Binary and Ternary Inclusion Complexes of Niflumic Acid: Synthesis, Characterization, and Dissolution Profile
Abstract
1. Introduction
2. Materials and Methods
2.1. Materials
2.2. Phase Solubility Studies
2.3. Preparation of the Inclusion Complexes
2.3.1. Preparation of NA Binary and Ternary Inclusion Complexes
2.3.2. Preparation of the NAs’ Binary and Ternary Inclusion Complexes
2.4. Drug Content Quantification
2.5. Physicochemical Characterization of the Inclusion Complexes
2.5.1. Ultraviolet-Visible Spectroscopy (UV-Vis)
2.5.2. Fourier Transform Infrared Spectroscopy (FT-IR)
2.5.3. Differential Scanning Calorimetry (DSC)
2.5.4. Scanning Electronic Microscopy (SEM) and X-ray Powder Diffraction (XRD)
2.5.5. Dynamic Light Scattering (DLS)
2.5.6. Nuclear Magnetic Resonance Spectroscopy (NMR)
2.6. In Vitro Dissolution Studies
2.7. Statistical Analysis
3. Results and Discussions
3.1. Phase Solubility Studies
3.2. Drug Content Quantification
3.3. Physicochemical Characterization of the Inclusion Complexes
3.3.1. Fourier Transform Infrared Spectroscopy (FT-IR)
3.3.2. Differential Scanning Calorimetry (DSC)
3.3.3. Scanning Electronic Microscopy (SEM) and X-ray Powder Diffraction (XRD)
3.3.4. Dynamic Light Scattering (DLS)
3.3.5. Nuclear Magnetic Resonance Spectroscopy (NMR)
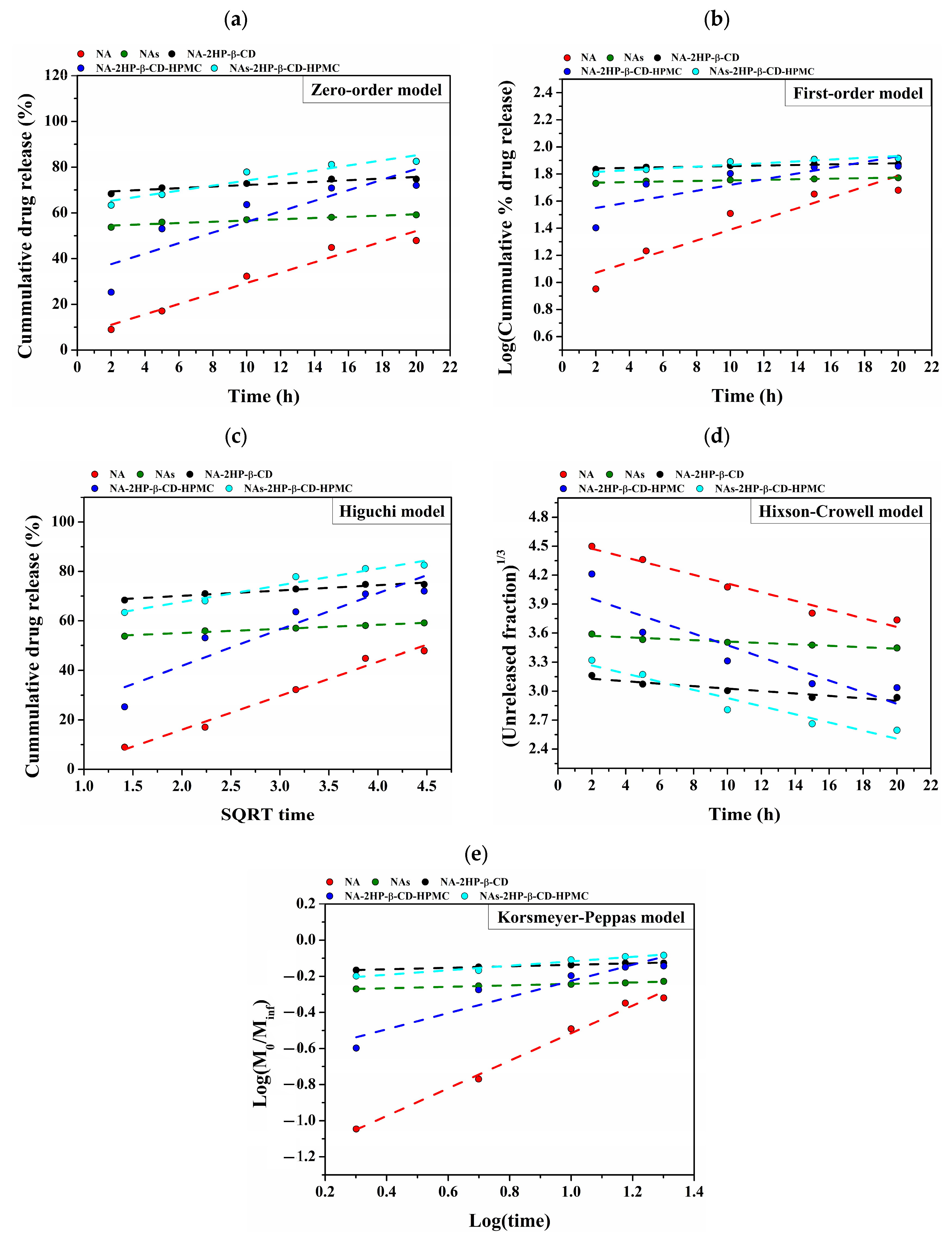
3.4. In Vitro Dissolution Studies
4. Conclusions
Author Contributions
Funding
Institutional Review Board Statement
Informed Consent Statement
Data Availability Statement
Conflicts of Interest
References
- Venkatesh, S.; Lipper, R.A. Role of the development scientist in compound lead selection and optimization. J. Pharm. Sci. 2000, 89, 145–154. [Google Scholar] [CrossRef]
- Pandey, S.P.; Shukla, T.; Dhote, V.K.; Mishra, D.K.; Maheshwari, R.; Tekade, R.K. Use of polymers in controlled release of active agents. In Advances in Pharmaceutical Product Development and Research, Basic Fundamentals of Drug Delivery; Tekade, R.K., Ed.; Academic Press: New York, NY, USA, 2019; pp. 113–172. [Google Scholar]
- Ambrus, R.; Radacsi, N.; Szunyogh, T.; van der Heijden, A.; ter Horst, J.; Szabó-Révész, P. Analysis of submicron-sized niflumic acid crystals prepared by electrospray crystallization. J. Pharm. Biomed. Anal. 2013, 76, 1–7. [Google Scholar] [CrossRef] [PubMed]
- Szunyogh, T.; Ambrus, R.; Szabó-Révész, P. Nanonization of niflumic acid by co-grinding. Adv. Nanoparticles 2013, 2, 329–335. [Google Scholar] [CrossRef]
- Bag, P.P.; Reddy, C.M. Screening and selective preparation of polymorphs by fast evaporation method: A case study of aspirin, anthranilic acid, and niflumic acid. Cryst. Growth Des. 2012, 12, 2740–2743. [Google Scholar] [CrossRef]
- Assas, N.; Elbahri, Z.; Baitiche, M.; Djerboua, F. Effects of some process parameters on the niflumic acid controlled release polymeric microspheres: Optimization using designs of experiments. Asia Pac. J. Chem. Eng. 2019, 14, e2283. [Google Scholar] [CrossRef]
- Acebedo-Martínez, F.J.; Alarcón-Payer, C.; Frontera, A.; Barbas, R.; Prohens, R.; Di Crisci, M.; Domínguez-Martín, A.; Gómez-Morales, J.; Choquesillo-Lazarte, D. Novel polymorphic cocrystals of the non-steroidal anti-inflammatory drug niflumic acid: Expanding the pharmaceutical landscape. Pharmaceutics 2021, 13, 2140. [Google Scholar] [CrossRef]
- Bashir, S.; Zafar, N.; Lebaz, N.; Mahmood, A.; Elaissari, A. Hydroxypropyl methylcellulose-based hydrogel copolymeric for controlled delivery of galantamine hydrobromide in dementia. Processes 2020, 8, 1350. [Google Scholar] [CrossRef]
- Lakkakula, J.; Macedo Krause, R.W.; Barage, S.; Joshi, A.; Patil, S.; Khan, A.A.; Roy, A. Exploring oral drug delivery: In vitro release and mathematical modeling of hydrophobic drug (Na-L-thyroxine) and its cyclodextrin inclusion complex in chitosan microparticles. Int. J. Biol. Macromol. 2024, 265, 131019. [Google Scholar] [CrossRef]
- Muankaew, C.; Loftsson, T. Cyclodextrin-based formulations: A non-invasive platform for targeted drug delivery. Basic Clin. Pharmacol. Toxicol. 2018, 122, 46–55. [Google Scholar] [CrossRef]
- Subramanian, E.; Anitha, G.; Selvam, M.K.; Badusha, M.I.A. Influence of β-cyclodextrin as an encapsule and as an inclusion complex dopant on conducting polyaniline. B Mater. Sci. 2005, 28, 55–61. [Google Scholar] [CrossRef]
- Sharma, N.; Baldi, A. Exploring versatile applications of cyclodextrins: An overview. Drug Deliv. 2016, 23, 729–747. [Google Scholar] [CrossRef] [PubMed]
- Singh, J.; Dhamija, I.; Meehenian, H.; Kumar, N.; Simran, S.; Muskan, M.; Verma, M.L.; Kumar, S. Chronicle updates in cyclodextrin-based carriers for drug delivery. Bull. Natl. Res. Cent. 2022, 46, 202. [Google Scholar] [CrossRef]
- Sung, Y.K.; Kim, S.W. Recent advances in polymeric drug delivery systems. Biomater. Res. 2020, 24, 12. [Google Scholar] [CrossRef]
- Gould, S.; Scott, R.C. 2-Hydroxypropyl-β-cyclodextrin (HP-β-CD): A toxicology review. Food Chem. Toxicol. 2005, 43, 1451–1459. [Google Scholar] [CrossRef] [PubMed]
- Nie, C.; Liang, Q.; Gao, Q. Preparation of Eudragit S100-pullulan/hydroxypropyl-β-cyclodextrin complex-Eudragit S100 multilayer nanofiber film for resveratrol colon delivery. Int. J. Biol. Macromol. 2024, 270, 132388. [Google Scholar] [CrossRef] [PubMed]
- Jambhekar, S.; Casella, R.; Maher, T. The physicochemical characteristics and bioavailability of indomethacin from β-cyclodextrin, hydroxyethyl-β-cyclodextrin, and hydroxypropyl-β-cyclodextrin complexes. Int. J. Pharm. 2004, 270, 149–166. [Google Scholar] [CrossRef]
- Del Valle, E.M. Cyclodextrins and their uses: A review. Process Biochem. 2004, 39, 1033–1046. [Google Scholar] [CrossRef]
- Spulber, M.; Pinteala, M.; Fifere, A.; Harabagiu, V.; Simionescu, B.C. Inclusion complexes of 5-flucytosine with β-cyclodextrin and hydroxypropyl-β-cyclodextrin: Characterization in aqueous solution and in solid state. J. Incl. Phenom. Macrocycl. Chem. 2008, 62, 117–125. [Google Scholar] [CrossRef]
- Loftsson, T.; Sigurdsson, H.H.; Másson, M.; Schipper, N. Preparation of solid drug/cyclodextrin complexes of acidic and basic drugs. Pharmazie 2004, 59, 25–29. [Google Scholar]
- Loftsson, T.; Hreinsdóttir, D.; Másson, M. The complexation efficiency. J. Incl. Phenom. Macrocycl. Chem. 2007, 57, 545–552. [Google Scholar] [CrossRef]
- Jacob, S.; Nair, A.B. Cyclodextrin complexes: Perspective from drug delivery and formulation. Drug Develop. Res. 2018, 79, 201–217. [Google Scholar] [CrossRef] [PubMed]
- Loh, G.O.K.; Tan, Y.T.F.; Peh, K.K. Effect of HPMC concentration on β-cyclodextrin solubilization of norfloxacin. Carbohydr. Polym. 2014, 101, 505–510. [Google Scholar] [CrossRef] [PubMed]
- Loftsson, T.; Másson, M. The effects of water-soluble polymers on cyclodextrins and cyclodextrin solubilization of drugs. J. Drug Deliv. Sci. Technol. 2004, 14, 35–43. [Google Scholar] [CrossRef]
- Moussa, E.; Siepmann, F.; Flament, M.P.; Benzine, Y.; Penz, F.; Siepmann, J.; Karrout, Y. Controlled release tablets based on HPMC:lactose blends. J. Drug Deliv. Sci. Technol. 2019, 52, 607–617. [Google Scholar] [CrossRef]
- Shamshad Malik, N.; Ahmad, M.; Minhas, M.U. Cross-linked β-cyclodextrin and carboxymethyl cellulose hydrogels for controlled drug delivery of acyclovir. PLoS ONE 2017, 12, e0172727. [Google Scholar]
- Li, Z.; Johnson, L.M.; Ricarte, R.G.; Yao, L.J.; Hillmyer, M.A.; Bates, F.S.; Lodge, T.P. Enhanced performance of blended polymer excipients in delivering a hydrophobic drug through the synergistic action of micelles and HPMCAS. Langmuir 2017, 33, 2837–2848. [Google Scholar] [CrossRef]
- Romero, S.; Escalera, B.; Bustamante, P. Solubility behavior of polymorphs I and II of mefenamic acid in solvent mixtures. Int. J. Pharm. 1999, 178, 193–202. [Google Scholar] [PubMed]
- Szunyogh, T.; Ambrus, R.; Szabó-Révész, P. Formation of niflumic acid particle size by solvent diffusion and solvent evaporation as precipitation methods. J. Drug Deliv. Sci. Technol. 2012, 22, 307–312. [Google Scholar] [CrossRef]
- Kawabata, Y.; Wada, K.; Nakatani, M.; Yamada, S.; Onoue, S. Formulation design for poorly water-soluble drugs based on biopharmaceutics classification system: Basic approaches and practical applications. Int. J. Pharm. 2011, 420, 1–10. [Google Scholar] [CrossRef]
- Jang, D.J.; Park, J.-S.; Ko, H.-R.; Jee, J.-P.; Kim, J.-K.; Kim, S.T.; Kim, C.-K. Simultaneous determination of niflumic acid and its prodrug, talniflumate in human plasma by high performance liquid chromatography. Biomed. Chromatogr. 2005, 19, 32–35. [Google Scholar] [CrossRef]
- Kang, W.; Kim, K. Determination of talniflumate and niflumic acid in human plasma by liquid chromatography-tandem mass spectrometry. Anal. Sci. 2009, 25, 571–574. [Google Scholar] [CrossRef] [PubMed]
- Lervolino, M.; Quaglia, F.; Miro, A.; Calignano, A.; Cappello, B. Reduced gastric toxicity of niflumic acid/cyclodextrin systems. J. Drug Deliv. Sci. Technol. 2004, 14, 93–96. [Google Scholar] [CrossRef]
- Terekhova, I.V.; Volkova, T.V.; Perlovich, G.L. Experimental analysis of complex formation of niflumic acid with β-Cyclodextrins. J. Incl. Phenom. Macrocycl. Chem. 2006, 55, 335–340. [Google Scholar] [CrossRef]
- Bogdan, M.; Caira, M.R.; Farcas, S.I. Inclusion of the niflumic acid anion in β-cyclodextrin: A solution NMR and X-ray structural investigation. Supramol. Chem. 2002, 14, 427–436. [Google Scholar] [CrossRef]
- Kata, M.; Ambrus, R.; Aigner, Z. Preparation and investigation of inclusion complexes containing nifluminic acid and cyclodextrins. J. Incl. Phenom. Macrocycl. Chem. 2002, 44, 123–126. [Google Scholar] [CrossRef]
- Redenti, E.; Szente, L.; Szejtli, J. Cyclodextrin complexes of salts of acidic drugs. Thermodynamic properties, structural features, and pharmaceutical applications. J. Pharm. Sci. 2001, 90, 979–986. [Google Scholar]
- Loftsson, T.; Brewster, M.E. Cyclodextrins as functional excipients: Methods to enhance complexation efficiency. J. Pharm. Sci. 2012, 101, 3019–3032. [Google Scholar] [CrossRef]
- Higuchi, T. Phase-solubility techniques. Adv. Anal. Chem. Instr. 1965, 4, 117–212. [Google Scholar]
- Jansook, P.; Loftsson, T. CDs as solubilizers: Effects of excipients and competing drugs. Int. J. Pharm. 2009, 379, 32–40. [Google Scholar] [CrossRef]
- Loftsson, T.; Hreinsdóttir, D.; Masson, M. Evaluation of cyclodextrin solubilization of drugs. Int. J. Pharm. 2005, 302, 18–28. [Google Scholar] [CrossRef]
- Yurtdaş, G.; Demirel, M.; Genç, L. Inclusion complexes of fluconazole with β-cyclodextrin: Physicochemical characterization and in vitro evaluation of its formulation. J. Incl. Phenom. Macrocycl. Chem. 2011, 70, 429–435. [Google Scholar] [CrossRef]
- Agüeros, M.; Ruiz-Gatón, L.; Vauthier, C.; Bouchemal, K.; Espuelas, S.; Ponchel, G.; Irache, J.M. Combined hydroxypropyl-β-cyclodextrin and poly (anhydride) nanoparticles improve the oral permeability of paclitaxel. Eur. J. Pharm. Sci. 2009, 38, 405–413. [Google Scholar] [CrossRef]
- Loftsson, T.; Brewster, M.E. Pharmaceutical applications of cyclodextrins. 1. Drug solubilization and stabilization. J. Pharm. Sci. 1996, 85, 1017–1025. [Google Scholar] [CrossRef] [PubMed]
- Melnik, M.; Maca’skova, L.; Holloway, C.E. Spectroscopic and magnetic properties of copper (II) niflumates. J. Coord. Chem. 1993, 30, 145–150. [Google Scholar] [CrossRef]
- Gholibegloo, E.; Mortezazadeh, T.; Salehian, F.; Ramazani, A.; Amanlou, M.; Khoobi, M. Improved curcumin loading, release, solubility and toxicity by tuning the molar ratio of cross-linker to β-cyclodextrin. Carbohydr. Polym. 2019, 213, 70–78. [Google Scholar] [CrossRef]
- United States Pharmacopeial Convention. USP 33 NF 28: United States Pharmacopeia [and] National Formulary. Reissue. Supplement 2.a; United States Pharmacopeial Convention: Rockville, MD, USA, 2010. [Google Scholar]
- Craciun, B.-F.; Sandu, I.A.; Peptanariu, D.; Pinteala, M. Novel nanotherapeutic systems based on pegylated squalene micelles for enhanced in vitro activity of methotrexate and cytarabine. Polymers 2023, 15, 4225. [Google Scholar] [CrossRef] [PubMed]
- Sid, D.; Baitiche, M.; Elbahri, Z.; Djerboua, F.; Boutahala, M.; Bouaziz, Z.; Le Borgne, M. Solubility enhancement of mefenamic acid by inclusion complex with β-cyclodextrin: In silico modelling, formulation, characterisation, and in vitro studies. J. Enzyme Inhib. Med. Chem. 2021, 36, 605–617. [Google Scholar] [CrossRef]
- Rudrangi, S.R.S.; Bhomia, R.; Trivedi, V.; Vine, G.J.; Mitchell, J.C.; Alexander, B.D.; Wicks, S.R. Influence of the preparation method on the physicochemical properties of indomethacin and methyl-β-cyclodextrin complexes. Int. J. Pharm. 2015, 479, 381–390. [Google Scholar] [CrossRef]
- Hirlekar, R.S.; Sonawane, S.N.; Kadam, V.J. Studies on the effect of water-soluble polymers on drug–cyclodextrin complex solubility. AAPS Pharm. Sci. Tech. 2009, 10, 858–863. [Google Scholar] [CrossRef]
- Kim, Y.; Oksanen, D.A.; Massefski, W.; Blake, J.F.; Duffy, E.M.; Chrunyk, B. Inclusion complexation of ziprasidone mesylate with beta-cyclodextrin sulfobutyl ether. J. Pharm. Sci. 1998, 87, 1560–1567. [Google Scholar] [CrossRef]
- Rama, A.C.R.; Veiga, F.; Figueiredo, I.V.; Sousa, A.; Caramona, M. Aspectos biofarmacêuticos da formulação de medicamentos para neonatos: Fundamentos da complexação de indometacina com hidroxipropil-beta-ciclodextrina para tratamento oral do fechamento do canal arterial. Braz. J. Pharm. Sci. 2005, 41, 281–299. [Google Scholar] [CrossRef][Green Version]
- Goh, S.Q.; Adnan, R.; Rahim, N.Y. Mini review on synthesis and characterization methods for ternary inclusion complexes of cyclodextrins with drugs. Malays. J. Chem. 2022, 24, 54–72. [Google Scholar]
- Balci, K.; Akkaya, Y.; Akyuz, S. An experimental and theoretical vibrational spectroscopic study on niflumic acid, a non-steroidal anti-inflammatory drug. Vib. Spectrosc. 2010, 53, 239–247. [Google Scholar] [CrossRef]
- Paduraru, O.M.; Bosinceanu, A.; Tantaru, G.; Vasile, C. Effect of Hydroxypropyl-β-Cyclodextrin on the Solubility of an Antiarrhythmic. Agent. Ind. Eng. Chem. Res. 2013, 52, 2174–2181. [Google Scholar] [CrossRef]
- Ahad, A.; Bin Jardan, Y.A.; Raish, M.; Al-Mohizea, A.M.; Al-Jenoobi, F.I. Ternary inclusion complex of sinapic acid with hydroxypropyl-β-cyclodextrin and hydrophilic polymer prepared by microwave. Processes 2022, 10, 2637. [Google Scholar] [CrossRef]
- Sherje, A.P.; Patel, F.; Murahari, M.; Suvarna, V.; Patel, K. Study on effect of L-arginine on solubility and dissolution of Zaltoprofen: Preparation and characterization of binary and ternary cyclodextrin inclusion complexes. Chem. Phys. Lett. 2018, 694, 120–128. [Google Scholar] [CrossRef]
- da Silva Mourao, L.C.; Ribeiro Batista, D.R.M.; Braga Honorato, S.; Ayala, A.P.; de Alencar Morais, W.; Barbosa, E.G.; Nervo Raffin, F.; Accioly de Lima e Moura, T.F. Effect of hydroxypropyl methylcellulose on beta cyclodextrin complexation of praziquantel in solution and in solid state. J. Incl. Phenom. Macrocycl. Chem. 2016, 85, 151–160. [Google Scholar] [CrossRef]
- Cozma, V.; Rosca, I.; Radulescu, L.; Martu, C.; Nastasa, V.; Varganici, C.-D.; Ursu, E.-L.; Doroftei, F.; Pinteala, M.; Racles, C. Antibacterial polysiloxane polymers and coatings for cochlear implants. Molecules 2021, 26, 4892. [Google Scholar] [CrossRef]
- Uritu, C.M.; Varganici, C.D.; Ursu, L.; Coroaba, A.; Nicolescu, A.; Dascalu, A.I.; Peptanariu, D.; Stan, D.; Constantinescu, C.A.; Simion, V.; et al. Hybrid fullerene conjugates as vectors for DNA cell-delivery. J. Mater. Chem. B 2015, 3, 2433–2446. [Google Scholar] [CrossRef]
- Varganici, C.-D.; Ursache, O.; Gaina, C.; Gaina, V.; Simionescu, B.C. Studies on new hybrid materials prepared by both Diels–Alder and Michael addition reactions. J. Therm. Anal. Calorim. 2013, 111, 1561–1570. [Google Scholar] [CrossRef]
- Ştiubianu, G.; Soroceanu, A.; Varganici, C.-D.; Tugui, C.; Cazacu, M. Dielectric elastomers based on silicones filled with transitional metal complexes. Compos. B Eng. 2016, 93, 236–243. [Google Scholar] [CrossRef][Green Version]
- Jadhav, P.; Pore, Y. Physicochemical, thermodynamic and analytical studies on binary and ternary inclusion complexes of bosentan with hydroxypropyl-β-cyclodextrin. Bull. Fac. Pharm. Cairo Univ. 2017, 55, 147–154. [Google Scholar] [CrossRef]
- Minea, B.; Marangoci, N.; Peptanariu, D.; Rosca, I.; Nastasa, V.; Corciova, A.; Varganici, C.; Nicolescu, A.; Fifere, A.; Neamtu, A.; et al. Inclusion complexes of propiconazole nitrate with substituted β-cyclodextrins: The synthesis and in silico and in vitro assessment of their antifungal properties. New J. Chem. 2016, 40, 1765–1776. [Google Scholar] [CrossRef]
- Mura, P. Analytical techniques for characterization of cyclodextrin complexes in the solid state: A review. J. Pharm. Biomed. Anal. 2015, 113, 226–238. [Google Scholar] [CrossRef] [PubMed]
- Grebogi, I.H.; Tibola, A.P.O.V.; Barison, A.; Grandizoli, C.W.P.S.; Ferraz, H.G.; Rodrigues, L.N.C. Binary and ternary inclusion complexes of dapsone in cyclodextrins and polymers: Preparation, characterization and evaluation. J. Incl. Phenom. Macrocycl. Chem. 2012, 73, 467–474. [Google Scholar] [CrossRef]
- Corciova, A.; Ciobanu, C.; Poiata, A.; Nicolescu, A.; Drobota, M.; Varganici, C.D.; Pinteala, T.; Fifere, A.; Marangoci, N.; Mircea, C. Inclusion complexes of hesperidin with hydroxypropyl-β-cyclodextrin. Physico-chemical characterization and biological assessment. Dig. J. Nanomater. Biostruct. 2014, 9, 1623–1637. [Google Scholar]
- Vasincu, I.M.; Apotrosoaei, M.; Lupascu, F.; Iacob, A.-T.; Giusca, S.-E.; Caruntu, I.-D.; Marangoci, N.-L.; Petrovici, A.R.; Stanciu, G.D.; Tamba, B.-I.; et al. Complexes of ibuprofen thiazolidin-4-one derivatives with β-cyclodextrin: Characterization and in vivo release profile and biological evaluation. Pharmaceutics 2023, 15, 2492. [Google Scholar] [CrossRef]
- Varganici, C.-D.; Marangoci, N.; Rosu, L.; Barbu-Mic, C.; Rosu, D.; Pinteala, M.; Simionescu, B.C. TGA/DTA–FTIR–MS coupling as analytical tool for confirming inclusion complexes occurrence in supramolecular host–guest architectures. J. Anal. Appl. Pyrolysis 2015, 115, 132–142. [Google Scholar] [CrossRef]
- Tundisi, L.; Mostaço, G.B.; Carricondo, P.C.; Petri, D.F.S. Hydroxypropyl methylcellulose: Physico-chemical properties and ocular drug delivery formulations. Eur. J. Pharm. Sci. 2021, 159, 105736. [Google Scholar] [CrossRef]
- Hładon, T.; Cwiertnia, B. Physical and chemical interactions between cellulose ethers and β-cyclodextrins. Pharmazie 1994, 49, 497–500. [Google Scholar]
- Radacsi, N.; Giapis, K.P.; Ovari, G.; Szabó-Révész, P.; Ambrus, R. Electrospun nanofiber-based niflumic acid capsules with superior physicochemical properties. J. Pharm. Biomed. Anal. 2019, 166, 371–378. [Google Scholar] [CrossRef]
- Ryzhakov, A.; Thi, T.D.; Stappaerts, J.; Bertoletti, L.; Kimpe, K.; Sá Couto, A.R.; Saokham, P.; Van denMooter, G.; Augustijns, P.; Somsen, G.W.; et al. Self-assembly of cyclodextrins and their complexes in aqueous solutions. J. Pharm. Sci. 2016, 105, 2556–2569. [Google Scholar] [CrossRef] [PubMed]
- Messner, M.; Kurkov, S.V.; Maraver Palazón, M.; Álvarez Fernández, B.; Brewster, M.E.; Loftsson, T. Self-assembly of cyclodextrin complexes: Effect of temperature, agitation and media composition on aggregation. Int. J. Pharm. 2011, 419, 322–328. [Google Scholar] [CrossRef]
- He, J.; Chen, H.-Y.; Chen, H.; Wang, B.; Guo, F.; Zheng, Z.-P. Characterization, stability, and antibrowning effects of oxyresveratrol cyclodextrin complexes combined use of hydroxypropyl methylcellulose. Foods 2022, 11, 2471. [Google Scholar] [CrossRef] [PubMed]
- Kotronia, M.; Kavetsou, E.; Loupassaki, S.; Kikionis, S.; Vouyiouka, S.; Detsi, A. Encapsulation of oregano (Origanum onites L.) essential oil in β-cyclodextrin (β-CD): Synthesis and characterization of the inclusion complexes. Bioengineering 2017, 4, 74. [Google Scholar]
- Djedaïni, F.; Perly, B. Nuclear magnetic resonance investigation of the stoichiometries in β-cyclodextrin: Steroid inclusion complexes. J. Pharm. Sci. 1991, 80, 1157–1161. [Google Scholar] [CrossRef] [PubMed]
- Inoue, Y. NMR studies of the structure and properties of cyclodextrins and their inclusion complexes. Annu. Rep. NMR Spectrosc. 1993, 27, 59–101. [Google Scholar]
- Soares, L.A.; Vasconcelos Borges Leal, A.F.; Fernandes Fraceto, L.; Elaine, R.M.; Sabioni Resck, I.; Massuo, J.K.; de Sousa Gil, E.; de Sousa, A.R.; da Cunha, L.C.; Rezende, K.R. Host–guest system of 4-nerolidylcatechol in 2-hydroxypropyl-β-cyclodextrin: Preparation, characterization and molecular modeling. J. Incl. Phenom. Macrocycl. Chem. 2009, 64, 23–35. [Google Scholar] [CrossRef]
- Van Axel Castelli, V.; Trivieri, G.; Zucchelli, I.; Brambilla, L.; Barbuzzi, T.; Castiglioni, C.; Paci, M.; Zerbi, G.; Zanol, M. Characterisation of an inclusion complex between cladribine and 2-hydroxypropyl-betacyclodextrin. J. Pharm. Sci. 2008, 97, 3897–3906. [Google Scholar] [CrossRef]
- Chen, M.; Diao, G.; Zhang, E. Study of inclusion complex of β-cyclodextrin and nitrobenzene. Chemosphere 2006, 63, 522–529. [Google Scholar] [CrossRef]
- Herman, J.; Remon, J.P.; Lefebvre, R.; Bogaert, M.; Klinger, G.H.; Schwartz, J.B. The dissolution rate and bioavailability of hydrochlorothiazide in pellet formulations. J. Pharm. Pharmacol. 1988, 40, 157–160. [Google Scholar] [CrossRef] [PubMed]
- Chen, C.-Y.; Chen, F.-A.; Wu, A.-B.; Hsu, H.-C.; Kang, J.-J.; Cheng, H.-W. Effect of hydroxypropyl-β-cyclodextrin on the solubility, photostability and in-vitro permeability of alkannin/shikonin enantiomers. Int. J. Pharm. 1996, 141, 171–178. [Google Scholar] [CrossRef]
- Shah, M.; Pore, Y.; Dhawale, S.; Burade, K.; Kuchekar, B. Physicochemical characterization of spray dried ternary micro-complexes of cefuroxime axetil with hydroxypropyl-β-cyclodextrin. J. Incl. Phenom. Macrocycl. Chem. 2013, 76, 391–401. [Google Scholar] [CrossRef]
- Soe, H.M.H.; Chamni, S.; Mahalapbutr, P.; Kongtaworn, N.; Rungrotmongkol, T.; Jansook, P. The investigation of binary and ternary sulfobutylether-β-cyclodextrin inclusion complexes with asiaticoside in solution and in solid state. Carbohyd. Res. 2020, 498, 108190. [Google Scholar] [CrossRef]
- Jug, M.; Bećirević-Laćan, M. Multicomponent complexes of piroxicam with cyclodextrins and hydroxypropyl methylcellulose. Drug Dev. Ind. Pharm. 2004, 30, 1051–1060. [Google Scholar] [CrossRef]
- Korsmeyer, R.W.; Gurny, R.; Doelker, E.; Buri, P.; Peppas, N.A. Mechanisms of solute release from porous hydrophilic polymers. Int. J. Pharm. 1983, 15, 25–35. [Google Scholar] [CrossRef]
- Unagolla, J.M.; Jayasuriya, A.C. Drug transport mechanisms and in vitro release kinetics of vancomycin encapsulated chitosan-alginate polyelectrolyte microparticles as a controlled drug delivery system. Eur. J. Pharm. Sci. 2018, 114, 199–209. [Google Scholar] [CrossRef]












| System | S0 (M) | Slope ± SD | Ks (M−1) ± SD | CE ± SD | R2 |
|---|---|---|---|---|---|
| NA-2HP-β-CD | 0.00014 | 0.00786 ± 0.0004 | 55.29 ± 2.86 | 0.0079 ± 0.0004 | 0.98807 |
| NA-2HP-β-CD-HPMC | 0.00014 | 0.00868 ± 0.0007 | 62.54 ± 5.00 | 0.0087 ± 0.0007 | 0.96595 |
| NAs-2HP-β-CD | 0.00810 | 0.16155 ± 0.0209 | 23.79 ± 2.63 | 0.19 ± 0.021 | 0.92233 |
| NAs-2HP-β-CD-HPMC | 0.00810 | 0.54571 ± 0.0099 | 148.30 ± 1.23 | 1.2 ± 0.01 | 0.99934 |
| Complex | Drug Content (%) ± SD | Drug (mg) in 10 mg Complex ± SD |
|---|---|---|
| NA-2HP-β-CD | 0.67% ± 0.03% | 0.067 ± 1.91 |
| NA-2HP-β-CD-HPMC | 1.29% ± 0.04% | 0.129 ± 1.76 |
| NAs-2HP-β-CD-HPMC | 12.40% ± 0.08% | 1.24 ± 2.65 |
| Proton | δ (Free) | δ (NA-2HP-β-CD) | Δδ | δ (NA-2HP-β-CD-HPMC) | Δδ | δ (NAs-2HP-β-CD-HPMC) | Δδ |
|---|---|---|---|---|---|---|---|
| NA | |||||||
| H-2 | 8.01 | 8.30–8.32 | 0.29–0.31 | 8.30–8.32 | 0.29–0.31 | 8.27–8.30 | 0.26–0.29 |
| H-3 | 6.97 | 7.01 | 0.04 | 7.01 | 0.04 | 6.99 | 0.02 |
| H-4 | 8.37 | 8.30–8.32 | −0.07–−0.05 | 8.30–8.32 | −0.07–−0.05 | 8.27–8.30 | −0.1–−0.07 |
| H-8 | 7.56 | 7.39 | −0.17 | 7.39 | −0.17 | 7.39 | −0.17 |
| H-9 | 7.61 | 7.72 | 0.11 | 7.71 | 0.10 | 7.67 | 0.06 |
| H-10 | 7.66 | 8.12 | 0.46 | 8.12 | 0.46 | 8.02 | 0.36 |
| H-12 | 7.89 | 8.01 | 0.12 | 8.00 | 0.11 | 7.97 | 0.08 |
| Sample | Zero-Order | First-Order | Higuchi | Hixson–Crowell | Korsmeyer–Peppas | ||||||
|---|---|---|---|---|---|---|---|---|---|---|---|
| R2 | K0 | R2 | Kt | R2 | KH | R2 | k | R2 | k | n | |
| NA | 0.96 | 2.28 | 0.88 | −0.09 | 0.98 | 13.71 | 0.97 | −0.045 | 0.98 | 0.06 | 0.705 |
| NAs | 0.94 | 0.27 | 0.93 | −0.005 | 0.98 | 1.55 | 0.94 | −0.007 | 0.99 | 0.52 | 0.041 |
| NA-2HP-β-CD | 0.89 | 0.35 | 0.88 | −0.005 | 0.96 | 2.16 | 0.90 | −0.013 | 0.99 | 0.66 | 0.041 |
| NA-2HP-β-CD-HPMC | 0.77 | 2.31 | 0.67 | −0.05 | 0.87 | 14.64 | 0.83 | −0.060 | 0.90 | 0.21 | 0.446 |
| NAs-2HP-β-CD-HPMC | 0.90 | 1.10 | 0.89 | −0.01 | 0.96 | 6.74 | 0.93 | −0.042 | 0.97 | 0.57 | 0.124 |
Disclaimer/Publisher’s Note: The statements, opinions and data contained in all publications are solely those of the individual author(s) and contributor(s) and not of MDPI and/or the editor(s). MDPI and/or the editor(s) disclaim responsibility for any injury to people or property resulting from any ideas, methods, instructions or products referred to in the content. |
© 2024 by the authors. Licensee MDPI, Basel, Switzerland. This article is an open access article distributed under the terms and conditions of the Creative Commons Attribution (CC BY) license (https://creativecommons.org/licenses/by/4.0/).
Share and Cite
Bouchekhou, Z.; Hadj Ziane-Zafour, A.; Lupascu, F.G.; Profire, B.-Ș.; Nicolescu, A.; Bostiog, D.-I.; Doroftei, F.; Dascalu, I.-A.; Varganici, C.-D.; Pinteala, M.; et al. Binary and Ternary Inclusion Complexes of Niflumic Acid: Synthesis, Characterization, and Dissolution Profile. Pharmaceutics 2024, 16, 1190. https://doi.org/10.3390/pharmaceutics16091190
Bouchekhou Z, Hadj Ziane-Zafour A, Lupascu FG, Profire B-Ș, Nicolescu A, Bostiog D-I, Doroftei F, Dascalu I-A, Varganici C-D, Pinteala M, et al. Binary and Ternary Inclusion Complexes of Niflumic Acid: Synthesis, Characterization, and Dissolution Profile. Pharmaceutics. 2024; 16(9):1190. https://doi.org/10.3390/pharmaceutics16091190
Chicago/Turabian StyleBouchekhou, Zohra, Amel Hadj Ziane-Zafour, Florentina Geanina Lupascu, Bianca-Ștefania Profire, Alina Nicolescu, Denisse-Iulia Bostiog, Florica Doroftei, Ioan-Andrei Dascalu, Cristian-Dragoș Varganici, Mariana Pinteala, and et al. 2024. "Binary and Ternary Inclusion Complexes of Niflumic Acid: Synthesis, Characterization, and Dissolution Profile" Pharmaceutics 16, no. 9: 1190. https://doi.org/10.3390/pharmaceutics16091190
APA StyleBouchekhou, Z., Hadj Ziane-Zafour, A., Lupascu, F. G., Profire, B.-Ș., Nicolescu, A., Bostiog, D.-I., Doroftei, F., Dascalu, I.-A., Varganici, C.-D., Pinteala, M., Profire, L., Pinteala, T., & Bouzid, B. (2024). Binary and Ternary Inclusion Complexes of Niflumic Acid: Synthesis, Characterization, and Dissolution Profile. Pharmaceutics, 16(9), 1190. https://doi.org/10.3390/pharmaceutics16091190

