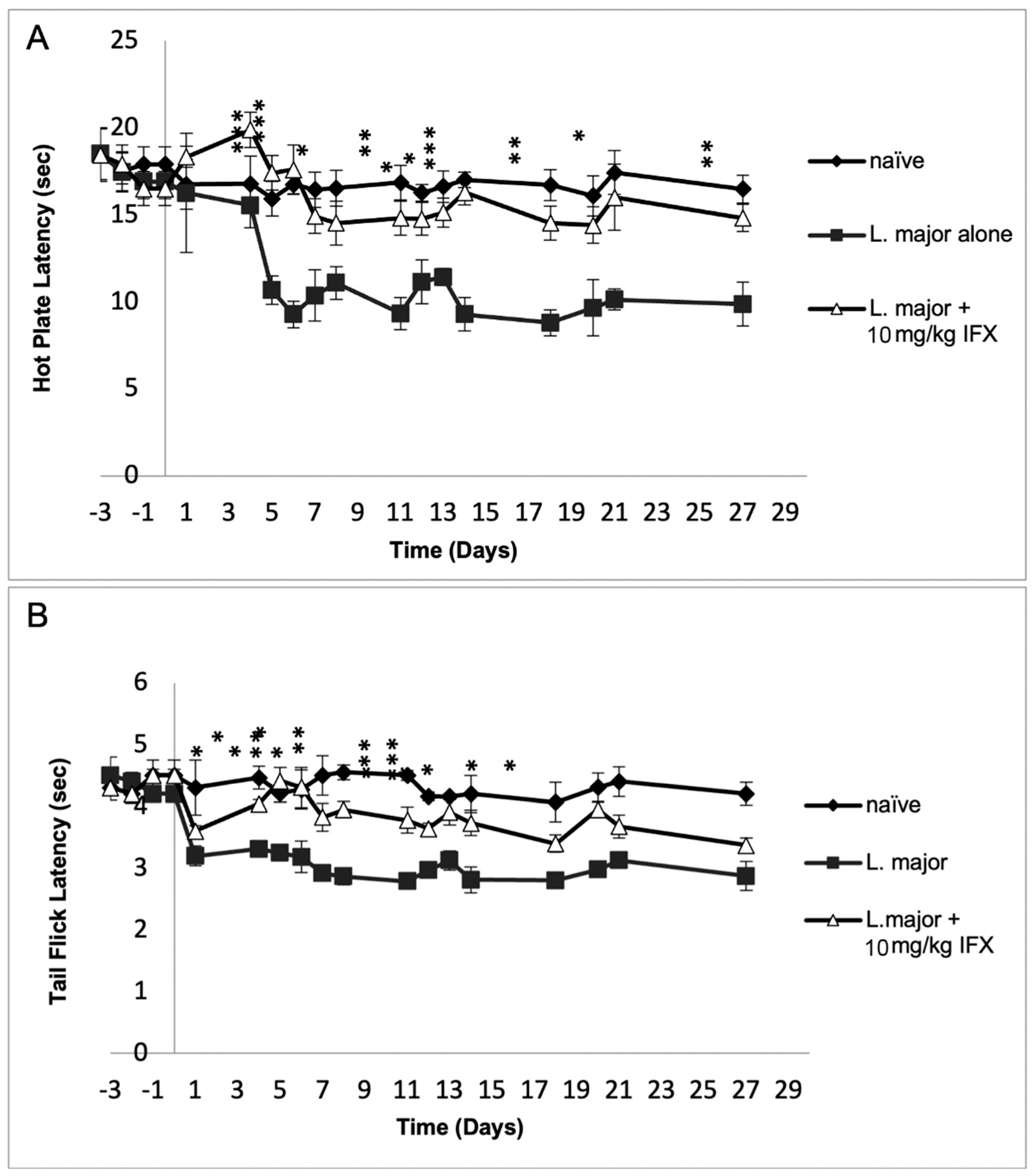
Treating L. major-infected mice with 10 mg/kg Infliximab increased pain latencies by approximately 30% compared to untreated infected mice, starting on day 5 and lasting until day 27 post-infection. Pain responses in these mice approached levels observed in uninfected control mice. Similarly, the tail flick test demonstrated a moderate, yet consistent, improvement in latency (Figure 4A,B). Comparisons with uninfected groups are shown using asterisks (*), which are aligned with the data points in Figure 4A,B to enhance clarity.
Figure 4.
The time course of the effect of Infliximab (10 mg/kg) on L. major (high dose)-induced hyperalgesia as assessed by the hot plate (A) and tail flick (B) tests. The infected mice were treated (i.p.) with Infliximab on days 0, 4, 7, and 10 post-infection. Each result is the mean of 5 mice ± SEM and the degree of significance was calculated with reference to the uninfected mice (* p < 0.05, ** p < 0.01, *** p < 0.001).
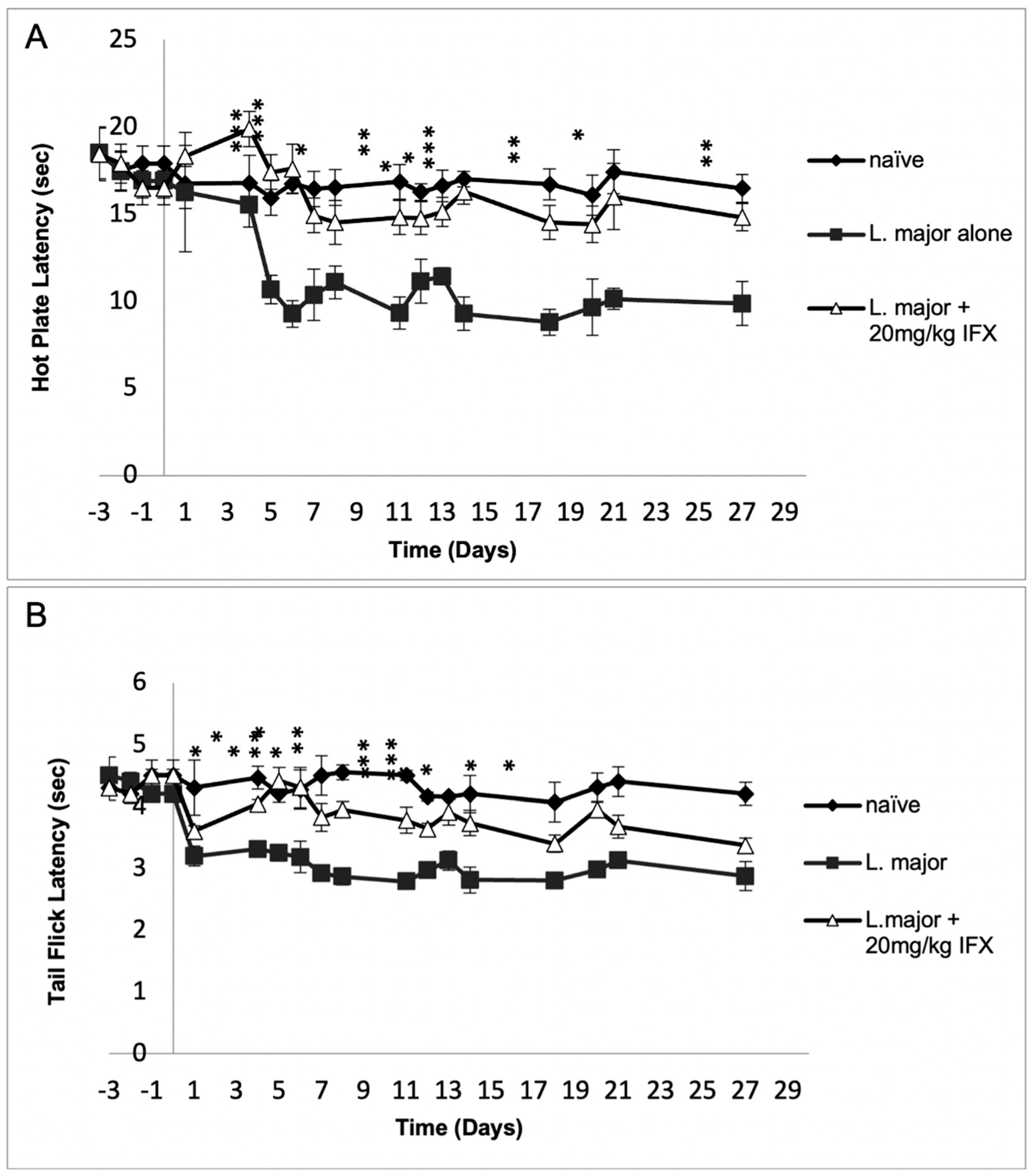
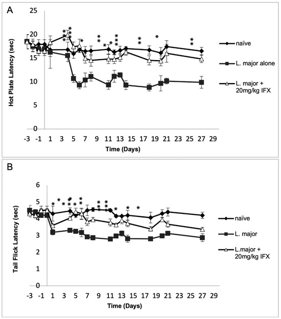
The treatment with 20 mg/kg Infliximab resulted in comparable effects to the 10 mg/kg dose, showing approximately 35% higher pain thresholds than untreated infected mice. However, pain responses in these mice remained slightly lower than those of uninfected controls during the late infection phase. Comparisons between uninfected and infected groups (*) and infected and infected + Infliximab-treated groups (#) are shown in (Figure 5A,B). Asterisks and hashes are clarified in the figure legend for consistency with the statistical approach.
Figure 5.
The time course of the effect of Infliximab (20 mg/kg) on L. major (high dose)-induced hyperalgesia as assessed by the hot plate (A) and tail flick (B) tests. The infected mice were treated (i.p.) with Infliximab on days 0, 4, 7, and 10 post-infection. Each result is the mean of 5 mice ± SEM and the degree of significance was calculated with reference to the uninfected mice (* p < 0.05, ** p < 0.01, *** p < 0.001).
3.2. Effects of Infliximab on Cytokine Levels in the Paws of L. major-Infected Mice
3.2.1. Effect of Infliximab on Cytokine Levels in Uninfected Mice
The cytokine levels in uninfected mice treated with Infliximab were similar to those of untreated control mice, indicating Infliximab does not influence cytokine profiles in the absence of infection.
3.2.2. Effect of Infliximab on TNF-α Levels
L. major infection increased TNF-α levels in the infected paw tissues by approximately 150% by day 16 post-infection compared to naïve mice. The treatment with 10 mg/kg Infliximab further elevated TNF-α levels by about 30% compared to untreated infected mice. This paradoxical increase may result from the TNF-α receptor inhibition leading to feedback up-regulation (Figure 6A).
Figure 6.
The effect of Infliximab (10 mg/kg) on TNF-α (A), IL-10 (B), IL-17 (C), IL-1β (D), IFN-γ (E), and KC (F) levels in the paws of mice infected with a high dose of L. major. Mice were injected (i.p.) with Infliximab on days 0, 4, 7, and 10 post-infection. Each result is the mean of 5 mice ± SEM and the degree of significance was calculated with reference to infected but non-Infliximab-treated mice (# p < 0.05, ## p < 0.01) and with reference to the uninfected control mice (* p < 0.05, ** p < 0.01, *** p < 0.001). Asterisks (*) denote comparisons between uninfected and infected groups, while hashes (#) indicate comparisons between infected and Infliximab-treated groups. The ## in the figure indicates a significance level of p < 0.01 in comparisons between infected and Infliximab-treated groups.
3.2.3. Effect of Infliximab on IL-10 Levels
IL-10 levels increased two-fold in L. major-infected mice compared to uninfected controls. Infliximab treatment reduced IL-10 levels by 40% on day 8 and 65% by day 16. These findings suggest that Infliximab mitigates the immunosuppressive effects of IL-10 in infected mice (Figure 6B).
3.2.4. Effect of Infliximab on IL-17 Levels
L. major infection reduced IL-17 levels by approximately 25% in infected paws. Infliximab treatment restored the IL-17 levels to baseline, consistent with uninfected control mice. This reversal may support immune responses that aid parasite clearance (Figure 6C).
3.2.5. Effect of Infliximab on IL-1β Levels
L. major infection caused a two-fold increase in IL-1β levels by day 16. Infliximab treatment reduced IL-1β expression by approximately 50% compared to untreated infected mice. This reduction correlates with the observed alleviation of hyperalgesia (Figure 6D).
3.2.6. Effect of Infliximab on IFN-γ Levels
IFN-γ levels remained unchanged in all groups until day 16 post-infection, at which point the infected mice exhibited a 50% increase compared to naïve controls. Infliximab treatment had no significant effect on IFN-γ levels (Figure 6E).
3.2.7. Effect of Infliximab on KC Levels
L. major infection reduced KC levels by approximately 80% by day 16 post-infection. Infliximab treatment restored KC levels to values comparable to uninfected controls. This restoration may enhance the recruitment of neutrophils, contributing to parasite clearance (Figure 6F).
4. Discussion
Many studies using different models have revealed a beneficial effect of blocking TNF-α in reducing hyperalgesia through the down-regulation of pro-inflammatory cytokines such as TNF-α, IL-1β, and iNOS, as well as the up-regulation of anti-inflammatory cytokines like IL-10 [34,35]. However, no study to date has examined the effect of TNF-α inhibition on L. major-induced hyperalgesia. In this study, we show that treating L. major-infected BALB/c mice with the monoclonal anti-TNF-α antibody Infliximab decreases hyperalgesia, in many cases, to levels comparable to uninfected mice. As a first step toward determining the mechanism(s) involved, we also investigate the effect of Infliximab treatment on the levels of several cytokines known to be implicated in TNFα-mediated hyperalgesia.
Consistent with previous studies, the subcutaneous injection of L. major caused persistent hyperalgesia as assessed by the hot plate and tail flick tests, indicating the induction of both peripheral and central sensitization phenomena. We show here, for the first time, that the intraperitoneal administration of 10 or 20 mg/kg of Infliximab reverses L. major-induced hyperalgesia, which is consistent with the results of several studies using different neuropathy models [13,36]. Interestingly, this effect persisted even after stopping the treatment.
In order to investigate the interplay of various mediators accompanying L. major-induced hyperalgesia and its reversal by Infliximab, we assessed the levels of some cytokines known to be involved in hyperalgesia and cutaneous leishmaniasis. Surprisingly, treating infected mice with Infliximab led to an increase in TNF-α levels in the infected paws both during and after the period of treatment. There are several potential explanations for this result: the observed up-regulation might be triggered by a negative feedback mechanism, or it is possible that TNF-α can still be detected by ELISA even though its receptor binding activity has been inhibited by Infliximab [37,38]. The persistence of this up-regulation after the cessation of treatment could be due to the increased half-life of the TNF-α–Infliximab complex compared to un-complexed TNFα [39]. Equally surprising was the fact that these increased TNFα levels were accompanied by a decrease in pain thresholds.
Interestingly, reduced pain thresholds in L. major-infected mice were observed starting the first few days of the infection, before any measured increase in TNF-α levels. This suggests that hyperalgesia can still be induced at normal physiological levels of TNFα, most likely by the up-regulation of another factor. More studies are required to determine the factor(s) responsible. One potential candidate is the Nerve Growth Factor (NGF), since it is known to be involved in thermal hyperalgesia and nociceptor sensitization, especially in the presence of TNFR2-mediated TNF-α signaling [23,40,41]. Therefore, blocking TNF-α signaling could impair NGF functions in inducing hyperalgesia.
Consistent with many previous studies [23,24,26,42], we demonstrate here that L. major infection causes a substantial up-regulation of IL-β accompanied by low pain thresholds, and that the Infliximab-induced reduction of this pro-inflammatory cytokine [43] may correlate with reversed hyperalgesia. Therefore, the role of IL-β in this type of infection-induced hyperalgesia should be revisited and taken more into consideration in future studies, especially since this cytokine is known to be involved in the sensitization of peripheral sensory neurons, particularly in the presence of NGF [44].
In contrast to some previous studies showing that IL-10 reduced hyperalgesia [24,34], our results show a positive correlation between L. major-induced hyperalgesia and IL-10 levels. Similarly, treating infected mice with Infliximab reduces IL-10 levels as well as hyperalgesia. This could be explained by the finding that defective signaling via TNF-α receptors, especially TNFR2, can lead to a down-regulation of IL-10 via the decreased activation and proliferation of T regulatory cells [45].
We found that keratinocyte-derived chemokine (KC) (the analog of human IL-8 in mice) was reduced by L. major infection and increased by treatment with Infliximab. This is in contrast to other studies showing that KC causes hyperalgesia in other model systems. However, our results are consistent with the findings of [27] using atenolol (sympathetic amine blocker) [27].
Although IL-17 has been shown to play an important role in provoking mechanical hyperalgesia in many models [28,46], no study has yet investigated its function in L. major-induced low pain thresholds. We show here, for the first time, that IL-17 is down-regulated by L. major infection and elevated back to control levels by Infliximab treatment. Thus, IL-17, like KC, is inversely correlated with L. major-induced reduction in pain thresholds. These results suggest that KC and IL-17 do not contribute directly to L. major-induced hyperalgesia, although it is possible that the down-regulation of these cytokines contributes to hyperalgesia.
Although IFN-γ is known to play a crucial role in L. major infection, it does not appear to have a notable role in L. major-induced hyperalgesia, since neither L. major infection nor treatment with Infliximab changed IFN-γ levels compared to control mice up until day 16 post-infection, while a reduction in pain thresholds is observed beginning as early as 5 days post-infection.
The ability of Infliximab to reverse L. major-induced hyperalgesia was accompanied by changes in the levels of many cytokines known to play important roles in the establishment and prognosis of cutaneous leishmaniasis [18,19]. Therefore, an important direction for future research will be to determine if these changes affect the course and outcome of the disease. Although these studies are still ongoing, preliminary results suggest that Infliximab treatment can lead to a substantial reduction in the parasite burden in the infected paws of mice. We hypothesize that, although the functions of the up-regulated TNF-α mediated by its receptors seem to be impaired by Infliximab, an in vivo mechanism might exist permitting macrophages to produce NO and control parasites in the absence of the TNFRs and high levels of IFN-γ [47]. This suggestion is supported by the unexpected finding that neither L. major infection nor Infliximab treatment induced substantial changes in the levels of IFN-γ, which is known to play a pivotal role in the parasite clearance [22].
In parallel, Infliximab was able to reduce the L. major-induced increase in the levels of IL-10 and of IL-1β, which are known to be associated with susceptibility [48,49,50], providing further evidence that IL-10 plays a major role in the pathology of cutaneous leishmaniasis and that IL-1β, in the worst-case scenario, has no role in the protective response.
This tendency of L. major to up-regulate IL-10 parallel to the down-regulation of KC and, as shown in previous models, of IL-17 [51] early in the infection was associated with an increased parasite burden 3 months post-infection. On the other hand, the ability of Infliximab to reverse the down-regulation of the latter two cytokines was associated with a reduced burden at the same date post-infection. These results contradict the findings that IL-17 can be induced by IL-1β and can contribute to the pathology of cutaneous leishmaniasis [52,53] and provide further evidence that increased IL-1β and reduced IL-17 are associated with impaired microbial clearance as shown in other models involving Pseudomonas aeruginosa infection [54]. In addition, the known ability of IL-17 and KC to recruit neutrophils [55,56], which were shown be the first line of defense against L. major [57], might help to explain the increased parasite clearance when the L. major-induced down-regulation of those two cytokines were reversed by Infliximab.
Taken together, our data show that the anti-TNF-α antibody Infliximab is able to reduce L. major-induced hyperalgesia as well as increased levels of IL-1β, giving further evidence about the direct and important role of this proinflammatory cytokine in the induction and sustenance of the observed low pain thresholds. Of major importance, we show here, for the first time, that the up-regulation of TNF-α might not be an absolute requirement for the induction of hyperalgesia in the L. major model. One possible scenario is that L. major infection can lead to the up-regulation of NGF, which, in the presence of physiological levels of TNF-α, can induce hyperalgesia via the up-regulation of many factors such as AKt (protein kinase B), and NF-kB [41]. Infliximab might impair this process by blocking the binding of TNF-α to its receptors. On the other hand, our results demonstrate that IFN-γ and, more importantly, IL-10 do not contribute to this type of inflammatory hyperalgesia, nor to its reversal by Infliximab, and that the down-regulation of IL-17 and KC might be associated with L. major-induced low pain thresholds.
5. Conclusions
This study demonstrates that blocking TNF-α with Infliximab significantly reduces L. major-induced hyperalgesia and modulates cytokine profiles in BALB/c mice. The findings suggest a potential therapeutic benefit of TNF-α inhibition in managing pain and enhancing parasite clearance in cutaneous leishmaniasis. Future research will explore the underlying mechanisms and broader applications of this approach in infectious and inflammatory diseases.
Author Contributions
Conceptualization, M.T.Z. and M.K.; methodology, S.S., R.H. and M.T.Z.; validation, R.R., Z.F., J.-M.S. and M.K.; investigation, M.T.Z., Z.F., J.-M.S. and M.K.; writing—original draft preparation, S.S. and R.H.; writing—review and editing, M.T.Z., Z.F., J.-M.S. and M.K.; visualization, R.R.; supervision, M.T.Z. and M.K.; project administration, M.K. All authors have read and agreed to the published version of the manuscript.
Funding
This research received no external funding.
Institutional Review Board Statement
All applicable international, national, and/or institutional guidelines for the care and use of animals were followed. All experimental procedures were carried out with ethics committee approval from the University of Balamand (IAS001/3 January 2024) and the study was conducted with strict adherence to the recommendations in the “Guide for the care and use of laboratory animals” of the National Institute of Health and to the ethical guidelines for the study of experimental pain in conscious animals [31]. We confirm that this research was conducted in compliance with ethical guidelines and regulations, and that all necessary approvals and informed consent were obtained. We believe that the results reported in this paper are objective, unbiased, and of scientific and practical significance.
Informed Consent Statement
Not applicable.
Data Availability Statement
The raw data supporting the conclusions of this article will be made available by the authors on request.
Conflicts of Interest
The authors declare no conflicts of interest.
References
- Cervero, F. Spinal Cord Hyperexcitability and Its Role in Pain and Hyperalgesia. Exp. Brain Res. 2009, 196, 129–137. [Google Scholar] [CrossRef] [PubMed]
- Dubin, A.E.; Patapoutian, A. Nociceptors: The Sensors of the Pain Pathway. J. Clin. Investig. 2010, 120, 3760–3772. [Google Scholar] [CrossRef] [PubMed]
- Purves, D. Neuroscience, 3rd ed.; Purves, D., Augustine, G.J., Fitzpatrick, D., All, W.C.H., Lamantia, A.-S., Mcnamara, J.O., Williams, S.M.A., Eds.; Sinauer Associates, Inc.: Sunderland, MA, USA, 2004. [Google Scholar]
- Woolf, C.J.; Ma, Q. Nociceptors—Noxious Stimulus Detectors. Neuron 2007, 55, 353–364. [Google Scholar] [CrossRef]
- Haroutounian, S.; Nikolajsen, L.; Bendtsen, T.F.; Finnerup, N.B.; Kristensen, A.D.; Hasselstrøm, J.B.; Jensen, T.S. Primary Afferent Input Critical for Maintaining Spontaneous Pain in Peripheral Neuropathy. Pain 2014, 155, 1272–1279. [Google Scholar] [CrossRef] [PubMed]
- Verma, V.; Sheikh, Z.; Ahmed, A.S. Nociception and Role of Immune System in Pain. Acta Neurol. Belg. 2015, 115, 213–220. [Google Scholar] [CrossRef] [PubMed]
- Waxman, S.G.; Zamponi, G.W. Regulating Excitability of Peripheral Afferents: Emerging Ion Channel Targets. Nat. Neurosci. 2014, 17, 153–163. [Google Scholar] [CrossRef]
- Cunha, T.M.; Verri, W.A.; Silva, J.S.; Poole, S.; Cunha, F.Q.; Ferreira, S.H. A Cascade of Cytokines Mediates Mechanical Inflammatory Hypernociception in Mice. Proc. Natl. Acad. Sci. USA 2005, 102, 1755–1760. [Google Scholar] [CrossRef] [PubMed]
- Guerrero, A.T.G.; Verri, W.A.; Cunha, T.M.; Silva, T.A.; Rocha, F.A.C.; Ferreira, S.H.; Cunha, F.Q.; Parada, C.A. Hypernociception Elicited by Tibio-Tarsal Joint Flexion in Mice: A Novel Experimental Arthritis Model for Pharmacological Screening. Pharmacol. Biochem. Behav. 2006, 84, 244–251. [Google Scholar] [CrossRef]
- Verri, W.A.; Cunha, T.M.; Parada, C.A.; Poole, S.; Cunha, F.Q.; Ferreira, S.H. Hypernociceptive Role of Cytokines and Chemokines: Targets for Analgesic Drug Development? Pharmacol. Ther. 2006, 112, 116–138. [Google Scholar] [CrossRef]
- Yamacita-Borin, F.Y.; Zarpelon, A.C.; Pinho-Ribeiro, F.A.; Fattori, V.; Alves-Filho, J.C.; Cunha, F.Q.; Cunha, T.M.; Casagrande, R.; Verri, W.A. Superoxide Anion-Induced Pain and Inflammation Depends on TNFα/TNFR1 Signaling in Mice. Neurosci. Lett. 2015, 605, 53–58. [Google Scholar] [CrossRef]
- Chen, B.L.; Li, Y.Q.; Xie, D.H.; He, Q.L.; Yang, X.X. Blocking TNF-α with Infliximab Alleviates Ovariectomy Induced Mechanical and Thermal Hyperalgesia in Rats. Neurol. Sci. 2012, 33, 527–533. [Google Scholar] [CrossRef]
- Kim, S.H.; Son, C.N.; Lee, H.J.; Cho, H.C.; Jung, S.W.; Hur, J.A.; Baek, W.K.; Jung, H.R.; Hong, J.H. Infliximab Partially Alleviates the Bite Force Reduction in a Mouse Model of Temporomandibular Joint Pain. J. Korean Med. Sci. 2015, 30, 552–558. [Google Scholar] [CrossRef]
- Wolf, S.L.; Winstein, C.J.; Miller, J.P.; Taub, E.; Uswatte, G.; Morris, D.; Giuliani, C.; Light, K.E.; Nichols-Larsen, D. Effect of Constraint-Induced Movement Therapy on Upper Extremity Function 3 to 9 Months after Stroke: The EXCITE Randomized Clinical Trial. JAMA 2006, 296, 2095–2104. [Google Scholar] [CrossRef]
- Alexander, J.; Satoskar, A.R.; Russell, D.G. Leishmania Species: Models of Intracellular Parasitism. J. Cell Sci. 1999, 112 Pt 18, 2993–3002. [Google Scholar] [CrossRef] [PubMed]
- Wyler, D.J. In Vitro Parasite-Monocyte Interactions in Human Leishmaniasis. Evidence for an Active Role of the Parasite in Attachment. J. Clin. Investig. 1982, 70, 82–88. [Google Scholar] [CrossRef] [PubMed]
- Atri, C.; Guerfali, F.Z.; Laouini, D. Role of Human Macrophage Polarization in Inflammation during Infectious Diseases. Int. J. Mol. Sci. 2018, 19, 1801. [Google Scholar] [CrossRef] [PubMed]
- Noben-Trauth, N.; Lira, R.; Nagase, H.; Paul, W.E.; Sacks, D.L. The Relative Contribution of IL-4 Receptor Signaling and IL-10 to Susceptibility to Leishmania Major. J. Immunol. 2003, 170, 5152–5158. [Google Scholar] [CrossRef]
- Tomiotto-Pellissier, F.; da Bortoleti, B.T.S.; Assolini, J.P.; Gonçalves, M.D.; Carloto, A.C.M.; Miranda-Sapla, M.M.; Conchon-Costa, I.; Bordignon, J.; Pavanelli, W.R. Macrophage Polarization in Leishmaniasis: Broadening Horizons. Front. Immunol. 2018, 9, 2529. [Google Scholar] [CrossRef] [PubMed]
- Solbach, W.; Laskay, T. The Host Response to Leishmania Infection. Adv. Immunol. 2000, 74, 275–317. [Google Scholar] [CrossRef] [PubMed]
- Awasthi, A.; Mathur, K.R.; Saha, B. Immune Response to Leishmania Infection. Indian J. Med. Res. 2004, 6, 238–258. [Google Scholar]
- Stout, D.R.; Bottomly, K. Antigen-Specific Activation of Effector Macrophages by IFN-Gamma Producing (TH1) T Cell Clones. Failure of IL-4-Producing (TH2) T Cell Clones to Activate Effector Function in Macrophages. J. Immunol. 1989, 3, 760–765. [Google Scholar] [CrossRef]
- Kanaan, S.A.; Saadé, N.E.; Karam, M.; Khansa, H.; Jabbur, S.J.; Jurjus, A.R. Hyperalgesia and Upregulation of Cytokines and Nerve Growth Factor by Cutaneous Leishmaniasis in Mice. Pain 2000, 85, 477–482. [Google Scholar] [CrossRef]
- Karam, M.C.; Hamdan, H.G.; Abi Chedid, N.A.; Bodman-Smith, K.B.; Eales-Reynolds, L.J.E.; Baroody, G.M. Leishmania Major: Low Infection Dose Causes Short-Lived Hyperalgesia and Cytokines Upregulation in Mice. Exp. Parasitol. 2006, 113, 168–173. [Google Scholar] [CrossRef] [PubMed]
- Kanaan, S.A.; Safieh-Garabedian, B.; Karam, M.; Khansa, H.; Jabbur, S.J.; Jurjus, A.R.; Saade, N.E. Thymulin Reduces the Hyperalgesia and Cytokine Upregulation Induced by Cutaneous Leishmaniasis in Mice. Brain Behav. Immun. 2002, 16, 450–460. [Google Scholar] [CrossRef][Green Version]
- Karam, M.C.; Hamdan, H.G.; Abi Chedid, N.A.; Bodman-Smith, K.B.; Baroody, G.M. Interleukin-10 Reduces Hyperalgesia and the Level of Interleukin-1beta in BALB/c Mice Infected with Leishmania Major with No Major Effect on the Level of Interleukin-6. J. Neuroimmunol. 2007, 183, 43–49. [Google Scholar] [CrossRef] [PubMed]
- Karam, M.C.; Merckbawi, R.; Salman, S.; Mobasheri, A. Atenolol Reduces Leishmania Major-Induced Hyperalgesia and TNF-α Without Affecting IL-1β or Keratinocyte Derived Chemokines (KC). Front. Pharmacol. 2016, 7, 22. [Google Scholar] [CrossRef]
- Moynes, D.M.; Vanner, S.J.; Lomax, A.E. Participation of Interleukin 17A in Neuroimmune Interactions. Brain Behav. Immun. 2014, 41, 1–9. [Google Scholar] [CrossRef] [PubMed]
- Meng, X.; Zhang, Y.; Lao, L.; Saito, R.; Li, A.; Bäckman, C.M.; Berman, B.M.; Ren, K.; Wei, P.K.; Zhang, R.X. Spinal Interleukin-17 Promotes Thermal Hyperalgesia and NMDA NR1 Phosphorylation in an Inflammatory Pain Rat Model. Pain 2013, 154, 294–305. [Google Scholar] [CrossRef]
- Ebbinghaus, M.; Natura, G.; Segond Von Banchet, G.; Hensellek, S.; Böttcher, M.; Hoffmann, B.; Salah, F.S.; Gajda, M.; Kamradt, T.; Schaible, H.G. Interleukin-17A Is Involved in Mechanical Hyperalgesia but Not in the Severity of Murine Antigen-Induced Arthritis. Sci. Rep. 2017, 7, 10334. [Google Scholar] [CrossRef] [PubMed]
- Zimmermann, M. Ethical Guidelines for Investigations of Experimental Pain in Conscious Animals. Pain 1983, 16, 109–110. [Google Scholar] [CrossRef]
- Salako, M.A.; Kulbe, H.; Ingemarsdotter, C.K.; Pirlo, K.J.; Williams, S.L.; Lockley, M.; Balkwill, F.R.; McNeish, I.A. Inhibition of the Inflammatory Cytokine TNF-α Increases Adenovirus Activity in Ovarian Cancer via Modulation of CIAP1/2 Expression. Mol. Ther. 2011, 19, 490–499. [Google Scholar] [CrossRef] [PubMed]
- Kanaan, S.A.; Saadé, N.E.; Haddad, J.J.; Abdelnoor, A.M.; Atweh, S.F.; Jabbur, S.J.; Safieh-Garabedian, B. Endotoxin-Induced Local Inflammation and Hyperalgesia in Rats and Mice: A New Model for Inflammatory Pain. Pain 1996, 66, 373–379. [Google Scholar] [CrossRef] [PubMed]
- Dinic, M.; Pecikoza, U.; Djokic, J.; Stepanovic-Petrovic, R.; Milenkovic, M.; Stevanovic, M.; Filipovic, N.; Begovic, J.; Golic, N.; Lukic, J. Exopolysaccharide Produced by Probiotic Strain Lactobacillus Paraplantarum BGCG11 Reduces Inflammatory Hyperalgesia in Rats. Front. Pharmacol. 2018, 9, 1. [Google Scholar] [CrossRef] [PubMed]
- Liang, S.; Dai, J.; Hou, S.; Su, L.; Zhang, D.; Guo, H.; Hu, S.; Wang, H.; Rao, Z.; Guo, Y.; et al. Structural Basis for Treating Tumor Necrosis Factor α (TNFα)-Associated Diseases with the Therapeutic Antibody Infliximab. J. Biol. Chem. 2013, 288, 13799–13807. [Google Scholar] [CrossRef] [PubMed]
- Sommer, C.; Schmidt, C.; George, A. Hyperalgesia in Experimental Neuropathy Is Dependent on the TNF Receptor 1. Exp. Neurol. 1998, 151, 138–142. [Google Scholar] [CrossRef]
- Charles, P.; Elliott, M.J.; Davis, D.; Potter, A.; Kalden, J.R.; Antoni, C.; Breedveld, F.C.; Smolen, J.S.; Eberl, G.; de Woody, K.; et al. Regulation of Cytokines, Cytokine Inhibitors, and Acute-Phase Proteins Following Anti-TNF-α Therapy in Rheumatoid Arthritis. J. Immunol. 1999, 163, 1521–1528. [Google Scholar] [CrossRef]
- Schulz, M.; Dotzlaw, H.; Neeck, G. Ankylosing Spondylitis and Rheumatoid Arthritis: Serum Levels of TNF-α and Its Soluble Receptors during the Course of Therapy with Etanercept and Infliximab. Biomed. Res. Int. 2014, 2014, 675108. [Google Scholar] [CrossRef]
- Nowlan, M.L.; Drewe, E.; Bulsara, H.; Esposito, N.; Robins, R.A.; Tighe, P.J.; Powell, R.J.; Todd, I. Systemic Cytokine Levels and the Effects of Etanercept in TNF Receptor-Associated Periodic Syndrome (TRAPS) Involving a C33Y Mutation in TNFRSF1A. Rheumatology 2006, 45, 31–37. [Google Scholar] [CrossRef] [PubMed]
- Koltzenburg, M.; Bennett, D.L.; Shelton, D.L.; McMahon, S.B. Neutralization of Endogenous NGF Prevents the Sensitization of Nociceptors Supplying Inflamed Skin. Eur. J. Neurosci. 1999, 11, 1698–1704. [Google Scholar] [CrossRef] [PubMed]
- Takei, Y.; Laskey, R. Tumor Necrosis Factor Alpha Regulates Responses to Nerve Growth Factor, Promoting Neural Cell Survival but Suppressing Differentiation of Neuroblastoma Cells. Mol. Biol. Cell 2008, 19, 855–864. [Google Scholar] [CrossRef] [PubMed]
- da Silva, S.S.; Mizokami, S.S.; Fanti, J.R.; Costa, I.N.; Bordignon, J.; Felipe, I.; Pavanelli, W.R.; Verri, W.A.; Conchon Costa, I. Glucantime Reduces Mechanical Hyperalgesia in Cutaneous Leishmaniasis and Complete Freund’s Adjuvant Models of Chronic Inflammatory Pain. J. Pharm. Pharmacol. 2018, 70, 768–777. [Google Scholar] [CrossRef] [PubMed]
- Ozer, E.K.; Goktas, M.T.; Kilinc, I.; Toker, A.; Bariskaner, H.; Ugurluoglu, C.; Iskit, A.B. Infliximab Alleviates the Mortality, Mesenteric Hypoperfusion, Aortic Dysfunction, and Multiple Organ Damage in Septic Rats. Can. J. Physiol. Pharmacol. 2017, 95, 866–872. [Google Scholar] [CrossRef]
- Barker, J.S.; Wu, Z.; Hunter, D.D.; Dey, R.D. Ozone Exposure Initiates a Sequential Signaling Cascade in Airways Involving Interleukin-1beta Release, Nerve Growth Factor Secretion, and Substance P Upregulation. J. Toxicol. Environ. Health A 2015, 78, 397–407. [Google Scholar] [CrossRef] [PubMed][Green Version]
- Ahmad, S.; Azid, N.A.; Boer, J.C.; Lim, J.; Chen, X.; Plebanski, M.; Mohamud, R. The Key Role of TNF-TNFR2 Interactions in the Modulation of Allergic Inflammation: A Review. Front. Immunol. 2018, 9, 2572. [Google Scholar] [CrossRef] [PubMed]
- Schaible, H.G. Nociceptive Neurons Detect Cytokines in Arthritis. Arthritis Res. Ther. 2014, 16, 470. [Google Scholar] [CrossRef] [PubMed]
- Nashleanas, M.; Scott, P. Activated T Cells Induce Macrophages to Produce NO and Control Leishmania Major in the Absence of Tumor Necrosis Factor Receptor P55. Infect. Immun. 2000, 68, 1428–1434. [Google Scholar] [CrossRef] [PubMed]
- Charmoy, M.; Hurrell, B.P.; Romano, A.; Lee, S.H.; Ribeiro-Gomes, F.; Riteau, N.; Mayer-Barber, K.; Tacchini-Cottier, F.; Sacks, D.L. The Nlrp3 Inflammasome, IL-1β, and Neutrophil Recruitment Are Required for Susceptibility to a Nonhealing Strain of Leishmania Major in C57BL/6 Mice. Eur. J. Immunol. 2016, 46, 897–911. [Google Scholar] [CrossRef] [PubMed]
- Matos, I.; Mizenina, O.; Lubkin, A.; Steinman, R.M.; Idoyaga, J. Targeting Leishmania Major Antigens to Dendritic Cells In Vivo Induces Protective Immunity. PLoS ONE 2013, 8, e67453. [Google Scholar] [CrossRef][Green Version]
- Voronov, E.; Dotan, S.; Gayvoronsky, L.; White, R.M.; Cohen, I.; Krelin, Y.; Benchetrit, F.; Elkabets, M.; Huszar, M.; El-On, J.; et al. IL-1-Induced Inflammation Promotes Development of Leishmaniasis in Susceptible BALB/c Mice. Int. Immunol. 2010, 22, 245–257. [Google Scholar] [CrossRef] [PubMed]
- Gonzalez-Lombana, C.; Gimblet, C.; Bacellar, O.; Oliveira, W.W.; Passos, S.; Carvalho, L.P.; Goldschmidt, M.; Carvalho, E.M.; Scott, P. IL-17 Mediates Immunopathology in the Absence of IL-10 Following Leishmania Major Infection. PLoS Pathog. 2013, 9, e1003243. [Google Scholar] [CrossRef] [PubMed]
- Acosta-Rodriguez, E.V.; Napolitani, G.; Lanzavecchia, A.; Sallusto, F. Interleukins 1beta and 6 but Not Transforming Growth Factor-Beta Are Essential for the Differentiation of Interleukin 17-Producing Human T Helper Cells. Nat. Immunol. 2007, 8, 942–949. [Google Scholar] [CrossRef] [PubMed]
- Lopez Kostka, S.; Dinges, S.; Griewank, K.; Iwakura, Y.; Udey, M.C.; von Stebut, E. IL-17 Promotes Progression of Cutaneous Leishmaniasis in Susceptible Mice. J. Immunol. 2009, 182, 3039–3046. [Google Scholar] [CrossRef] [PubMed]
- Anantharajah, A.; Faure, E.; Buyck, J.M.; Sundin, C.; Lindmark, T.; Mecsas, J.; Yahr, T.L.; Tulkens, P.M.; Mingeot-Leclercq, M.P.; Guery, B.; et al. Inhibition of the Injectisome and Flagellar Type III Secretion Systems by INP1855 Impairs Pseudomonas Aeruginosa Pathogenicity and Inflammasome Activation. J. Infect. Dis. 2016, 214, 1105–1116. [Google Scholar] [CrossRef] [PubMed]
- Isailovic, N.; Daigo, K.; Mantovani, A.; Selmi, C. Interleukin-17 and Innate Immunity in Infections and Chronic Inflammation. J. Autoimmun. 2015, 60, 1–11. [Google Scholar] [CrossRef]
- Jungnickel, C.; Schmidt, L.H.; Bittigkoffer, L.; Wolf, L.; Wolf, A.; Ritzmann, F.; Kamyschnikow, A.; Herr, C.; Menger, M.D.; Spieker, T.; et al. IL-17C Mediates the Recruitment of Tumor-Associated Neutrophils and Lung Tumor Growth. Oncogene 2017, 36, 4182–4190. [Google Scholar] [CrossRef]
- Oualha, R.; Barhoumi, M.; Marzouki, S.; Harigua-Souiai, E.; Ahmed, M.B.; Guizani, I. Infection of Human Neutrophils with Leishmania Infantum or Leishmania Major Strains Triggers Activation and Differential Cytokines Release. Front. Cell. Infect. Microbiol. 2019, 9, 153. [Google Scholar] [CrossRef] [PubMed]
Disclaimer/Publisher’s Note: The statements, opinions and data contained in all publications are solely those of the individual author(s) and contributor(s) and not of MDPI and/or the editor(s). MDPI and/or the editor(s) disclaim responsibility for any injury to people or property resulting from any ideas, methods, instructions or products referred to in the content. |
© 2024 by the authors. Licensee MDPI, Basel, Switzerland. This article is an open access article distributed under the terms and conditions of the Creative Commons Attribution (CC BY) license (https://creativecommons.org/licenses/by/4.0/).





