Organic Moiety on Sn(IV) Does Matter for In Vitro Mode of Action: nBu3Sn(IV) Compounds with Carboxylato N-Functionalized 2-Quinolones Induce Anoikis-like Cell Death in A375 Cells
Abstract
1. Introduction
2. Materials and Methods
2.1. Instrumentations
2.1.1. Synthesis of the Ligand Precursors (HL1 and HL2)
2.1.2. Synthesis and Characterization of Tributyltin(IV) Compounds
2.2. Crystal Structure Determination and Refinement
2.3. Structure Optimization and Spectral Characterization
2.4. Lipophilicity and Stability
2.5. In Vitro Studies
2.5.1. Reagents and Cells
2.5.2. Determination of Cell Viability (MTT and CV Assays)
2.5.3. Annexin V/Propidium Iodide (PI)
2.5.4. PI Staining on Chamber Slides
2.5.5. Cell Adhesion Assay In Vitro
2.6. Spectrofluorometric BSA Binding Affinity
2.7. Molecular Docking
3. Results and Discussion
3.1. Vibrational Spectroscopy
3.2. NMR Spectroscopy
3.3. Crystallographic Structure
3.4. Theoretical Analysis of Structures and Prediction of the NMR and IR Spectra
3.5. Lipophilicity and Stability
3.6. Cytotoxic Potential of nBu3SnL1 and nBu3SnL2 In Vitro and Comparison to Related Organotin(IV) Compounds
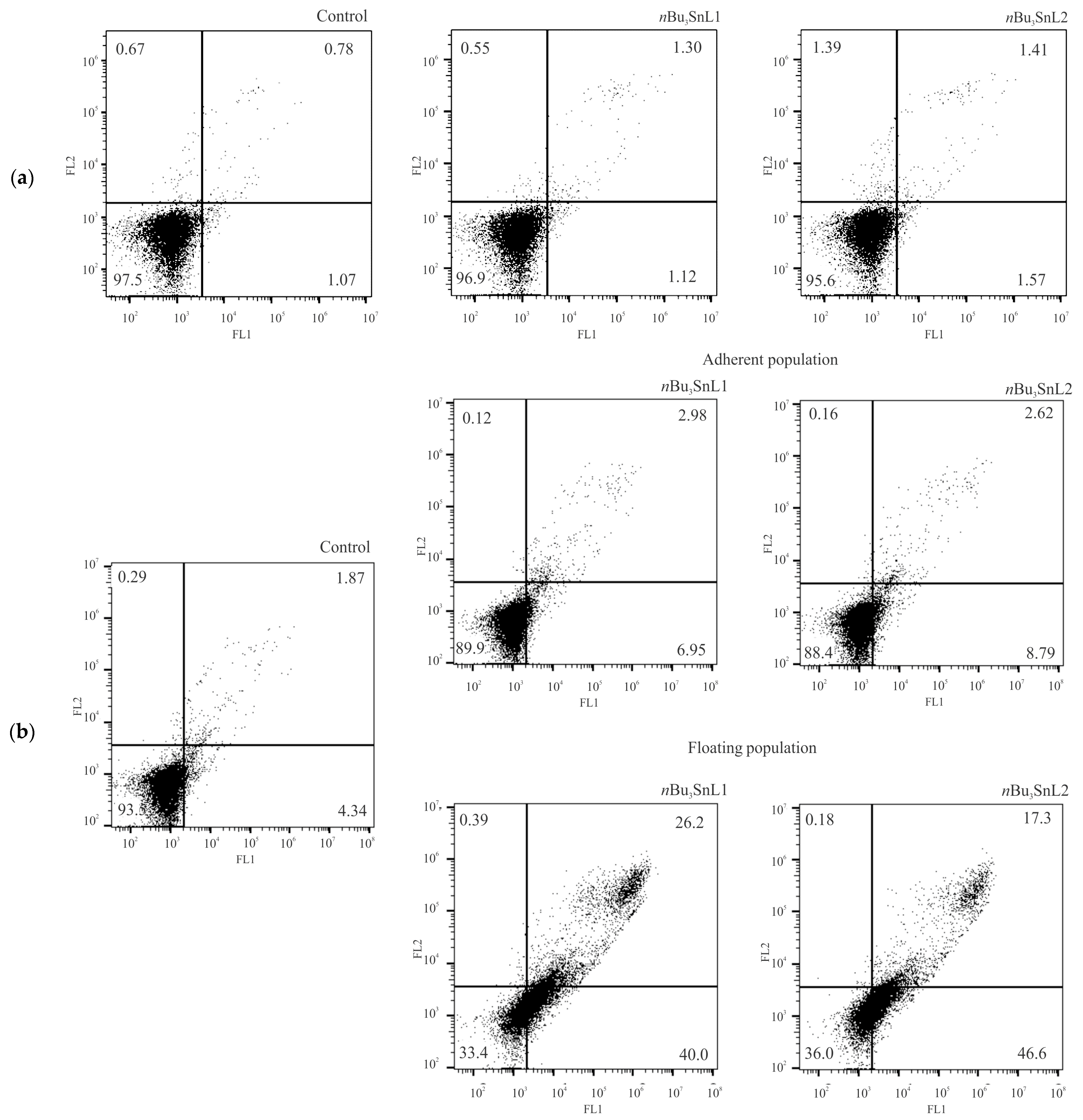
3.7. Mechanism of nBu3SnL1 and nBu3SnL2
3.8. Experimental and Theoretical Protein Binding Affinity
4. Conclusions
Supplementary Materials
Author Contributions
Funding
Data Availability Statement
Acknowledgments
Conflicts of Interest
References
- Alama, A.; Tasso, B.; Novelli, F.; Sparatore, F. Organometallic Compounds in Oncology: Implications of Novel Organotins as Antitumor Agents. Drug Discov. Today 2009, 14, 500–508. [Google Scholar] [CrossRef] [PubMed]
- Cherek, P.; Balogova, M.; Damodaran, K.; Ögmundsdottir, H.M. Abstract 2807: Cytotoxic Activity of Novel Organotin Compounds against Different Cancer Cell Lines. Cancer Res. 2018, 78, 2807. [Google Scholar] [CrossRef]
- Gielen, M.; Biesemans, M.; Willem, R. Organotin Compounds: From Kinetics to Stereochemistry and Antitumour Activities. Appl. Organomet. Chem. 2005, 19, 440–450. [Google Scholar] [CrossRef]
- Zhang, C.; Xu, C.; Gao, X.; Yao, Q. Platinum-Based Drugs for Cancer Therapy and Anti-Tumor Strategies. Theranostics 2022, 12, 2115–2132. [Google Scholar] [CrossRef]
- Ott, I.; Gust, R. Non Platinum Metal Complexes as Anti-Cancer Drugs. Arch. Pharm. 2007, 340, 117–126. [Google Scholar] [CrossRef]
- Galluzzi, L.; Vitale, I.; Michels, J.; Brenner, C.; Szabadkai, G.; Harel-Bellan, A.; Castedo, M.; Kroemer, G. Systems Biology of Cisplatin Resistance: Past, Present and Future. Cell Death Dis. 2014, 5, e1257. [Google Scholar] [CrossRef]
- Cisplatin Side Effects: Common, Severe, Long Term. Available online: https://www.drugs.com/sfx/cisplatin-side-effects.html (accessed on 12 February 2023).
- Raguz, S.; Yagüe, E. Resistance to Chemotherapy: New Treatments and Novel Insights into an Old Problem. Br. J. Cancer 2008, 99, 387–391. [Google Scholar] [CrossRef]
- Dasari, S.; Tchounwou, P.B. Cisplatin in Cancer Therapy: Molecular Mechanisms of Action. Eur. J. Pharmacol. 2014, 740, 364–378. [Google Scholar] [CrossRef]
- Kaluđerović, G.N.; Kommera, H.; Hey-Hawkins, E.; Paschke, R.; Gómez-Ruiz, S. Synthesis and Biological Applications of Ionic Triphenyltin(IV) Chloride Carboxylate Complexes with Exceptionally High Cytotoxicity. Metallomics 2010, 2, 419–428. [Google Scholar] [CrossRef]
- Collery, P.; Morel, M.; Desoize, B.; Millart, H.; Perdu, D.; Prevost, A.; Vallerand, H.; Pechery, C.; Choisy, H.; Etienne, J.C. Combination Chemotherapy with Cisplatin, Etoposide and Gallium Chloride for Lung Cancer: Individual Adaptation of Doses. Anticancer Res. 1991, 11, 1529–1532. [Google Scholar] [CrossRef]
- Kumar, M.; Abbas, Z.; Tuli, H.S.; Rani, A. Organotin Complexes with Promising Therapeutic Potential. Curr. Pharmacol. Rep. 2020, 6, 167–181. [Google Scholar] [CrossRef]
- Vieriu, S.-M.; Someşan, A.-A.; Silvestru, C.; Licarete, E.; Banciu, M.; Varga, R.A. Synthesis, Structural Characterization and in Vitro Antiproliferative Effects of Novel Organotin(IV) Compounds with Nicotinate and Isonicotinate Moieties on Carcinoma Cells. New J. Chem. 2021, 45, 1020–1028. [Google Scholar] [CrossRef]
- Verginadis, I.I.; Karkabounas, S.; Simos, Y.; Kontargiris, E.; Hadjikakou, S.K.; Batistatou, A.; Evangelou, A.; Charalabopoulos, K. Anticancer and Cytotoxic Effects of a Triorganotin Compound with 2-Mercapto-Nicotinic Acid in Malignant Cell Lines and Tumor Bearing Wistar Rats. Eur. J. Pharm. Sci. 2011, 42, 253–261. [Google Scholar] [CrossRef] [PubMed]
- García-López, M.C.; Muñoz-Flores, B.M.; Jiménez-Pérez, V.M.; Moggio, I.; Arias, E.; Chan-Navarro, R.; Santillan, R. Synthesis and Photophysical Characterization of Organotin Compounds Derived from Schiff Bases for Organic Light Emitting Diodes. Dye. Pigment. 2014, 106, 188–196. [Google Scholar] [CrossRef]
- Debnath, P.; Singh, K.S.; Devi, T.S.; Singh, S.S.; Butcher, R.J.; Sieroń, L.; Maniukiewicz, W. Synthesis, Characterization, Crystal Structures and Anti-Diabetic Activity of Organotin (IV) Complexes with 2-(4-Hydroxynaphthylazo)-benzoic Acid. Inorganica Chim. Acta 2020, 510, 119736. [Google Scholar] [CrossRef]
- Basu Baul, T.S.; Hlychho, B.; Addepalli, M.R.; Kundu, S.; de Vos, D.; Linden, A. Synthesis and Structures of Polynuclear Organotin(IV) Complexes of a Polyaromatic Carboxylate Ligand and Cytotoxic Evaluation in Tumor Cell Lines. J. Organomet. Chem. 2023, 985, 122592. [Google Scholar] [CrossRef]
- Kumar, M.; Abbas, Z.; Siwach, P.; Sharma, J.; Rani, A.; Sharma, S.; Aggarwal, P.; Show, P.-L.; Haque, S.; Garg, V.; et al. Path of Organotin Complexes: Synthetic Factors, Mechanisms, and Broad Spectrum Biological Influences. J. Adv. Biotechnol. Exp. Ther. 2023, 6, 386–402. [Google Scholar] [CrossRef]
- Gielen, M. Review: Organotin Compounds and Their Therapeutic Potential: A Report from the Organometallic Chemistry Department of the Free University of Brussels. Appl. Organomet. Chem. 2002, 16, 481–494. [Google Scholar] [CrossRef]
- Pellerito, L.; Nagy, L. Organotin(IV)N+ Complexes Formed with Biologically Active Ligands: Equilibrium and Structural Studies, and Some Biological Aspects. Coordin. Chem. Rev. 2002, 224, 111–150. [Google Scholar] [CrossRef]
- Tariq, M.; Sirajuddin, M.; Ali, S.; Khalid, N.; Tahir, M.N.; Khan, H.; Ansari, T.M. Pharmacological Investigations and Petra/Osiris/Molinspiration (POM) Analyses of Newly Synthesized Potentially Bioactive Organotin(IV) Carboxylates. J. Photochem. 2016, 158, 174–183. [Google Scholar] [CrossRef]
- Aziz-ur-Rehman; Hussain, M.; Zia-ur-Rehman; Rauf, A.; Nasim, F.-H.; Tahir, A.A.; Ali, S. New Tetrahedral, Square-Pyramidal, Trigonal-Bipyramidal and Octahedral Organotin(IV) 4-Ethoxycarbonylpiperazine-1-Carbodithioates: Synthesis, Structural Properties and Biological Applications. J. Organomet. Chem. 2010, 695, 1526–1532. [Google Scholar] [CrossRef]
- Ullah, H.; Previtali, V.; Mihigo, H.B.; Twamley, B.; Rauf, M.K.; Javed, F.; Waseem, A.; Baker, R.J.; Rozas, I. Structure-Activity Relationships of New Organotin(IV) Anticancer Agents and Their Cytotoxicity Profile on HL-60, MCF-7 and HeLa Human Cancer Cell Lines. Eur. J. Med. Chem. 2019, 181, 111544. [Google Scholar] [CrossRef]
- Syed Annuar, S.N.; Kamaludin, N.F.; Awang, N.; Chan, K.M. Cellular Basis of Organotin(IV) Derivatives as Anticancer Metallodrugs: A Review. Front. Chem. 2021, 9, 657599. [Google Scholar] [CrossRef]
- Adeyemi, J.O.; Onwudiwe, D.C. Organotin(IV) Dithiocarbamate Complexes: Chemistry and Biological Activity. Molecules 2018, 23, 2571. [Google Scholar] [CrossRef]
- Sirajuddin, M.; Ali, S.; Tahir, M.N. Pharmacological Investigation of Mono-, Di- and Tri-Organotin(IV) Derivatives of Carbodithioates: Design, Spectroscopic Characterization, Interaction with SS-DNA and POM Analyses. Inorg. Chim. Acta 2016, 439, 145–158. [Google Scholar] [CrossRef]
- Abdellah, M.A.; Hadjikakou, S.K.; Hadjiliadis, N.; Kubicki, M.; Bakas, T.; Kourkoumelis, N.; Simos, Y.V.; Karkabounas, S.; Barsan, M.M.; Butler, I.S. Synthesis, Characterization, and Biological Studies of Organotin(IV) Derivatives with o- or p-Hydroxybenzoic Acids. Bioinorg. Chem. Appl. 2009, 2009, 542979. [Google Scholar] [CrossRef]
- Joshi, R.; Tomar, N.; Pokharia, S.; Joshi, I. Recent Advancements in Organotin(IV) Complexes of Drugs: Synthesis, Characterization, and Application. Results Chem. 2023, 5, 100955. [Google Scholar] [CrossRef]
- Pantelić, N.Đ.; Božić, B.; Zmejkovski, B.B.; Banjac, N.R.; Dojčinović, B.; Wessjohann, L.A.; Kaluđerović, G.N. In Vitro Evaluation of Antiproliferative Properties of Novel Organotin(IV) Carboxylate Compounds with Propanoic Acid Derivatives on a Panel of Human Cancer Cell Lines. Molecules 2021, 26, 3199. [Google Scholar] [CrossRef]
- Waseem, D.; Butt, A.F.; Haq, I.; Bhatti, M.H.; Khan, G.M. Carboxylate Derivatives of Tributyltin (IV) Complexes as Anticancer and Antileishmanial Agents. DARU J. Pharm. Sci. 2017, 25, 8. [Google Scholar] [CrossRef]
- Banti, C.N.; Hadjikakou, S.K.; Sismanoglu, T.; Hadjiliadis, N. Anti-Proliferative and Antitumor Activity of Organotin(IV) Compounds. An Overview of the Last Decade and Future Perspectives. J. Inorg. Biochem. 2019, 194, 114–152. [Google Scholar] [CrossRef]
- Kamaludin, N.F.; Ismail, N.; Awang, N.; Mohamad, R.; Pim, N.U. Cytotoxicity Evaluation and the Mode of Cell Death of K562 Cells Induced by Organotin (IV) (2-Methoxyethyl) Methyldithiocarbamate Compounds. J. Appl. Pharm. Sci. 2019, 9, 10–15. [Google Scholar] [CrossRef]
- Uivarosi, V. Metal Complexes of Quinolone Antibiotics and Their Applications: An Update. Molecules 2013, 18, 11153–11197. [Google Scholar] [CrossRef] [PubMed]
- Aly, A.A.; Ramadan, M.; Abuo-Rahma, G.E.-D.A.; Elshaier, Y.A.M.M.; Elbastawesy, M.A.I.; Brown, A.B.; Bräse, S. Quinolones as Prospective Drugs: Their Syntheses and Biological Applications. Adv. Heterocycl. Chem. 2021, 135, 147–196. [Google Scholar] [CrossRef]
- Wang, Y.; Xiao, F.; Jin, G. Structural Basis of Quinolone Derivatives, Inhibition of Type I and II Topoisomerases and Inquiry into the Relevance of Bioactivity in Odd or Even Branches with Molecular Docking Study. J. Mol. Struct. 2020, 1221, 128869. [Google Scholar] [CrossRef]
- Senerovic, L.; Opsenica, D.; Moric, I.; Aleksic, I.; Spasić, M.; Vasiljevic, B. Quinolines and Quinolones as Antibacterial, Antifungal, Anti-Virulence, Antiviral and Anti-Parasitic Agents. Adv. Exp. Med. Biol. 2020, 1282, 37–69. [Google Scholar] [CrossRef]
- Sharma, V.; Das, R.; Kumar Mehta, D.; Gupta, S.; Venugopala, K.N.; Mailavaram, R.; Nair, A.B.; Shakya, A.K.; Kishore Deb, P. Recent Insight into the Biological Activities and SAR of Quinolone Derivatives as Multifunctional Scaffold. Bioorg. Med. Chem. 2022, 59, 116674. [Google Scholar] [CrossRef] [PubMed]
- Peterson, L.R. Quinolone Molecular Structure-Activity Relationships: What We Have Learned about Improving Antimicrobial Activity. Clin. Infect. Dis. 2001, 33, 180–186. [Google Scholar] [CrossRef]
- Kasalović, M.P.; Jelača, S.; Maksimović-Ivanić, D.; Lađarević, J.; Radovanović, L.; Božić, B.; Mijatović, S.; Pantelić, N.Đ.; Kaluđerović, G.N. Novel Diphenyltin(IV) Complexes with Carboxylato N-Functionalized 2-Quinolone Ligands: Synthesis, Characterization and in Vitro Anticancer Studies. J. Inorg. Biochem. 2024, 250, 112399. [Google Scholar] [CrossRef]
- Kasalović, M.P.; Jelača, S.; Milanović, Ž.; Maksimović-Ivanić, D.; Mijatović, S.; Lađarević, J.; Božić, B.; Marković, Z.; Dunđerović, D.; Rüffer, T.; et al. Novel Triphenyltin(IV) Compounds with Carboxylato N-Functionalized 2-Quinolones as Promising Potential Anticancer Drug Candidates: In Vitro and in Vivo Evaluation. Dalton Trans. 2024, 53, 8298–8314. [Google Scholar] [CrossRef]
- Kasalović, M.P.; Dimić, D.; Jelača, S.; Maksimović-Ivanić, D.; Mijatović, S.; Zmejkovski, B.B.; Schreiner, S.H.F.; Rüffer, T.; Pantelić, N.; Kaluđerović, G.N. Trimethyltin(IV) Bearing 3-(4-Methyl-2-oxoquinolin-1(2H)-yl)propanoate Causes Lipid Peroxidation-Mediated Autophagic Cell Death in Human Melanoma A375 Cells. Pharmaceuticals 2024, 17, 372. [Google Scholar] [CrossRef]
- Farrugia, L.J. WinGX and ORTEP for Windows: An Update. J. Appl. Crystallogr. 2012, 45, 849–854. [Google Scholar] [CrossRef]
- Sheldrick, G.M. A Short History of SHELX. Acta Crystallogr. A 2008, 64, 112–122. [Google Scholar] [CrossRef] [PubMed]
- G09|Gaussian. Available online: https://gaussian.com/glossary/g09/ (accessed on 15 November 2023).
- Becke, A.D. Density-functional Thermochemistry. III. The Role of Exact Exchange. J. Chem. Phys. 1993, 98, 5648–5652. [Google Scholar] [CrossRef]
- Becke, A.D.; Johnson, E.R. A Density-Functional Model of the Dispersion Interaction. J. Chem. Phys. 2005, 123, 154101–154109. [Google Scholar] [CrossRef] [PubMed]
- Dunning, T.H. Gaussian Basis Sets for Use in Correlated Molecular Calculations. I. The Atoms Boron through Neon and Hydrogen. J. Chem. Phys. 1989, 90, 1007. [Google Scholar] [CrossRef]
- Weinhold, F.; Landies, C.R. Valency and Bonding: A Natural Bond Orbital Donor-Acceptor Perspective; Cambridge University Press: Cambridge, UK, 2005. [Google Scholar]
- Dennington, R.; Keith, T.; Millam, J. Gaus View, version 5; Semichem Inc.: Shawnee, KS, USA, 2009. [Google Scholar]
- Marenich, A.V.; Cramer, C.J.; Truhlar, D.G. Universal Solvation Model Based on Solute Electron Density and on a Continuum Model of the Solvent Defined by the Bulk Dielectric Constant and Atomic Surface Tensions. J. Phys. Chem. B 2009, 113, 6378–6396. [Google Scholar] [CrossRef] [PubMed]
- Bohmann, J.A.; Weinhold, F.; Farrar, T.C. Natural Chemical Shielding Analysis of Nuclear Magnetic Resonance Shielding Tensors from Gauge-Including Atomic Orbital Calculations. J. Chem. Phys. 1997, 107, 1173–1184. [Google Scholar] [CrossRef]
- Bader, R.F.W. Atoms in Molecules. Acc. Chem. Res. 1985, 18, 9–15. [Google Scholar] [CrossRef]
- Bader, R.F.W. Atoms in Molecules: A Quantum Theory; Oxford University Press: Oxford, UK, 1990. [Google Scholar] [CrossRef]
- Keith, T.A. AIMAII, version 19.10.12; TK Gristmill Software: Overland Park, KS, USA, 2019. [Google Scholar]
- Puckett, C.A.; Barton, J.K. Methods to Explore Cellular Uptake of Ruthenium Complexes. J. Am. Chem. Soc. 2007, 129, 46–47. [Google Scholar] [CrossRef]
- Morris, G.M.; Huey, R.; Lindstrom, W.; Sanner, M.F.; Belew, R.K.; Goodsell, D.S.; Olson, A.J. AutoDock4 and AutoDockTools4: Automated Docking with Selective Receptor Flexibility. J. Comput. Chem. 2009, 30, 2785–2791. [Google Scholar] [CrossRef]
- Valdés-Tresanco, M.S.; Valdés-Tresanco, M.E.; Valiente, P.A.; Moreno, E. AMDock: A Versatile Graphical Tool for Assisting Molecular Docking with Autodock Vina and Autodock4. Biol. Direct 2020, 15, 12. [Google Scholar] [CrossRef] [PubMed]
- Bujacz, A.; Zielinski, K.; Sekula, B. Structural Studies of Bovine, Equine, and Leporine Serum Albumin Complexes with Naproxen. Proteins 2014, 82, 2199–2208. [Google Scholar] [CrossRef] [PubMed]
- Dassault Systèmes BIOVIA. Discovery Studio Modeling Environment (Release 2017); BIOVIA: San Diego, CA, USA, 2016. [Google Scholar]
- Iqbal, M.; Ali, S.; Muhammad, N.; Parvez, M.; Langer, P.; Villinger, A. Synthesis, Characterization, Crystal Structures and Electrochemical Studies of Organotin(IV) Carboxylates. J. Organomet. Chem. 2013, 723, 214–223. [Google Scholar] [CrossRef]
- Ahmad, I.; Zia-ur-Rehman; Waseem, A.; Tariq, M.; MacBeth, C.; Bacsa, J.; Venkataraman, D.; Rajakumar, A.; Ullah, N.; Tabassum, S. Organotin(IV) Derivatives of Amide-Based Carboxylates: Synthesis, Spectroscopic Characterization, Single Crystal Studies and Antimicrobial, Antioxidant, Cytotoxic, Anti-Leishmanial, Hemolytic, Noncancerous, Anticancer Activities. Inorg. Chim. Acta 2020, 505, 119433. [Google Scholar] [CrossRef]
- Shahzadi, S.; Bhatti, M.H.; Shahid, K.; Ali, S.; Tariq, S.R.; Mazhar, M.; Khan, K.M. Synthesis, Characterization, and Biological Activity of n-Tributyltin Derivatives of Pharmaceutically Active Carboxylates. Monatsh. Chem. 2002, 133, 1089–1096. [Google Scholar] [CrossRef]
- Muhammad, N.; Zia-ur-Rehman; Ali, S.; Meetsma, A.; Shaheen, F. Organotin(IV) 4-Methoxyphenylethanoates: Synthesis, Spectroscopic Characterization, X-Ray Structures and in Vitro Anticancer Activity against Human Prostate Cell Lines (PC-3). Inorg. Chim. Acta 2009, 362, 2842–2848. [Google Scholar] [CrossRef]
- Di, L.; Kerns, E.H. Chapter 5—Lipophilicity. In Drug-like Properties, 2nd ed.; Di, L., Kerns, E.H., Eds.; Academic Press: Boston, MA, USA, 2016; pp. 39–50. [Google Scholar] [CrossRef]
- Stocks, M. The Small Molecule Drug Discovery Process—From Target Selection to Candidate Selection. In Introduction to Biological and Small Molecule Drug Research and Development: Theory and Case Studies; Elsevier: Amsterdam, The Netherlands, 2013; pp. 81–126. [Google Scholar] [CrossRef]
- Andrejević, T.P.; Aleksic, I.; Kljun, J.; Počkaj, M.; Zlatar, M.; Vojnovic, S.; Nikodinovic-Runic, J.; Turel, I.; Djuran, M.I.; Glišić, B.Đ. Copper(II) and Silver(I) Complexes with Dimethyl 6-(pyrazine-2-yl)pyridine-3,4-dicarboxylate (py-2pz): The Influence of the Metal Ion on the Antimicrobial Potential of the Complex. RSC Adv. 2023, 13, 4376–4393. [Google Scholar] [CrossRef]
- Stephens, C.; Lucena, M.I.; Andrade, R.J. Idiosyncratic Drug-Induced Liver Injury: Mechanisms and Susceptibility Factors. In Comprehensive Toxicology, 3rd ed.; Elsevier: Amsterdam, The Netherlands, 2018; Volume 2, pp. 625–650. [Google Scholar] [CrossRef]
- Ghose, A.K.; Viswanadhan, V.N.; Wendoloski, J.J. A Knowledge-Based Approach in Designing Combinatorial or Medicinal Chemistry Libraries for Drug Discovery. 1. A Qualitative and Quantitative Characterization of Known Drug Databases. J. Comb. Chem. 1999, 1, 55–68. [Google Scholar] [CrossRef] [PubMed]
- Mullard, A. Re-Assessing the Rule of 5, Two Decades On. Nat. Rev. Drug Discov. 2018, 17, 777. [Google Scholar] [CrossRef]
- Suzanne, M.; Steller, H. Letting Go: Modification of Cell Adhesion during Apoptosis. J. Biol. 2009, 8, 49. [Google Scholar] [CrossRef] [PubMed]
- Chiarugi, P.; Pani, G.; Giannoni, E.; Taddei, L.; Colavitti, R.; Raugei, G.; Symons, M.; Borrello, S.; Galeotti, T.; Ramponi, G. Reactive Oxygen Species as Essential Mediators of Cell Adhesion. J. Cell Biol. 2003, 161, 933–944. [Google Scholar] [CrossRef] [PubMed]
- Ashrafizadeh, M.; Mohammadinejad, R.; Tavakol, S.; Ahmadi, Z.; Roomiani, S.; Katebi, M. Autophagy, Anoikis, Ferroptosis, Necroptosis, and Endoplasmic Reticulum Stress: Potential Applications in Melanoma Therapy. J. Cell. Physiol. 2019, 234, 19471–19479. [Google Scholar] [CrossRef] [PubMed]
- Xu, L.; Hong, M.; Yang, Y.; Cui, J.; Li, C. Synthesis, Structural Characterization, in Vitro Cytotoxicities, and BSA Interaction of Di-Organotin(IV) Complexes Derived from Salicylaldehyde Nicotinoyl Hydrazone. J. Coord. Chem. 2016, 69, 2598–2609. [Google Scholar] [CrossRef]
- Wang, F.; Yin, H.; Cui, J.; Zhang, Y.; Geng, H.; Hong, M. Synthesis, Structural Characterization, in Vitro Cytotoxicities, DNA-Binding and BSA Interaction of Diorganotin (IV) Complexes Derived from Hydrazone Schiff Base. J. Organomet. Chem. 2014, 759, 83–91. [Google Scholar] [CrossRef]











| 1H | 13C | ||||
|---|---|---|---|---|---|
| H atom | Exp. [ppm] | Calc. [ppm] | C atom | Exp. [ppm] | Calc. [ppm] |
| H6 | 7.26 | 7.38 | CH3 | 19.04 | 21.55 |
| H8 | 7.49 | 8.12 | C12 | 32.84 | 37.96 |
| H7 | 7.57 | 7.76 | C13 | 38.81 | 43.27 |
| H5 | 7.72 | 7.90 | C8 | 114.34 | 114.68 |
| H3 | 6.59 | 6.49 | C3 | 121.10 | 118.68 |
| H13 | 4.58 | 3.71 | C10 | 121.68 | 121.40 |
| H12 | 2.74 | 3.17 | C6 | 121.82 | 120.60 |
| CH3 | 2.47 | 2.42 | C5 | 125.4 | 125.04 |
| Hα | 1.63 | 1.11 | C7 | 130.52 | 129.92 |
| Hβ | 1.37 | 1.40 | C9 | 138.80 | 138.14 |
| Hγ | 1.29 | 1.26 | C4 | 146.48 | 148.94 |
| Hδ | 0.93 | 0.84 | C2 | 161.71 | 158.41 |
| R | 0.98 | C11 | 176.30 | 174.66 | |
| MAE [ppm] | 0.33 | Cδ | 13.66 | 15.64 | |
| Cα | 16.51 | 19.55 | |||
| Cγ | 27.04 | 31.85 | |||
| Cβ | 27.83 | 31.35 | |||
| R | 1.00 | ||||
| MAE [ppm] | 2.28 | ||||
| Compound | Assays | MCF-7 | A375 | HCT116 | 4T1 | B16 | CT26 |
|---|---|---|---|---|---|---|---|
| HL1, HL2 * | MTT [µM] | >200 | |||||
| CV [µM] | >200 | ||||||
| Me3SnL1 ** | MTT [µM] | 5.7 ± 0.2 | 5.4 ± 0.5 | 6.2 ± 0.4 | 17.2 ± 2.4 | 8.1 ± 0.15 | 11.9 ± 1.5 |
| CV [µM] | 11.4 ± 2.7 | 10.9 ± 1.9 | 8.0 ± 0.4 | 18.9 ± 1.8 | 10.6 ± 1.0 | 16.1 ± 2.0 | |
| nBu3SnL1 | MTT [µM] | 0.50 ± 0.05 | 0.50 ± 0.10 | 0.50± 0.05 | 0.25 ± 0.04 | 0.20 ± 0.01 | 0.22 ± 0.00 |
| CV [µM] | 0.60 ± 0.10 | 0.70 ± 0.05 | 0.80 ± 0.00 | 0.30 ± 0.00 | 0.20 ± 0.06 | 0.30 ± 0.04 | |
| nBu3SnL2 | MTT [µM] | 0.30 ± 0.02 | 0.31 ± 0.01 | 0.30 ± 0.02 | 0.22 ± 0.02 | 0.20 ± 0.02 | 0.24 ± 0.05 |
| CV [µM] | 0.50 ± 0.10 | 0.60 ± 0.05 | 0.55 ± 0.0.5 | 0.29 ± 0.02 | 0.20 ± 0.05 | 0.30 ± 0.00 | |
| Ph2Sn(L1)2 * | MTT [µM] | 0.10 ± 0.00 | 0.30 ± 0.05 | 0.15 ± 0.02 | 0.30 ± 0.03 | 0.36 ± 0.01 | 0.30 ± 0.01 |
| CV [µM] | 0.20 ± 0.02 | 0.36 ± 0.05 | 0.26 ± 0.02 | 0.40 ± 0.01 | 0.39 ± 0.07 | 0.40 ± 0.07 | |
| Ph2Sn(L2)2 * | MTT [µM] | 0.60 ± 0.03 | 0.60 ± 0.05 | 0.60 ± 0.03 | 0.50 ± 0.02 | 0.50 ± 0.10 | 0.70 ± 0.04 |
| CV [µM] | 0.60 ± 0.02 | 0.62 ± 0.02 | 0.46 ± 0.00 | 0.70 ± 0.00 | 0.50 ± 0.20 | 0.80 ± 0.02 | |
| Ph3SnL1 *** | MTT [µM] | 0.10 ± 0.03 | 0.10 ± 0.02 | 0.10 ± 0.01 | 0.10 ± 0.01 | 0.10 ± 0.03 | 0.16 ± 0.02 |
| CV [µM] | 0.15 ± 0.03 | 0.12 ± 0.00 | 0.13 ± 0.03 | 0.17 ± 0.01 | 0.10 ± 0.04 | 0.18 ± 0.01 | |
| Ph3SnL2 *** | MTT [µM] | 0.10 ± 0.01 | 0.10 ± 0.01 | 0.05 ± 0.03 | 0.10 ± 0.01 | 0.10 ± 0.01 | 0.10 ± 0.01 |
| CV [µM] | 0.10 ± 0.00 | 0.12 ± 0.01 | 0.10 ± 0.01 | 0.10 ± 0.01 | 0.10 ± 0.02 | 0.10 ± 0.02 | |
| Cisplatin * | MTT [µM] | 5.00 ± 0.70 | 8.10 ± 0.70 | 5.00 ± 2.30 | 1.60 ± 0.20 | 8.30 ± 1.60 | 4.30 ± 0.20 |
| CV [µM] | 12.60 ± 2.50 | 10.70 ± 1.60 | 12.30 ± 3.50 | 2.50 ± 0.10 | 18.00 ± 1.80 | 4.70 ± 0.40 | |
| Compound | T [K] | Kb [M−1] | n | R2 | ΔHb [kJ mol−1] | ΔSb [J mol−1 K−1] | ΔGb [kJ mol−1] |
|---|---|---|---|---|---|---|---|
| nBu3SnL1 | 300 | 2.74 × 106 | 1.35 | 0.999 | −261.9 | −748.5 | −37.3 |
| 308 | 7.53 × 105 | 1.24 | 0.997 | −33.6 | |||
| 310 | 9.23 × 104 | 1.08 | 0.999 | −29.8 | |||
| nBu3SnL2 | 300 | 2.68 × 105 | 1.204 | 0.999 | 130.4 | 538.6 | −31.2 |
| 308 | 6.67 × 105 | 1.24 | 0.997 | −33.9 | |||
| 310 | 1.45 × 106 | 1.45 | 0.999 | −36.6 |
Disclaimer/Publisher’s Note: The statements, opinions and data contained in all publications are solely those of the individual author(s) and contributor(s) and not of MDPI and/or the editor(s). MDPI and/or the editor(s) disclaim responsibility for any injury to people or property resulting from any ideas, methods, instructions or products referred to in the content. |
© 2024 by the authors. Licensee MDPI, Basel, Switzerland. This article is an open access article distributed under the terms and conditions of the Creative Commons Attribution (CC BY) license (https://creativecommons.org/licenses/by/4.0/).
Share and Cite
Kasalović, M.P.; Jelača, S.; Dimić, D.; Maksimović-Ivanić, D.; Jevtić, V.V.; Mijatović, S.; Rüffer, T.; Kaluđerović, G.N.; Pantelić, N.Đ. Organic Moiety on Sn(IV) Does Matter for In Vitro Mode of Action: nBu3Sn(IV) Compounds with Carboxylato N-Functionalized 2-Quinolones Induce Anoikis-like Cell Death in A375 Cells. Pharmaceutics 2024, 16, 1529. https://doi.org/10.3390/pharmaceutics16121529
Kasalović MP, Jelača S, Dimić D, Maksimović-Ivanić D, Jevtić VV, Mijatović S, Rüffer T, Kaluđerović GN, Pantelić NĐ. Organic Moiety on Sn(IV) Does Matter for In Vitro Mode of Action: nBu3Sn(IV) Compounds with Carboxylato N-Functionalized 2-Quinolones Induce Anoikis-like Cell Death in A375 Cells. Pharmaceutics. 2024; 16(12):1529. https://doi.org/10.3390/pharmaceutics16121529
Chicago/Turabian StyleKasalović, Marijana P., Sanja Jelača, Dušan Dimić, Danijela Maksimović-Ivanić, Verica V. Jevtić, Sanja Mijatović, Tobias Rüffer, Goran N. Kaluđerović, and Nebojša Đ. Pantelić. 2024. "Organic Moiety on Sn(IV) Does Matter for In Vitro Mode of Action: nBu3Sn(IV) Compounds with Carboxylato N-Functionalized 2-Quinolones Induce Anoikis-like Cell Death in A375 Cells" Pharmaceutics 16, no. 12: 1529. https://doi.org/10.3390/pharmaceutics16121529
APA StyleKasalović, M. P., Jelača, S., Dimić, D., Maksimović-Ivanić, D., Jevtić, V. V., Mijatović, S., Rüffer, T., Kaluđerović, G. N., & Pantelić, N. Đ. (2024). Organic Moiety on Sn(IV) Does Matter for In Vitro Mode of Action: nBu3Sn(IV) Compounds with Carboxylato N-Functionalized 2-Quinolones Induce Anoikis-like Cell Death in A375 Cells. Pharmaceutics, 16(12), 1529. https://doi.org/10.3390/pharmaceutics16121529

