Duodenal Adenocarcinoma: The Relationship between Type of Surgery and Site of Recurrence in a Spanish Cohort
Abstract
1. Introduction
2. Materials and Methods
2.1. Preoperative Assessment
2.2. Definitions
2.3. Variables
2.4. Statistical Analysis
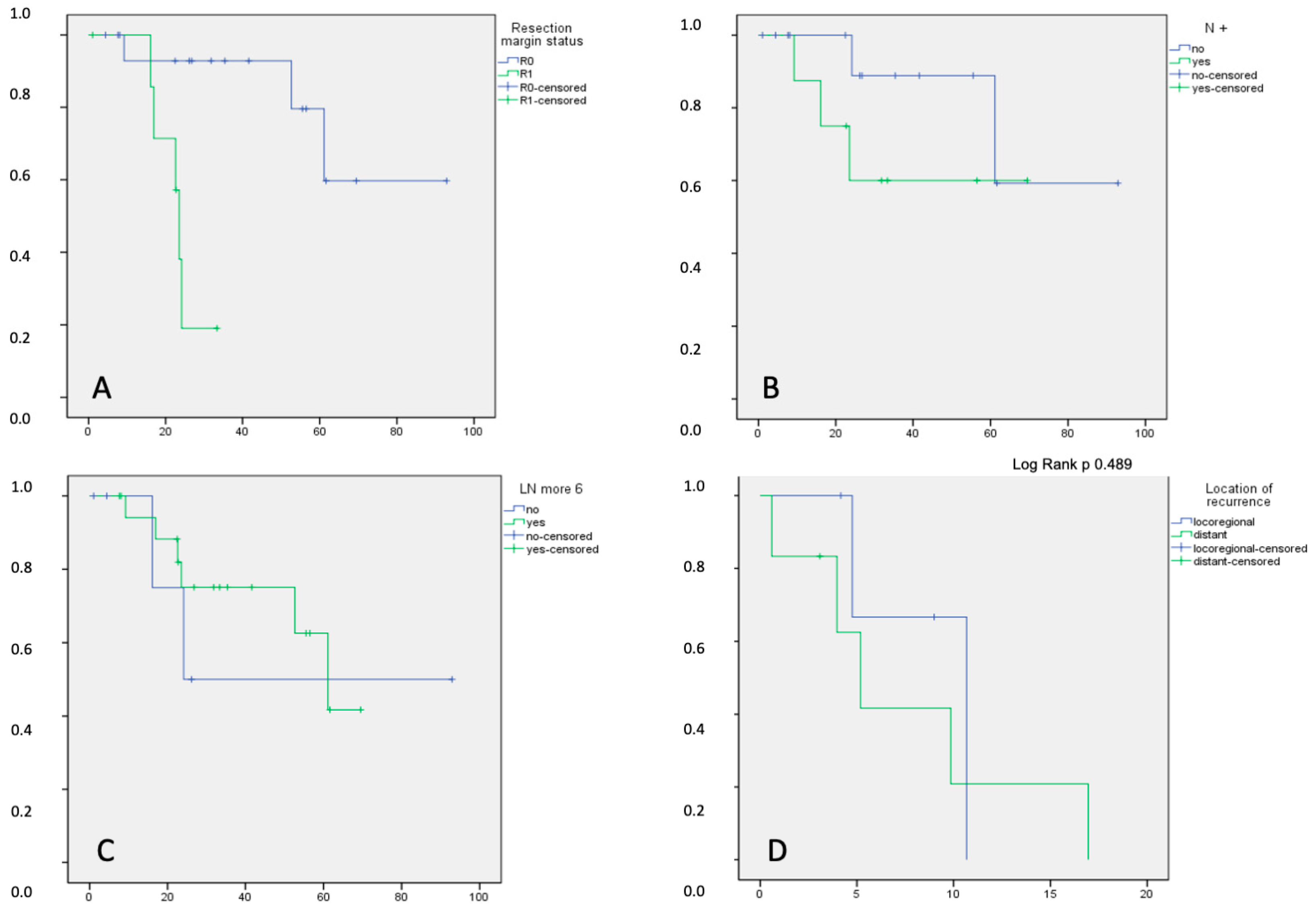
3. Results
4. Discussion
5. Conclusions
Author Contributions
Funding
Institutional Review Board Statement
Informed Consent Statement
Data Availability Statement
Conflicts of Interest
References
- Pourmand, K.; Itzkowitz, S.H. Small Bowel Neoplasms and Polyps. Curr. Gastroenterol. Rep. 2016, 18, 23. [Google Scholar] [CrossRef] [PubMed]
- Lee, T.C.; Wima, K.; Morris, M.C.; Winer, L.K.; Sussman, J.J.; Ahmad, S.A.; Wilson, G.C.; Patel, S.H. Small Bowel Adenocarcinomas: Impact of Location on Survival. J. Surg. Res. 2020, 252, 116–124. [Google Scholar] [CrossRef] [PubMed]
- López-Domínguez, J.; Busquets, J.; Secanella, L.; Peláez, N.; Serrano, T.; Fabregat, J. Duodenal adenocarcinoma: Surgical results of 27 patients treated at a single center. Cir. Esp. 2019, 97, 523–530. [Google Scholar] [CrossRef] [PubMed]
- Schottenfeld, D.; Beebe-Dimmer, J.L.; Vigneau, F.D. The epidemiology and pathogenesis of neoplasia in the small intestine. Ann. Epidemiol. 2009, 19, 58–69. [Google Scholar] [CrossRef] [PubMed]
- Qubaiah, O.; Devesa, S.S.; Platz, C.E.; Huycke, M.M.; Dores, G.M. Small intestinal cancer: A population-based study of incidence and survival patterns in the United States, 1992 to 2006. Cancer Epidemiol. Biomark. Prev. 2010, 19, 1908–1918. [Google Scholar] [CrossRef] [PubMed]
- Lu, Y.; Fröbom, R.; Lagergren, J. Incidence patterns of small bowel cancer in a population-based study in Sweden: Increase in duodenal adenocarcinoma. Cancer Epidemiol. 2012, 36, e158–e163. [Google Scholar] [CrossRef] [PubMed]
- Bojesen, R.D.; Andersson, M.; Riis, L.B.; Nielsen, O.H.; Jess, T. Incidence of, phenotypes of and survival from small bowel cancer in Denmark, 1994–2010: A population-based study. J. Gastroenterol. 2016, 51, 891–899. [Google Scholar] [CrossRef] [PubMed]
- Legué, L.M.; Bernards, N.; Gerritse, S.L.; van Oudheusden, T.R.; de Hingh, I.H.J.T.; Creemers, G.-J.M.; Ten Tije, A.J.; Lemmens, V.E.P.P. Trends in incidence, treatment and survival of small bowel adenocarcinomas between 1999 and 2013: A population-based study in The Netherlands. Acta Oncol. 2016, 55, 1183–1189. [Google Scholar] [CrossRef] [PubMed]
- Nakagawa, K.; Sho, M.; Fujishiro, M.; Kakushima, N.; Horimatsu, T.; Okada, K.-I.; Iguchi, M.; Uraoka, T.; Kato, M.; Yamamoto, Y.; et al. Clinical practice guidelines for duodenal cancer 2021. J. Gastroenterol. 2022, 57, 927–941. [Google Scholar] [CrossRef] [PubMed]
- Onkendi, E.O.; Boostrom, S.Y.; Sarr, M.G.; Farnell, M.B.; Nagorney, D.M.; Donohue, J.H.; Kendrick, M.L.; Lombardo, K.M.R.; Haddock, M.G.; Que, F.G. Neoadjuvant Treatment of Duodenal Adenocarcinoma: A Rescue Strategy. J. Gastrointest. Surg. 2012, 16, 320–324. [Google Scholar] [CrossRef]
- Hirashita, T.; Ohta, M.; Tada, K.; Saga, K.; Takayama, H.; Endo, Y.; Uchida, H.; Iwashita, Y.; Inomata, M. Prognostic factors of non-Ampullary duodenal adenocarcinoma. Jpn. J. Clin. Oncol. 2018, 48, 743–747. [Google Scholar] [CrossRef] [PubMed]
- Whipple, A.O.; Parsons, W.B.; Mullins, C.R. Treatment of carcinoma of the ampulla of Vater. Ann. Surg. 1935, 102, 763–779. [Google Scholar] [CrossRef] [PubMed]
- Blanco-Fernández, G.; Rojas-Holguín, A.; De-Armas-Conde, N.; Gallarín-Salamanca, I.; López-Guerra, D.; Jaén-Torrejimeno, I. Side-to-side duodenojejunostomy after resection of third and fourth duodenal portions with pancreatic preservation. Updates Surg. 2020, 72, 1105–1113. [Google Scholar] [CrossRef] [PubMed]
- Campbell, F.; Cairns, A.; Duthie, F.; Feakins, R. Dataset for the Histopathological Reporting of Carcinomas of the Pancreas, Ampulla of Vater and Common Bile Duct; The Royal College of Pathologists: London, UK, 2017. [Google Scholar]
- TNM 7th Edition. Available online: https://www.facs.org/media/j30havyf/ajcc_7thed_cancer_staging_manual.pdf (accessed on 1 January 2023).
- Dindo, D.; Demartines, N.; Clavien, P.-A. Classification of surgical complications: A new proposal with evaluation in a cohort of 6336 patients and results of a survey. Ann. Surg. 2004, 240, 205–213. [Google Scholar] [CrossRef] [PubMed]
- Wente, M.N.; Bassi, C.; Dervenis, C.; Fingerhut, A.; Gouma, D.J.; Izbicki, J.R.; Neoptolemos, J.P.; Padbury, R.T.; Sarr, M.G.; Traverso, L.W.; et al. Delayed gastric emptying (DGE) after pancreatic surgery: A suggested definition by the International Study Group of Pancreatic Surgery (ISGPS). Surgery 2007, 142, 761–768. [Google Scholar] [CrossRef] [PubMed]
- Wente, M.N.; Veit, J.A.; Bassi, C.; Dervenis, C.; Fingerhut, A.; Gouma, D.J.; Izbicki, J.R.; Neoptolemos, J.P.; Padbury, R.T.; Sarr, M.G.; et al. Postpancreatectomy hemorrhage (PPH): An International Study Group of Pancreatic Surgery (ISGPS) definition. Surgery 2007, 142, 20–25. [Google Scholar] [CrossRef] [PubMed]
- Koch, M.; Garden, O.J.; Padbury, R.; Rahbari, N.N.; Adam, R.; Capussotti, L.; Fan, S.T.; Yokoyama, Y.; Crawford, M.; Makuuchi, M.; et al. Bile leakage after hepatobiliary and pancreatic surgery: A definition and grading of severity by the International Study Group of Liver Surgery. Surgery 2011, 149, 680–688. [Google Scholar] [CrossRef] [PubMed]
- Bassi, C.; Marchegiani, G.; Dervenis, C.; Sarr, M.; Abu Hilal, M.; Adham, M.; Allen, P.; Andersson, R.; Asbun, H.J.; Besselink, M.G.; et al. The 2016 update of the International Study Group (ISGPS) definition and grading of postoperative pancreatic fistula: 11 Years After. Surgery 2017, 161, 584–591. [Google Scholar] [CrossRef]
- Meijer, L.L.; Strijker, M.; de Bakker, J.K.; Toennaer, J.G.; Zonderhuis, B.M.; van der Vliet, H.J.; Wilmink, H.; Verheij, J.; Daams, F.; Busch, O.R.; et al. Clinical outcomes of patients with duodenal adenocarcinoma and intestinal-type papilla of Vater adenocarcinoma. World J. Gastrointest. Oncol. 2020, 12, 347–357. [Google Scholar] [CrossRef]
- Ushiku, T.; Arnason, T.; Fukayama, M.; Lauwers, G.Y. Extra-ampullary duodenal adenocarcinoma. Am. J. Surg. Pathol. 2014, 38, 1484–1493. [Google Scholar] [CrossRef]
- Takashima, M.; Ueki, T.; Nagai, E.; Yao, T.; Yamaguchi, K.; Tanaka, M.; Tsuneyoshi, M. Carcinoma of the ampulla of Vater associated with or without adenoma: A clinicopathologic analysis of 198 cases with reference to p53 and Ki-67 immunohistochemical expressions. Mod. Pathol. 2000, 13, 1300–1307. [Google Scholar] [CrossRef] [PubMed]
- De Pastena, M.; Zingaretti, C.C.; Paiella, S.; Guerriero, M.; De Santis, N.; Luchini, C.; Bassi, C.; Malleo, G.; Salvia, R. Impact of extra-ampullary duodenal adenocarcinoma subtypes on surgical and oncological outcomes following pancreaticoduodenectomy. Updates Surg. 2024, 76, 87–95. [Google Scholar] [CrossRef] [PubMed]
- Moss, W.M.; McCart, M.; Juler, G.; Miller, D.R.; Calif, I. Primary Adenocarcinoma of the Duodenum. Arch. Surg. 1974, 108, 805–807. [Google Scholar] [CrossRef] [PubMed]
- Sakamoto, T.; Saiura, A.; Ono, Y.; Mise, Y.; Inoue, Y.; Ishizawa, T.; Takahashi, Y.; Ito, H. Optimal Lymphadenectomy for Duodenal Adenocarcinoma: Does the Number Alone Matter? Ann. Surg. Oncol. 2017, 24, 3368–3375. [Google Scholar] [CrossRef] [PubMed]
- Platoff, R.M.; Kellish, A.S.; Hakim, A.; Gaughan, J.P.; Atabek, U.M.; Spitz, F.R.; Hong, Y.K. Simple Versus Radical Resection for Duodenal Adenocarcinoma: A Propensity Score Matched Analysis of National Cancer Database. Am. Surg. 2020, 87, 266–275. [Google Scholar] [CrossRef] [PubMed]
- Nitta, N.; Ohgi, K.; Sugiura, T.; Okamura, Y.; Ito, T.; Yamamoto, Y.; Ashida, R.; Sasaki, K.; Uesaka, K. Prognostic Impact of Pancreatic Invasion in Duodenal Carcinoma: A Single-Center Experience. Ann. Surg. Oncol. 2020, 27, 4553–4560. [Google Scholar] [CrossRef] [PubMed]
- Kaklamanos, I.G.; Bathe, O.F.; Franceschi, D.; Camarda, C.; Levi, J.; Livingstone, A.S. Extent of resection in the management of duodenal adenocarcinoma. Am. J. Surg. 2000, 179, 37–41. [Google Scholar] [CrossRef] [PubMed]
- Cloyd, J.M.; Norton, J.A.; Visser, B.C.; Poultsides, G.A. Does the extent of resection impact survival for duodenal adenocarcinoma? Analysis of 1,611 cases. Ann. Surg. Oncol. 2015, 22, 573–580. [Google Scholar] [CrossRef] [PubMed]
- Poultsides, G.A.; Huang, L.C.; Cameron, J.L.; Lan, L.; Hruban, R.H.; Pawlik, T.M.; Herman, J.M.; Edil, B.H.; Ahuja, N.; Michael, A.; et al. Duodenal Adenocarcinoma: Clinicopathologic Analysis and Implications for Treatment. Ann. Surg. Oncol. 2013, 19, 1928–1935. [Google Scholar] [CrossRef]
- Meijer, L.L.; Alberga, A.J.; de Bakker, J.K.; van der Vliet, H.J.; Le Large, T.Y.S.; van Grieken, N.C.T.; de Vries, R.; Daams, F.; Zonderhuis, B.M.; Kazemier, G. Outcomes and Treatment Options for Duodenal Adenocarcinoma: A Systematic Review and Meta-Analysis. Ann. Surg. Oncol. 2018, 25, 2681–2692. [Google Scholar] [CrossRef] [PubMed]

| N No. | Sex | Age (yr) | ASA | Location a | Type of Surgery b | Dindo–Clavien | PF c | AL d | R e | Size (cm) | TNM | LN f | Relapse | OS g | DFS h | Status i |
|---|---|---|---|---|---|---|---|---|---|---|---|---|---|---|---|---|
| 1 | M | 79 | 3 | D1 | DS | No | -- | No | R0 | 3.5 | T1bNxM0 | 0/0 | No | 7.6 | 7.6 | ANED |
| 2 | M | 76 | 3 | D2 | PD | V | C | -- | R0 | 4.7 | T3bN1M0 | 1/13 | -- | 0.4 | 0.4 | |
| 3 | M | 72 | 3 | D3 | PD | II | No | -- | R0 | 2 | T1bN0M0 | 0/1 | No | 4.4 | 4.4 | ANED |
| 4 | M | 66 | 2 | D4 | DS | No | -- | No | R1 | 2 | T4N0M0 | 0/1 | No | 1 | 1 | ANED |
| 5 | M | 66 | 2 | D2 | PD | Iva | C | -- | R0 | 5 | T3N0M0 | 0/20 | Yes, jejunum | 22.5 | 25.9 | AWD |
| 6 | M | 73 | 3 | D2 | PD | IIIa | Bc | -- | R0 | 7 | T1bN0M0 | 0/16 | No | 8.1 | 8.1 | ANED |
| 7 | M | 78 | 2 | D2 | PD | V | C | -- | R0 | 3 | T3N0M0 | 0/20 | -- | 0.8 | 0.8 | -- |
| 8 | M | 51 | 2 | D2 | DS | IIIa | -- | Yes | R0 | TisNxM0 | 0/0 | No | 26.8 | 26.8 | ANED | |
| 9 | F | 81 | 2 | D2 | PD | V | B | -- | R0 | 4 | T2N0M0 | 0/8 | -- | 0.5 | 0.5 | -- |
| 10 | M | 68 | 2 | D1 | PD | V | No | -- | R0 | 6 | T4N1M0 | 2/11 | -- | 0.8 | 0.8 | -- |
| 11 | M | 44 | 1 | D2 | PD | No | No | -- | R0 | 3 | T3N1M0 | 2/28 | No | 69.5 | 69.5 | ANED |
| 12 | M | 49 | 2 | D2 | PD | IIIb | No | -- | R0 | 3.50 | TisN0M0 | 0/7 | No | 103.1 | 61.1 | DND |
| 13 | M | 68 | 3 | D2 | PD | I | Bc | -- | R0 | 2.5 | T1aN0M0 | 0/8 | No | 61.7 | 61.7 | ANED |
| 14 | F | 46 | 2 | D2 | PD | I | Bc | -- | R0 | 5.3 | T3N1M0 | 3/19 | No | 56.5 | 56.5 | ANED |
| 15 | M | 76 | 3 | D4 | DS | V | -- | Yes | R1 | 2.9 | T4NxM0 | 0/0 | -- | 1.1 | 1.1 | -- |
| 16 | M | 80 | 2 | D3 | DS | No | -- | No | R1 | 3.4 | T3N2M0 | 4/5 | Yes, duodenum | 16.8 | 11.3 | DOD |
| 17 | M | 34 | 1 | D4 | LR | V | -- | -- | R1 | 7 | T3N1M0 | 2/3 | -- | 0.03 | 0.03 | -- |
| 18 | F | 81 | 3 | D4 | DS | No | -- | No | R0 | 2 | T3N0M0 | 0/1 | No | 26.2 | 26.2 | ANED |
| 19 | F | 44 | 1 | D2 | DS | II | -- | No | R0 | 2 | T4N0Mx | 0/13 | Yes, peritoneal and liver | 35.4 | 32.3 | AWD |
| 20 | M | 76 | 3 | D1 | PD | IIIa | B | -- | R0 | 3.5 | T2N0M0 | 0/11 | No | 41.6 | 41.6 | ANED |
| 21 | M | 80 | 3 | D3 | LR | V | -- | -- | R1 | 2.8 | T3NxM0 | 0/0 | -- | 0.3 | 0.3 | -- |
| 22 | M | 79 | 2 | D2 | LR | No | -- | -- | R1 | 1.7 | T3NxM0 | 0/0 | yes, retroperi-toneal nodes | 16.9 | 16.3 | DOD |
| 23 | M | 77 | 2 | D4 | DS | IIIa | -- | No | R1 | 3.2 | T3N1M0 | 3/9 | Yes, nodal, liver, and bone | 23.5 | 18.3 | DOD |
| 24 | M | 63 | 1 | D3 | DS | I | -- | No | R0 | 1.50 | T3NxM0 | 0/0 | Yes, pancreatic | 52.7 | 42 | DOD |
| 25 | F | 79 | 2 | D4 | DS | No | -- | No | R1 | 2.5 | T3N0M0 | 0/4 | Yes, liver | 24.2 | 7.2 | DOD |
| 26 | M | 62 | 2 | D4 | DS | IIIb | -- | No | R0 | 3 | T3N0M0 | 0/1 | No | 92.9 | 92.9 | ANED |
| 27 | M | 63 | 2 | D3 | PD | I | Bc | -- | R1 | 3.5 | T4NxM0 | 0/0 | Yes, liver and lung | 22.6 | 12.7 | DOD |
| 28 | F | 59 | 2 | D4 | DS | No | -- | No | R0 | 9.5 | T3N0M0 | 0/10 | No | 55.5 | 55.5 | ANED |
| 29 | M | 63 | 3 | D4 | DS | No | -- | No | R1 | 2.6 | T3N1M0 | 1/12 | Yes, locorregional nodes | 33.4 | 24.4 | AWD |
| 30 | F | 59 | 3 | D2 | PD | No | No | -- | R0 | 8 | T2N1M0 | 3/22 | No | 31.8 | 31.8 | ANED |
| 31 | F | 67 | 3 | D3 | PD | No | No | -- | R1 | 9 | T2N2M0 | 9/25 | No | 22.7 | 22.7 | ANED |
| 32 | M | 71 | 3 | D2 | PD | I | No | -- | R0 | 3.5 | T3N2M0 | 3/20 | Yes, bone | 9.2 | 5.2 | DOD |
| Total (n = 32) | Conservative (n = 16) | PD (n = 16) | p Value | |
|---|---|---|---|---|
| Sex | M: 24 (75%) F: 8 (25%) | M: 12 (75%) F: 4 (25%) | M: 12 (75%) F: 4 (25%) | 1 |
| Age (median) | 69.74 (IQR 60.47–79.09) | 71.34 (IQR 60.4–79.85) | 69.74 (IQR 60.66–76.50) | 0.946 |
| ASA | ASA 1: 4 (12.5%) ASA 2: 15 (46.9%) ASA 3: 13 (40.6%) | 3 (18.8%) 8 (50%) 5 (31.3%) | 1 (6.3%) 7 (43.8%) 8 (50%) | 0.390 |
| Kind of symptoms a | Vomits: 6 (18.8%) UGIB: 6 (18.8%) CS: 7 (21.9%) Jaundice: 3 (9.4%) Pain: 3 (9.4%) Anemia: 2 (6.3%) Other: 2 (6.3%) Asymptomatic: 3 (9.4%) | 5 (33.3%) 4 (26.7%) 2 (13.3%) 0 (0%) 2 (13.3%) 1 (6.7%) 1 (6.7%) 1 (6.7%) | 1 (6.3%) 2 (12.5%) 5 (31.3%) 3 (18.8%) 1 (6.3%) 1 (6.3%) 1 (6.3%) 2 (12.5%) | 0.172 |
| CT scan MRI EUS b | 32 (100%) 7 (21.9%) 2 (6.3%) | 16 (100%) 3 (18.8%) 1 (6.3%) | 16 (100%) 4 (25%) 1 (6.3%) | 1 |
| Preoperative biopsy | 29 (90.6%) | 14 (87.5%) | 15 (93.8%) | 1 |
| PBD c | 4 (12.5%) | 1 (6.3%) | 3 (18.8%) | 0.6 |
| Total bilirubin Album (media) AST (median) ALT (median) Increased tumor markers | 0.55 mg/dL (IQR 0.38–1.12) 3.38 ± 0.78 DS 22 UI (IQR 16–30) 28 UI (IQR 12–40) 9 (36%) | 0.5 (IQR 0.34–0.69) 3.6 ± 0.64 23 (IQR 20–27) 28 (IQR 14–35) 3 (21.4%) | 0.63 (IQR 0.43–1.8) 3.2 ± 0.86 22 (IQR 14–49) 23 (IQR 12–51) 6 (54.5%) | 0.214 0.117 0.760 0.736 0.115 |
| Postoperative morbidity Severe complication (CD ≥ IIIa) | 21 (65.7%) 14 (43.8%) | 8 (50%) 6 (37.5%) | 13 (81.3%) 8 (50%) | 0.135 0.722 |
| Clavien–Dindo | CD I: 5 (15.6%) CD II: 2 (6.3%) CD IIIa: 4 (12.5%) CD IIIb: 2 (6.3%) CD IVa: 1 (3.1%) CD IVb: 0 (0%) CD V: 7 (21.9%) | 1 (6.3%) 1 (6.3%) 2 (12.5%) 1 (6.3%) 0 (0%) 0 (0%) 3 (18.8%) | 4 (25%) 1 (6.3%) 2 (12.5%) 1 (6.3%) 1 (6.3%) 0 (0%) 4 (25%) | 0.532 |
| POPF (pancreatic fistula) | Biochemical leak 4 (25%) B: 2 (12.5%) C: 3 (18.8%) | |||
| Anastomotic leak | 2 (12.5%) | |||
| Biliary fistula | 2 (12.5%) | |||
| DGE d | A: 1 (6.25%) B: 0 (0%) C: 0 (0%) | |||
| PPH e | A: 2 (6.3%) B: 3 (9.4%) C: 2 (6.3%) | A: 0 (0%) B: 2 (12.5%) C: 1 (6.3%) | A: 2 (12.5%) B: 1 (6.3%) C: 1 (6.3%) | 0.792 |
| Intra-abdominal abscess | 8 (25%) | 3 (18.8%) | 5 (31.3%) | 0.685 |
| Postoperative mortality (90 days) | 7 (21.9%) | 3 (18.8%) | 4 (25%) | 1 |
| Re-admission | 5 (15.6%) | 2 (15.4%) | 3 (21.4%) | 1 |
| Hospital stay (median) | 16 (IQR 10–24) | 12.5 (IQR 9–19) | 18.5 (IQR 11–42) | 0.115 |
| TNM T | Tis: 2 (6.3%) T1a: 1 (3.1%) T1b: 3 (9.4%) T2: 4 (12.5%) T3: 17 (53.1%) T4: 5 (15.6%) | 1 (6.3%) 0 (0%) 1 (6.3%) 0 (0%) 11 (68.8%) 3 (18.8%) | 1 (6.3%) 1 (6.3%) 2 (12.5%) 4 (25%) 6 (37.5%) 2 (12.5%) | 0.190 |
| N | Nx: 7 (21.9%) N0: 14 (43.8%) N1: 8 (25%) N2: 3 (9.4%) | 6 (37.5%) 6 (37.5%) 3 (18.8%) 1 (6.3%) | 1 (6.3%) 8 (50%) 5 (31.3%) 2 (12.5%) | 0.227 |
| Size (cm) | 3.4 (IQR 2.5–5) | 2.8 (IQR 2–3.4) | 4.6 ± 2 | 0.112 |
| Differentiation grade tumor | G1: 8 (25%) G2: 10 (31.3%) G3: 9 (28.1%) G4: 2 (6.3%) | 5 (35.7%) 4 (28.6%) 4 (28.6%) 1 (7.1%) | 3 (20%) 6 (40%) 5 (33.3%) 1 (6.7%) | 0.849 |
| LN f Involved (median) Resected (media) | 0 (IQR 0–3) 11 ± 8 DS | 0 (IQR 0–2) 6 ± 1.5 | 0 (IQR 0–3) 15 ± 7.6 | 0.385 0.015 |
| R g | R0: 21 (65.6%) R1: 11 (34.4%) | 7 (43.8%) 9 (53.3%) | 14 (87.5%) 2 (12.5%) | 0.23 |
| Neoadjuvant chemotherapy Adjuvant CT h Adjuvant RT i | 0 12 (37.5%) 4 (12.5%) | 0 6 (50%) 1 (7.7%) | 0 6 (50%) 3 (25%) | 1 0.322 |
| Relapse | 10 (31.3%) | 7 (53.8%) | 3 (25%) | 0.226 |
| Variable | Univariate | Multivariate | ||
|---|---|---|---|---|
| HR (CI 95%) | p Value | HR (CI 95%) | p Value | |
| Sex (male) | 3.53 (0.42–29.45) | 0.244 | ||
| Age (years) Age ≥ 50 Age ≥ 60 Age ≥ 70 | 1.09 (1.02–1.19) 3 (0.36–25.29) 5.64 (0.69–46.39) 13.91 (1.62–119.75) | 0.032 0.312 0.108 0.017 | 7.18 (0.73–70.35) | 0.09 |
| ASA | 0.81 (0.3–2.2) | 0.679 | ||
| Type of surgery | 0.58 (0.13–2.51) | 0.465 | ||
| Location of tumor | 1.3 (0.61–2.79) | 0.5 | ||
| Postoperative morbidity CD a ≥ IIIa | 1.04 (0.24–4.42) 0.69 (0.14–3.46) | 0.956 0.649 | ||
| Size of tumor ≥2 cm ≥3 cm ≥5 cm ≥7 cm | 0.72 (0.41–1.27) 0.26 (0.5–1.36) 0.95 (0.22–4.03) 0.03 (<0.001–44.24) 0.04 (<0.001–261.15) | 0.256 0.111 0.946 0.349 0.469 | ||
| Differentiation grade | 1.64 (0.76–3.55) | 0.208 | ||
| Involved lymph nodes | 2.8 (0.46–17.13) | 0.265 | ||
| R0/R1 | 14.78 (1.67–130.68) | 0.015 | 6.84 (0.71–65.6) | p = 0.095 |
| T T ≥ T2 T ≥ T3 | 1.31 (0.72–2.37) 2.17 (0.25–18.73) 3.7 (0.45–30.46) | 0.374 0.479 0.223 |
| Variable | Univariate | Multivariate | ||
|---|---|---|---|---|
| HR (CI 95%) | p Value | HR (CI 95%) | p Value | |
| Sex (male) | 0.49 (0.1–2.33) | 0.371 | ||
| Age (years) Age ≥ 50 Age ≥ 60 Age ≥ 70 | 1.07 (1.00–1.14) 3.53 (0.44–28.49) 7.41 (0.93–59.27) 4.56 (1.18–17.71) | 0.042 0.236 0.059 0.028 | 0.75 (0.5–1.13) 1904.68 (0.48–7.6 × 106) 664.7 (0.76–580,133.8) | 0.166 0.074 0.060 |
| ASA | 0.79 (0.33–1.91) | 0.606 | ||
| Type of surgery | 0.42 (0.11–1.63) | 0.209 | ||
| Location of tumor | 1.36 (0.72–2.56) | 0.344 | ||
| Postoperative morbidity CD ≥ IIIa | 0.86 (0.24–3.1) 0.49 (0.10–2.33) | 0.821 0.371 | ||
| Size of tumor ≥2 cm ≥3 cm ≥5 cm ≥7 cm | 0.72 (0.46–1.13) 0.42 (0.09–2.14) 0.51 (0.15–1.77) 0.27 (0.03–2.12) 0.04 (<0.001–49.48) | 0.155 0.318 0.288 0.212 0.370 | 1.38 (0.58–3.27) | 0.469 |
| Differentiation grade | 1.52 (0.78–2.99) | 0.217 | ||
| Involved lymph nodes | 2.59 (0.57–11.80) | 0.218 | ||
| R0/R1 | 23.19 (2.59–207.96) | 0.005 | 6.43 (0.51–81.47) | 0.151 |
| T T ≥ T2 T ≥ T3 | 3.09 (1.05–9.12) 29.30 (0.041–20,775.3) 39.86 (0.17–9293.01) | 0.040 0.313 0.185 | 11.86 (0.83–169.3) 39982.63 (<0.001–8.209 × 10174) | 0.068 0.958 |
Disclaimer/Publisher’s Note: The statements, opinions and data contained in all publications are solely those of the individual author(s) and contributor(s) and not of MDPI and/or the editor(s). MDPI and/or the editor(s) disclaim responsibility for any injury to people or property resulting from any ideas, methods, instructions or products referred to in the content. |
© 2024 by the authors. Licensee MDPI, Basel, Switzerland. This article is an open access article distributed under the terms and conditions of the Creative Commons Attribution (CC BY) license (https://creativecommons.org/licenses/by/4.0/).
Share and Cite
Blanco-Fernández, G.; Aparicio-López, D.; Villodre, C.; Jaén-Torrejimeno, I.; Alcázar López, C.F.; López-Guerra, D.; Serradilla-Martín, M.; Ramia, J.M. Duodenal Adenocarcinoma: The Relationship between Type of Surgery and Site of Recurrence in a Spanish Cohort. Gastroenterol. Insights 2024, 15, 342-353. https://doi.org/10.3390/gastroent15020023
Blanco-Fernández G, Aparicio-López D, Villodre C, Jaén-Torrejimeno I, Alcázar López CF, López-Guerra D, Serradilla-Martín M, Ramia JM. Duodenal Adenocarcinoma: The Relationship between Type of Surgery and Site of Recurrence in a Spanish Cohort. Gastroenterology Insights. 2024; 15(2):342-353. https://doi.org/10.3390/gastroent15020023
Chicago/Turabian StyleBlanco-Fernández, Gerardo, Daniel Aparicio-López, Celia Villodre, Isabel Jaén-Torrejimeno, Cándido F Alcázar López, Diego López-Guerra, Mario Serradilla-Martín, and José M. Ramia. 2024. "Duodenal Adenocarcinoma: The Relationship between Type of Surgery and Site of Recurrence in a Spanish Cohort" Gastroenterology Insights 15, no. 2: 342-353. https://doi.org/10.3390/gastroent15020023
APA StyleBlanco-Fernández, G., Aparicio-López, D., Villodre, C., Jaén-Torrejimeno, I., Alcázar López, C. F., López-Guerra, D., Serradilla-Martín, M., & Ramia, J. M. (2024). Duodenal Adenocarcinoma: The Relationship between Type of Surgery and Site of Recurrence in a Spanish Cohort. Gastroenterology Insights, 15(2), 342-353. https://doi.org/10.3390/gastroent15020023

