Longitudinal Rise in Seroprevalence of SARS-CoV-2 Infections in Children in Western Germany—A Blind Spot in Epidemiology?
Abstract
:1. Introduction
2. Materials and Methods
2.1. Sources of Additional Data
2.2. Mathematical Methods
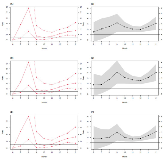
3. Results
3.1. Descriptive Analysis
3.2. Quantitative Analysis
4. Discussion
5. Conclusions
Author Contributions
Funding
Institutional Review Board Statement
Informed Consent Statement
Data Availability Statement
Acknowledgments
Conflicts of Interest
References
- Wu, Z.; McGoogan, J.M. Characteristics of and Important Lessons from the Coronavirus Disease 2019 (COVID-19) Outbreak in China: Summary of a Report of 72314 Cases from the Chinese Center for Disease Control and Prevention. JAMA 2020, 323, 1239–1242. [Google Scholar] [CrossRef] [PubMed]
- Gudbjartsson, D.F.; Helgason, A.; Jonsson, H.; Magnusson, O.T.; Melsted, P.; Norddahl, G.L.; Saemundsdottir, J.; Sigurdsson, A.; Sulem, P.; Agustsdottir, A.B.; et al. Spread of SARS-CoV-2 in the Icelandic Population. N. Engl. J. Med. 2020, 382, 2302–2315. [Google Scholar] [CrossRef] [PubMed]
- Dong, Y.; Mo, X.; Hu, Y.; Qi, X.; Jiang, F.; Jiang, Z.; Tong, S. Epidemiology of COVID-19 among Children in China. Pediatrics 2020, 145, e20200702. [Google Scholar] [CrossRef] [PubMed] [Green Version]
- Ladhani, S.N.; Baawuah, F.; Beckmann, J.; Okike, I.O.; Ahmad, S.; Garstang, J.; Brent, A.J.; Brent, B.; Walker, J.; Andrews, N.; et al. SARS-CoV-2 infection and transmission in primary schools in England in June-December, 2020 (sKIDs): An active, prospective surveillance study. Lancet Child Adolesc. Health 2021, 5, 417–427. [Google Scholar] [CrossRef]
- Ulyte, A.; Radtke, T.; Abela, I.A.; Haile, S.R.; Berger, C.; Huber, M.; Schanz, M.; Schwarzmueller, M.; Trkola, A.; Fehr, J.; et al. Clustering and longitudinal change in SARS-CoV-2 seroprevalence in school children in the canton of Zurich, Switzerland: Prospective cohort study of 55 schools. BMJ 2021, 372, n616. [Google Scholar] [CrossRef] [PubMed]
- Breyer, M.K.; Breyer-Kohansal, R.; Hartl, S.; Kundi, M.; Weseslindtner, L.; Stiasny, K.; Puchhammer-Stöckl, E.; Schrott, A.; Födinger, M.; Binder, M.; et al. Low SARS-CoV-2 seroprevalence in the Austrian capital after an early governmental lockdown. Sci. Rep. 2021, 11, 10158. [Google Scholar] [CrossRef] [PubMed]
- Robert Koch Institut. 7-Tage-Inzidenzen nach Bundesländern und Kreisen (fixierte Werte) sowie Gesamtübersicht der pro Tag ans RKI übermittelten Fälle und Todesfälle. 2021. Available online: https://www.rki.de/DE/Content/InfAZ/N/Neuartiges_Coronavirus/Daten/Fallzahlen_Kum_Tab.html (accessed on 19 October 2021).
- R Core Team. R: A Language and Environment for Statistical Computing; R Foundation for Statistical Computing: Vienna, Austria, 2021; Available online: https://www.R-project.org/ (accessed on 1 October 2021).
- Ritz, C.; Baty, F.; Streibig, J.C.; Gerhard, D. Dose-Response Analysis Using R. PLoS ONE 2015, 10, e0146021. [Google Scholar] [CrossRef] [PubMed] [Green Version]
- Tönshoff, B.; Müller, B.; Elling, R.; Renk, H.; Meissner, P.; Hengel, H.; Garbade, S.F.; Kieser, M.; Jeltsch, K.; Grulich-Henn, J.; et al. Prevalence of SARS-CoV-2 Infection in Children and Their Parents in Southwest Germany. JAMA Pediatr. 2021, 175, 586–593. [Google Scholar] [CrossRef]
- Gomaa, M.R.; El Rifay, A.S.; Shehata, M.; Kandeil, A.; Nabil Kamel, M.; Marouf, M.A.; GabAllah, M.; El Taweel, A.; Kayed, A.E.; Kutkat, O.; et al. Incidence, household transmission, and neutralizing antibody seroprevalence of Coronavirus Disease 2019 in Egypt: Results of a community-based cohort. PLoS Pathog. 2021, 17, e1009413. [Google Scholar] [CrossRef] [PubMed]
- Hippich, M.; Sifft, P.; Zapardiel-Gonzalo, J.; Böhmer, M.M.; Lampasona, V.; Bonifacio, E.; Ziegler, A.-G. A public health antibody screening indicates a marked increase of SARS-CoV-2 exposure rate in children during the second wave. Med 2021, 2, 571–572. [Google Scholar] [CrossRef] [PubMed]
- Rytter, M.J.H.; Nygaard, U.; Mandic, I.N.; Glenthøj, J.P.; Schmidt, L.S.; Cortes, D.; Smith, B.; Zaharov, T.; Søndergaard, M.J.; Lawaetz, M.C.; et al. Prevalence of SARS-CoV-2-Antibodies in Danish Children and Adults. Pediatr. Infect Dis. J. 2021, 40, e157–e159. [Google Scholar] [CrossRef] [PubMed]
- Pflüger, L.S.; Bannasch, J.H.; Brehm, T.T.; Pfefferle, S.; Hoffmann, A.; Nörz, D.; van der Meirschen, M.; Kluge, S.; Haddad, M.; Pischke, S.; et al. Clinical evaluation of five different automated SARS-CoV-2 serology assays in a cohort of hospitalized COVID-19 patients. J. Clin. Virol. 2020, 130, 104549. [Google Scholar] [CrossRef] [PubMed]




| 0 | 1 | |
|---|---|---|
| n = 2090 | n = 55 | |
| Sex: | ||
| Female | 1006 (48.2%) | 26 (47.3%) |
| Male | 1083 (51.8%) | 29 (52.7%) |
| Age group: | ||
| [0, 6) | 1193 (57.4%) | 34 (61.8%) |
| [6, 10) | 303 (14.6%) | 7 (12.7%) |
| [10, 19) | 583 (28.0%) | 14 (25.5%) |
| County: | ||
| Bochum | 749 (35.8%) | 14 (25.5%) |
| Gütersloh | 819 (39.2%) | 17 (30.9%) |
| Herne | 522 (25.0%) | 24 (43.6%) |
Publisher’s Note: MDPI stays neutral with regard to jurisdictional claims in published maps and institutional affiliations. |
© 2021 by the authors. Licensee MDPI, Basel, Switzerland. This article is an open access article distributed under the terms and conditions of the Creative Commons Attribution (CC BY) license (https://creativecommons.org/licenses/by/4.0/).
Share and Cite
Brinkmann, F.; Diebner, H.H.; Matenar, C.; Schlegtendal, A.; Spiecker, J.; Eitner, L.; Timmesfeld, N.; Maier, C.; Lücke, T. Longitudinal Rise in Seroprevalence of SARS-CoV-2 Infections in Children in Western Germany—A Blind Spot in Epidemiology? Infect. Dis. Rep. 2021, 13, 957-964. https://doi.org/10.3390/idr13040088
Brinkmann F, Diebner HH, Matenar C, Schlegtendal A, Spiecker J, Eitner L, Timmesfeld N, Maier C, Lücke T. Longitudinal Rise in Seroprevalence of SARS-CoV-2 Infections in Children in Western Germany—A Blind Spot in Epidemiology? Infectious Disease Reports. 2021; 13(4):957-964. https://doi.org/10.3390/idr13040088
Chicago/Turabian StyleBrinkmann, Folke, Hans H. Diebner, Chantal Matenar, Anne Schlegtendal, Jan Spiecker, Lynn Eitner, Nina Timmesfeld, Christoph Maier, and Thomas Lücke. 2021. "Longitudinal Rise in Seroprevalence of SARS-CoV-2 Infections in Children in Western Germany—A Blind Spot in Epidemiology?" Infectious Disease Reports 13, no. 4: 957-964. https://doi.org/10.3390/idr13040088
APA StyleBrinkmann, F., Diebner, H. H., Matenar, C., Schlegtendal, A., Spiecker, J., Eitner, L., Timmesfeld, N., Maier, C., & Lücke, T. (2021). Longitudinal Rise in Seroprevalence of SARS-CoV-2 Infections in Children in Western Germany—A Blind Spot in Epidemiology? Infectious Disease Reports, 13(4), 957-964. https://doi.org/10.3390/idr13040088

