Evaluation of the Drug–Drug Interaction Potential of Cannabidiol Against UGT2B7-Mediated Morphine Metabolism Using Physiologically Based Pharmacokinetic Modeling
Abstract
1. Introduction
2. Materials and Methods
2.1. PBPK Model Development and Validation
2.2. DDI Prediction and Model Validation
3. Results
3.1. Morphine PBPK Model Validation After IV and Oral Administration
3.2. CBD PBPK Model Validation After IV and Oral Administration
3.3. PBPK Model Validation in Hepatic-Impaired Adult Populations
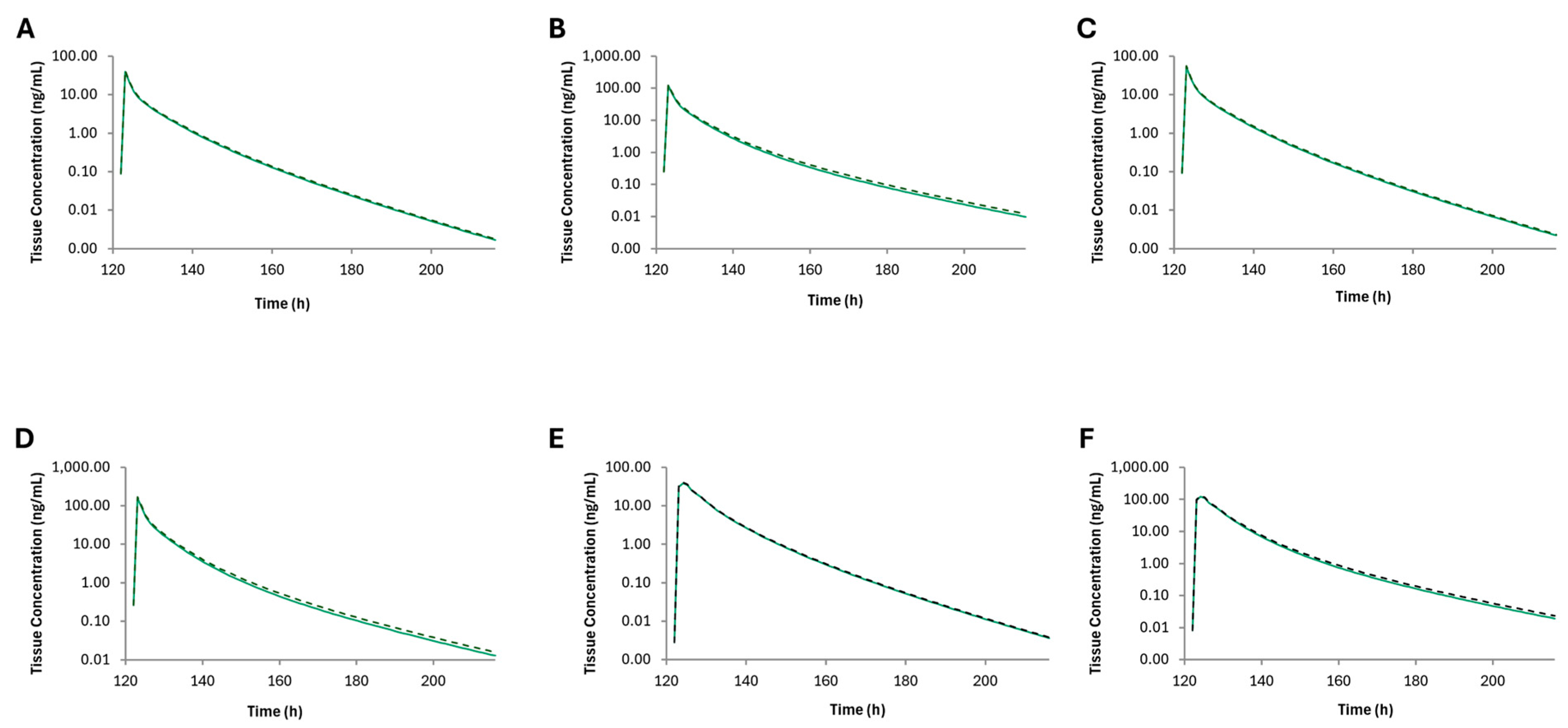
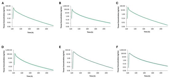
3.4. PBPK Model for DDI Simulation with Coadministration of Morphine and CBD
4. Discussion
Supplementary Materials
Author Contributions
Funding
Institutional Review Board Statement
Informed Consent Statement
Data Availability Statement
Conflicts of Interest
References
- Clark, J.D. Chronic pain prevalence and analgesic prescribing in a general medical population. J. Pain Symptom Manag. 2002, 23, 131–137. [Google Scholar] [CrossRef] [PubMed]
- Manchikanti, L.; Abdi, S.; Atluri, S.; Balog, C.C.; Benyamin, R.M.; Boswell, M.V.; Brown, K.R.; Bruel, B.M.; Bryce, D.A.; Burks, P.A.; et al. American Society of Interventional Pain Physicians (ASIPP) guidelines for responsible opioid prescribing in chronic non-cancer pain: Part I—Evidence assessment. Pain Physician 2012, 15, S1–S65. [Google Scholar] [PubMed]
- Wiffen, P.J.; Wee, B.; Derry, S.; Bell, R.F.; Moore, R.A. Opioids for cancer pain-an overview of Cochrane reviews. Cochrane Database Syst. Rev. 2017, 2017, CD012592. [Google Scholar] [CrossRef]
- Stone, A.N.; Mackenzie, P.I.; Galetin, A.; Houston, J.B.; Miners, J.O. Isoform selectivity and kinetics of morphine 3- and 6-glucuronidation by human udp-glucuronosyltransferases: Evidence for atypical glucuronidation kinetics by UGT2B7. Drug Metab. Dispos. 2003, 31, 1086–1089. [Google Scholar] [CrossRef]
- Coffman, B.L.; Rios, G.R.; King, C.D.; Tephly, T.R. Human UGT2B7 catalyzes morphine glucuronidation. Drug Metab. Dispos. 1997, 25, 1–4. [Google Scholar]
- Hasselström, J.; Säwe, J. Morphine pharmacokinetics and metabolism in humans. Enterohepatic cycling and relative contribution of metabolites to active opioid concentrations. Clin. Pharmacokinet. 1993, 24, 344–354. [Google Scholar] [CrossRef] [PubMed]
- Roeckel, L.A.; Utard, V.; Reiss, D.; Mouheiche, J.; Maurin, H.; Robé, A.; Audouard, E.; Wood, J.N.; Goumon, Y.; Simonin, F.; et al. Morphine-induced hyperalgesia involves mu opioid receptors and the metabolite morphine-3-glucuronide. Sci. Rep. 2017, 7, 10406. [Google Scholar] [CrossRef]
- Wittwer, E.; Kern, S.E. Role of morphine’s metabolites in analgesia: Concepts and controversies. AAPS J. 2006, 8, E348–E352. [Google Scholar] [CrossRef]
- Kilpatrick, G.J.; Smith, T.W. Morphine-6-glucuronide: Actions and mechanisms. Med. Res. Rev. 2005, 25, 521–544. [Google Scholar] [CrossRef] [PubMed]
- Frances, B.; Gout, R.; Monsarrat, B.; Cros, J.; Zajac, J.M. Further evidence that morphine-6 beta-glucuronide is a more potent opioid agonist than morphine. J. Pharmacol. Exp. Ther. 1992, 262, 25–31. [Google Scholar] [PubMed]
- Greenwich Biosciences, Inc. Epidiolex; Greenwich Biosciences, Inc.: Carlsbad, CA, USA, 2020. Available online: https://www.accessdata.fda.gov/drugsatfda_docs/label/2020/210365s005s006s007lbl.pdf (accessed on 18 December 2023).
- Corroon, J.; Phillips, J.A. A Cross-Sectional Study of Cannabidiol Users. Cannabis Cannabinoid Res. 2018, 3, 152–161. [Google Scholar] [CrossRef]
- Moltke, J.; Hindocha, C. Reasons for cannabidiol use: A cross-sectional study of CBD users, focusing on self-perceived stress, anxiety, and sleep problems. J. Cannabis Res. 2021, 3, 5. [Google Scholar] [CrossRef]
- Sexton, M.; Cuttler, C.; Finnell, J.S.; Mischley, L.K. A Cross-Sectional Survey of Medical Cannabis Users: Patterns of Use and Perceived Efficacy. Cannabis Cannabinoid Res. 2016, 1, 131–138. [Google Scholar] [CrossRef]
- Wilson, M.; Gogulski, H.Y.; Cuttler, C.; Bigand, T.L.; Oluwoye, O.; Barbosa-Leiker, C.; Roberts, M.A. Cannabis use moderates the relationship between pain and negative affect in adults with opioid use disorder. Addict. Behav. 2018, 77, 225–231. [Google Scholar] [CrossRef]
- Clem, S.N.; Bigand, T.L.; Wilson, M. Cannabis Use Motivations among Adults Prescribed Opioids for Pain versus Opioid Addiction. Pain Manag. Nurs. 2020, 21, 43–47. [Google Scholar] [CrossRef]
- Mahabir, V.K.; Merchant, J.J.; Smith, C.; Garibaldi, A. Medical cannabis use in the United States: A retrospective database study. J. Cannabis Res. 2020, 2, 32. [Google Scholar] [CrossRef] [PubMed]
- Nasrin, S.; Watson, C.J.W.; Perez-Paramo, Y.X.; Lazarus, P. Cannabinoid Metabolites as Inhibitors of Major Hepatic CYP450 Enzymes, with Implications for Cannabis-Drug Interactions. Drug Metab. Dispos. 2021, 49, 1070–1080. [Google Scholar] [CrossRef] [PubMed]
- Nasrin, S.; Watson, C.J.W.; Bardhi, K.; Fort, G.; Chen, G.; Lazarus, P. Inhibition of UDP-Glucuronosyltransferase Enzymes by Major Cannabinoids and Their Metabolites. Drug Metab. Dispos. 2021, 49, 1081–1089. [Google Scholar] [CrossRef] [PubMed]
- Bardhi, K.; Coates, S.; Chen, G.; Lazarus, P. Cannabinoid-Induced Stereoselective Inhibition of R-S-Oxazepam Glucuronidation: Cannabinoid–Oxazepam Drug Interactions. Pharmaceutics 2024, 16, 243. [Google Scholar] [CrossRef] [PubMed]
- Coates, S.; Bardhi, K.; Lazarus, P. Cannabinoid-Induced Inhibition of Morphine Glucuronidation and the Potential for In Vivo Drug–Drug Interactions. Pharmaceutics 2024, 16, 418. [Google Scholar] [CrossRef] [PubMed]
- Bansal, S.; Maharao, N.; Paine, M.F.; Unadkat, J.D. Predicting the Potential for Cannabinoids to Precipitate Pharmacokinetic Drug Interactions via Reversible Inhibition or Inactivation of Major Cytochromes P450. Drug Metab. Dispos. 2020, 48, 1008–1017. [Google Scholar] [CrossRef] [PubMed]
- Bansal, S.; Paine, M.F.; Unadkat, J.D. Comprehensive Predictions of Cytochrome P450 (P450)-Mediated In Vivo Cannabinoid-Drug Interactions Based on Reversible and Time-Dependent P450 Inhibition in Human Liver Microsomes. Drug Metab. Dispos. 2022, 50, 351–360. [Google Scholar] [CrossRef]
- Grimstein, M.; Yang, Y.; Zhang, X.; Grillo, J.; Huang, S.M.; Zineh, I.; Wang, Y. Physiologically Based Pharmacokinetic Modeling in Regulatory Science: An Update From the U.S. Food and Drug Administration’s Office of Clinical Pharmacology. J. Pharm. Sci. 2019, 108, 21–25. [Google Scholar] [CrossRef] [PubMed]
- US Food and Drug Administration. Physiologically Based Pharmacokinetic Analyses–Format and Content Guidance for Industry; Center for Drug Evaluation and Research: Silver Spring, MD, USA, 2018; pp. 1–9. [Google Scholar]
- Taylor, L.; Crockett, J.; Tayo, B.; Morrison, G. A Phase 1, Open-Label, Parallel-Group, Single-Dose Trial of the Pharmacokinetics and Safety of Cannabidiol (CBD) in Subjects With Mild to Severe Hepatic Impairment. J. Clin. Pharmacol. 2019, 59, 1110–1119. [Google Scholar] [CrossRef] [PubMed]
- Watkins, P.B.; Church, R.J.; Li, J.; Knappertz, V. Cannabidiol and Abnormal Liver Chemistries in Healthy Adults: Results of a Phase I Clinical Trial. Clin. Pharmacol. Ther. 2021, 109, 1224–1231. [Google Scholar] [CrossRef]
- U.S. Food and Drug Administration. Epidiolex NDA 210365Origs000 Labeling; 25 June 2018; pp. 1–32. Available online: https://www.accessdata.fda.gov/drugsatfda_docs/nda/2018/210365Orig1s000OtherR.pdf (accessed on 30 August 2023).
- Emoto, C.; Fukuda, T.; Johnson, T.; Neuhoff, S.; Sadhasivam, S.; Vinks, A. Characterization of Contributing Factors to Variability in Morphine Clearance Through PBPK Modeling Implemented With OCT1 Transporter. CPT Pharmacomet. Syst. Pharmacol. 2017, 6, 110–119. [Google Scholar] [CrossRef] [PubMed]
- Uchaipichat, V.; Rowland, A.; Miners, J.O. Inhibitory effects of non-steroidal anti-inflammatory drugs on human liver microsomal morphine glucuronidation: Implications for drug-drug interaction liability. Drug Metab. Pharmacokinet. 2022, 42, 100442. [Google Scholar] [CrossRef] [PubMed]
- Rodgers, T.; Leahy, D.; Rowland, M. Physiologically based pharmacokinetic modeling 1: Predicting the tissue distribution of moderate-to-strong bases. J. Pharm. Sci. 2005, 94, 1259–1276. [Google Scholar] [CrossRef]
- Rodgers, T.; Rowland, M. Physiologically based pharmacokinetic modelling 2: Predicting the tissue distribution of acids, very weak bases, neutrals and zwitterions. J. Pharm. Sci. 2006, 95, 1238–1257. [Google Scholar] [CrossRef] [PubMed]
- Jamei, M.; Bajot, F.; Neuhoff, S.; Barter, Z.; Yang, J.; Rostami-Hodjegan, A.; Rowland-Yeo, K. A Mechanistic Framework for In Vitro–In Vivo Extrapolation of Liver Membrane Transporters: Prediction of Drug–Drug Interaction Between Rosuvastatin and Cyclosporine. Clin. Pharmacokinet. 2014, 53, 73–87. [Google Scholar] [CrossRef]
- Neuhoff, S.; Yeo, K.R.; Barter, Z.; Jamei, M.; Turner, D.B.; Rostami-Hodjegan, A. Application of permeability-limited physiologically-based pharmacokinetic models: Part II-prediction of p-glycoprotein mediated drug–drug interactions with digoxin. J. Pharm. Sci. 2013, 102, 3161–3173. [Google Scholar] [CrossRef] [PubMed]
- Tzvetkov, M.V.; dos Santos Pereira, J.N.; Meineke, I.; Saadatmand, A.R.; Stingl, J.C.; Brockmöller, J. Morphine is a substrate of the organic cation transporter OCT1 and polymorphisms in OCT1 gene affect morphine pharmacokinetics after codeine administration. Biochem. Pharmacol. 2013, 86, 666–678. [Google Scholar] [CrossRef]
- Krekels, E.H.; Johnson, T.N.; den Hoedt, S.M.; Rostami-Hodjegan, A.; Danhof, M.; Tibboel, D.; Knibbe, C.A. From Pediatric Covariate Model to Semiphysiological Function for Maturation: Part II-Sensitivity to Physiological and Physicochemical Properties. CPT Pharmacomet. Syst. Pharmacol. 2012, 1, e10. [Google Scholar] [CrossRef]
- Preechagoon, D.; Sumyai, V.; Chulavatnatol, S.; Kulvanich, P.; Tessiri, T.; Tontisirin, K.; Pongjanyakul, T.; Uchaipichat, V.; Aumpon, S.; Wongvipaporn, C. Formulation Development of Morphine Sulfate Sustained-Release Tablets and Its Bioequivalence Study in Healthy Thai Volunteers. AAPS PharmSciTech 2010, 11, 1449–1455. [Google Scholar] [CrossRef] [PubMed][Green Version]
- Verscheijden, L.F.M.; Litjens, C.H.C.; Koenderink, J.B.; Mathijssen, R.H.J.; Verbeek, M.M.; de Wildt, S.N.; Russel, F.G.M. Physiologically based pharmacokinetic/pharmacodynamic model for the prediction of morphine brain disposition and analgesia in adults and children. PLoS Comput. Biol. 2021, 17, e1008786. [Google Scholar] [CrossRef]
- Gaohua, L.; Neuhoff, S.; Johnson, T.N.; Rostami-Hodjegan, A.; Jamei, M. Development of a permeability-limited model of the human brain and cerebrospinal fluid (CSF) to integrate known physiological and biological knowledge: Estimating time varying CSF drug concentrations and their variability using in vitro data. Drug Metab. Pharmacokinet. 2016, 31, 224–233. [Google Scholar] [CrossRef]
- Bansal, S.; Ladumor, M.K.; Paine, M.F.; Unadkat, J.D. A Physiologically-Based Pharmacokinetic Model for Cannabidiol in Healthy Adults, Hepatically-Impaired Adults, and Children. Drug Metab. Dispos. 2023, 51, 743–752. [Google Scholar] [CrossRef] [PubMed]
- Lötsch, J.; Skarke, C.; Schmidt, H.; Liefhold, J.; Geisslinger, G. Pharmacokinetic modeling to predict morphine and morphine-6-glucuronide plasma concentrations in healthy young volunteers. Clin. Pharmacol. Ther. 2002, 72, 151–162. [Google Scholar] [CrossRef]
- Hoskin, P.J.; Hanks, G.W.; Aherne, G.W.; Chapman, D.; Littleton, P.; Filshie, J. The bioavailability and pharmacokinetics of morphine after intravenous, oral and buccal administration in healthy volunteers. Br. J. Clin. Pharmacol. 1989, 27, 499–505. [Google Scholar] [CrossRef] [PubMed]
- Kotb, H.I.; El-Kady, S.A.; Emara, S.E.; Fouad, E.A.; El-Kabsh, M.Y. Pharmacokinetics of controlled release morphine (MST) in patients with liver carcinoma. Br. J. Anaesth. 2005, 94, 95–99. [Google Scholar] [CrossRef] [PubMed]
- Hasselström, J.; Eriksson, S.; Persson, A.; Rane, A.; Svensson, J.O.; Säwe, J. The metabolism and bioavailability of morphine in patients with severe liver cirrhosis. Br. J. Clin. Pharmacol. 1990, 29, 289–297. [Google Scholar] [CrossRef]
- Taylor, L.; Gidal, B.; Blakey, G.; Tayo, B.; Morrison, G. A Phase I, Randomized, Double-Blind, Placebo-Controlled, Single Ascending Dose, Multiple Dose, and Food Effect Trial of the Safety, Tolerability and Pharmacokinetics of Highly Purified Cannabidiol in Healthy Subjects. CNS Drugs 2018, 32, 1053–1067. [Google Scholar] [CrossRef] [PubMed]
- FDA. In Vitro Drug Interaction Studies-Cytochrome P450 Enzyme-and Transporter-Mediated Drug Interactions Guidance for Industry; FDA: Silver Spring, MD, USA, 2020; pp. 1–46. [Google Scholar]
- Milne, R.W.; Nation, R.L.; Somogyi, A.A. The disposition of morphine and its 3- and 6-glucuronide metabolites in humans and animals, and the importance of the metabolites to the pharmacological effects of morphine. Drug Metab. Rev. 1996, 28, 345–472. [Google Scholar] [CrossRef]
- El-Khateeb, E.; Achour, B.; Al-Majdoub, Z.M.; Barber, J.; Rostami-Hodjegan, A. Non-uniformity of Changes in Drug-Metabolizing Enzymes and Transporters in Liver Cirrhosis: Implications for Drug Dosage Adjustment. Mol. Pharm. 2021, 18, 3563–3577. [Google Scholar] [CrossRef] [PubMed]
- Crotty, B.; Watson, K.J.; Desmond, P.V.; Mashford, M.L.; Wood, L.J.; Colman, J.; Dudley, F.J. Hepatic extraction of morphine is impaired in cirrhosis. Eur. J. Clin. Pharmacol. 1989, 36, 501–506. [Google Scholar] [CrossRef] [PubMed]
- Kotb, H.I.; el-Kabsh, M.Y.; Emara, S.E.; Fouad, E.A. Pharmacokinetics of controlled release morphine (MST) in patients with liver cirrhosis. Br. J. Anaesth. 1997, 79, 804–806. [Google Scholar] [CrossRef]
- Mazoit, J.X.; Sandouk, P.; Zetlaoui, P.; Scherrmann, J.M. Pharmacokinetics of unchanged morphine in normal and cirrhotic subjects. Anesth. Analg. 1987, 66, 293–298. [Google Scholar] [CrossRef]
- Pathwardhan, R.V.; Johnsson, R.F.; Hoyumpa, A.J.; Sheehan, J.J.; Desmond, P.V.; Wilkinson, G.R.; Branch, R.A.; Schenker, S. Normal metabolism of morphine in cirrhosis. Gastroenterology 1981, 81, 1006–1011. [Google Scholar] [CrossRef]
- Gourlay, G.K.; Willis, R.J.; Lamberty, J. A Double-blind Comparison of the Efficacy of Methadone and Morphine in Postoperative Pain Control. Anesthesiology 1986, 64, 322–327. [Google Scholar] [CrossRef]
- Linares, O.A.; Linares, A.L. Computational Opioid Prescribing: A Novel Application of Clinical Pharmacokinetics. J. Pain. Palliat. Care Pharmacother. 2011, 25, 125–135. [Google Scholar] [CrossRef] [PubMed]
- Stuart-Harris, R.; Joel, S.P.; McDonald, P.; Currow, D.; Slevin, M.L. The pharmacokinetics of morphine and morphine glucuronide metabolites after subcutaneous bolus injection and subcutaneous infusion of morphine. Br. J. Clin. Pharmacol. 2000, 49, 207–214. [Google Scholar] [CrossRef] [PubMed]
- Lötsch, J.; Weiss, M.; Kobal, G.; Geisslinger, G. Pharmacokinetics of morphine-6-glucuronide and its formation from morphine after intravenous administration. Clin. Pharmacol. Ther. 1998, 63, 629–639. [Google Scholar] [CrossRef] [PubMed]
- Osborne, R.; Joel, S.; Trew, D.; Slevin, M. Morphine and metabolite behavior after different routes of morphine administration: Demonstration of the importance of the active metabolite morphine-6-glucuronide. Clin. Pharmacol. Ther. 1990, 47, 12–19. [Google Scholar] [CrossRef]
- Masood, A.R.; Thomas, S.H. Systemic absorption of nebulized morphine compared with oral morphine in healthy subjects. Br. J. Clin. Pharmacol. 1996, 41, 250–252. [Google Scholar] [CrossRef]
- Kaiko, R.F.; Fitzmartin, R.D.; Thomas, G.B.; Goldenheim, P.D. The bioavailability of morphine in controlled-release 30-mg tablets per rectum compared with immediate-release 30-mg rectal suppositories and controlled-release 30-mg oral tablets. Pharmacotherapy 1992, 12, 107–113. [Google Scholar] [CrossRef]
- Drake, J.; Kirkpatrick, C.T.; Aliyar, C.A.; Crawford, F.E.; Gibson, P.; Horth, C.E. Effect of food on the comparative pharmacokinetics of modified-release morphine tablet formulations: Oramorph SR and MST Continus. Br. J. Clin. Pharmacol. 1996, 41, 417–420. [Google Scholar] [CrossRef]
- Meineke, I.; Freudenthaler, S.; Hofmann, U.; Schaeffeler, E.; Mikus, G.; Schwab, M.; Prange, H.W.; Gleiter, C.H.; Brockmöller, J. Pharmacokinetic modelling of morphine, morphine-3-glucuronide and morphine-6-glucuronide in plasma and cerebrospinal fluid of neurosurgical patients after short-term infusion of morphine. Br. J. Clin. Pharmacol. 2002, 54, 592–603. [Google Scholar] [CrossRef]
- Ohlsson, A.; Lindgren, J.E.; Andersson, S.; Agurell, S.; Gillespie, H.; Hollister, L.E. Single-dose kinetics of deuterium-labelled cannabidiol in man after smoking and intravenous administration. Biomed. Environ. Mass Spectrom. 1986, 13, 77–83. [Google Scholar] [CrossRef]
- Poulin, P.; Theil, F.P. Prediction of pharmacokinetics prior to in vivo studies. 1. Mechanism-based prediction of volume of distribution. J. Pharm. Sci. 2002, 91, 129–156. [Google Scholar] [CrossRef]
- Samara, E.; Bialer, M.; Mechoulam, R. Pharmacokinetics of cannabidiol in dogs. Drug Metab. Dispos. 1988, 16, 469–472. [Google Scholar] [PubMed]
- Tayo, B.; Taylor, L.; Sahebkar, F.; Morrison, G. A Phase I, Open-Label, Parallel-Group, Single-Dose Trial of the Pharmacokinetics, Safety, and Tolerability of Cannabidiol in Subjects with Mild to Severe Renal Impairment. Clin. Pharmacokinet. 2020, 59, 747–755. [Google Scholar] [CrossRef] [PubMed]
- Zdrazil, B.; Felix, E.; Hunter, F.; Manners, E.J.; Blackshaw, J.; Corbett, S.; de Veij, M.; Ioannidis, H.; Lopez, D.M.; Mosquera, J.F.; et al. The ChEMBL Database in 2023: A drug discovery platform spanning multiple bioactivity data types and time periods. Nucleic Acids Res. 2024, 52, D1180–D1192. [Google Scholar] [CrossRef] [PubMed]





| Sim-Healthy | |||||
|---|---|---|---|---|---|
| Dose (mg) | AUC (ng·h/mL) | 95% CI | Cmax (ng/mL) | 95% CI | |
| Morphine Solution | |||||
| Morphine | 11.7 | 36.8 | 34.9–38.9 | 12.7 | 12.2–13.3 |
| Morphine + CBD | 39.0 | 37.0–41.2 | 13.5 | 13.0–14.1 | |
| Obs/Pred Ratio | 1.06 | 1.06 | |||
| Morphine IR | |||||
| Morphine | 15.2 | 48.4 | 45.8–51.0 | 16.8 | 16.0–17.5 |
| Morphine + CBD | 51.2 | 48.5–5430 | 17.8 | 17.0–18.6 | |
| Obs/Pred Ratio | 1.06 | 1.06 | |||
| Morphine CR | |||||
| Morphine | 22.6 | 70.0 | 66.3–73.9 | 11.4 | 10.9–11.9 |
| Morphine + CBD | 72.6 | 68.8–76.6 | 11.9 | 11.4–12.5 | |
| Obs/Pred Ratio | 1.04 | 1.05 | |||
| Sim-Cirrhosis | |||||
| Dose (mg) | AUC (ng·h/mL) | 95% CI | Cmax (ng/mL) | 95% CI | |
| Morphine Solution | |||||
| Morphine | 11.7 | 119.1 | 113.9–124.6 | 39.4 | 38.2–40.5 |
| Morphine + CBD | 127.9 | 122.2–133.9 | 41.7 | 40.5–43.0 | |
| Obs/Pred Ratio | 1.07 | 1.06 | |||
| Morphine IR | |||||
| Morphine | 15.2 | 155.7 | 148.9–162.8 | 51.5 | 50.0–53.0 |
| Morphine + CBD | 167.0 | 159.6–174.9 | 54.5 | 52.9–56.1 | |
| Obs/Pred Ratio | 1.07 | 1.06 | |||
| Morphine CR | |||||
| Morphine | 22.6 | 223.7 | 213.9–234.0 | 37.1 | 36.0–38.3 |
| Morphine + CBD | 236.3 | 225.8–247.4 | 39.2 | 37.9–40.5 | |
| Obs/Pred Ratio | 1.06 | 1.06 | |||
Disclaimer/Publisher’s Note: The statements, opinions and data contained in all publications are solely those of the individual author(s) and contributor(s) and not of MDPI and/or the editor(s). MDPI and/or the editor(s) disclaim responsibility for any injury to people or property resulting from any ideas, methods, instructions or products referred to in the content. |
© 2024 by the authors. Licensee MDPI, Basel, Switzerland. This article is an open access article distributed under the terms and conditions of the Creative Commons Attribution (CC BY) license (https://creativecommons.org/licenses/by/4.0/).
Share and Cite
Coates, S.; Bardhi, K.; Prasad, B.; Lazarus, P. Evaluation of the Drug–Drug Interaction Potential of Cannabidiol Against UGT2B7-Mediated Morphine Metabolism Using Physiologically Based Pharmacokinetic Modeling. Pharmaceutics 2024, 16, 1599. https://doi.org/10.3390/pharmaceutics16121599
Coates S, Bardhi K, Prasad B, Lazarus P. Evaluation of the Drug–Drug Interaction Potential of Cannabidiol Against UGT2B7-Mediated Morphine Metabolism Using Physiologically Based Pharmacokinetic Modeling. Pharmaceutics. 2024; 16(12):1599. https://doi.org/10.3390/pharmaceutics16121599
Chicago/Turabian StyleCoates, Shelby, Keti Bardhi, Bhagwat Prasad, and Philip Lazarus. 2024. "Evaluation of the Drug–Drug Interaction Potential of Cannabidiol Against UGT2B7-Mediated Morphine Metabolism Using Physiologically Based Pharmacokinetic Modeling" Pharmaceutics 16, no. 12: 1599. https://doi.org/10.3390/pharmaceutics16121599
APA StyleCoates, S., Bardhi, K., Prasad, B., & Lazarus, P. (2024). Evaluation of the Drug–Drug Interaction Potential of Cannabidiol Against UGT2B7-Mediated Morphine Metabolism Using Physiologically Based Pharmacokinetic Modeling. Pharmaceutics, 16(12), 1599. https://doi.org/10.3390/pharmaceutics16121599

