Pharmacokinetic Evaluation of Neutral Sphinghomyelinase2 (nSMase2) Inhibitor Prodrugs in Mice and Dogs
Abstract
1. Introduction
2. Materials and Methods
2.1. Materials
2.2. Synthesis
2.3. Metabolic Stability Studies
2.4. Pharmacokinetic Studies in Mice
2.5. Pharmacokinetic Studies in Dogs
2.6. Bioanalysis
2.7. Pharmacokinetic Analysis
3. Results and Discussion
3.1. Chemistry
3.2. In Vitro Plasma Stability of DPTIP and Its Prodrugs
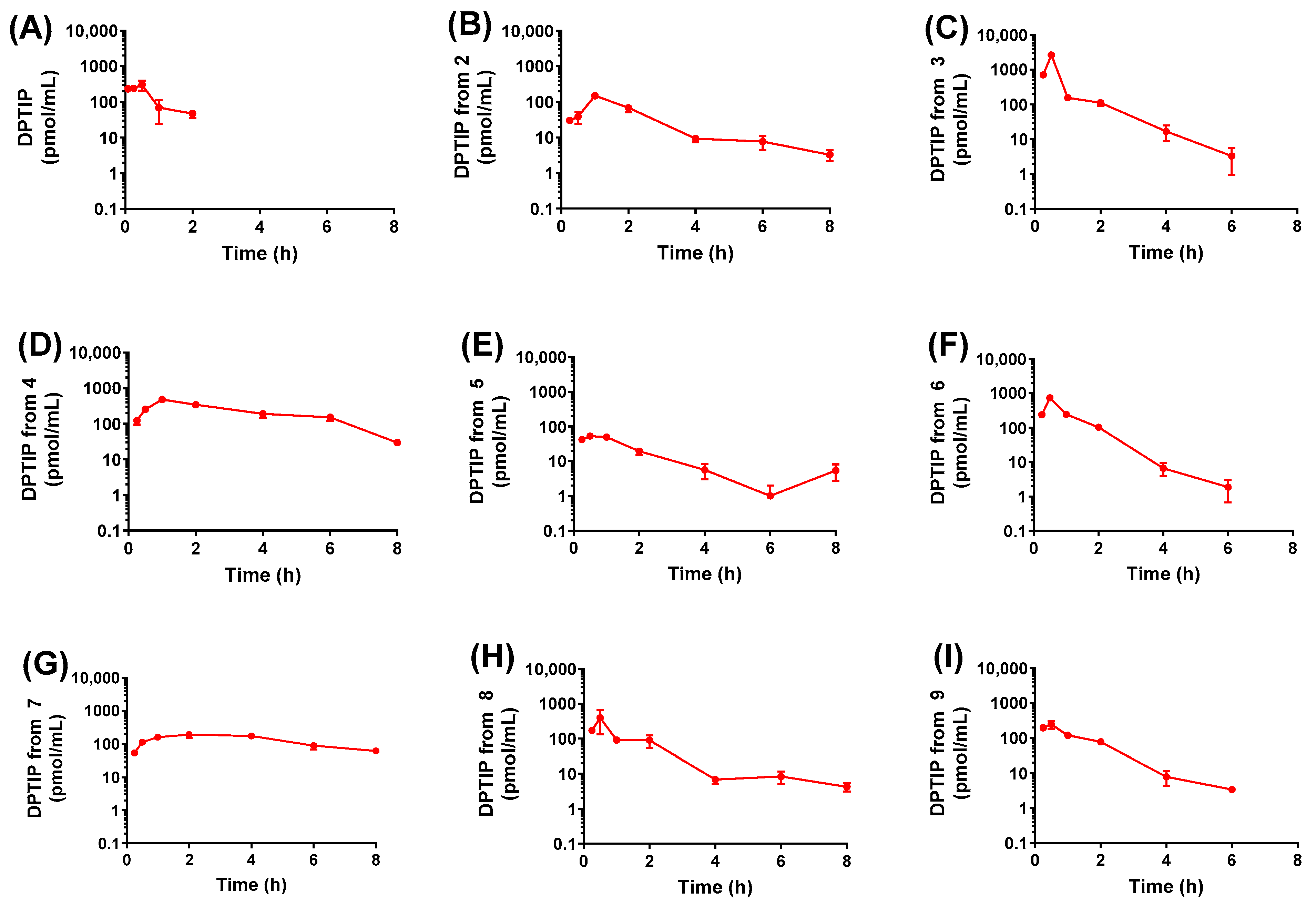
3.3. Ester and Phosphonate-Based Prodrugs Showed Improved Plasma Concentration in Mice
3.4. Double Valine Ester-Based Prodrug 9 Showed 2-Fold Increase in Oral Bioavailability Compared to DPTIP
4. Conclusions
Supplementary Materials
Author Contributions
Funding
Institutional Review Board Statement
Informed Consent Statement
Data Availability Statement
Conflicts of Interest
References
- Thakur, A.; Ke, X.; Chen, Y.W.; Motallebnejad, P.; Zhang, K.; Lian, Q.; Chen, H.J. The mini player with diverse functions: Extracellular vesicles in cell biology, disease, and therapeutics. Protein Cell 2022, 13, 631–654. [Google Scholar] [CrossRef]
- Yanez-Mo, M.; Siljander, P.R.; Andreu, Z.; Zavec, A.B.; Borras, F.E.; Buzas, E.I.; Buzas, K.; Casal, E.; Cappello, F.; Carvalho, J.; et al. Biological properties of extracellular vesicles and their physiological functions. J. Extracell. Vesicles 2015, 4, 27066. [Google Scholar] [CrossRef] [PubMed]
- Mir, B.; Goettsch, C. Extracellular Vesicles as Delivery Vehicles of Specific Cellular Cargo. Cells 2020, 9, 1601. [Google Scholar] [CrossRef]
- Bahram Sangani, N.; Gomes, A.R.; Curfs, L.M.G.; Reutelingsperger, C.P. The role of Extracellular Vesicles during CNS development. Prog. Neurobiol. 2021, 205, 102124. [Google Scholar] [CrossRef] [PubMed]
- Arraud, N.; Linares, R.; Tan, S.; Gounou, C.; Pasquet, J.M.; Mornet, S.; Brisson, A.R. Extracellular vesicles from blood plasma: Determination of their morphology, size, phenotype and concentration. J. Thromb. Haemost. 2014, 12, 614–627. [Google Scholar] [CrossRef]
- Herrera, M.B.; Fonsato, V.; Gatti, S.; Deregibus, M.C.; Sordi, A.; Cantarella, D.; Calogero, R.; Bussolati, B.; Tetta, C.; Camussi, G. Human liver stem cell-derived microvesicles accelerate hepatic regeneration in hepatectomized rats. J. Cell Mol. Med. 2010, 14, 1605–1618. [Google Scholar] [CrossRef] [PubMed]
- Thouverey, C.; Strzelecka-Kiliszek, A.; Balcerzak, M.; Buchet, R.; Pikula, S. Matrix vesicles originate from apical membrane microvilli of mineralizing osteoblast-like Saos-2 cells. J. Cell Biochem. 2009, 106, 127–138. [Google Scholar] [CrossRef] [PubMed]
- You, Y.; Borgmann, K.; Edara, V.V.; Stacy, S.; Ghorpade, A.; Ikezu, T. Activated human astrocyte-derived extracellular vesicles modulate neuronal uptake, differentiation and firing. J. Extracell. Vesicles 2020, 9, 1706801. [Google Scholar] [CrossRef]
- Schiera, G.; Di Liegro, C.M.; Di Liegro, I. Extracellular Membrane Vesicles as Vehicles for Brain Cell-to-Cell Interactions in Physiological as well as Pathological Conditions. Biomed. Res. Int. 2015, 2015, 152926. [Google Scholar] [CrossRef] [PubMed]
- Yuana, Y.; Sturk, A.; Nieuwland, R. Extracellular vesicles in physiological and pathological conditions. Blood Rev. 2013, 27, 31–39. [Google Scholar] [CrossRef]
- Hannun, Y.A.; Obeid, L.M. Sphingolipids and their metabolism in physiology and disease. Nat. Rev. Mol. Cell Biol. 2018, 19, 175–191. [Google Scholar] [CrossRef]
- Tallon, C.; Bell, B.J.; Malvankar, M.M.; Deme, P.; Nogueras-Ortiz, C.; Eren, E.; Thomas, A.G.; Hollinger, K.R.; Pal, A.; Mustapic, M.; et al. Inhibiting tau-induced elevated nSMase2 activity and ceramides is therapeutic in an Alzheimer’s disease mouse model. Transl. Neurodegener. 2023, 12, 56. [Google Scholar] [CrossRef] [PubMed]
- Tohumeken, S.; Deme, P.; Yoo, S.W.; Gupta, S.; Rais, R.; Slusher, B.S.; Haughey, N.J. Neuronal deletion of nSMase2 reduces the production of Abeta and directly protects neurons. Neurobiol. Dis. 2023, 177, 105987. [Google Scholar] [CrossRef]
- Insausti-Urkia, N.; Solsona-Vilarrasa, E.; Garcia-Ruiz, C.; Fernandez-Checa, J.C. Sphingomyelinases and Liver Diseases. Biomolecules 2020, 10, 1497. [Google Scholar] [CrossRef] [PubMed]
- Wu, B.X.; Rajagopalan, V.; Roddy, P.L.; Clarke, C.J.; Hannun, Y.A. Identification and characterization of murine mitochondria-associated neutral sphingomyelinase (MA-nSMase), the mammalian sphingomyelin phosphodiesterase 5. J. Biol. Chem. 2010, 285, 17993–18002. [Google Scholar] [CrossRef] [PubMed]
- Levy, M.; Castillo, S.S.; Goldkorn, T. nSMase2 activation and trafficking are modulated by oxidative stress to induce apoptosis. Biochem. Biophys. Res. Commun. 2006, 344, 900–905. [Google Scholar] [CrossRef]
- Mohammed, S.; Ren, J.; Ghandour, B.; Clarke, C.J.; Hannun, Y.A. Regulation and function of neutral sphingomyelinase 2. Phospholipases Physiol. Pathol. 2023, 1, 339–373. [Google Scholar]
- Wu, B.X.; Clarke, C.J.; Hannun, Y.A. Mammalian neutral sphingomyelinases: Regulation and roles in cell signaling responses. Neuromolecular Med. 2010, 12, 320–330. [Google Scholar] [CrossRef]
- Kalra, H.; Drummen, G.P.; Mathivanan, S. Focus on Extracellular Vesicles: Introducing the Next Small Big Thing. Int. J. Mol. Sci. 2016, 17, 170. [Google Scholar] [CrossRef] [PubMed]
- Alessenko, A.V.; Albi, E. Exploring Sphingolipid Implications in Neurodegeneration. Front. Neurol. 2020, 11, 437. [Google Scholar] [CrossRef]
- Lallemand, T.; Rouahi, M.; Swiader, A.; Grazide, M.H.; Geoffre, N.; Alayrac, P.; Recazens, E.; Coste, A.; Salvayre, R.; Negre-Salvayre, A.; et al. nSMase2 (Type 2-Neutral Sphingomyelinase) Deficiency or Inhibition by GW4869 Reduces Inflammation and Atherosclerosis in Apoe(-/-) Mice. Arterioscler. Thromb. Vasc. Biol. 2018, 38, 1479–1492. [Google Scholar] [CrossRef] [PubMed]
- Kosaka, N.; Iguchi, H.; Hagiwara, K.; Yoshioka, Y.; Takeshita, F.; Ochiya, T. Neutral sphingomyelinase 2 (nSMase2)-dependent exosomal transfer of angiogenic microRNAs regulate cancer cell metastasis. J. Biol. Chem. 2013, 288, 10849–10859. [Google Scholar] [CrossRef] [PubMed]
- Chiozzini, C.; Arenaccio, C.; Olivetta, E.; Anticoli, S.; Manfredi, F.; Ferrantelli, F.; d’Ettorre, G.; Schietroma, I.; Andreotti, M.; Federico, M. Trans-dissemination of exosomes from HIV-1-infected cells fosters both HIV-1 trans-infection in resting CD4(+) T lymphocytes and reactivation of the HIV-1 reservoir. Arch. Virol. 2017, 162, 2565–2577. [Google Scholar] [CrossRef]
- Yoo, S.W.; Waheed, A.A.; Deme, P.; Tohumeken, S.; Rais, R.; Smith, M.D.; DeMarino, C.; Calabresi, P.A.; Kashanchi, F.; Freed, E.O.; et al. Inhibition of neutral sphingomyelinase 2 impairs HIV-1 envelope formation and substantially delays or eliminates viral rebound. Proc. Natl. Acad. Sci. USA 2023, 120, e2219543120. [Google Scholar] [CrossRef]
- Huang, Y.; Li, Y.; Zhang, H.; Zhao, R.; Jing, R.; Xu, Y.; He, M.; Peer, J.; Kim, Y.C.; Luo, J.; et al. Zika virus propagation and release in human fetal astrocytes can be suppressed by neutral sphingomyelinase-2 inhibitor GW4869. Cell Discov. 2018, 4, 19. [Google Scholar] [CrossRef]
- Dai, J.; Feng, Y.; Liao, Y.; Tan, L.; Sun, Y.; Song, C.; Qiu, X.; Ding, C. Virus infection and sphingolipid metabolism. Antivir. Res. 2024, 228, 105942. [Google Scholar] [CrossRef]
- Tallon, C.; Hollinger, K.R.; Pal, A.; Bell, B.J.; Rais, R.; Tsukamoto, T.; Witwer, K.W.; Haughey, N.J.; Slusher, B.S. Nipping disease in the bud: nSMase2 inhibitors as therapeutics in extracellular vesicle-mediated diseases. Drug Discov. Today 2021, 26, 1656–1668. [Google Scholar] [CrossRef] [PubMed]
- Arenz, C.; Gartner, M.; Wascholowski, V.; Giannis, A. Synthesis and biochemical investigation of scyphostatin analogues as inhibitors of neutral sphingomyelinase. Bioorg Med. Chem. 2001, 9, 2901–2904. [Google Scholar] [CrossRef]
- Hakogi, T.; Taichi, M.; Katsumura, S. Synthesis of a nitrogen analogue of sphingomyelin as a sphingomyelinase inhibitor. Org. Lett. 2003, 5, 2801–2804. [Google Scholar] [CrossRef]
- Lee, D.H.; Kim, S.H.; Ahn, K.H.; Kim, S.K.; Choi, J.M.; Ji, J.E.; Won, J.H.; Park, Y.H.; Lim, C.; Kim, S.; et al. Identification and evaluation of neutral sphingomyelinase 2 inhibitors. Arch. Pharm. Res. 2011, 34, 229–236. [Google Scholar] [CrossRef] [PubMed]
- Uchida, R.; Tomoda, H.; Dong, Y.; Omura, S. Alutenusin, a specific neutral sphingomyelinase inhibitor, produced by Penicillium sp. FO-7436. J. Antibiot. 1999, 52, 572–574. [Google Scholar] [CrossRef] [PubMed]
- Skacel, J.; Slusher, B.S.; Tsukamoto, T. Small Molecule Inhibitors Targeting Biosynthesis of Ceramide, the Central Hub of the Sphingolipid Network. J. Med. Chem. 2021, 64, 279–297. [Google Scholar] [CrossRef]
- Figuera-Losada, M.; Stathis, M.; Dorskind, J.M.; Thomas, A.G.; Bandaru, V.V.; Yoo, S.W.; Westwood, N.J.; Rogers, G.W.; McArthur, J.C.; Haughey, N.J.; et al. Cambinol, a novel inhibitor of neutral sphingomyelinase 2 shows neuroprotective properties. PLoS ONE 2015, 10, e0124481. [Google Scholar] [CrossRef] [PubMed]
- Rojas, C.; Barnaeva, E.; Thomas, A.G.; Hu, X.; Southall, N.; Marugan, J.; Chaudhuri, A.D.; Yoo, S.W.; Hin, N.; Stepanek, O.; et al. DPTIP, a newly identified potent brain penetrant neutral sphingomyelinase 2 inhibitor, regulates astrocyte-peripheral immune communication following brain inflammation. Sci. Rep. 2018, 8, 17715. [Google Scholar] [CrossRef] [PubMed]
- Stepanek, O.; Hin, N.; Thomas, A.G.; Dash, R.P.; Alt, J.; Rais, R.; Rojas, C.; Slusher, B.S.; Tsukamoto, T. Neutral sphingomyelinase 2 inhibitors based on the 4-(1H-imidazol-2-yl)-2,6-dialkoxyphenol scaffold. Eur. J. Med. Chem. 2019, 170, 276–289. [Google Scholar] [CrossRef] [PubMed]
- Pal, A.; Gori, S.; Yoo, S.W.; Thomas, A.G.; Wu, Y.; Friedman, J.; Tenora, L.; Bhasin, H.; Alt, J.; Haughey, N.; et al. Discovery of Orally Bioavailable and Brain-Penetrable Prodrugs of the Potent nSMase2 Inhibitor DPTIP. J. Med. Chem. 2022, 65, 11111–11125. [Google Scholar] [CrossRef]
- Liederer, B.M.; Borchardt, R.T. Enzymes involved in the bioconversion of ester-based prodrugs. J. Pharm. Sci. 2006, 95, 1177–1195. [Google Scholar] [CrossRef] [PubMed]
- Yoshigae, Y.; Imai, T.; Aso, T.; Otagiri, M. Species differences in the disposition of propranolol prodrugs derived from hydrolase activity in intestinal mucosa. Life Sci. 1998, 62, 1231–1241. [Google Scholar] [CrossRef]
- Fu, J.; Pacyniak, E.; Leed, M.G.D.; Sadgrove, M.P.; Marson, L.; Jay, M. Interspecies Differences in the Metabolism of a Multiester Prodrug by Carboxylesterases. J. Pharm. Sci. 2016, 105, 989–995. [Google Scholar] [CrossRef] [PubMed][Green Version]
- Hu, Z.Y.; Li, X.X.; Du, F.F.; Yang, J.L.; Niu, W.; Xu, F.; Wang, F.Q.; Li, C.; Sun, Y. Pharmacokinetic evaluation of the anticancer prodrug simmitecan in different experimental animals. Acta Pharmacol. Sin. 2013, 34, 1437–1448. [Google Scholar] [CrossRef][Green Version]
- Jana, S.; Mandlekar, S.; Marathe, P. Prodrug design to improve pharmacokinetic and drug delivery properties: Challenges to the discovery scientists. Curr. Med. Chem. 2010, 17, 3874–3908. [Google Scholar] [CrossRef] [PubMed]
- Ettmayer, P.; Amidon, G.L.; Clement, B.; Testa, B. Lessons learned from marketed and investigational prodrugs. J. Med. Chem. 2004, 47, 2393–2404. [Google Scholar] [CrossRef] [PubMed]
- Tenora, L.; Alt, J.; Dash, R.P.; Gadiano, A.J.; Novotna, K.; Veeravalli, V.; Lam, J.; Kirkpatrick, Q.R.; Lemberg, K.M.; Majer, P.; et al. Tumor-Targeted Delivery of 6-Diazo-5-oxo-l-norleucine (DON) Using Substituted Acetylated Lysine Prodrugs. J. Med. Chem. 2019, 62, 3524–3538. [Google Scholar] [CrossRef]
- Zimmermann, S.C.; Tichy, T.; Vavra, J.; Dash, R.P.; Slusher, C.E.; Gadiano, A.J.; Wu, Y.; Jancarik, A.; Tenora, L.; Monincova, L.; et al. N-Substituted Prodrugs of Mebendazole Provide Improved Aqueous Solubility and Oral Bioavailability in Mice and Dogs. J. Med. Chem. 2018, 61, 3918–3929. [Google Scholar] [CrossRef] [PubMed]
- Dash, R.P.; Tichy, T.; Veeravalli, V.; Lam, J.; Alt, J.; Wu, Y.; Tenora, L.; Majer, P.; Slusher, B.S.; Rais, R. Enhanced Oral Bioavailability of 2-(Phosphonomethyl)-pentanedioic Acid (2-PMPA) from its (5-Methyl-2-oxo-1,3-dioxol-4-yl)methyl (ODOL)-Based Prodrugs. Mol. Pharm. 2019, 16, 4292–4301. [Google Scholar] [CrossRef] [PubMed]
- Rais, R.; Jancarik, A.; Tenora, L.; Nedelcovych, M.; Alt, J.; Englert, J.; Rojas, C.; Le, A.; Elgogary, A.; Tan, J.; et al. Discovery of 6-Diazo-5-oxo-l-norleucine (DON) Prodrugs with Enhanced CSF Delivery in Monkeys: A Potential Treatment for Glioblastoma. J. Med. Chem. 2016, 59, 8621–8633. [Google Scholar] [CrossRef] [PubMed]
- Jancarik, A.; Rais, R.; Alt, J.; Tenora, L.; Krecmerova, M.; Cheng, C.; Pommier, E.; Rojas, C.; Powell, J.; Majer, P. Novel lymphoid targeted prodrugs of the glutamine antagonist DON for the treatment of hematological malignancies. FASEB J. 2016, 30, lb472. [Google Scholar] [CrossRef]
- Bailer, A.J. Testing for the equality of area under the curves when using destructive measurement techniques. J. Pharmacokinet. Biopharm. 1988, 16, 303–309. [Google Scholar] [CrossRef]
- Rached, A.; Lattard, V.; Fafournoux, A.; Caruel, H.; Fourel, I.; Benoit, E.; Lefebvre, S. Comparative pharmacokinetics of difethialone stereoisomers in male and female rats and mice: Development of an intra- and inter-species model to predict the suitable formulation mix. Arch. Toxicol. 2022, 96, 535–544. [Google Scholar] [CrossRef] [PubMed]
- Soul-Lawton, J.; Seaber, E.; On, N.; Wootton, R.; Rolan, P.; Posner, J. Absolute bioavailability and metabolic disposition of valaciclovir, the L-valyl ester of acyclovir, following oral administration to humans. Antimicrob. Agents Chemother. 1995, 39, 2759–2764. [Google Scholar] [CrossRef] [PubMed]
- Landowski, C.P.; Song, X.; Lorenzi, P.L.; Hilfinger, J.M.; Amidon, G.L. Floxuridine amino acid ester prodrugs: Enhancing Caco-2 permeability and resistance to glycosidic bond metabolism. Pharm. Res. 2005, 22, 1510–1518. [Google Scholar] [CrossRef] [PubMed]
- Landowski, C.P.; Vig, B.S.; Song, X.; Amidon, G.L. Targeted delivery to PEPT1-overexpressing cells: Acidic, basic, and secondary floxuridine amino acid ester prodrugs. Mol. Cancer Ther. 2005, 4, 659–667. [Google Scholar] [CrossRef]
- Kumar, G.N.; Jayanti, V.K.; Johnson, M.K.; Uchic, J.; Thomas, S.; Lee, R.D.; Grabowski, B.A.; Sham, H.L.; Kempf, D.J.; Denissen, J.F.; et al. Metabolism and disposition of the HIV-1 protease inhibitor lopinavir (ABT-378) given in combination with ritonavir in rats, dogs, and humans. Pharm. Res. 2004, 21, 1622–1630. [Google Scholar] [CrossRef]
- Agarwal, S.; Boddu, S.H.; Jain, R.; Samanta, S.; Pal, D.; Mitra, A.K. Peptide prodrugs: Improved oral absorption of lopinavir, a HIV protease inhibitor. Int. J. Pharm. 2008, 359, 7–14. [Google Scholar] [CrossRef] [PubMed]
- Tsukamoto, T.; Hin, N.; Stepanek, O.; Slusher, B.; Rojas, C.; Thomas Ajit, G. Small Molecule Neutral Sphingomyelinase 2 (Nsmase2) Inhibitors. WO Patent 2020/160148 A1, 29 January 2020. [Google Scholar]
- Bahar, F.G.; Ohura, K.; Ogihara, T.; Imai, T. Species difference of esterase expression and hydrolase activity in plasma. J. Pharm. Sci. 2012, 101, 3979–3988. [Google Scholar] [CrossRef]
- Hecker, S.J.; Erion, M.D. Prodrugs of phosphates and phosphonates. J. Med. Chem. 2008, 51, 2328–2345. [Google Scholar] [CrossRef] [PubMed]
- Wang, W.; Fan, J.; Li, F.; Gan, S.; Zhang, J.; Wang, Y.; Li, Y.; Li, W.; He, Z.; Ding, H.; et al. Design, synthesis and evaluation of carbamate-bridged amino acid prodrugs of cycloicaritin with improved antitumor activity, aqueous solubility and phase II metabolic stability. Eur. J. Med. Chem. 2024, 276, 116646. [Google Scholar] [CrossRef]
- Vacondio, F.; Silva, C.; Mor, M.; Testa, B. Qualitative structure-metabolism relationships in the hydrolysis of carbamates. Drug Metab. Rev. 2010, 42, 551–589. [Google Scholar] [CrossRef] [PubMed]
- Akimoto, M.; Nagahata, N.; Furuya, A.; Fukushima, K.; Higuchi, S.; Suwa, T. Gastric pH profiles of beagle dogs and their use as an alternative to human testing. Eur. J. Pharm. Biopharm. 2000, 49, 99–102. [Google Scholar] [CrossRef]
- Riviere, J.E. Comparative Pharmacokinetics: Principles, Techniques and Applications; John Wiley & Sons: Hoboken, NJ, USA, 2011. [Google Scholar]
- Erlinger, S. Physiology of bile secretion and enterohepatic circulation. In Physiology of the Gastrointestinal Tract, 2nd ed.; Raven Press: New York ,NY, USA, 1987; pp. 1557–1580. [Google Scholar]
- Kaye, B.; Brearley, C.J.; Cussans, N.J.; Herron, M.; Humphrey, M.J.; Mollatt, A.R. Formation and pharmacokinetics of the active drug candoxatrilat in mouse, rat, rabbit, dog and man following administration of the prodrug candoxatril. Xenobiotica 1997, 27, 1091–1102. [Google Scholar] [CrossRef] [PubMed]
- Rojas, C.; Sala, M.; Thomas, A.G.; Datta Chaudhuri, A.; Yoo, S.W.; Li, Z.; Dash, R.P.; Rais, R.; Haughey, N.J.; Nencka, R.; et al. A novel and potent brain penetrant inhibitor of extracellular vesicle release. Br. J. Pharmacol. 2019, 176, 3857–3870. [Google Scholar] [CrossRef] [PubMed]
- Toutain, P.L.; Ferran, A.; Bousquet-Melou, A. Species differences in pharmacokinetics and pharmacodynamics. Handb. Exp. Pharmacol. 2010, 199, 19–48. [Google Scholar] [CrossRef]
- Lin, J.H. Species similarities and differences in pharmacokinetics. Drug Metab. Dispos. 1995, 23, 1008–1021. [Google Scholar]



| Compound | R | In Vitro Stability in Plasma (% Remaining at 60 min) Mean ± SEM (n = 3) | ||
|---|---|---|---|---|
| Mice | Dogs | Humans | ||
| DPTIP | ![]() | 103 ± 1.9 * | 100 ± 2.3 | 100 ± 5.0 |
| 2 | ![]() | 89.7 ± 2.5 * | 101± 2.7 | 89.9 ± 2.5 |
| 3 | ![]() | 13.8 ± 1.7 * | 62.9 ± 7.2 | 79.3 ± 1.4 |
| 4 | ![]() | 96.1 ± 6.5 * | 104 ± 7.9 | 101 ± 3.2 |
| 5 | ![]() | 59.9 ± 5.8 * | 49.5 ± 1.0 | 42.3 ± 2.1 |
| 6 | ![]() | 96.2 ± 8.2 * | 108 ± 5.2 | 93.3 ± 0.6 |
| 7 | ![]() | 91.6 ± 4.1 * | 94.7 ± 3.4 | 96.8 ± 1.8 |
| 8 | ![]() | 0 ± 0 | 0 ± 0 | 0 ± 0 |
| 9 | ![]() | 53.2 ± 5.1 | 76.3 ± 1.8 | 76.4 ± 1.4 |
| Compound | Dose (mg/kg) | Cmax (pmol/mL) | Tmax (h) | AUC0–t (pmol·h/mL) | t (1/2) (h) |
|---|---|---|---|---|---|
| DPTIP * | 10 | 307 ± 93.9 | 0.25 | 270 ± 64.3 | 0.46 |
| 2 * | 10 # | 149 ± 9.9 | 1 | 273 ± 36.8 | 1.4 |
| 3 | 10 # | 2636 ± 225 | 0.5 | 1491 ± 51.5 α | 0.59 |
| 4 | 10 # | 485 ± 52.3 | 1 | 1667 ± 145 α | 2.0 |
| 5 | 10 # | 56 ± 8.4 | 0.5 | 116 ± 16.6 | 0.98 |
| 6 | 10 # | 737 ± 60.5 | 1 | 616 ± 27.6 α | 0.62 |
| 7 * | 10 # | 191 ± 39.6 | 2 | 1047 ± 101 α | 2.7 |
| 8 | 10 # | 412 ± 248 | 0.5 | 368 ± 122 | 1.39 |
| 9 | 10 # | 249 ± 62.7 | 0.25 | 316 ± 67.3 | 0.81 |
| Compound | Dose (mg/kg) | Route | Cmax (pmol/mL) | Tmax (h) | AUC0–t (pmol·h/mL) | t1/2 (h) | % F |
|---|---|---|---|---|---|---|---|
| DPTIP | 1 | IV | 4796 * | NA | 7809 * | 3.71 | NA |
| DPTIP | 2 | PO | 190 | 0.5 | 701 | 3.74 | 8.97 |
| 2 | 2 # | PO | 5.3 | 2 | 68.6 | 5.2 | 0.87 |
| 3 | 2 # | PO | 15.2 | 0.5 | 127 | 1.96 | 1.62 |
| 4 | 2 # | PO | 11.2 | 2 | 106 | 9 | 1.35 |
| 6 | 2 # | PO | 60.0 | 0.5 | 484 | 3.88 | 6.19 |
| 7 | 2 # | PO | 64.4 | 2 | 693 | 8.12 | 8.87 |
| 8 | 2 # | PO | 68.0 | 1 | 520 | 4.19 | 6.66 |
| 9 | 2 # | PO | 219 | 1 | 1352 | 5.41 | 17.31 |
Disclaimer/Publisher’s Note: The statements, opinions and data contained in all publications are solely those of the individual author(s) and contributor(s) and not of MDPI and/or the editor(s). MDPI and/or the editor(s) disclaim responsibility for any injury to people or property resulting from any ideas, methods, instructions or products referred to in the content. |
© 2024 by the authors. Licensee MDPI, Basel, Switzerland. This article is an open access article distributed under the terms and conditions of the Creative Commons Attribution (CC BY) license (https://creativecommons.org/licenses/by/4.0/).
Share and Cite
Ranjit, A.; Lee, C.B.; Tenora, L.; Mettu, V.S.; Pal, A.; Alt, J.; Slusher, B.S.; Rais, R. Pharmacokinetic Evaluation of Neutral Sphinghomyelinase2 (nSMase2) Inhibitor Prodrugs in Mice and Dogs. Pharmaceutics 2025, 17, 20. https://doi.org/10.3390/pharmaceutics17010020
Ranjit A, Lee CB, Tenora L, Mettu VS, Pal A, Alt J, Slusher BS, Rais R. Pharmacokinetic Evaluation of Neutral Sphinghomyelinase2 (nSMase2) Inhibitor Prodrugs in Mice and Dogs. Pharmaceutics. 2025; 17(1):20. https://doi.org/10.3390/pharmaceutics17010020
Chicago/Turabian StyleRanjit, Arina, Chae Bin Lee, Lukáš Tenora, Vijaya Saradhi Mettu, Arindom Pal, Jesse Alt, Barbara S. Slusher, and Rana Rais. 2025. "Pharmacokinetic Evaluation of Neutral Sphinghomyelinase2 (nSMase2) Inhibitor Prodrugs in Mice and Dogs" Pharmaceutics 17, no. 1: 20. https://doi.org/10.3390/pharmaceutics17010020
APA StyleRanjit, A., Lee, C. B., Tenora, L., Mettu, V. S., Pal, A., Alt, J., Slusher, B. S., & Rais, R. (2025). Pharmacokinetic Evaluation of Neutral Sphinghomyelinase2 (nSMase2) Inhibitor Prodrugs in Mice and Dogs. Pharmaceutics, 17(1), 20. https://doi.org/10.3390/pharmaceutics17010020










