Absence of “Cytokine Storm” in Hospitalized COVID-19 Patients: A Retrospective Cohort Study
Abstract
1. Introduction
2. Methods
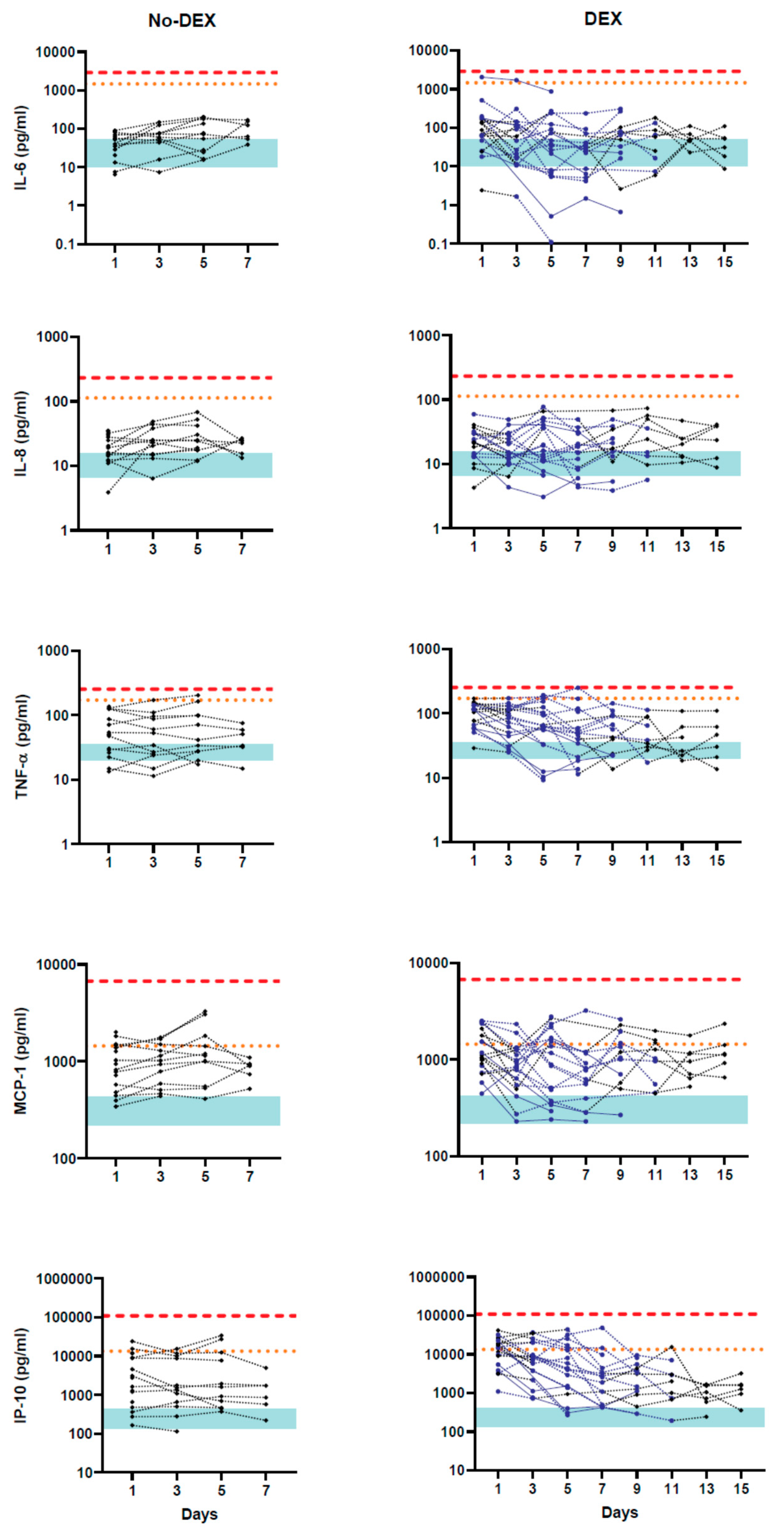
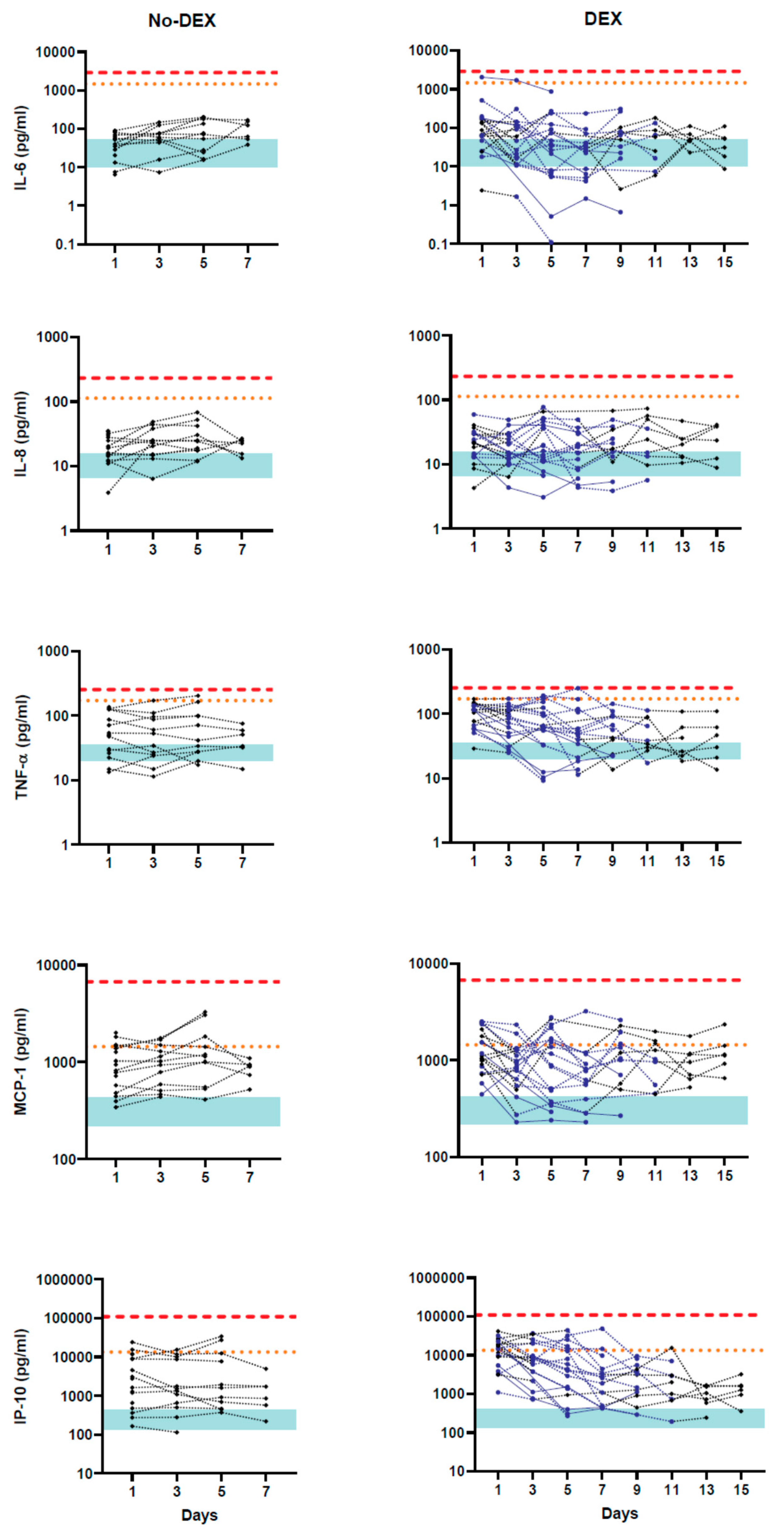
3. Results
4. Discussion
Supplementary Materials
Author Contributions
Funding
Institutional Review Board Statement
Informed Consent Statement
Data Availability Statement
Acknowledgments
Conflicts of Interest
References
- Lamontagne, F.; Agoritsas, T.; Macdonald, H.; Leo, Y.S.; Diaz, J.; Agarwal, A.; Appiah, J.A.; Arabi, Y.; Blumberg, L.; Calfee, C.S.; et al. A living WHO guideline on drugs for covid-19. BMJ 2020, 370, m3379. [Google Scholar] [CrossRef]
- Rochwerg, B.; Agarwal, A.; Zeng, L.; Leo, Y.S.; Appiah, J.A.; Agoritsas, T.; Bartoszko, J.; Brignardello-Petersen, R.; Ergan, B.; Ge, L.; et al. Remdesivir for severe covid-19: A clinical practice guideline. BMJ 2020, 370, m2924. [Google Scholar] [CrossRef]
- FDA Approves First Treatment for COVID-19. Available online: https://www.fda.gov/news-events/press-announcements/fda-approves-first-treatment-covid-19 (accessed on 5 January 2021).
- Connors, J.M.; Levy, J.H. COVID-19 and its implications for thrombosis and anticoagulation. Blood 2020, 135, 2033–2040. [Google Scholar] [CrossRef] [PubMed]
- Huang, C.; Wang, Y.; Li, X.; Ren, L.; Zhao, J.; Hu, Y.; Zhang, L.; Fan, G.; Xu, J.; Gu, X.; et al. Clinical features of patients infected with 2019 novel coronavirus in Wuhan, China. Lancet 2020, 395, 497–506. [Google Scholar] [CrossRef]
- Li, S.; Jiang, L.; Li, X.; Lin, F.; Wang, Y.; Li, B.; Jiang, T.; An, W.; Liu, S.; Liu, H.; et al. Clinical and pathological investigation of patients with severe COVID-19. JCI Insight 2020, 5. [Google Scholar] [CrossRef]
- Yang, Y.; Shen, C.; Li, J.; Yuan, J.; Wei, J.; Huang, F.; Wang, F.; Li, G.; Li, Y.; Xing, L.; et al. Plasma IP-10 and MCP-3 levels are highly associated with disease severity and predict the progression of COVID-19. J. Allergy Clin. Immunol. 2020, 146, 119–127.e114. [Google Scholar] [CrossRef]
- Buszko, M.; Park, J.H.; Verthelyi, D.; Sen, R.; Young, H.A.; Rosenberg, A.S. The dynamic changes in cytokine responses in COVID-19: A snapshot of the current state of knowledge. Nat. Immunol. 2020, 21, 1146–1151. [Google Scholar] [CrossRef]
- Mehta, P.; McAuley, D.F.; Brown, M.; Sanchez, E.; Tattersall, R.S.; Manson, J.J. Hlh across speciality collaboration, U.K. COVID-19: Consider cytokine storm syndromes and immunosuppression. Lancet 2020, 395, 1033–1034. [Google Scholar] [CrossRef]
- Moore, J.B.; June, C.H. Cytokine release syndrome in severe COVID-19. Science 2020, 368, 473–474. [Google Scholar] [CrossRef]
- Sinha, P.; Matthay, M.A.; Calfee, C.S. Is a “Cytokine Storm” relevant to COVID-19? JAMA Intern. Med. 2020, 180, 1152–1154. [Google Scholar] [CrossRef] [PubMed]
- Kox, M.; Waalders, N.J.B.; Kooistra, E.J.; Gerretsen, J.; Pickkers, P. Cytokine Levels in Critically Ill Patients With COVID-19 and Other Conditions. JAMA 2020, 324, 1565–1567. [Google Scholar] [CrossRef]
- Mangalmurti, N.; Hunter, C.A. Cytokine storms: Understanding COVID-19. Immunity 2020, 53, 19–25. [Google Scholar] [CrossRef] [PubMed]
- Teachey, D.T.; Rheingold, S.R.; Maude, S.L.; Zugmaier, G.; Barrett, D.M.; Seif, A.E.; Nichols, K.E.; Suppa, E.K.; Kalos, M.; Berg, R.A.; et al. Cytokine release syndrome after blinatumomab treatment related to abnormal macrophage activation and ameliorated with cytokine-directed therapy. Blood 2013, 121, 5154–5157. [Google Scholar] [CrossRef] [PubMed]
- Mahallawi, W.H.; Khabour, O.F.; Zhang, Q.; Makhdoum, H.M.; Suliman, B.A. MERS-CoV infection in humans is associated with a pro-inflammatory Th1 and Th17 cytokine profile. Cytokine 2018, 104, 8–13. [Google Scholar] [CrossRef]
- Wong, C.K.; Lam, C.W.; Wu, A.K.; Ip, W.K.; Lee, N.L.; Chan, I.H.; Lit, L.C.; Hui, D.S.; Chan, M.H.; Chung, S.S.; et al. Plasma inflammatory cytokines and chemokines in severe acute respiratory syndrome. Clin. Exp. Immunol. 2004, 136, 95–103. [Google Scholar] [CrossRef] [PubMed]
- Colafrancesco, S.; Alessandri, C.; Conti, F.; Priori, R. COVID-19 gone bad: A new character in the spectrum of the hyperferritinemic syndrome? Autoimmun. Rev. 2020, 19, 102573. [Google Scholar] [CrossRef] [PubMed]
- De la Rica, R.; Borges, M.; Gonzalez-Freire, M. COVID-19: In the eye of the cytokine storm. Front. Immunol. 2020, 11, 558898. [Google Scholar] [CrossRef]
- Haigh, K.; Syrimi, Z.J.; Irvine, S.; Blanchard, T.J.; Pervaiz, M.S.; Toth, A.G.; Ratcliffe, L. Hyperinflammation with COVID-19: The key to patient deterioration? Clin. Infect. Pract. 2020, 100033. [Google Scholar] [CrossRef]
- Iskander, K.N.; Osuchowski, M.F.; Stearns-Kurosawa, D.J.; Kurosawa, S.; Stepien, D.; Valentine, C.; Remick, D.G. Sepsis: Multiple abnormalities, heterogeneous responses, and evolving understanding. Physiol. Rev. 2013, 93, 1247–1288. [Google Scholar] [CrossRef] [PubMed]
- Shimabukuro-Vornhagen, A.; Godel, P.; Subklewe, M.; Stemmler, H.J.; Schlosser, H.A.; Schlaak, M.; Kochanek, M.; Boll, B.; von Bergwelt-Baildon, M.S. Cytokine release syndrome. J. Immunother. Cancer 2018, 6, 56. [Google Scholar] [CrossRef]
- Grupp, S.A.; Kalos, M.; Barrett, D.; Aplenc, R.; Porter, D.L.; Rheingold, S.R.; Teachey, D.T.; Chew, A.; Hauck, B.; Wright, J.F.; et al. Chimeric antigen receptor-modified T cells for acute lymphoid leukemia. N. Engl. J. Med. 2013, 368, 1509–1518. [Google Scholar] [CrossRef] [PubMed]
- Rose-John, S. IL-6 trans-signaling via the soluble IL-6 receptor: Importance for the pro-inflammatory activities of IL-6. Int. J. Biol. Sci. 2012, 8, 1237–1247. [Google Scholar] [CrossRef]
- Rilinger, J.; Kern, W.V.; Duerschmied, D.; Supady, A.; Bode, C.; Staudacher, D.L.; Wengenmayer, T. A prospective, randomised, double blind placebo-controlled trial to evaluate the efficacy and safety of tocilizumab in patients with severe COVID-19 pneumonia (TOC-COVID): A structured summary of a study protocol for a randomised controlled trial. Trials 2020, 21, 470. [Google Scholar] [CrossRef]
- Furlow, B. COVACTA trial raises questions about tocilizumab’s benefit in COVID-19. Lancet Rheumatol. 2020, 2, e592. [Google Scholar] [CrossRef]
- Stone, J.H.; Frigault, M.J.; Serling-Boyd, N.J.; Fernandes, A.D.; Harvey, L.; Foulkes, A.S.; Horick, N.K.; Healy, B.C.; Shah, R.; Bensaci, A.M.; et al. Efficacy of Tocilizumab in Patients Hospitalized with Covid-19. N. Engl. J. Med. 2020. [Google Scholar] [CrossRef] [PubMed]
- Hoiland, R.L.; Stukas, S.; Cooper, J.; Thiara, S.; Chen, L.Y.C.; Biggs, C.M.; Hay, K.; Lee, A.Y.Y.; Shojania, K.; Abdulla, A.; et al. Amelioration of COVID-19-related cytokine storm syndrome: Parallels to chimeric antigen receptor-T cell cytokine release syndrome. Br. J. Haematol. 2020, 190, e150–e154. [Google Scholar] [CrossRef]
- Stukas, S.; Hoiland, R.L.; Cooper, J.; Thiara, S.; Griesdale, D.E.; Thomas, A.D.; Orde, M.M.; English, J.C.; Chen, L.Y.C.; Foster, D.; et al. The Association of Inflammatory Cytokines in the Pulmonary Pathophysiology of Respiratory Failure in Critically Ill Patients With Coronavirus Disease 2019. Crit. Care Explor. 2020, 2, e0203. [Google Scholar] [CrossRef]
- Group, R.C.; Horby, P.; Lim, W.S.; Emberson, J.R.; Mafham, M.; Bell, J.L.; Linsell, L.; Staplin, N.; Brightling, C.; Ustianowski, A.; et al. Dexamethasone in Hospitalized Patients with Covid-19—Preliminary Report. N. Engl. J. Med. 2020. [Google Scholar] [CrossRef]
- Wu, J.; Huang, J.; Zhu, G.; Liu, Y.; Xiao, H.; Zhou, Q.; Si, X.; Yi, H.; Wang, C.; Yang, D.; et al. Systemic Corticosteroids and Mortality in Severe and Critical COVID-19 Patients in Wuhan, China. J. Clin. Endocrinol. Metab. 2020, 105. [Google Scholar] [CrossRef]
- Chu, H.; Chan, J.F.; Wang, Y.; Yuen, T.T.; Chai, Y.; Hou, Y.; Shuai, H.; Yang, D.; Hu, B.; Huang, X.; et al. Comparative Replication and Immune Activation Profiles of SARS-CoV-2 and SARS-CoV in Human Lungs: An Ex Vivo Study With Implications for the Pathogenesis of COVID-19. Clin. Infect. Dis. 2020, 71, 1400–1409. [Google Scholar] [CrossRef] [PubMed]
- Zhou, W.; Liu, Y.; Tian, D.; Wang, C.; Wang, S.; Cheng, J.; Hu, M.; Fang, M.; Gao, Y. Potential benefits of precise corticosteroids therapy for severe 2019-nCoV pneumonia. Signal Transduct. Target. Ther. 2020, 5, 18. [Google Scholar] [CrossRef] [PubMed]





| Parameter | No -DEX | DEX | p Value | 
|---|---|---|---|
| Sex, N (%) | |||
| Male | 12 (71) | 14 (74) | >0.99 | 
| Female | 5 (29) | 5 (26) | |
| Age, mean (SD) | 62.1 (21.6) | 71.8 (10.8) | 0.091 | 
| BMI, mean (SD) | 29.1 (7.3) | 33.4 (6.9) | 0.083 | 
| Comorbidities, N (%) | |||
| Diabetes | 9 (53) | 10 (53) | >0.99 | 
| Hypertension | 9 (53) | 18 (95) | 0.006 | 
| Obesity | 6 (38) | 13 (68) | 0.095 | 
| Coinfections, N (%) | |||
| Bacterial pneumonia | 2 (12) | 6 (32) | 0.236 | 
| Fungal pneumonia | 0 (0) | 1 (5) | >0.99 | 
| Bacteremia | 2 (12) | 6 (32) | 0.236 | 
| Urinary tract infection | 2 (12) | 2 (11) | >0.99 | 
| Intubation, N (%) | 4 (24) | 11 (58) | 0.049 | 
| ARDS, N (%) | 6 (35.3) | 14 (73.7) | 0.043 | 
| Death, N (%) | 2 (12) | 10 (53) | 0.014 | 
| Cytokine | Influenza (CS) | Burn | No-DEX | DEX | Control | 
|---|---|---|---|---|---|
| IL-6 | 5076 (2899, 8888) | 3697 (1462, 9348) | 52 a,b (13, 87) | 63 a,b (33, 119) | 24 (12, 48) | 
| IL-8 | 557 (233, 1333) | 199 (113, 349) | 22 a,b (17, 27) | 20 a,b (15, 26) | 10 (7, 15) | 
| TNF-α | 414 (254, 672) | 228 (171, 305) | 52 a,b,c (35, 77) | 68 a,b,c (52, 88) | 26 (21, 34) | 
| MCP-1 | 9732 (6728, 14,078) | 2094 (1437, 3052) | 971 a,c (745, 1265) | 976 a,c (763, 1249) | 306 (226, 416) | 
| IP-10 | 124,434 (109 K, 140 K) | 17,866 (13 K, 23 K) | 2239 a,b,c (1014, 4947) | 5885 a,c (3803, 9109) | 238 (145, 389) | 
| Publisher’s Note: MDPI stays neutral with regard to jurisdictional claims in published maps and institutional affiliations. | 
© 2021 by the authors. Licensee MDPI, Basel, Switzerland. This article is an open access article distributed under the terms and conditions of the Creative Commons Attribution (CC BY) license (https://creativecommons.org/licenses/by/4.0/).
Share and Cite
Ciampa, M.L.; O’Hara, T.A.; Joel, C.L.; Gleaton, M.M.; Tiwari, K.K.; Boudreaux, D.M.; Prasad, B.M. Absence of “Cytokine Storm” in Hospitalized COVID-19 Patients: A Retrospective Cohort Study. Infect. Dis. Rep. 2021, 13, 377-387. https://doi.org/10.3390/idr13020036
Ciampa ML, O’Hara TA, Joel CL, Gleaton MM, Tiwari KK, Boudreaux DM, Prasad BM. Absence of “Cytokine Storm” in Hospitalized COVID-19 Patients: A Retrospective Cohort Study. Infectious Disease Reports. 2021; 13(2):377-387. https://doi.org/10.3390/idr13020036
Chicago/Turabian StyleCiampa, Maeghan L., Thomas A. O’Hara, Constance L. Joel, Melinda M. Gleaton, Kirti K. Tiwari, Daniel M. Boudreaux, and Balakrishna M. Prasad. 2021. "Absence of “Cytokine Storm” in Hospitalized COVID-19 Patients: A Retrospective Cohort Study" Infectious Disease Reports 13, no. 2: 377-387. https://doi.org/10.3390/idr13020036
APA StyleCiampa, M. L., O’Hara, T. A., Joel, C. L., Gleaton, M. M., Tiwari, K. K., Boudreaux, D. M., & Prasad, B. M. (2021). Absence of “Cytokine Storm” in Hospitalized COVID-19 Patients: A Retrospective Cohort Study. Infectious Disease Reports, 13(2), 377-387. https://doi.org/10.3390/idr13020036
 
         
                                                

 
       