Cascaded κ-μ Fading Channels with Colluding and Non-Colluding Eavesdroppers: Physical-Layer Security Analysis
Abstract
:1. Introduction
2. Materials and Methods
2.1. Physical-Layer Security Analysis: Colluding Eavesdroppers
2.1.1. Secrecy Outage Probability
2.1.2. Asymptotic Secrecy Outage Probability as
2.1.3. Asymptotic Secrecy Outage Probability as
2.1.4. Probability of Non-Zero Secrecy Capacity
2.1.5. Asymptotic Probability of Non-Zero Secrecy Capacity
2.1.6. Intercept Probability
2.2. Physical-Layer Security Analysis: Non-Colluding Eavesdroppers
2.2.1. Probability of Non-Zero Secrecy Capacity
2.2.2. Asymptotic Probability of Non-Zero Secrecy Capacity
2.2.3. Intercept Probability
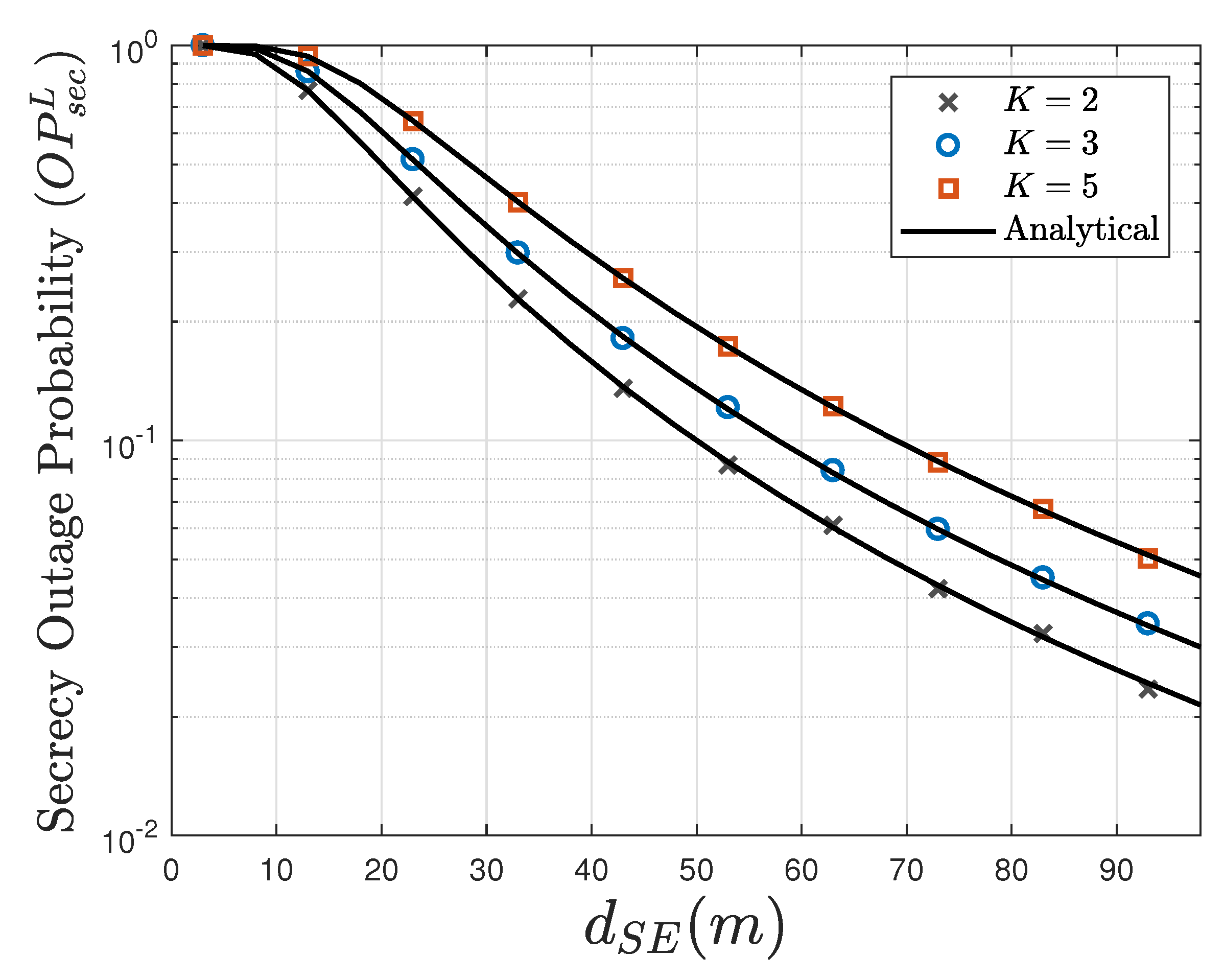
3. Results and Discussion
4. Conclusions
Author Contributions
Funding
Institutional Review Board Statement
Informed Consent Statement
Data Availability Statement
Conflicts of Interest
References
- Tashman, D.H.; Hamouda, W. Cascaded κ-μ Fading Channels with Colluding Eavesdroppers: Physical-Layer Security Analysis. In Proceedings of the 2020 International Conference on Communications, Signal Processing, and their Applications (ICCSPA), Sharjah, United Arab Emirates, 16–18 March 2021; pp. 1–6. [Google Scholar] [CrossRef]
- Moualeu, J.M.; Hamouda, W.; Takawira, F. Secrecy Performance of Generalized Selection Diversity Combining Scheme with Gaussian Errors. In Proceedings of the 2018 IEEE 88th Vehicular Technology Conference (VTC-Fall), Chicago, IL, USA, 27–30 August 2018; pp. 1–5. [Google Scholar] [CrossRef]
- Moualeu, J.M.; Hamouda, W. Performance analysis of secure communications over α-μ/κ-μ fading channels. In Proceedings of the 2017 12th International Conference on Computer Engineering and Systems (ICCES), Cairo, Egypt, 19–20 December 2017; pp. 473–478. [Google Scholar] [CrossRef]
- Jameel, F.; Wyne, S.; Kaddoum, G.; Duong, T.Q. A Comprehensive Survey on Cooperative Relaying and Jamming Strategies for Physical Layer Security. IEEE Commun. Surv. Tutor. 2019, 21, 2734–2771. [Google Scholar] [CrossRef] [Green Version]
- Moualeu, J.M.; Sofotasios, P.C.; da Costa, D.B.; Muhaidat, S.; Hamouda, W.; Dias, U.S. Physical-Layer Security of SIMO Communication Systems over Multipath Fading Conditions. IEEE Trans. Sustain. Comput. 2021, 6, 105–118. [Google Scholar] [CrossRef]
- Shannon, C.E. Communication theory of secrecy systems. Bell Syst. Tech. J. 1949, 28, 656–715. [Google Scholar] [CrossRef]
- Ozarow, L.H.; Wyner, A.D. Wire-tap channel II. AT&T Bell Lab. Tech. J. 1984, 63, 2135–2157. [Google Scholar]
- Tashman, D.H.; Hamouda, W. An Overview and Future Directions on Physical-Layer Security for Cognitive Radio Networks. IEEE Netw. 2020, 35, 205–211. [Google Scholar] [CrossRef]
- Yacoub, M.D. The κ-μ distribution and the η-μ distribution. IEEE Antennas Propag. Mag. 2007, 49, 68–81. [Google Scholar] [CrossRef]
- Tashman, D.H.; Hamouda, W. Physical-Layer Security on Maximal Ratio Combining for SIMO Cognitive Radio Networks over Cascaded κ-μ Fading Channels. IEEE Trans. Cogn. Commun. Netw. 2021. [Google Scholar] [CrossRef]
- Tashman, D.H.; Hamouda, W. Physical-Layer Security for Cognitive Radio Networks over Cascaded Rayleigh Fading Channels. In Proceedings of the GLOBECOM 2020—2020 IEEE Global Communications Conference, Taipei, Taiwan, 7–11 December 2020; pp. 1–6. [Google Scholar] [CrossRef]
- Ata, S.Ö. Secrecy performance analysis over cascaded fading channels. IET Commun. 2019, 13, 259–264. [Google Scholar] [CrossRef]
- Eshteiwi, K.; Kaddoum, G.; Selim, B.; Gagnon, F. Impact of Co-Channel Interference and Vehicles as Obstacles on Full-Duplex V2V Cooperative Wireless Network. IEEE Trans. Veh. Technol. 2020, 69, 7503–7517. [Google Scholar] [CrossRef]
- Ghareeb, I.; Tashman, D. Statistical analysis of cascaded Rician fading channels. Int. J. Electron. Lett. 2018, 8, 46–59. [Google Scholar] [CrossRef]
- Ata, S.Ö. Physical layer security over cascaded Rayleigh fading channels. In Proceedings of the 2018 26th Signal Processing and Communications Applications Conference (SIU), Izmir, Turkey, 2–5 May 2018; pp. 1–4. [Google Scholar] [CrossRef]
- Ata, S.Ö. Secrecy Performance Analysis Over Double Nakagami-m Fading Channels. In Proceedings of the 2018 41st International Conference on Telecommunications and Signal Processing (TSP), Athens, Greece, 4–6 July 2018; pp. 1–4. [Google Scholar] [CrossRef]
- Kong, L.; Kaddoum, G.; da Costa, D.B. Cascaded α-μ Fading Channels: Reliability and Security Analysis. IEEE Access 2018, 6, 41978–41992. [Google Scholar] [CrossRef]
- Singh, R.; Rawat, M. Unified Analysis of Secrecy Capacity Over N*Nakagami Cascaded Fading Channel. In Proceedings of the 2018 18th International Symposium on Communications and Information Technologies (ISCIT), Bangkok, Thailand, 26–29 September 2018; pp. 422–427. [Google Scholar] [CrossRef]
- Kong, L.; Ai, Y.; He, J.; Rajatheva, N.; Kaddoum, G. Intercept Probability Analysis over the Cascaded Fisher-Snedecor F Fading Wiretap Channels. In Proceedings of the 2019 16th International Symposium on Wireless Communication Systems (ISWCS), Oulu, Finland, 27–30 August 2019; pp. 672–676. [Google Scholar] [CrossRef] [Green Version]
- Tashman, D.H.; Hamouda, W.; Dayoub, I. Secrecy Analysis Over Cascaded κ-μ Fading Channels With Multiple Eavesdroppers. IEEE Trans. Veh. Technol. 2020, 69, 8433–8442. [Google Scholar] [CrossRef]
- Jia, S.; Zhang, J.; Zhao, H.; Zhang, R. Relay Selection for Improved Security in Cognitive Relay Networks With Jamming. IEEE Wireless Commun. Lett. 2017, 6, 662–665. [Google Scholar] [CrossRef]
- Wang, H.; Wang, C.; Ng, D.W.K.; Lee, M.H.; Xiao, J. Artificial Noise Assisted Secure Transmission for Distributed Antenna Systems. IEEE Trans. Signal Process. 2016, 64, 4050–4064. [Google Scholar] [CrossRef]
- Zhou, X.; McKay, M.R. Secure Transmission With Artificial Noise Over Fading Channels: Achievable Rate and Optimal Power Allocation. IEEE Trans. Veh. Technol. 2010, 59, 3831–3842. [Google Scholar] [CrossRef] [Green Version]
- Goel, S.; Negi, R. Secret communication in presence of colluding eavesdroppers. In Proceedings of the MILCOM 2005—2005 IEEE Military Communications Conference, Atlantic City, NJ, USA, 17–20 October 2005; Volume 3, pp. 1501–1506. [Google Scholar] [CrossRef]
- Jiang, K.; Jing, T.; Huo, Y.; Zhang, F.; Li, Z. SIC-Based Secrecy Performance in Uplink NOMA Multi-Eavesdropper Wiretap Channels. IEEE Access 2018, 6, 19664–19680. [Google Scholar] [CrossRef]
- Gradshteyn, I.S.; Ryzhik, I.M. Table of Integrals, Series, and Products; Academic Press: Cambridge, MA, USA, 2007. [Google Scholar]
- Milisic, M.; Hamza, M.; Hadzialic, M. Outage and symbol error probability performance of L-branch maximal-ratio combiner for generalized κ-μ fading. In Proceedings of the 2008 50th International Symposium ELMAR, Borik Zadar, Croatia, 10–12 September 2008; Volume 1, pp. 231–236. [Google Scholar]
- Adamchik, V.; Marichev, O. The algorithm for calculating integrals of hypergeometric type functions and its realization in REDUCE system. In Proceedings of the International Symposium on Symbolic and Algebraic Computation, Tokyo, Japan, 20–24 August 1990; pp. 212–224. [Google Scholar]
- Kamel, M.; Hamouda, W.; Youssef, A. Physical Layer Security in Ultra-Dense Networks. IEEE Commun. Lett. 2017, 6, 690–693. [Google Scholar] [CrossRef]
- Moualeu, J.M.; Hamouda, W. On the Secrecy Performance Analysis of SIMO Systems Over κ-μ Fading Channels. IEEE Commun. Lett. 2017, 21, 2544–2547. [Google Scholar] [CrossRef]
- Proakis, J.; Salehi, M. Digital Communications, 5th ed.; McGraw-Hill: New York, NY, USA, 2008. [Google Scholar]
- Mathai, A.M. A Handbook of Generalized Special Functions for Statistical and Physical Sciences; Oxford University Press: Oxford, MI, USA, 1993. [Google Scholar]
- Chergui, H.; Benjillali, M.; Saoudi, S. Performance Analysis of Project-and-Forward Relaying in Mixed MIMO-Pinhole and Rayleigh Dual-Hop Channel. IEEE Commun. Lett. 2016, 20, 610–613. [Google Scholar] [CrossRef] [Green Version]
- Prudnikov, A.; Brychkov, Y.; Marichev, O. Integrals Series: More Special Functions, Volume III of Integrals and Series; Gordon and Breach Science Publishers: New York, NY, USA, 1990. [Google Scholar]
- Singh, A.; Bhatnagar, M.R.; Mallik, R.K. Secrecy Outage of a Simultaneous Wireless Information and Power Transfer Cognitive Radio System. IEEE Wirel. Commun. Lett. 2016, 5, 288–291. [Google Scholar] [CrossRef]
- Su, R.; Wang, Y.; Sun, R. Destination-assisted jamming for physical-layer security in SWIPT cognitive radio systems. In Proceedings of the 2018 IEEE Wireless Communications and Networking Conference (WCNC), Barcelona, Spain, 15–18 April 2018; pp. 1–6. [Google Scholar] [CrossRef]
- Haenggi, M. On distances in uniformly random networks. IEEE Trans. Inf. Theory 2005, 51, 3584–3586. [Google Scholar] [CrossRef]









Publisher’s Note: MDPI stays neutral with regard to jurisdictional claims in published maps and institutional affiliations. |
© 2021 by the authors. Licensee MDPI, Basel, Switzerland. This article is an open access article distributed under the terms and conditions of the Creative Commons Attribution (CC BY) license (https://creativecommons.org/licenses/by/4.0/).
Share and Cite
Tashman, D.; Hamouda, W. Cascaded κ-μ Fading Channels with Colluding and Non-Colluding Eavesdroppers: Physical-Layer Security Analysis. Future Internet 2021, 13, 205. https://doi.org/10.3390/fi13080205
Tashman D, Hamouda W. Cascaded κ-μ Fading Channels with Colluding and Non-Colluding Eavesdroppers: Physical-Layer Security Analysis. Future Internet. 2021; 13(8):205. https://doi.org/10.3390/fi13080205
Chicago/Turabian StyleTashman, Deemah, and Walaa Hamouda. 2021. "Cascaded κ-μ Fading Channels with Colluding and Non-Colluding Eavesdroppers: Physical-Layer Security Analysis" Future Internet 13, no. 8: 205. https://doi.org/10.3390/fi13080205
APA StyleTashman, D., & Hamouda, W. (2021). Cascaded κ-μ Fading Channels with Colluding and Non-Colluding Eavesdroppers: Physical-Layer Security Analysis. Future Internet, 13(8), 205. https://doi.org/10.3390/fi13080205

