Abstract
Epinephrine autoinjectors (EAIs) are used for the treatment of severe allergic reactions in a community setting; however, their utility is limited by low prescription fulfillment rates, failure to carry, and failure to use due to fear of needles. Given that delayed administration of epinephrine is associated with increased morbidity/mortality, there has been a growing interest in developing needle-free, easy-to-use delivery devices. neffy (epinephrine nasal spray) consists of three Food and Drug Administration (FDA)-approved components: epinephrine, Intravail A3 (absorption enhancer), and a Unit Dose Spray (UDS). neffy’s development pathway was established in conjunction with the FDA and the European Medicines Agency and included multiple clinical trials to evaluate pharmacokinetic and pharmacodynamic responses under a variety of conditions, such as self-administration and allergic and infectious rhinitis, as well as an animal anaphylaxis model of severe hypotension, where neffy demonstrated a pharmacokinetic profile that is within the range of approved injection products and a pharmacodynamic response that is as good or better than injections. The increased pulse rate (PR) and blood pressure (BP) observed even one minute following the administration of neffy confirm the activation of α and β adrenergic receptors, which are the key components of epinephrine’s mechanism of action. The results suggest that neffy will provide a safe and effective needle-free option for the treatment of severe allergic reactions, including anaphylaxis.
1. Introduction
There is a growing interest in using intranasal (IN) administration to administer a variety of therapeutics, particularly for out-of-hospital use. In addition to being much less invasive, IN administration offers multiple advantages over other routes of administration, including ease of use, rapid absorption, and avoidance of pain typically associated with intravenous (IV) or intramuscular (IM) injection. Needle-free delivery options are particularly beneficial for children, who are more likely to be “needle-phobic”. A range of medications, including midazolam, diazepam, fentanyl, naloxone, ketamine, and dexmedetomidine, among others, are routinely administered intranasally for a variety of indications [1,2,3,4,5,6,7,8,9].
The vast majority of severe Type I allergic reactions occur in out-of-hospital settings, and the immediate administration of epinephrine is the only universally recommended first-line treatment [10,11,12]. Antihistamine and corticosteroid agents are considered second-line treatment for anaphylaxis, given their slow onset of action and inability to stabilize or prevent mast cell degranulation or to target additional mediators of anaphylaxis, which is the essential physiologic effects of epinephrine [10]. Although epinephrine autoinjectors (EAIs) are the most commonly prescribed products for community-based epinephrine therapy, fewer than half of patients at risk for severe allergic reactions (including anaphylaxis) actually carry the products with them on a regular basis, and those that do often delay use during a severe Type I allergic reaction [13,14]. Failed or delayed treatment is associated with significant increases in the risks of biphasic reactions, hospitalization, and death [14,15,16,17,18,19]. The primary reason cited for failed/delayed treatment is needle-phobia [13,14,20].
Low utilization rates, particularly in light of the serious adverse outcomes associated with failed/delayed treatment, represent a significant unmet medical need for patients at risk for severe allergic reactions, including anaphylaxis. To address these needs, ARS Pharmaceuticals, Inc. (ARS) is developing an epinephrine nasal spray, neffy, which is currently under review by the United States (US) Food and Drug Administration (FDA) and the European Medicines Agency (EMA). This report provides an introduction to neffy, including its development strategy and a review of published clinical data.
2. neffy Product Information
neffy (epinephrine nasal spray) is a combination of three FDA-approved components, including (1) epinephrine, the active ingredient; (2) Intravail (dodecylmaltoside [DDM]), a proprietary absorption-enhancing agent called to improve the bioavailability of IN-administered drugs; and (3) a Unit Dose Spray (UDS) designed to produce a spray pattern and droplet size that maximizes delivery to the turbinate (Figure 1).
Figure 1.
neffy’s development rests upon the proven triad of epinephrine, Intravail, and a Unit Dose Spray to ensure a safe and effective product.
2.1. Epinephrine
Epinephrine has been used for allergic reactions for more than 100 years and is the only universally recommended first-line therapy for Type I allergic reactions. The use of epinephrine for the treatment of anaphylaxis was first reported in the 1960s. It is agreed internationally that epinephrine is the most effective treatment for anaphylaxis based on clinical guidelines based on vast experience, case reports, and limited clinical trials [21,22,23,24,25,26,27,28].
Epinephrine’s mechanism of action (MOA) for the treatment of Type I allergic reactions (including anaphylaxis) is generally well understood, where the reverse of the pathological response caused by exposure to an antigen and a stabilized mast cell to stop allergic reactions from proceeding are based on the direct systemic agonism of α- and β-adrenergic receptors [29].
Epinephrine is a nonselective agonist at the α- and β-adrenergic receptors, which are all G-protein-coupled receptors. Epinephrine prevents further degranulation and release of allergic mediators within minutes by counteracting nearly every end-organ action of immune mediators of anaphylaxis directly and stabilizing mast cells [30]. The main therapeutic effect of epinephrine arises from its direct agonism of β2-adrenergic receptors, resulting in the activation of adenylyl cyclase and increased intracellular cyclic AMP production [31]. While anaphylaxis leads to the loss of intravascular fluid volume and hypotension, α-adrenergic receptors reduce vasodilation and increase vascular permeability. β-adrenergic receptors relax bronchial smooth muscle and help alleviate bronchospasm, wheezing, and dyspnea that may occur during anaphylaxis. Heart rate and contractility increase via β-adrenergic receptors to maintain the blood pressure (BP). Having the ability to produce relaxation effects on the smooth muscle of the stomach, intestine, uterus, and urinary bladder, epinephrine improves symptoms such as pruritus, urticaria, and angioedema and may relieve gastrointestinal and genitourinary symptoms associated with anaphylaxis [32].
Anaphylaxis most often occurs in response to food, insect stings, and drugs but can also be exercise-induced or idiopathic. Because anaphylaxis can occur outside the home, patients should be counseled on allergen avoidance and the importance of having epinephrine available [12]. Effective symptom resolution, in part, depends on the immediate administration of epinephrine by a patient or caregiver [29]. At the same time, the risk of overdose and thus severe cardiac adverse effects, while possible with any injection route of administration [33], is lower with IM administration than with IV administration.
The FDA has approved several IM and subcutaneous epinephrine injection and EAI products, including EpiPen® (Mylan Specialty L.P., Morgantown, WV, USA), Twinject® (Amedra Pharmaceuticals LLC, Horsham, PA, USA), Adrenaclick® (Lineage Therapeutics Inc., Horsham, PA, USA), Auvi-Q® (Kaleo, Inc., Richmond, VA, USA), and SymjepiTM (Adamis Pharmaceuticals Corporation, San Diego, CA, USA), as well as generic EAIs [34]. With the exception of one pharmacokinetic study conducted for Auvi-Q [35], there were no clinical trials or pharmacokinetic studies conducted to support the approval of these products. Instead, their approval was based on the assumption that there were no significant differences between these injection products and the reference listed drug (IM injection with needle and syringe). However, more recent studies have established notable pharmacokinetic differences among the different autoinjector products and manual IM injection with needle and syringe [36,37,38].
It is important to note, however, that these pharmacokinetic differences do not appear to translate into differences in clinical efficacy. All approved injection products are used interchangeably, with the same guidance (dose immediately upon the development of clinical symptoms, with a second dose 5 to 15 min later if symptoms do not improve).
2.2. Intravail
Intravail, also referred to as DDM, is designated as Generally Recognized As Safe (GRAS) for food applications and is used to enhance the absorption of drugs such as epinephrine. It has been used in several FDA-approved drugs, including Tosymra® (Dr. Reddy’s Laboratories Limited, Princeton, NJ, USA), Valtoco® (Neurelis, Inc., San Diego, CA, USA), and Opvee® (Opiant Pharmaceuticals, Santa Monica, CA, USA) [39]. Intravail is an alkylsaccharide that alters mucosal viscosity and membrane fluidity to loosen cell–cell junctions. It induces rapid and reversible decreases in transepithelial/transendothelial electrical resistance values, resulting in changes to the tight junctions to facilitate absorption [40,41]. Alkylsaccharide absorption enhancers are soluble in both water and oil and do not cause irritation or damage to the mucosal membrane [6].
The use of an absorption enhancer like Intravail allows the dose of epinephrine to remain as low as possible while maintaining efficacy and allows for a lower dose relative to other IN formulations without a comparable absorption enhancer [42,43,44,45]. There may be some concerns that epinephrine’s vasoconstriction effect may negatively affect its absorption, but such an effect has not been observed with neffy with Intravail. The mechanism may be discussed further in the future, but at least epinephrin is not just a vasoconstrictor but also a vasodilator. Although epinephrine is considered the only safe and effective first-line treatment of anaphylaxis [46], there have been reports of safety issues due to overdosing, both following manual IM administration and EAI administration [29,47,48]. For IN products, it has been reported that epinephrine absorption during an allergic reaction may be increased due to changes in vascular permeability [49,50]. A high dose of epinephrine in the presence of increased permeability in the nasal mucosa, due to an allergic reaction or population variability, could potentially result in excessive absorption and increase the risk of overdose [51]. The inclusion of Intravail in the neffy formulation allows for the optimization of efficacy while minimizing the risk of overdose by capping the dose.
Use of the lowest possible epinephrine dose, or minimum effective dose, also reduces the risk of dose-limiting toxicities. These doses minimize the risk of other adverse reactions, including gastrointestinal side effects such as abdominal pain, nausea, and vomiting, which could complicate the diagnosis and treatment of anaphylaxis. In particular, dose-limiting gastrointestinal side effects have been observed with large doses of inhaled epinephrine [52]. Additionally, a review of patients with epinephrine toxicity defined a maximum tolerated subcutaneous dose of 8 mg [53].
The ability to use a dose of epinephrine that was as low as possible, while still achieving injection-like exposure, was a key part of neffy’s development strategy and may be an important consideration for the evaluation of emerging epinephrine therapies [51].
2.3. Unit Dose Spray
neffy is delivered via a UDS that has been used for more than 20 years for the administration of numerous other IN medications, including Narcan® (over the counter) (Adapt Pharma, Inc., Radnor, PA, USA), Valtoco® (Neurelis, Inc., San Diego, CA, USA), Nayzilam® (UCB, Inc., Smyrna, GA, USA), Tosymra® (Dr. Reddy’s Laboratories Limited, Princeton, NJ, USA), Imitrex® (GlaxoSmithKline, Research Triangle Park, Durham, NC, USA), Zavzpret® (Pfizer Inc., New York, NY, USA), and Opvee® (Opiant Pharmaceuticals Santa Monica, CA, USA). The device is easy to use and highly reliable, with a failure rate of less than 1 in 100,000 uses across several million prescriptions (real-world failure rate of 0.3 per 1,000,000 devices for Narcan) [54,55]. The UDS is designed to deliver more than 80% of the drug in droplets measuring between 20 and 120 µm, almost all of which are exclusively captured on the nasal turbinates [56]. However, there could be issues in product use, such as spraying before positioning the spray in the nose; therefore, instructions to use it need to be referred to.
3. neffy Development Strategy
Ethical and practical limitations preclude the conduct of randomized controlled trials to assess the efficacy of epinephrine products for the treatment of severe Type I allergic reactions (including anaphylaxis), and to date, no such trials have been conducted [57,58]. There are several reasons for the lack of such studies. First, the unpredictable clinical course. When an allergic reaction occurs, it is difficult to impossible to predict the progression, severity, and likelihood of fatality [59,60,61], which is the case even in the same patient from one allergic reaction to another [62,63]. Such unpredictability of the clinical course could put patients at risk of life-threatening, potentially fatal conditions [30,47,64,65,66]. Second, given the high degree of variability in severe Type I allergic reactions (e.g., type of allergen and clinical course) and the relative infrequency of anaphylaxis, a large study population would be required to achieve sufficient statistical power [64,67]. Lastly, experience with epinephrine use over 100 years has demonstrated its safety and efficacy in even severe anaphylaxis using any route of administration.
In addition to the lack of efficacy trials, the pharmacokinetics of acute epinephrine administration have not been well characterized, with previous work being based on IV infusion. With the exception of one pharmacokinetic study conducted with Auvi-Q and EpiPen [35], the current EAIs were approved without conducting any clinical trials. Recent pharmacokinetic studies were conducted under the directive of the EMA in 2015 and by ARS for the development of neffy and have demonstrated that there are significant differences in pharmacokinetic profiles among approved injection products [36,37,38].
Therefore, over the course of 8 years, ARS worked closely with the FDA and the EMA to create a development pathway to evaluate neffy’s safety and efficacy. This pathway has included multiple clinical trials to evaluate the pharmacokinetic and pharmacodynamic response of neffy in controlled settings under a variety of potential real-life conditions, including self-administration, allergic rhinitis, and infectious rhinitis, as well as severe hypotension in an animal model.
4. Review of neffy Data
This review includes published data from several clinical trials conducted as part of neffy’s development program. All study protocols were approved by the relevant Institutional Review Boards or Ethics Committees and all participants gave written informed consent before study participation. The studies were conducted according to the International Conference on Harmonization Guidelines for Good Clinical Practice.
Blood samples for pharmacokinetic analysis were collected before dosing and at 2, 4, 6, 8, 10, 12.5, 15, 20, 30, 45, 60, 90, 120, 150, 180, and 240 (360 and 480 min depending on the study) minutes after dosing. Plasma epinephrine concentrations were determined using a validated liquid chromatography–mass spectrometry method. Pharmacodynamic parameters, including systolic blood pressure (SBP), diastolic blood pressure (DBP), and pulse rate (PR), were measured using an automated BP measuring device. BP and PR were measured at baseline; before dosing; and at 1 (depending on the study), 5, 10, 15, 20, 25, 30, 45, 60, 90, and 120 min after dosing.
4.1. neffy 1 mg Studies in Humans
neffy’s initial development began with a proposed 1 mg dose. An integrated analysis was conducted using data from four randomized cross-over Phase 1 trials (n = 175) comparing the pharmacokinetics and pharmacodynamics of manual IM epinephrine 0.3 mg with needle and syringe (epinephrine 0.3 mg IM), epinephrine 0.3 mg autoinjectors (Symjepi 0.3 mg and EpiPen 0.3 mg), and neffy 1 mg. Two studies enrolled healthy individuals aged 19 to 55 years, and the other two studies enrolled healthy volunteers with a history of type I allergies (allergic rhinitis, food allergy, venom allergy), aged 19 to 55 years [36].
In this integrated analysis, neffy 1.0 mg demonstrated a pharmacokinetic profile that was comparable to what was observed following manual IM injection but less than what was observed following EAIs. neffy’s pharmacodynamic profile was comparable to what was observed following EAIs.
- Pharmacokinetics
The epinephrine concentration vs. time curve showed the highest mean epinephrine concentration after administration through EpiPen, followed by Symjepi, neffy, and epinephrine 0.3 mg IM (Figure 2).
Figure 2.
Mean plasma epinephrine concentration vs. time after neffy, EpiPen, Symjepi, and epinephrine 0.3 mg intramuscular (IM).
- Pharmacodynamics
EpiPen, Symjepi, and neffy resulted in comparable increases in mean SBP vs. time, whereas the change with epinephrine 0.3 mg IM was less pronounced (Figure 3). For DBP, neffy was the only product that resulted in an increase in mean value over time. In all injection products, there was a decrease in DBP, with the magnitude of decrease after epinephrine injection being greater than that observed after placebo (Figure 3). The peak mean PR vs. time was the greatest for EpiPen, followed by neffy, epinephrine 0.3 mg IM, and Symjepi (Figure 3).
Figure 3.
Pharmacodynamic measurements vs. time after neffy, EpiPen, Symjepi, epinephrine 0.3 mg IM, and placebo: (A) Mean change from baseline in systolic blood pressure (SBP). (B) Mean change from baseline in diastolic blood pressure (DBP). (C) Mean change from baseline in pulse rate (PR).
In this analysis, neffy led to a modestly more robust increase for SBP, despite having lower or comparable peak concentration relative to injection products. This greater effect on SBP may be attributed to the difference in activating the β2 receptors that are abundant in skeletal muscles, allowing them to be preferentially activated by direct IM injection of epinephrine (through either manual injection or autoinjector administration). The β2 adrenergic receptors have the highest affinity and are activated at relatively low epinephrine concentrations. They promote vasodilation in the skeletal muscle, causing a decrease in peripheral vascular resistance and increased blood flow to skeletal muscle in the thigh, ultimately resulting in a decrease in DBP, which may drive an attenuation of the increase in SBP.
4.2. neffy 2 mg Studies in Human
4.2.1. Studies in Healthy Subjects
Crossover Study Comparing neffy 2.0 mg vs. EpiPen and Manual IM Injection—Dosing Once and Twice
This was a Phase 1 crossover study with healthy subjects conducted to evaluate the pharmacokinetics and pharmacodynamics of neffy 2.0 mg compared with EpiPen 0.3 mg and manual IM epinephrine 0.3 mg with needle and syringe (epinephrine 0.3 mg IM). The objective of this study was to demonstrate that the pharmacokinetic and pharmacodynamic profiles of neffy were within the range of approved epinephrine injection products. A total of 59 subjects aged 21 to 54 years old received a single dose of neffy, EpiPen, and epinephrine 0.3 mg IM, and a repeat dose of neffy and EpiPen were analyzed [68].
This study demonstrated that neffy 2 mg has a pharmacokinetic profile within the range of currently approved epinephrine injection products and a pharmacodynamic profile that was comparable to or better than injection products.
Pharmacokinetics
Mean epinephrine concentrations were highest following a single EpiPen dose, which persisted until approximately 20 min after dosing (Figure 4). From 30 to 360 min after dosing, greater mean epinephrine concentrations were observed following neffy relative to both EpiPen and epinephrine IM. Following repeated doses, greater mean epinephrine concentrations were observed with both neffy treatments (R/R and L/R) compared with EpiPen.
Figure 4.
Mean epinephrine concentration time. Study conducted on healthy volunteers. N = 42 for neffy 2.0 mg, epinephrine 0.3 mg IM, and EpiPen 0.3 mg. N = 39 for neffy 2.0 mg (L/R) and neffy 2.0 mg (R/R). N = 42 for EpiPen 0.3 mg (L/R) [68]. (A) Single dose. (B) Repeat dose with second dose administered at 10 min.
Pharmacodynamics
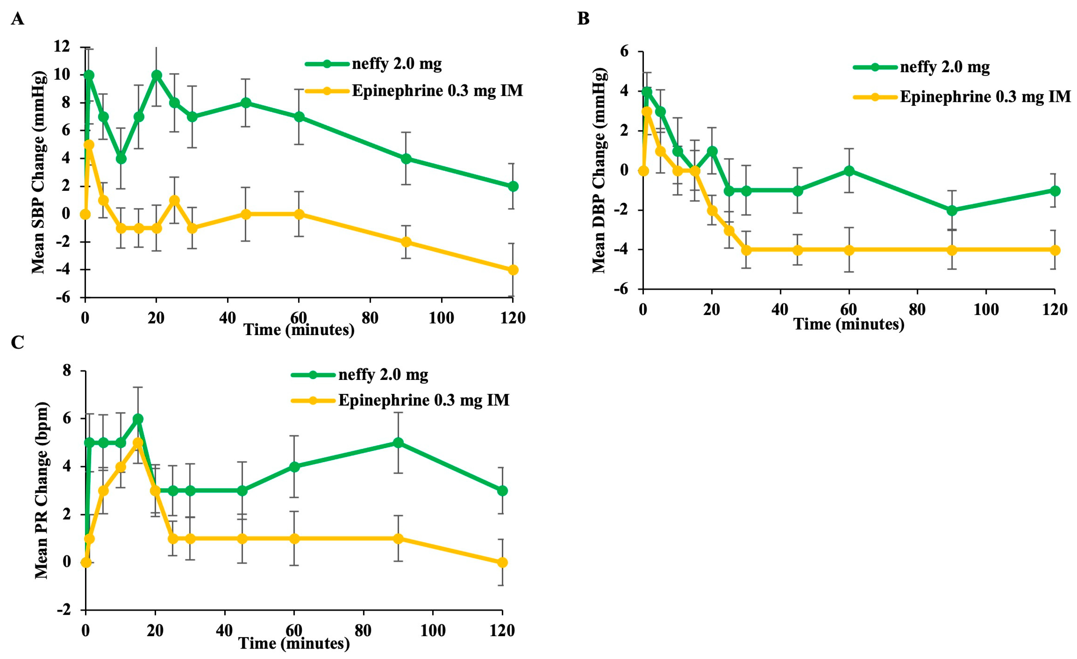
neffy’s pharmacodynamic response on SBP was observed starting at one minute after administration and persisted for 120 min (Figure 5). EpiPen was associated with a less pronounced and more abrupt increase in SBP relative to neffy; a nominal change in SBP was observed following epinephrine IM. For all treatments, SBP returned to baseline approximately 120 min after dosing. For DBP, all treatments resulted in an immediate increase from baseline, followed by a decrease (Figure 5). The decrease was more pronounced following EpiPen and Epinephrine IM compared with neffy, which was consistent with what was observed in the integrated analysis in Section 4.1. All treatments resulted in an increase from baseline PR (Figure 5). The initial increase was followed by a decrease for both epinephrine IM and EpiPen, whereas the elevation persisted throughout 120 min following neffy.
Figure 5.
Pharmacodynamic measurements vs. time after neffy, EpiPen, and epinephrine 0.3 mg IM: (A) Single doses. (B) Repeat doses.
Crossover Study Comparing neffy 2.0 mg (Self-Administration) vs. Manual IM Injection (via Healthcare Provider)
This was a Phase 1 crossover study in adults with Type I allergies conducted to evaluate the pharmacokinetics and pharmacodynamics of self-administered neffy 2 mg compared with health care provider (HCP)-administered manual IM epinephrine 0.3 mg with needle and syringe [69]. Given that neffy is intended for use both in and outside of hospital settings, it was necessary to illustrate neffy’s pharmacokinetics and pharmacodynamics following self-administration. A total of 45 patients aged 23 to 53 years old with a history of type I allergy were enrolled [69].
Following self-administration, neffy 2.0 mg resulted in pharmacokinetic and pharmacodynamic profiles that were comparable to, or better than, HCP-administered epinephrine 0.3 mg IM, including a more pronounced increase in SBP following neffy. These data were consistent with other studies presented in this review and demonstrated that, following self-administration, neffy’s pharmacokinetic and pharmacodynamic profiles are within the range of injection products.
Pharmacokinetics
Overall, when self-administered, neffy resulted in higher epinephrine exposures relative to HCP-administered epinephrine 0.3 mg IM (Figure 6).
Figure 6.
Mean epinephrine concentration time. Study conducted on patients with a history of Type 1 allergy. N = 43 for neffy 2.0 mg via self-administration and epinephrine 0.3 mg IM via HCP [69]. Error bars represent standard error.
Pharmacodynamics
Compared with HCP-administered IM 0.3 mg, self-administered neffy resulted in a greater mean increase from baseline SBP, DBP, and PR, and the pharmacodynamic response was observed as soon as one minute after administration (Figure 7).
Figure 7.
Pharmacodynamic measurements vs. time after neffy and epinephrine 0.3 mg IM: (A) Mean change from baseline in SBP. (B) Mean change from baseline in DBP. (C) Mean change from baseline in PR. Error bars represent standard error.
4.2.2. Studies on Patients with Different Conditions
Crossover Study Comparing neffy 2.0 mg under Normal Nasal Conditions and during Infectious Rhinitis
This was a Phase 1 study in subjects during and after upper respiratory tract infections (URTIs). Given the high prevalence of URTIs, this study was conducted to characterize neffy’s pharmacokinetics and pharmacodynamics during active URTI conditions. The pharmacokinetics and pharmacodynamics of neffy 2 mg were assessed during an active URTI and again upon recovery (normal nasal conditions) [70]. Subjects were enrolled during symptoms of URTIs with positive nasal congestion and edema (Total Nasal Symptom Score [TNSS] of ≥5 out of 12 and a congestion score of ≥2 out of 3). A single dose of neffy 2.0 mg was administered during the URTI, followed by pharmacokinetic and pharmacodynamic assessments. Subjects returned after recovery from URTI to receive a second dose under normal nasal conditions (TNSS score of ≤2 out of 12 and a congestion score of ≤1 out of 3), followed by repeated pharmacokinetic and pharmacodynamic assessments. Subjects who used oral and/or nasal decongestants within 24 h before dosing were not enrolled. A total of 21 patients aged 19 to 55 years old were enrolled.
Pharmacokinetics
The study demonstrated that URTIs had minimal impact on the absorption of or maximum exposure to epinephrine or following administration of neffy 2.0 mg (Figure 8).
Figure 8.
Mean epinephrine concentration time after neffy by nasal condition. Study conducted on patients who developed URTI. N = 21 for neffy 2.0 mg with URTI. N = 16 for neffy 2.0 mg under normal conditions [70]. Error bars represent standard error.
Pharmacodynamics
The mean change from baseline SPB and PR values was similar between URTIs and normal conditions, and a pharmacodynamic response was observed as soon as one minute after administration (Figure 9).
Figure 9.
Pharmacodynamic response to neffy by nasal condition: (A) Mean change from baseline in SBP. (B) Mean change from baseline in PR. Error bars represent standard error.
Effect of Allergic Rhinitis
Based on feedback from the FDA, ARS conducted an additional study to assess the impact of Nasal Allergy Challenge (NAC)-induced allergic rhinitis on the comparative bioavailability of neffy 2 mg versus manual IM epinephrine 0.3 mg IM with needle and syringe (epinephrine 0.3 mg IM) under normal nasal conditions.
This was a Phase 1 study in subjects with a history of allergic rhinitis. The NAC was conducted at screening, with eligibility limited to subjects who had a TNSS of ≥5 out of 12 and a congestion score of ≥2 out of 3. A total of 36 subjects aged from 20 to 52 years old were enrolled.
Administration of a single dose of neffy following NAC-induced allergic rhinitis resulted in an increase in the rate of epinephrine absorption. It is assumed that this increased absorption is due to the increased permeability in the nasal mucosa, as this phenomenon was observed in the anaphylaxis dog model and has been reported in the literature [49,50]. At the same time, neffy 2 mg with rhinitis also resulted in more rapid clearance compared with normal nasal conditions (Figure 10).
Figure 10.
Mean epinephrine concentration time. Study conducted on patients with a history of seasonal allergic rhinitis. N = 34 for neffy 2.0 mg with rhinitis. N = 35 for epinephrine 0.3 mg IM. Error bars represent standard error.
While these data demonstrated that there appears to be sufficient epinephrine exposure with neffy (i.e., greater than 0.3 mg IM epinephrine injection) at the critical early time points, including the first 5 to 15 min when reversal of the initial symptoms of allergic reactions is typically observed with a single dose, an additional clinical study was developed in conjunction with the FDA to assess neffy’s pharmacokinetics following dosing twice during these same NAC-induced allergic rhinitis conditions. The results of this study were being reviewed by the FDA at the time this report was produced.
4.2.3. Anaphylaxis Dog Study
The EMA requested data on neffy’s absorption during severe hypotension. Because it is not possible to induce severe hypotension in human subjects, a Good Laboratory Practice (GLP) study was conducted in anesthetized beagle dogs. The objective of this GLP study was to evaluate neffy’s pharmacokinetics in the dogs under both normal and Tween 80-induced anaphylaxis conditions [71]. A total of 14 dogs (10 males and 4 females) were dosed with neffy 1.0 mg under normal conditions, followed by neffy 1.0 mg under anaphylaxis conditions with severe hypotension [49]. The mean (±SD) baseline SBP/DBP was 113 (±47)/62 (±27) mm Hg before anesthesia induction, with a decrease to 94 ± 16/55 ± 13 mm Hg following general anesthesia. For the anaphylaxis session, the mean (±SD) SBP/DBP was 137 (±50.4)/78 (±30) mm Hg before anesthesia induction (and Tween 80 administration), with a decrease to 61 (±10)/39 (±7) mm Hg following anesthesia induction and Tween 80 administration. The more pronounced decrease seen during anaphylaxis represents the combined effect of anesthesia and anaphylaxis.
The results of this study demonstrated that the absorption of epinephrine was not suppressed even during anaphylaxis with severe hypotension and was, in fact, increased. This may be because vasoactive mediators such as histamine released during anaphylaxis increase vascular permeability [72,73]. Increased epinephrine absorption has also been reported under histamine-induced nasal congestion in dogs [50]. These data suggest that IN absorption of epinephrine may be enhanced during the increased permeability associated with a more severe anaphylaxis event.
Anaphylaxis induction resulted in a marked increase in epinephrine concentrations, which were pronounced at early time points (Figure 11).
Figure 11.
Mean epinephrine concentration-time. Study conducted on dogs. N = 14 neffy 1.0 mg under normal conditions. N = 12 for neffy 2.0 mg with anaphylaxis [49]. Error bars represent standard error. Note: baseline at −3 min is shifted to 0 in the figure.
5. Conclusions
The low utilization rates of current EAIs represent a significant unmet medical need among patients at risk for severe allergic reactions, including anaphylaxis. Prompt treatment with epinephrine at the first symptom/sign is critical to stop disease progression. This is even more important when the clinical course is unpredictable and can initially present as mild. Failed or delayed treatment is associated with an increased risk of severe anaphylaxis, biphasic reactions, hospitalization, and death. The limitations of the currently approved EAIs are generally attributable to needle-phobia, the bulkiness of carrying an EAI, and patients’ own safety concerns, which speak to the need for additional treatment options.
Nasal administration of epinephrine may be an attractive option, providing patients and caregivers with a needle-free, pain-free delivery option that results in rapid absorption and resolution of symptoms. neffy’s development is the result of more than 8 years of close collaboration with the FDA and rests upon the proven triad of epinephrine, Intravail, and a UDS to ensure a safe and effective product.
Across a range of studies, neffy has demonstrated a pharmacokinetic profile that is within the range of currently approved injection products, as well as pharmacodynamic responses that are as good or better than injection, including a response observed as early as one minute after treatment, which confirms activation of α- and β-adrenergic receptors that underlie epinephrine’s MOA for the treatment of allergic reactions. Importantly, these findings were reproduced under a variety of nasal conditions, including moderate to severe congestion and/or rhinorrhea due to allergic rhinitis and infectious rhinitis. The results of the GLP dog study demonstrate that epinephrine administered via neffy is effectively absorbed despite severe hypotension caused by anaphylaxis.
neffy’s safety and efficacy are anticipated to be comparable to current injection products while providing patients and caregivers with a treatment option that results in immediate receptor activation and removes the most significant barriers to use. By reducing a patient’s hesitation to treat themselves with epinephrine, neffy should increase earlier use of epinephrine and thereby reduce the risk of progression to severe anaphylaxis.
Funding
This research was funded by ARS Pharmaceuticals.
Informed Consent Statement
Informed consent was obtained from all subjects involved in the study.
Data Availability Statement
Not applicable.
Acknowledgments
Medical writing was supported by Tricia Bliven-Chasinoff of Pacific Link Consulting and funded by ARS Pharmaceuticals.
Conflicts of Interest
A. K. Ellis advisory boards for ALK-Abello, AstraZeneca, Aralez, Bausch Health, Leo Pharma, Merck, Novartis, and Pfizer; speakers’ bureaus for ALK-Abello, AstraZeneca, Miravo, Medexus, and Mylan; research support (paid to institution) from ALK-Abello, Aralez, AstraZeneca, Bayer LLC, Medexus, Novartis, and Regeneron; independent consultant to Bayer LLC and Regeneron; and royalties from UpToDate. She reports serving as a consultant and/or advisor for ARS Pharmaceuticals. TB Casale reports on financial support from Thermo Fisher Scientific and serves as a consultant and/or advisor for ARS Pharmaceuticals. M. Kaliner reports serving as a consultant and/or adviser for ARS Pharmaceuticals. J. Oppenheimer reports serving as a consultant/advisor for Aimmune, Amgen, ARS Pharmaceuticals, Aquestive Therapeutics, and GlaxoSmithKline; on the adjudication/DSMB for AbbVie, AstraZeneca, GlaxoSmithKline, and Sanofi; reviewer for UpToDate; executive editor for Annals of Allergy, Asthma, and Immunology. J. Spergel reports DBV Technologies, Regeneron, Sanofi, and Aimmune. He reports serving as a consultant and/or advisor for ARS Pharmaceuticals. D. Fleischer reports grants from ARS Pharmaceuticals and grants and consultant fees from DBV Technologies and serving as consultant/advisor for Aquestive Therapeutics and for Bryn Pharma. D. Bernstein has received grant support from Aimmune, ALK-Abelló, Amgen, AstraZeneca, Avillion, Biocryst, Genentech, GlaxoSmithKline, Leo, Novartis, Novum, Regeneron, Shire, and TEVA and served as an advisor for ALK America, Aquestive Therapeutics, Gerson-Lehman, GlaxoSmithKline, and Guidepoint Global. He reports serving as a consultant and/or advisor for ARS Pharmaceuticals. C. Camargo reports serving as consultant/advisor for ARS Pharmaceuticals, Bryn Pharma, and Aquestive Therapeutics. R. Lowenthal and S. Tanimoto are employees of ARS Pharmaceuticals.
References
- Rech, M.A.; Barbas, B.; Chaney, W.; Greenhalgh, E.; Turck, C. When to pick the nose: Out-of-hospital and emergency department intranasal administration of medications. Ann. Emerg. Med. 2017, 70, 203–211. [Google Scholar] [CrossRef]
- Bailey, A.M.; Baum, R.A.; Horn, K.; Lewis, T.; Morizio, K.; Schultz, A.; Weant, K.; Justice, S.N. Review of intranasally administered medications for use in the emergency department. J. Emerg. Med. 2017, 53, 38–48. [Google Scholar] [CrossRef]
- Misra, S.N.; Sperling, M.R.; Rao, V.R.; Peters, J.M.; Penovich, P.; Wheless, J.; Hogan, R.E.; Davis, C.S.; Carrazana, E.; Rabinowicz, A.L. Analyses of patients who self-administered diazepam nasal spray for acute treatment of seizure clusters. Epilepsy Behav. Rep. 2024, 25, 100644. [Google Scholar] [CrossRef]
- Abdelal, R.; Raja Banerjee, A.; Carlberg-Racich, S.; Darwaza, N.; Ito, D.; Shoaff, J.; Epstein, J. Real-world study of multiple naloxone administration for opioid overdose reversal among bystanders. Harm Reduct. J. 2022, 19, 49. [Google Scholar] [CrossRef]
- Cornett, E.M.; Nemomsa, M.A.; Turbeville, B.; Busby, M.A.; Kaye, J.S.; Kaye, A.J.; Choi, J.; Ramírez, G.F.; Varrassi, G.; Kaye, A.M.; et al. Midazolam nasal spray to treat intermittent, stereotypic episodes of frequent seizure activity: Pharmacology and clinical role, a comprehensive review. Health Psychol. Res. 2022, 10, 38536. [Google Scholar] [CrossRef]
- Rabinowicz, A.L.; Carrazana, E.; Maggio, E.T. Improvement of intranasal drug delivery with Intravail alkylsaccharide excipient as a mucosal absorption enhancer aiding in the treatment of conditions of the central nervous system. Drugs R D 2021, 21, 361–369. [Google Scholar] [CrossRef]
- Harris, E. FDA approves Nalmefene, a longer-lasting opioid reversal nasal spray. JAMA 2023, 329, 2012. [Google Scholar] [CrossRef]
- Martirosov, A.L.; Giuliano, C.; Shupp, M.; Channey, S.; Kale-Pradhan, P.B. Zavegepant intranasal spray for migraines. Ann. Pharmacother. 2023. online ahead of print. [Google Scholar] [CrossRef]
- Munjal, S.; Gautam, A.; Offman, E.; Brand-Schieber, E.; Allenby, K.; Fisher, D.M. A randomized trial comparing the pharmacokinetics, safety, and tolerability of DFN-02, an intranasal sumatriptan spray containing a permeation enhancer, with intranasal and subcutaneous sumatriptan in healthy adults. Headache 2016, 56, 1455–1465. [Google Scholar] [CrossRef]
- Shaker, M.S.; Wallace, D.V.; Golden, D.B.K.; Oppenheimer, J.; Bernstein, J.A.; Campbell, R.L.; Dinakar, C.; Ellis, A.; Greenhawt, M.; Khan, D.A.; et al. Anaphylaxis-a 2020 practice parameter, and grading of recommendations, assessment, development and evaluation (GRADE) analysis. J. Allergy Clin. Immunol. 2020, 145, 1082–1123. [Google Scholar] [CrossRef]
- Panel, N.S. Guidelines for the diagnosis and management of food allergy in the United States: Report of the NIAID-sponsored expert panel. J. Allergy Clin. Immunol. 2010, 12, S1–S58. [Google Scholar]
- Golden, D.B.K.; Wang, J.; Waserman, S.; Akin, C.; Campbell, R.L.; Ellis, A.K.; Greenhawt, M.; Lang, D.M.; Ledford, D.K.; Lieberman, J.; et al. Anaphylaxis: A 2023 practice parameter update. Ann. Allergy Asthma Immunol. 2024, 132, 124–176. [Google Scholar] [CrossRef]
- Brooks, C.; Coffman, A.; Erwin, E.; Mikhail, I. Diagnosis and treatment of food allergic reactions in pediatric emergency settings. Ann. Allergy Asthma Immunol. 2017, 119, 467–468. [Google Scholar] [CrossRef]
- Fleming, J.T.; Clark, S.; Camargo, C.A.; Rudders, S.A. Early treatment of food-induced anaphylaxis with epinephrine is associated with a lower risk of hospitalization. J. Allergy Clin. Immunol. Pract. 2015, 3, 57–62. [Google Scholar] [CrossRef]
- Patel, N.; Chong, K.W.; Yip, A.Y.G.; Ierodiakonou, D.; Bartra, J.; Boyle, R.J.; Turner, P.J. Use of multiple epinephrine doses in anaphylaxis: A systematic review and meta-analysis. J. Allergy Clin. Immunol. 2021, 148, 1307–1315. [Google Scholar] [CrossRef]
- Hochstadter, E.; Clarke, A.; De Schryver, S.; La Vieille, S.; Alizadehfar, R.; Joseph, L.; Eisman, H.; Ben-Shoshan, M. Increasing visits for anaphylaxis and the benefits of early epinephrine administration: A 4-year study at a pediatric emergency department in Montreal, Canada. J. Allergy Clin. Immunol. 2016, 137, 1888–1890.E4. [Google Scholar] [CrossRef]
- Andrew, E.; Nehma, Z.; Bernard, S.; Smith, K. Pediatric anaphylaxis in the prehospital setting: Incidence, characteristics, and management. Prehospital Emerg. Care 2018, 22, 445–451. [Google Scholar] [CrossRef]
- Liu, X.; Lee, S.; Lohse, C.M.; Hardy, C.T.; Campbell, R.L. Biphasic reactions in emergency department anaphylaxis patients: A prospective cohort study. J. Allergy Clin. Immunol. Pract. 2020, 8, 1230–1238. [Google Scholar] [CrossRef]
- Turner, P.J.; Jerschow, E.; Umasunthar, T.; Lin, R.; Campbell, D.E.; Boyle, R.J. Fatal anaphylaxis: Mortality rate and risk factors. J. Allergy Clin. Immunol. Pract. 2017, 5, 1169–1178. [Google Scholar] [CrossRef]
- Noimark, L.; Du Toit, G.; Pastacaldi, C.; Haddad, D.; Gardner, J.; Hyer, W.; Vance, G.; Townshend, C.; Alfaham, M.; Arkwright, P.D.; et al. The use of adrenaline autoinjectors by children and teenagers. Clin. Exp. Allergy 2012, 42, 284–292. [Google Scholar] [CrossRef]
- Simons, F.E. Anaphylaxis, killer allergy: Long-term management in the community. J. Allergy Clin. Immunol. 2006, 117, 367–377. [Google Scholar] [CrossRef] [PubMed]
- Upton, J.; Vadas, P. Potential therapeutic strategies for severe anaphylaxis targeting platelet-activating factor and PAF acetylhydrolase. Curr. Treat. Options Allergy 2014, 1, 232–246. [Google Scholar] [CrossRef]
- Resuscitation Council UK. Emergency Treatment of Anaphylaxis: Guidelines for Healthcare Providers 2021. Available online: https://www.resus.org.uk/sites/default/files/2021-05/Emergency%20Treatment%20of%20Anaphylaxis%20May%202021_0.pdf (accessed on 29 May 2024).
- Australasian Society of Clinical Immunology and Allergy (ASCIA). Guidelines—Acute Management of Anaphylaxis. Available online: https://www.allergy.org.au/images/ASCIA_HP_Guidelines_Acute_Management_Anaphylaxis_2023.pdf (accessed on 29 May 2024).
- Ebisawa, M.; Ito, K.; Fujisawa, T. Japanese guidelines for food allergy 2020. Allergol. Int. 2020, 69, 370–386. [Google Scholar] [CrossRef] [PubMed]
- Cardona, V.; Ansotegui, I.J.; Ebisawa, M.; El-Gamal, Y.; Rivas, M.F.; Fineman, S.; Geller, M.; Gonzalez-Estrada, A.; Greenberger, P.A.; Borges, M.S.; et al. World allergy organization anaphylaxis guidance 2020. World Allergy Organ. J. 2020, 13, 100472. [Google Scholar] [CrossRef] [PubMed]
- Translating Emergency Knowledge for Kids (TREKK) Pediatric Anaphylaxis Algorithm. Available online: https://cms.trekk.ca/wp-content/uploads/2023/11/2023-02-09Anaphylaxis-Algorithm_FINAL_v2.0.pdf (accessed on 29 May 2024).
- Irish Association for Emergency Medicine (IAEM). Clinical Guideline Emergency Management of Anaphylaxis in Adult Patients. Available online: https://iaem.ie/wp-content/uploads/2022/11/IAEM-Management-of-Anaphylaxis-in-adult-patient-V1-Final-1.pdf (accessed on 29 May 2024).
- Ring, J.; Klimek, L.; Worm, M. Adrenaline in the acute treatment of anaphylaxis. Medicine 2018, 115, 528–534. [Google Scholar] [CrossRef] [PubMed]
- Brown, J.C.; Simons, E.; Rudders, S.A. Epinephrine in the management of anaphylaxis. J. Allergy Clin. Immunol. Pract. 2020, 8, 1186–1195. [Google Scholar] [CrossRef] [PubMed]
- DrugBank. Available online: https://go.drugbank.com/drugs/DB11124 (accessed on 19 April 2024).
- AccessData.FDA. Available online: https://www.accessdata.fda.gov/drugsatfda_docs/label/2017/204200s007,204640s008lbl.pdf (accessed on 19 April 2024).
- Pauw, E.K.; Stubblefield, W.B.; Wrenn, J.O.; Brown, S.K.; Cosse, M.S.; Curry, Z.S.; Darcy, T.P.; James, T.E.; Koetter, P.E.; Nicholson, C.E.; et al. Frequency of cardiotoxicity following intramuscular administration of epinephrine in emergency department patients with anaphylaxis. J. Am. Coll. Emerg. Physicians Open 2024, 5, e13095. [Google Scholar] [CrossRef] [PubMed]
- Abramowicz, M.; Zuccotti, G.; Pflomm, J.M. An epinephrine prefilled syringe (Symjepi) for anaphylaxis (reprinted from Medical Letter on Drugs and Therapeutics, vol 61, pg 25-26, 2019). JAMA 2019, 321, 1306–1307. [Google Scholar]
- Edwards, E.S.; Gunn, R.; Simons, E.R.; Carr, K.; Chinchilli, V.M.; Painter, G.; Goldwater, R. Bioavailability of epinephrine from Auvi-Q compared with EpiPen. Ann. Allergy Asthma Immunol. 2013, 111, 132–137. [Google Scholar] [CrossRef]
- Tanimoto, S.; Kaliner, M.; Lockey, R.F.; Ebisawa, M.; Koplowitz, L.P.; Koplowitz, B.; Lowenthal, R. Pharmacokinetic and pharmacodynamic comparison of epinephrine, administered intranasally and intramuscularly-an integrated analysis. Ann. Allergy Asthma Immunol. 2023, 130, 508–514. [Google Scholar] [CrossRef]
- Duvauchelle, T.; Robert, P.; Donazzolo, Y.; Loyau, S.; Orlandini, B.; Lehert, P.; Lecomte, J.-M.; Schwartz, J.-C. Bioavailability and cardiovascular effects of adrenaline administered by Anapen autoinjector in healthy volunteers. J. Allergy Clin. Immunol. Pract. 2018, 6, 1257–1263. [Google Scholar] [CrossRef] [PubMed]
- Worm, M.; Nguyen, D.T.; Rackley, R.; Muraro, A.; Du Toit, G.; Lawrence, T.; Li, H.; Brumbaugh, K.; Wickman, M. Epinephrine delivery via EpiPen auto-injector or manual syringe across participants with a wide range of skin-to-muscle distances. Clin. Transl. Allergy 2020, 10, 21. [Google Scholar] [CrossRef] [PubMed]
- Boddu, S.H.S.; Kumari, S. A short review of the intranasal delivery of diazepam for treating acute repetitive seizures. Pharmaceutics 2020, 12, 1167. [Google Scholar] [CrossRef] [PubMed]
- Hogan, R.E.; Gidal, B.E.; Koplowitz, B.; Koplowitz, L.P.; Lowenthal, R.E.; Carrazana, E. Bioavailability and safety of diazepam intranasal solution compared to oral and rectal diazepam in healthy volunteers. Epilepsia 2020, 61, 455–464. [Google Scholar] [CrossRef] [PubMed]
- Munjal, S.; Brand-Schieber, E.; Allenby, K.; Spierings, E.L.H.; Cady, R.K.; Rapoport, A.M. A multicenter, open-label, long-term safety and tolerability study of DFN-02, an intranasal spray of sumatriptan 10 mg plus permeation enhancer DDM, for the acute treatment of episodic migraine. J. Headache Pain 2017, 18, 31. [Google Scholar] [CrossRef] [PubMed]
- Srisawat, C.; Nakponetong, K.; Benjasupattananun, P.; Suratannon, C.; Wachirutmanggur, L.; Boonchoo, S.; Pankaew, D.; Laocharoenkiat, A.; Pacharn, P.; Jirapongsananuruk, O.; et al. A preliminary study of intranasal epinephrine administration as a potential route for anaphylaxis treatment. Asian Pac. J. Allergy Immunol. 2016, 34, 38–43. [Google Scholar] [PubMed]
- Dworaczyk, D.A.; Hunt, A.L.; Di Spirito, M.; Lor, M.; Dretchen, K.L.; Lamson, M.J.; Pollock, J.; Ward, T. 13.2 mg intranasal epinephrine spray demonstrates comparable pharmacokinetics, pharmacodynamics, and safety to 0.3 mg epinephrine autoinjector. J. Allergy Clin. Immunol. Glob. 2024, 3, 100200. [Google Scholar] [CrossRef]
- Bleske, B.E.; Warren, E.W.; Rice, T.L.; Shea, M.J.; Amidon, G.; Knight, P. Comparison of intravenous and intranasal administration of epinephrine during CPR in a canine model. Ann. Emerg. Med. 1992, 21, 1125–1130. [Google Scholar] [CrossRef] [PubMed]
- Bleske, B.E.; Rice, T.L.; Warren, E.W.; Giacherio, D.A.; Gilligan, L.J.; Massey, K.D.; Tait, A.R. Effect of dose on the nasal absorption of epinephrine during cardiopulmonary resuscitation. Am. J. Emerg. Med. 1996, 14, 133–138. [Google Scholar] [CrossRef]
- Bochner, B.S.; Lichtenstein, L.M. Anaphylaxis. N. Engl. J. Med. 1991, 324, 1785–1790. [Google Scholar] [CrossRef]
- Pumphrey, R.S.H. Lessons for management of anaphylaxis from a study of fatal reactions. Clin. Exp. Allergy 2000, 30, 1144–1150. [Google Scholar] [CrossRef] [PubMed]
- Ebisawa, M.; Kaliner, M.A.; Lowenthal, R.; Tanimoto, S. Rapid increase in epinephrine concentration following presumed intra-blood vessel administration via epinephrine autoinjector. J. Allergy Clin. Immunol. Glob. 2023, 2, 3. [Google Scholar] [CrossRef] [PubMed]
- Sparapani, S.; Authier, S.; Lowenthal, R.; Tanimoto, S. The impact of anaphylaxis on the absorption of intranasal epinephrine in anaesthetized non-naïve beagle dogs. J. Allergy Clin. Immunol. Glob. 2023, 2, 4. [Google Scholar] [CrossRef] [PubMed]
- Tuttle, R.; Popescu, L.; Hill, S.; Slancka, A.; Jankowski, J.; Barre, K.; Krueger, E.; Slade, D.; Croutch, C.; Robben, M.; et al. Intranasal epinephrine effects on epinephrine pharmacokinetics and heart rate in a nasal congestion canine model. Respir. Res. 2020, 21, 78. [Google Scholar] [CrossRef]
- Casale, T.B.; Ellis, A.K.; Tanimoto, S. Innovations in the treatment of anaphylaxis: A review of recent data. Ann. Allergy Asthma Immunol. 2024, 132, 248–249. [Google Scholar] [CrossRef] [PubMed]
- Heilborn, H.; Hjemdahl, P.; Daleskog, M.; Adamsson, U. Comparison of subcutaneous injection and high-dose inhalation of epinephrine-implications for self-treatment to prevent anaphylaxis. J. Allergy Clin. Immunol. 1986, 78, 1174–1179. [Google Scholar] [CrossRef]
- Freedman, B.J. Accidental adrenaline overdosage and its treatment with piperoxan. Lancet 1955, 266, 575–578. [Google Scholar] [CrossRef] [PubMed]
- FDA.gov. Available online: https://www.fda.gov/media/165339/download (accessed on 19 April 2024).
- FDA Adverse Events Reporting System Public Dashboard. Available online: https://fis.fda.gov/sense/app/95239e26-e0be-42d9-a960-9a5f7f1c25ee/sheet/7a47a261-d58b-4203-a8aa-6d3021737452/state/analysis (accessed on 20 May 2024).
- Trows, S.; Wuchner, K.; Spycher, R.; Steckel, H. Analytical challenges and regulatory requirements for nasal drug products in Europe and the US. Pharmaceutics 2014, 6, 195–219. [Google Scholar] [CrossRef] [PubMed]
- Sheikh, A.; Shehata, Y.A.; Brown, S.G.A.; Simons, F.E.R. Adrenaline (epinephrine) for the treatment of anaphylaxis with and without shock. Cochrane Database Syst. Rev. 2008, 4, 1–15. [Google Scholar] [CrossRef]
- Rubin, T.; Clayton, J.; Adams, D.; Jou, H.; Vohra, S. Systematic review of outcome measures in trials of pediatric anaphylaxis treatment. BMC Pediatr. 2014, 14, 158. [Google Scholar] [CrossRef]
- Simons, F.E.R.; Ardusso, L.R.F.; Bilo, M.B.; El-Gamal, Y.M.; Ledford, D.K.; Ring, J.; Sanchez-Borges, M.; Senn, G.E.; Sheikh, A.; Thong, B.Y.; et al. World allergy organization guidelines for the assessment and management of anaphylaxis. J. Allergy Clin. Immunol. 2011, 27, e1–e22. [Google Scholar] [CrossRef] [PubMed]
- Sampson, H.A.; Munoz-Furlong, A.; Campbell, R.L.; Adkinson, N.F., Jr.; Bock, S.A.; Branum, A.; Brown, S.G.; Camargo, C.A., Jr.; Cydulka, R.; Galli, S.J.; et al. Second symposium on the definition and management of anaphylaxis: Summary report—Second National Institute of Allergy and Infectious Disease/Food Allergy and Anaphylaxis Network symposium. J. Allergy Clin. Immunol. 2006, 117, 391–397. [Google Scholar] [CrossRef] [PubMed]
- Pumphrey, R. Anaphylaxis: Can we tell who is at risk of a fatal reaction? Curr. Opin. Allergy Clin. Immunol. 2004, 4, 85–90. [Google Scholar] [CrossRef] [PubMed]
- Fisher, D. Adverse effects of topical corticosteroid use. West. J. Med. 1995, 162, 123–126. [Google Scholar] [PubMed]
- Simons, F.E.R. Anaphylaxis. J. Allergy Clin. Immunol. 2010, 125, S161–S181. [Google Scholar] [CrossRef] [PubMed]
- Fisher, M. Anaphylaxis. Dis. Mon. 1987, 33, 433–479. [Google Scholar] [CrossRef] [PubMed]
- Dinakar, C. Anaphylaxis in children: Current understanding and key issues in diagnosis and treatment. Curr. Allergy Asthma Rep. 2012, 12, 641–669. [Google Scholar] [CrossRef]
- Lieberman, P.; Simons, F.E. Anaphylaxis-a practice parameter update 2015. Ann. Allergy Asthma Immunol. 2015, 115, 341–384. [Google Scholar] [CrossRef] [PubMed]
- Hu, W.; Kemp, A.; Kerridge, I. Ethics in practice-making clinical decisions when the stakes are high and the evidence unclear. BMJ 2004, 329, 852–854. [Google Scholar] [CrossRef][Green Version]
- Casale, T.B.; Ellis, A.K.; Nowak-Wegrzyn, A.; Kaliner, M.; Lowenthal, R.; Tanimoto, S. Pharmacokinetics/pharmacodynamics of epinephrine after single and repeat administration of neffy, EpiPen, and manual intramuscular injection. J. Allergy Clin. Immunol. 2023, 152, 1587–1596. [Google Scholar] [CrossRef]
- Casale, T.B.; Oppenheimer, J.; Kaliner, M.; Lieberman, J.A.; Lowenthal, R.; Tanimoto, S. Adult pharmacokinetics of self-administration of epinephrine nasal spray 2.0 mg versus manual intramuscular epinephrine 0.3 mg by health care provider. J. Allergy Clin. Immunol. Pract. 2023, 12, 500–502E1. [Google Scholar] [CrossRef] [PubMed]
- Oppenheimer, J.; Casale, T.B.; Camargo, C.A.; Fleischer, D.M.; Bernstein, D.; Lowenthal, R.; Tanimoto, S. Upper respiratory tract infections have minimal impact on neffy’s pharmacokinetics or pharmacodynamics. J. Allergy Clin. Immunol. Pract. 2024, 12, 1640–1643.e2. [Google Scholar] [CrossRef] [PubMed]
- Pouliot, M.; Bussiere, J.; Coppi, A.; Holbrook, K.; Shelton, A.; Sparapani, S.; Maher, J.; Zabka, T.S.; Boulay, E.; Authier, S. Polysorbate 80-induced anaphylactoid reaction and the effects on cardiovascular function: Dose threshold and species comparison. Int. J. Toxicol. 2022, 41, 99–107. [Google Scholar] [CrossRef] [PubMed]
- Lieberman, P. The basics of histamine biology. Ann. Allergy Asthma Immunol. 2011, 106, S2–S5. [Google Scholar] [CrossRef]
- Watts, A.M.; Cripps, A.W.; West, N.P.; Cox, A.J. Modulation of allergic inflammation in the nasal mucosa of allergic rhinitis sufferers with topical pharmaceutical agents. Front. Pharmacol. 2019, 10, 294. [Google Scholar] [CrossRef]
Disclaimer/Publisher’s Note: The statements, opinions and data contained in all publications are solely those of the individual author(s) and contributor(s) and not of MDPI and/or the editor(s). MDPI and/or the editor(s) disclaim responsibility for any injury to people or property resulting from any ideas, methods, instructions or products referred to in the content. |
© 2024 by the authors. Licensee MDPI, Basel, Switzerland. This article is an open access article distributed under the terms and conditions of the Creative Commons Attribution (CC BY) license (https://creativecommons.org/licenses/by/4.0/).










