Virtual Energy Storage-Based Charging and Discharging Strategy for Electric Vehicle Clusters
Abstract
1. Introduction
- The EVVES model is established based on the charge-discharge characteristics of EVCs for a day, including mileage, moments of arrival and departure, battery capacity, and power of charging and discharging.
- According to the VES model, this paper proposes an EVVES optimization charging and discharging strategy, considering two objectives: system operation cost and grid net load variance.
- In this paper, the EVVES optimization charging and discharging strategy is simulated for comparison under three types of scenarios, such as comparisons with irregular charging, real energy storage, and single objectives.
2. The Modeling of VES
2.1. The Single EV Model
- A.
- Probability distribution of daily mileage
- B.
- Probability distribution of return and departure moments for EVs
- C.
- Probability distribution of battery capacity
- D.
- Probability distribution of charging and discharging power
2.2. The EVC Model
- A.
- EVC charging and discharging power
- B.
- Capacity of EVCs
2.3. The EVVES Model
- A.
- Capacity of the EVVES
- B.
- SOC of the EVVES
- C.
- Charging and discharging power of the EVVES
3. EVVES Optimized Scheduling Strategy
3.1. Uncertainty in PV and WT
3.2. Objective Function
- A.
- System operating cost objective
- B.
- Grid net load variance objective
3.3. Constraints
- A.
- Power balance constraint
- B.
- EVVES charging and discharging constraints
- C.
- EV battery current constraint
- D.
- EV battery capacity constraint
- E.
- Users’ satisfaction constraint
3.4. Model Solution
- A.
- The NSGA-II algorithm
- The first part is the initial definition. We first initialize the population and determine the number of objective functions and the size of the population. Next, we perform an undominated sorting to determine the number of each individual that is dominated and the set of solutions that dominate the other solutions [28]. Through selection, crossover, and mutation operations, we preserve the diversity of individuals in the population;
- The next part is the elite selection. We evaluate the number of new populations after a parent-children merger and perform a fast, non-dominated sorting of these individuals. Based on the calculated crowding, we select individuals to retain those with higher fitness;
- The final part is iteration. We continuously perform selection, crossover, and mutation until the predetermined number of iterations is reached.
- B.
- The Topsis method
- C.
- Model-solving procedure
4. Case Study
4.1. Case Parameters
4.2. The Boundary of EVVES
4.3. Example Analysis of EVVES Optimization
- A.
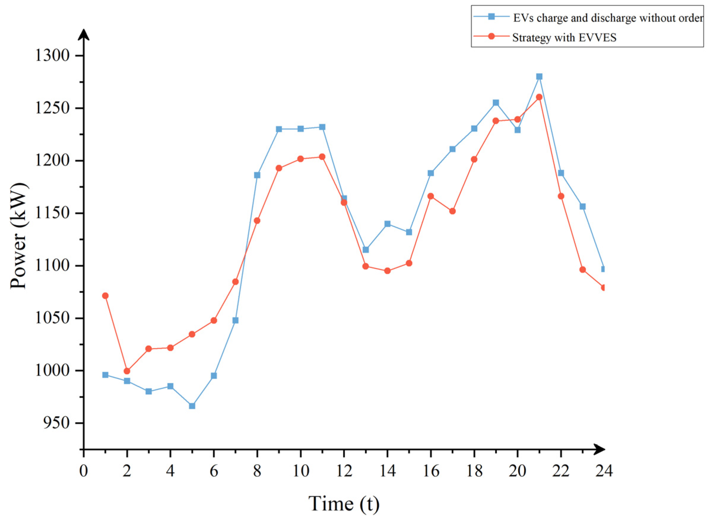
- Comparison of regular and irregular charging with EVVES
- B.
- Comparison of optimization with GES and with EVVES
- C.
- Comparison of dual-objective optimization and single-objective optimization
5. Conclusions
- In this paper, we equated EV charging and discharging characteristics to the EVVES model, which effectively realizes the peak shaving and valley filling of loads when large-scale EVCs are connected to the grid. Meanwhile, the EVVES model promotes the orderly charging and discharging of EVCs in the region and improves the solution speed of the algorithm.
- For the constructed EVVES model, we propose an EVVES optimization charging and discharging strategy. It effectively reduces the operating costs and load fluctuations of the system to improve the economy and stability of the grid.
Author Contributions
Funding
Data Availability Statement
Acknowledgments
Conflicts of Interest
References
- Hasan, M.K.; Mahmud, M.; Ahasan Habib, A.K.M.; Motakabber, S.M.A.; Islam, S. Review of electric vehicle energy storage and management system: Standards, issues, and challenges. J. Energy Storage 2021, 41, 102940. [Google Scholar] [CrossRef]
- Liu, L.; Niu, M.; Li, B.; Zhang, Y.; Zou, M.; Liu, D.; Zhang, T.; Wang, L.; Shang, S.; Liu, M. Aggregation optimization method of virtual energy storage for electric vehicles considering user elasticity. In Proceedings of the IOP Conference Series: Earth and Environmental Science, Chongqing, China, 20–22 November 2020. [Google Scholar]
- Banol Arias, N.; Sabillon, C.; Franco, J.F.; Quiros-Tortos, J.; Rider, M.J. Hierarchical Optimization for User-Satisfaction-Driven Electric Vehicles Charging Coordination in Integrated MV/LV Networks. IEEE Syst. J. 2023, 17, 1247–1258. [Google Scholar] [CrossRef]
- Yao, C.; Chen, S.; Yang, Z. Joint Routing and Charging Problem of Multiple Electric Vehicles: A Fast Optimization Algorithm. IEEE Trans. Intell. Transp. Syst. 2022, 23, 8184–8193. [Google Scholar] [CrossRef]
- Sepetanc, K.; Pandzic, H. A Cluster-Based Model for Charging a Single-Depot Fleet of Electric Vehicles. IEEE Trans. Smart Grid 2021, 12, 3339–3352. [Google Scholar] [CrossRef]
- Tang, Q.; Xie, M.; Yang, K.; Luo, Y.; Zhou, D.; Song, Y. A Decision Function Based Smart Charging and Discharging Strategy for Electric Vehicle in Smart Grid. Mob. Netw. Appl. 2019, 24, 1722–1731. [Google Scholar] [CrossRef]
- Wang, R.; Wu, J.; Cai, Z.; Liu, G.; Zhang, H.; Cai, J. Three-stage collaborative optimal scheduling of electricity-gas-heat in virtual power plant with generalized energy storage. Power Syst. Technol. 2022, 46, 1857–1866. [Google Scholar]
- Zheng, C.; Li, W.; Liang, Q. An Energy Management Strategy of Hybrid Energy Storage Systems for Electric Vehicle Applications. IEEE Trans. Sustain. Energy 2018, 9, 1880–1888. [Google Scholar] [CrossRef]
- Hu, J.; Liu, D.; Du, C.; Yan, F.; Lv, C. Intelligent energy management strategy of hybrid energy storage system for electric vehicle based on driving pattern recognition. Energy 2020, 198, 117298. [Google Scholar] [CrossRef]
- Eseye, A.T.; Lehtonen, M.; Tukia, T.; Uimonen, S.; Millar, R.J. Optimal Energy Trading for Renewable Energy Integrated Building Microgrids Containing Electric Vehicles and Energy Storage Batteries. IEEE Access 2019, 7, 106092–106101. [Google Scholar] [CrossRef]
- Wang, C.; Liu, R.; Tang, A. Energy management strategy of hybrid energy storage system for electric vehicles based on genetic algorithm optimization and temperature effect. J. Energy Storage 2022, 51, 104314. [Google Scholar] [CrossRef]
- Li, X.; Zhang, X.; Fan, Y. A two-step framework for energy local area network scheduling problem with electric vehicles based on global-local optimization method. Energies 2019, 12, 195. [Google Scholar] [CrossRef]
- Wu, H.; Zhao, S.; Li, B.; Niu, M. Control Method of Electric Vehicle Virtual Energy Storage Participating in Power Grid Peak Shaving Based on Predictive Modeling. In Proceedings of the 5th IEEE Conference on Energy Internet and Energy System Integration: Energy Internet for Carbon Neutrality, Taiyuan, China, 22–24 October 2021. [Google Scholar]
- Han, X.; Liang, D.; Wang, H. An optimization scheduling method of electric vehicle virtual energy storage to track planned output based on multiobjective optimization. Int. J. Energy Res. 2020, 44, 8492–8512. [Google Scholar] [CrossRef]
- Dai, R.; Zhao, B.; Zhang, X.; Yu, J.; Fan, B.; Liu, B. Joint Virtual Energy Storage Modeling with Electric Vehicle Participation in Energy Local Area Smart Grid. Complexity 2020, 1, 3102729. [Google Scholar] [CrossRef]
- Zhang, E.; Tai, N.; Chen, Y.; Yao, W.; Huang, W.; Zhao, S. A Coordination Strategy to Smooth Power Fluctuation of Distributed Generation in Integrated Energy System Based on Virtual Energy Storage. Power Gener. Technol. 2020, 41, 30–40. [Google Scholar]
- Kempton, W.; Dhanju, A. Electric Vehicles with V2G. Wind. Int. 2006, 2, 18. [Google Scholar]
- Madawala, U.K.; Thrimawithana, D.J. A bidirectional inductive power interface for electric vehicles in V2G systems. IEEE Trans. Ind. Electron. 2011, 58, 4789–4796. [Google Scholar] [CrossRef]
- Waag, W.; Fleischer, C.; Sauer, D.U. Critical review of the methods for monitoring of lithium-ion batteries in electric and hybrid vehicles. J. Power Sources 2014, 258, 321–339. [Google Scholar] [CrossRef]
- Al-Wreikat, Y.; Serrano, C.; Sodre, J.R. Effects of ambient temperature and trip characteristics on the energy consumption of an electric vehicle. Energy 2022, 238, 122028. [Google Scholar] [CrossRef]
- Kabiri-Renani, Y.; Arjomandi-Nezhad, A.; Fotuhi-Firuzabad, M.; Shahidehpour, M. Transactive-Based Day-Ahead Electric Vehicles Charging Scheduling. IEEE Trans. Transp. Electrif. 2023, 99, 1. [Google Scholar] [CrossRef]
- Deka, D.; Fei, D. A comparison of the personal and neighborhood characteristics associated with ridesourcing, transit use, and driving with NHTS data. J. Transp. Geogr. 2019, 76, 24–33. [Google Scholar] [CrossRef]
- Wu, F.; Yang, J.; Zhan, X.; Liao, S.; Xu, J. The Online Charging and Discharging Scheduling Potential of Electric Vehicles Considering the Uncertain Responses of Users. IEEE Trans. Power Syst. 2021, 36, 1794–1806. [Google Scholar] [CrossRef]
- Liang, Y.; Guo, L.; Dan, Z.; Liu, Z.; Hu, Y.; Zhou, X.; Wei, C.; Shan, Y. Evaluation on the convergence potential of electric vehicles considering their subjective and objective responsiveness. Integr. Intell. Energy 2023, 45, 1–10. [Google Scholar]
- Jiao, F.; Ji, C.; Zou, Y.; Zhang, X. Tri-stage optimal dispatch for a microgrid in the presence of uncertainties introduced by EVs and PV. Appl. Energy 2021, 304, 117881. [Google Scholar] [CrossRef]
- Sun, T.; Wang, W.; Wen, X. Optimal operation strategy of wind-hydrogen integrated energy system based on NSGA-II algorithm. J. Comput. Methods Sci. Eng. 2023, 23, 499–511. [Google Scholar] [CrossRef]
- Liu, H.; Zhao, Q.; Liu, Y.; Xing, Z.; Hu, D.; Zhang, P.; Zhang, Z.; Sun, J. A Multi-Subject Game-Based Operation Strategy for VPPs Integrating Wind-Solar-Storage. Sustainability 2023, 15, 6278. [Google Scholar] [CrossRef]
- Gu, T.; Wang, P.; Liang, F.; Xie, G.; Guo, L.; Zhang, X.; Shi, F. Placement and capacity selection of battery energy storage system in the distributed generation integrated distribution network based on improved NSGA-II optimization. J. Energy Storage 2022, 52, 104716. [Google Scholar] [CrossRef]
- Dwivedi, P.P.; Sharma, D.K. Evaluation and ranking of battery electric vehicles by Shannon’s entropy and TOPSIS methods. Math. Comput. Simul. 2023, 212, 457–474. [Google Scholar] [CrossRef]












| Type | Types of Vehicles | Travel Time | Charging Power/kW | Battery Capacity/ kWh | Mileage/ km | Unit Power Consumption/ (km/kWh) |
|---|---|---|---|---|---|---|
| A | Electric taxis | Shift handover or residual power drops to a threshold | 8.5 | 50 | 300 | 6–8 |
| B | Electric private cars | Long parking time and plenty of charging time | 7 | 80 | 400 | 5–8 |
| C | Electric trucks | Intermittently distributed and relatively stable travel time | 5 | 100 | 200 | 4–6 |
| D | Electric buses | Relatively regular travel time and mileage | 5 | 150 | 250 | 3–5 |
| Constants for EVVES | Meaning | Data |
|---|---|---|
| / | Upper/lower limit of power purchased and sold | 3 MW/1 MW |
| The prices of peak/flat/valley in the microgrid exchange | 1.230 CNY/(kW·h)/ 0.820 CNY/(kW·h)/ 0.410 CNY/(kW·h); | |
| The prices of peak/flat/valley in PV | 1.384 CNY/(kW·h)/ 0.923 CNY/(kW·h)/ 0.461 CNY/(kW·h); | |
| The prices of peak/flat/valley in WT | 2.153 CNY/(kW·h)/ 1.436 CNY/(kW·h)/ 0.718 CNY/(kW·h); | |
| Costs and benefits of EVVES charging and discharging | 0.8657 CNY/(kW·h)/ 0.7560 CNY/(kW·h); | |
| Upper/lower limit of EVVES state of charge | 1/0.4 | |
| Type/number of EVs | 4/4000 |
| Strategy | Costs/CNY | Load Fluctuation/kW | Running Time/s | Peak-to-Valley Ratio/% |
|---|---|---|---|---|
| Strategy of this paper | 30,968.92 | 113.1558 | 80.787 | 20.6937 |
| Disorderly strategy | 33,593.58 | 118.9088 | 24.5211 |
| Strategy | Costs/CNY | Load Fluctuation/kW | Running Time/s | Peak-to-Valley Ratio/% |
|---|---|---|---|---|
| Strategy of this paper | 30,968.92 | 113.1558 | 80.787 | 20.6937 |
| Strategy of GES | 32,435.43 | 118.6114 | 87.305 | 25.5429 |
| Strategy | Costs/CNY | Load Fluctuation/kW | Running Time/s | Peak-to-Valley Ratio/% |
|---|---|---|---|---|
| Strategy of this paper | 30,968.92 | 113.1558 | 80.787 | 20.6937 |
| Single-objective optimization | 30,967.35 | 45.117 | 23.0668 |
Disclaimer/Publisher’s Note: The statements, opinions and data contained in all publications are solely those of the individual author(s) and contributor(s) and not of MDPI and/or the editor(s). MDPI and/or the editor(s) disclaim responsibility for any injury to people or property resulting from any ideas, methods, instructions or products referred to in the content. |
© 2024 by the authors. Licensee MDPI, Basel, Switzerland. This article is an open access article distributed under the terms and conditions of the Creative Commons Attribution (CC BY) license (https://creativecommons.org/licenses/by/4.0/).
Share and Cite
Jiang, Y.; Zhou, B.; Li, G.; Luo, Y.; Hu, B.; Liu, Y. Virtual Energy Storage-Based Charging and Discharging Strategy for Electric Vehicle Clusters. World Electr. Veh. J. 2024, 15, 359. https://doi.org/10.3390/wevj15080359
Jiang Y, Zhou B, Li G, Luo Y, Hu B, Liu Y. Virtual Energy Storage-Based Charging and Discharging Strategy for Electric Vehicle Clusters. World Electric Vehicle Journal. 2024; 15(8):359. https://doi.org/10.3390/wevj15080359
Chicago/Turabian StyleJiang, Yichen, Bowen Zhou, Guangdi Li, Yanhong Luo, Bo Hu, and Yubo Liu. 2024. "Virtual Energy Storage-Based Charging and Discharging Strategy for Electric Vehicle Clusters" World Electric Vehicle Journal 15, no. 8: 359. https://doi.org/10.3390/wevj15080359
APA StyleJiang, Y., Zhou, B., Li, G., Luo, Y., Hu, B., & Liu, Y. (2024). Virtual Energy Storage-Based Charging and Discharging Strategy for Electric Vehicle Clusters. World Electric Vehicle Journal, 15(8), 359. https://doi.org/10.3390/wevj15080359

