Sign in to use this feature.

Years

Between: -

Subjects

remove_circle_outline
remove_circle_outline
remove_circle_outline
remove_circle_outline
remove_circle_outline
remove_circle_outline
remove_circle_outline
remove_circle_outline
remove_circle_outline

Journals

remove_circle_outline
remove_circle_outline
remove_circle_outline
remove_circle_outline
remove_circle_outline
remove_circle_outline
remove_circle_outline
remove_circle_outline
remove_circle_outline
remove_circle_outline
remove_circle_outline
remove_circle_outline
remove_circle_outline
remove_circle_outline
remove_circle_outline
remove_circle_outline
remove_circle_outline
remove_circle_outline
remove_circle_outline
remove_circle_outline
remove_circle_outline
remove_circle_outline
remove_circle_outline
remove_circle_outline
remove_circle_outline

Article Types

Countries / Regions

remove_circle_outline
remove_circle_outline
remove_circle_outline
remove_circle_outline
remove_circle_outline
remove_circle_outline
remove_circle_outline
remove_circle_outline
remove_circle_outline

Search Results (7,888)

Search Parameters:
Keywords = in vitro cytotoxicity

Order results
Result details
Results per page
Select all
Export citation of selected articles as:
17 pages, 1787 KB  
Article
Antioxidant and Erythroprotective Effects of C-Phycocyanin from the Cyanobacterium Spirulina sp. in Attenuating Oxidative Stress Induced by Peroxyl Radicals
by Cinthia Jael Gaxiola-Calvo, Diana Fimbres-Olivarría, Ricardo Iván González-Vega, Yaeel Isbeth Cornejo-Ramírez, Ariadna Thalía Bernal-Mercado, Saul Ruiz-Cruz, José de Jesús Ornelas-Paz, Miguel Ángel Robles-García, José Rogelio Ramos-Enríquez and Carmen Lizette Del-Toro-Sánchez
Molecules 2026, 31(1), 169; https://doi.org/10.3390/molecules31010169 (registering DOI) - 1 Jan 2026
Abstract
Diseases caused by oxidative stress can present different susceptibilities depending on blood typing according to the ABO system and RhD factor, which turn out to be of great clinical importance. The use of antioxidants such as C-phycocyanin (a phycobiliprotein) could be an alternative [...] Read more.
Diseases caused by oxidative stress can present different susceptibilities depending on blood typing according to the ABO system and RhD factor, which turn out to be of great clinical importance. The use of antioxidants such as C-phycocyanin (a phycobiliprotein) could be an alternative to mitigate oxidative stress in the blood. Therefore, the objective of this study is to evaluate the antioxidant and erythroprotective activity of C-phycocyanin (C-PC) from Spirulina sp. against oxidative stress caused by peroxyl radicals, before and after in vitro digestion, comparing susceptibilities between blood groups. C-phycocyanin from Spirulina sp. was obtained commercially. The antioxidant capacity by ABTS+•, DPPH•, and FRAP assays of the bioaccessible fraction of C-PC increased compared to baseline in all assays. Samples appear to have high hydrogen atom transfer. C-PC is not cytotoxic in most blood groups. The AAPH hemolysis assays showed differences between blood groups, yielding results of 27.90, 22.60, 26.94, 27.66, 28.16, 28.34, and 24.91% hemolysis for O+, O−, A+, A−, B+, AB+, and AB−, respectively. Furthermore, in vitro digestion increased the erythroprotective effect in the bioavailable fraction in most blood groups, showing 37.12, 80.13, 5.48, 92.38, 67.93, 80.30, and 76.49% inhibition of hemolysis in O+, O−, A+, A−, B+, AB+, and AB−, respectively. These results demonstrate the biotechnological and biomedical potential of phycobiliproteins as safe candidates for the development of nutraceuticals and functional foods aimed at preventing oxidative damage. Full article
Show Figures

Graphical abstract

31 pages, 12036 KB  
Article
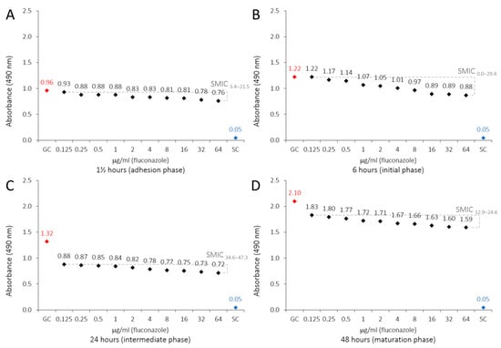
Lavandula angustifolia Essential Oil as a Developmental Inhibitor of Candida Species and Biofilms
by Vanessa Bassinello, Marcelo Fabiano Gomes Boriollo, Janaina Priscila Barbosa, Wagner Luís de Carvalho Bernardo, Mateus Cardoso Oliveira, Carlos Tadeu dos Santos Dias and Cristina Paiva de Sousa
Antibiotics 2026, 15(1), 41; https://doi.org/10.3390/antibiotics15010041 (registering DOI) - 1 Jan 2026
Abstract
Background: This research aimed to investigate the antifungal and antibiofilm action of Lavandula angustifolia essential oil (LaEO) against certain Candida species and its toxicity on human keratinocytes. Methods: The minimum inhibitory concentration (MIC) and sessile minimum inhibitory concentration (SMIC) of LaEO were both [...] Read more.
Background: This research aimed to investigate the antifungal and antibiofilm action of Lavandula angustifolia essential oil (LaEO) against certain Candida species and its toxicity on human keratinocytes. Methods: The minimum inhibitory concentration (MIC) and sessile minimum inhibitory concentration (SMIC) of LaEO were both determined by broth microdilution assays. The influence of LaEO treatment on the ultrastructural morphology of the biofilm and germ tubes was evaluated by scanning electron microscopy (SEM) and light microscopy. In vitro cytotoxicity studies were conducted using human HaCaT epidermal keratinocytes. Results: LaEO showed fungicidal action for all Candida species (125–4000 μg/mL). The SMIC>90 (C. albicans) ranged between 10,000 and 20,000 μg/mL and resulted in quantitative and qualitative cellular changes. LaEO also inhibited the developmental germ tube kinetics of C. albicans. The 50% cytotoxic concentration (CI50) for HaCaT cells was estimated at 420 μg/mL of LaEO, resulting in a selectivity index (SI) of 0.376 to 5.753 for planktonic cells and 0.056 to 0.321 for biofilm phases. Conclusions: LaEO was found to have antifungal action against Candida species and inhibited the pathogenic morphology of C. albicans. Its antibiofilm effects are comparable to the antifungal agent nystatin, and it can become an important component for the development of natural products applicable to alternative and complementary medicine and dentistry. Full article
(This article belongs to the Section Plant-Derived Antibiotics)
Show Figures

Figure 1

22 pages, 3127 KB  
Article
Poly(ε-caprolactone) Nanoparticle Tumor-Lysate Vaccination in Mice Generates Hybridoma-Derived Antibodies Enabling Breast Cancer Diagnosis and Chemotherapy Synergy
by Murat Ihlamur, Pelin Pelit Arayıcı and Emrah Şefik Abamor
Biomedicines 2026, 14(1), 88; https://doi.org/10.3390/biomedicines14010088 (registering DOI) - 1 Jan 2026
Abstract
Background: Tumor-lysate vaccines can capture tumor heterogeneity; however, their effectiveness may be reduced by antigen instability and short antigen presentation. Here, we aimed to improve antigen protection and prolong presentation by using a slow-degrading polymeric nanocarrier and an approved adjuvant. Methods: We encapsulated [...] Read more.
Background: Tumor-lysate vaccines can capture tumor heterogeneity; however, their effectiveness may be reduced by antigen instability and short antigen presentation. Here, we aimed to improve antigen protection and prolong presentation by using a slow-degrading polymeric nanocarrier and an approved adjuvant. Methods: We encapsulated breast cancer cell lysates (MCF-7 and MDA-MB-231) in poly(ε-caprolactone) (PCL) nanoparticles using a double-emulsion (w/o/w) method and co-administered them with alum. We then characterized particle size, PDI, zeta potential, morphology, and in vitro release. Next, we evaluated nitric oxide (NO), TNF-α/IL-10 responses, and cytocompatibility in J774 macrophages. Finally, we quantified serum antibody titers in Balb/c mice after six biweekly immunizations, generated hybridomas, purified IgG, and tested antibody-mediated cytotoxicity alone and together with doxorubicin. Results: PCL nanoparticles were ~220–255 nm (PDI 0.10–0.19; ζ −2 to −3 mV) and released ~90–95% of encapsulated lysate by 800 h (~33 days). Encapsulated lysate (40 μg/mL) modestly increased NO versus control and increased further with alum (p < 0.05). TNF-α increased 7.4–9.72-fold, whereas IL-10 rose 2.82–3.11-fold. Importantly, encapsulated antigen + alum produced the highest ELISA responses after the sixth dose (6.36-fold for MCF-7 and 7.00-fold for MDA-MB-231 versus control; p < 0.05). Hybridoma-derived antibody signals increased through day 42, and Protein G purification yielded up to ~395 μg and ~318 μg IgG. Purified antibodies reduced cell viability, and viability decreased further when antibodies were combined with doxorubicin (to ~31.6% in MCF-7 and ~40.3% in MDA-MB-231). Conclusions: Overall, sustained PCL-mediated antigen release combined with alum strengthened humoral responses to tumor lysate and enabled recovery of functional antibodies with diagnostic capture and in vitro cytotoxic activity. In future work, key mechanistic steps such as lymph-node trafficking and cross-presentation should be tested directly. Full article
(This article belongs to the Section Nanomedicine and Nanobiology)
Show Figures

Figure 1

17 pages, 4947 KB  
Article
Optimization of Sweet Potato (Ipomoea batatas L.) Chlorogenic Acid Extraction Process and Hypoglycemic Effect Study
by Xiaofei Wang, Jiayu Zhang, Chen Yang, Xiaohan Yu, Dan Tian, Mingli Han and Na Xiao
Plants 2026, 15(1), 120; https://doi.org/10.3390/plants15010120 (registering DOI) - 1 Jan 2026
Abstract
Chlorogenic acid (CGA) is an active ingredient widely found in plants and has been shown to have potential blood-glucose-lowering effects. However, the research on the efficient extraction processes of CGA from sweet potatoes and its systematic mechanisms underlying hypoglycemic effects is still insufficient. [...] Read more.
Chlorogenic acid (CGA) is an active ingredient widely found in plants and has been shown to have potential blood-glucose-lowering effects. However, the research on the efficient extraction processes of CGA from sweet potatoes and its systematic mechanisms underlying hypoglycemic effects is still insufficient. This study optimized the extraction of CGA from various sweet potato parts and varieties using ethanol, and predicted the hypoglycemic mechanism of sweet potato leaves via network pharmacology and molecular docking. The efficacy of the leaf extracts was demonstrated through the in vitro inhibition of hepatic glucose output, accompanied by minimal cytotoxicity, and was further validated in an acute mouse model. The results demonstrated that the optimal extraction conditions were an ethanol concentration of 65.48%, a liquid–solid ratio of 39.00 mL·g−1, an ultrasonic time of 50.00 min, and a temperature of 45 °C. The final extraction yield of CGA crude extract was 3.54%, with the highest content in sweet potato leaves, suggesting a multi-target synergistic mechanism of action for sweet potato leaves. Further in vitro experiments indicated that the CGA crude extract can exert hypoglycemic effects by inhibiting hepatic gluconeogenesis. In conclusion, the study lays a foundation for the further purification and utilization of sweet potato CGA, and establishes a theoretical basis for the development of sweet potato leaf resources as hypoglycemic functional ingredients. Full article
Show Figures

Figure 1

22 pages, 7683 KB  
Article
Preparation of Chitin–Glucan Complex Aerogel from Mycelium Waste with Tunable Properties
by A. M. Abdel-Mohsen, Katerina Skotnicova, Rasha M. Abdel-Rahman and Josef Jancar
Gels 2026, 12(1), 41; https://doi.org/10.3390/gels12010041 (registering DOI) - 1 Jan 2026
Abstract
Chitin–glucan complex (CGC) is a naturally occurring heteropolysaccharide in which chitin chains are covalently integrated with β-glucans, forming a rigid structural framework in fungal and yeast cell walls. CGC exhibits a broad spectrum of functional properties, including antimicrobial, antioxidant, adsorption, and tissue-regenerative activities; [...] Read more.
Chitin–glucan complex (CGC) is a naturally occurring heteropolysaccharide in which chitin chains are covalently integrated with β-glucans, forming a rigid structural framework in fungal and yeast cell walls. CGC exhibits a broad spectrum of functional properties, including antimicrobial, antioxidant, adsorption, and tissue-regenerative activities; however, its technological exploitation has been severely constrained by its intrinsic insolubility in water and most common solvents. In this work, CGC was isolated from Aspergillus niger mycelial biomass and, for the first time, completely dissolved in a precooled aqueous NaOH/urea solvent system (12 wt.% NaOH, 8 wt.% urea) within 5 min at ambient temperature, yielding a clear and stable solution. The influence of alkali concentration on dissolution efficiency and solution stability was systematically examined. Structural integrity and covalent linkage between chitin/chitosan and glucan segments were confirmed using FTIR spectroscopy, two-dimensional NMR, and electron microscopy. The degree of deacetylation determined by NMR was approximately 25%. Rheological analysis revealed concentration- and temperature-dependent sol–gel transitions, with well-defined storage and loss moduli during gelation. Crosslinking with epichlorohydrin enabled the fabrication of lightweight, highly porous three-dimensional CGC aerogels. In vitro cytocompatibility studies using NIH 3T3 fibroblasts demonstrated no detectable cytotoxicity over 72 h. These results establish a green, efficient route for CGC dissolution and processing and highlight the promise of CGC aerogels as sustainable biomaterials for biomedical and environmental applications. Full article
Show Figures

Figure 1

14 pages, 5345 KB  
Article
Preparation, Characterization and Biocompatibility of a Silk Fibroin/Bamboo Nanofibrillated Cellulose Composite Hydrogel
by Pan Wu, Chengli Wang, Di Wang, Jiahua Li and Wanfu Yue
Gels 2026, 12(1), 38; https://doi.org/10.3390/gels12010038 - 31 Dec 2025
Abstract
To address the limitations of pure silk fibroin (SF) hydrogels, such as poor mechanical strength and rapid degradation, a fully “green” composite hydrogel was developed by integrating bamboo nanofibrillated cellulose (BNC) with SF and crosslinked using the natural agent genipin. The composite formed [...] Read more.
To address the limitations of pure silk fibroin (SF) hydrogels, such as poor mechanical strength and rapid degradation, a fully “green” composite hydrogel was developed by integrating bamboo nanofibrillated cellulose (BNC) with SF and crosslinked using the natural agent genipin. The composite formed a stable interpenetrating network, as confirmed by means of SEM and FTIR. This structure led to significantly enhanced mechanical properties (increased storage modulus and pronounced shear-thinning behavior), moderate swelling, and a controllable degradation rate. In vitro biocompatibility assays demonstrated that the BNC-SF hydrogel was non-cytotoxic and excellently supported the adhesion, spreading, and proliferation of L929 fibroblasts. Notably, it exhibited a strong pro-migratory effect in a scratch assay. This work presents a high-performance, injectable scaffold material derived entirely from natural sources, showing great potential for tissue engineering and regenerative medicine applications. Full article
(This article belongs to the Section Gel Analysis and Characterization)
15 pages, 1912 KB  
Article
Dermofunctional Vehicle Downregulates LL-37 and MMPs and Upregulates IGFBP-3
by Hudson Polonini, Fabiana Regina da Silva Olímpio and Carlos Rocha Oliveira
Curr. Issues Mol. Biol. 2026, 48(1), 54; https://doi.org/10.3390/cimb48010054 - 31 Dec 2025
Abstract
Background: Functional dermatological bases can contribute more than just delivery—they may actively modulate cutaneous homeostasis. Cleoderm™ is a dermofunctional base containing a patented Cleome gynandra extract, palmitoyl tripeptide-8, bisabolol, hyaluronic acid, and functional oils, rationally designed to provide anti-inflammatory, antioxidant, and barrier-supportive properties. [...] Read more.
Background: Functional dermatological bases can contribute more than just delivery—they may actively modulate cutaneous homeostasis. Cleoderm™ is a dermofunctional base containing a patented Cleome gynandra extract, palmitoyl tripeptide-8, bisabolol, hyaluronic acid, and functional oils, rationally designed to provide anti-inflammatory, antioxidant, and barrier-supportive properties. Objective: To determine whether Cleoderm™ exhibits intrinsic immunomodulatory and matrix-protective effects in a physiologically relevant skin co-culture and to clarify the biomarkers most impacted, with translational relevance to acne and rosacea. Methods: Human keratinocytes and fibroblasts were maintained in a transwell co-culture. Non-cytotoxic concentrations of Cleoderm™ (1.0% and 10.0%, v/v) were tested with or without LPS stimulation (1 μg/mL). Viability was assessed by MTT and Trypan Blue. Cytokines (IL-6, TNF-α, IL-10, TGF-β) and MMPs (MMP-1, -3, -13) were quantified by ELISA and RT-qPCR. LL-37, IGFBP-3, and TGF-β protein levels were evaluated by Western blot. Results: Cleoderm™ showed no cytotoxicity up to 10% (v/v). It significantly reduced pro-inflammatory mediators (IL-6, TNF-α) and matrix-degrading enzymes (MMP-1, MMP-3, MMP-13) while increasing anti-inflammatory/reparative cytokines (IL-10, TGF-β). A dual, biomarker-level modulation was observed: (i) LL-37 was reduced, with a particularly pronounced decrease in secreted levels; and (ii) IGFBP-3 was markedly upregulated, indicating potential attenuation of the IGF-1 axis relevant to sebaceous lipogenesis. Collectively, these effects indicate immunoregulatory and matrix-protective activity consistent with improved cutaneous homeostasis. Conclusion: In a dermo-epidermally relevant in vitro model, Cleoderm™ functions as an active dermofunctional base, not merely a vehicle simultaneously tempering inflammatory signaling, preserving extracellular matrix integrity, and modulating mechanistic nodes (LL-37 and IGFBP-3) linked to rosacea and acne. These findings is consistent with the use of Cleoderm™ as a biologically supportive base for personalized compounding and justify controlled clinical evaluation. Full article
(This article belongs to the Section Molecular Pharmacology)
Show Figures

Figure 1

17 pages, 1772 KB  
Article
The Interaction Between Orientin and the Spike of SARS-CoV-2: An In Silico and Experimental Approach
by Gabriel Cavalcante Pacheco, Michele de Sá Ribeiro, Camila Silva de Magalhães and Fabiana Avila Carneiro
Viruses 2026, 18(1), 61; https://doi.org/10.3390/v18010061 - 31 Dec 2025
Abstract
SARS-CoV-2, the causative agent of COVID-19, has led to over seven million deaths worldwide prior to May 2025. Despite widespread vaccination programs, COVID-19 remains a persistent global health challenge, underscoring the urgent need for new therapeutic approaches. Orientin is a flavonoid with reported [...] Read more.
SARS-CoV-2, the causative agent of COVID-19, has led to over seven million deaths worldwide prior to May 2025. Despite widespread vaccination programs, COVID-19 remains a persistent global health challenge, underscoring the urgent need for new therapeutic approaches. Orientin is a flavonoid with reported antiviral activity, though its potential against SARS-CoV-2 remains poorly explored. This study aimed to investigate whether Orientin interacts with the viral Spike protein and impacts viral replication. Molecular docking simulations using DockThor were employed to predict the binding affinity between Orientin and the receptor-binding domain (RBD) of the Spike protein. Fluorescence spectroscopy assays were performed to assess direct interactions between Orientin and the trimeric form of the Spike protein. Additionally, cytotoxicity and viral replication assays were carried out in Vero cells to evaluate Orientin’s antiviral effects. Docking results indicated that Orientin likely binds to key RBD residues involved in ACE2 receptor recognition. Spectroscopic analyses showed a decrease in intrinsic tryptophan fluorescence, suggesting direct interaction. Orientin demonstrated no cytotoxicity in Vero cells and exhibited moderate inhibition of viral replication. These findings suggest that Orientin interacts with critical regions of the Spike protein and may act as a moderate in vitro inhibitor of SARS-CoV-2, warranting further investigation into its therapeutic potential. Full article
Show Figures

Figure 1

36 pages, 15093 KB  
Systematic Review
Benzotriazole in Cancer: A Systematic Review on Preclinical Evidence and Structure–Activity Relationship
by Gabriel Mardale, Alexandra Prodea, Andreea Munteanu, Mihaela Jorgovan, Sabina Mardale, Victor Cristian Dumitrascu and Codruța Șoica
Pharmaceuticals 2026, 19(1), 77; https://doi.org/10.3390/ph19010077 - 30 Dec 2025
Abstract
Background: A benzotriazole is a heterocycle frequently used in medicinal chemistry to obtain potent drug candidates, including anticancer agents. Nonetheless, the available literature lacks a comprehensive review of the in vitro and in vivo studies regarding these derivatives. Thus, our study aims to [...] Read more.
Background: A benzotriazole is a heterocycle frequently used in medicinal chemistry to obtain potent drug candidates, including anticancer agents. Nonetheless, the available literature lacks a comprehensive review of the in vitro and in vivo studies regarding these derivatives. Thus, our study aims to review the preclinical evidence on benzotriazole derivatives that showed potential as anticancer candidates, focusing on the cytotoxicity, mechanisms of action, structure–activity relationship, and methodological rigor of the included studies. Methods: We searched PubMed, Scopus, and Web of Science and included 41 studies in our analysis following the selection process. Additionally, we assessed the risk of bias using the QUIN tool for in vitro and the SYRCLE tool for in vivo studies in order to assess the methodological rigor of the included studies. Results: The benzotriazole derivatives were classified according to their structure in four classes, namely N-derivatives, C-derivatives, fused derivatives, and organometallic compounds. The in vitro results showed that certain derivatives, such as halogen, alkyl-aryl, or natural-base hybrids, can have superior cytotoxicity compared to parent molecules, exerted through multiple mechanisms, such as apoptosis and cell cycle arrest. Additionally, the in vivo analysis highlighted that benzotriazole derivatives can reduce tumor mass in a dose-dependent manner, with only a slight degree of hepatotoxicity reported in one case. However, histopathological data were generally absent or limited and based on a very limited number of in vivo studies. Conclusions: Overall, benzotriazole derivatives remain promising candidates for cancer treatment. However, limited mechanistic and toxicity data, as well as the moderate risk of bias identified across studies, may limit our assessment. Therefore, future studies should employ more rigorous methodologies and explore the underlying anticancer and toxicity mechanisms to fully assess the therapeutic potential of benzotriazole derivatives. Full article
(This article belongs to the Special Issue Heterocyclic Compounds in Medicinal Chemistry, 2nd Edition)
Show Figures

Graphical abstract

21 pages, 3316 KB  
Article
Sustainable Valorization of Mussel Shell Waste: Processing for Calcium Carbonate Recovery and Hydroxyapatite Production
by Adriana Poli Castilho Dugaich, Andressa da Silva Barboza, Marianna Gimenes e Silva, Andressa Baptista Nörnberg, Marcelo Maraschin, Maurício Malheiros Badaró, Daiara Floriano da Silva, Carlos Eduardo Maduro de Campos, Carolina dos Santos Santinoni, Sheila Cristina Stolf, Rafael Guerra Lund and Juliana Silva Ribeiro de Andrade
J. Funct. Biomater. 2026, 17(1), 24; https://doi.org/10.3390/jfb17010024 - 30 Dec 2025
Abstract
This study aimed to develop a sustainable route for processing biogenic calcium carbonate from Perna perna mussel shell waste and converting it into hydroxyapatite (HA), as well as to evaluate its potential for bone and dental tissue engineering applications. Mussel shells were decarbonized [...] Read more.
This study aimed to develop a sustainable route for processing biogenic calcium carbonate from Perna perna mussel shell waste and converting it into hydroxyapatite (HA), as well as to evaluate its potential for bone and dental tissue engineering applications. Mussel shells were decarbonized (400 °C), milled, and converted to HA via wet chemical precipitation using a nominal Ca/P molar ratio of 1.67 during synthesis followed by thermal treatment (900 °C). Comprehensive characterization included SEM, FTIR, XRD, Raman spectroscopy, XRF, TGA, and BET analysis. Biological evaluation involved cytotoxicity assays (MTT), antimicrobial testing, and odontogenic differentiation studies (Alizarin Red) using SHEDs. Statistical analysis by one-way ANOVA and Tukey post hoc tests (α = 0.05). SEM revealed a microstructured morphology composed of agglomerates, favorable for biomedical applications. FTIR and XRD confirmed the conversion of CaCO3 to hydroxyapatite, while thermal analysis demonstrated the material’s stability. The HA exhibited secondary minor phase (13%) β-TCP form of calcium phosphate (Ca2.997H0.006(PO4)2), high crystallinity (about 80%), and nanoscale crystallite size (85 nm, 2.5–5.0 m2/g), despite forming larger agglomerates in suspension. The material showed favorable physicochemical properties (neutral pH, −18.5 mV zeta potential), but no inhibition was detected in antimicrobial testing. In vitro assays showed excellent cytocompatibility (viability > 70% at 12.5 µg/mL) and significant osteogenic potential (high mineralization vs. controls, p < 0.05). Mussel shell-derived HA presents a sustainable, clinically relevant biomaterial with ideal properties for bone regeneration. The study establishes a complete waste-to-biomaterial pipeline while addressing key requirements for dental and orthopedic applications. Full article
(This article belongs to the Section Dental Biomaterials)
Show Figures

Graphical abstract

25 pages, 13512 KB  
Article
Vitamin D-Loaded Chitosan Nanostructures for Bone Regeneration: A Combined In Vitro and In Vivo Evaluation in an Osteoporotic Rat Model
by Corina Giorgiana Muresan, Ioana Codruta Mirica, Alina Forray, Nausica Petrescu, Olga Soritau, Luciana-Mădălina Gherman, Simina Angela Lăcrimioara Iusan, Evelyn Vanea, Emilia Oprita, Ana Condor, Maria Aluas, Carmen Mihaela Mihu, Bianca Adina Boşca, Lavinia Patricia Mocan, Madalin Mihai Onofrei, Raluca Maria Pop, Bianca-Astrid Andone, Lucian Barbu-Tudoran, Sanda Boca, Mihaela Hedesiu and Patricia Ondine Lucaciuadd Show full author list remove Hide full author list
Medicina 2026, 62(1), 73; https://doi.org/10.3390/medicina62010073 - 29 Dec 2025
Viewed by 140
Abstract
Background and Objectives: Reduced bone quality due to osteoporosis significantly complicates oral rehabilitation and bone regeneration therapies. While Vitamin D (Vit. D3) is crucial for osteogenesis, systemic administration often lacks local efficacy. This study aimed to evaluate the osteoregenerative potential of a [...] Read more.
Background and Objectives: Reduced bone quality due to osteoporosis significantly complicates oral rehabilitation and bone regeneration therapies. While Vitamin D (Vit. D3) is crucial for osteogenesis, systemic administration often lacks local efficacy. This study aimed to evaluate the osteoregenerative potential of a novel Chitosan-based nanostructured scaffold (NS) loaded with Vit. D3, underlining its efficacy in vitro and in an ovariectomized (OVX) rat model of osteoporosis. Materials and Methods: Chitosan NSs were fabricated with varying Vit. D3 concentrations. In vitro assessments included cytotoxicity (MTT assay), cell viability (Alamar Blue), and mineralization (Alizarin Red) using human dental follicle stem cells. In vivo, 30 Wistar rats were ovariectomized to induce osteoporosis (confirmed by biomarkers Osteocalcin and β-CTX) and were divided into three groups (n = 10). Bilateral maxillary bone defects were treated with (1) a Control (clot only), (2) a Hemostatic Sponge with Vit. D3 (HS/Vit. D3), or (3) an NS loaded with Vit. D3 (NS/Vit. D3-6.25 ng/mL). Histological and morphometric analyses were performed at 4 and 8 weeks. Results: In vitro, the NS loaded with 6.25 ng/mL Vit. D3 demonstrated superior cytocompatibility, achieving a cell viability of 117.77% at 72 h and significantly enhanced calcium nodule deposition compared to controls. In vivo, a total of 44 defect sites were analyzed following the exclusion of compromised samples (Control: 16 sites; HS/Vit. D3: 16 sites; NS/Vit. D3: 12 sites). The NS/Vit. D3-6.25 ng/mL group exhibited the highest degree of mature bone formation and vascularization (p < 0.05) compared to the Control and HS/Vit. D3 groups. While cellular activity (osteoblasts/osteocytes) was initially higher in the HS/Vit. D3 group, the NS/Vit. D3-6.25 ng/mL group achieved superior structural integration and scaffold replacement by mature bone tissue over time. Conclusions: The novel Vit. D3-loaded Chitosan NS effectively promotes bone regeneration in osteoporotic conditions. It supports osteogenic differentiation in vitro and enhances bone matrix maturation in vivo, suggesting its potential as a bioactive scaffold for regenerative dentistry. Full article
Show Figures

Figure 1

18 pages, 290 KB  
Review
Usage of Silver Nanoparticles in Orthodontic Appliances
by Meigan Niu, Janet Jisoo Lee, Geelsu Hwang, Chun-Hsi Chung, Mark S. Wolff, Zhong Zheng and Chenshuang Li
Materials 2026, 19(1), 115; https://doi.org/10.3390/ma19010115 - 29 Dec 2025
Viewed by 118
Abstract
Orthodontic treatment, offering significant benefits for oral function and facial aesthetics, is in high demand among both adolescent and adult populations. Orthodontic appliances pose challenges for maintaining oral hygiene and increase the risk of dental and periodontal diseases. With advances in dental materials [...] Read more.
Orthodontic treatment, offering significant benefits for oral function and facial aesthetics, is in high demand among both adolescent and adult populations. Orthodontic appliances pose challenges for maintaining oral hygiene and increase the risk of dental and periodontal diseases. With advances in dental materials and the use of nanoparticles, a significant amount of research has focused on modifying orthodontic appliances with nanoparticles to reduce bacterial adhesion and biofilm formation. Silver nanoparticles are one of the most popular antibacterial materials in medical research. This article presents current evidence on silver nanoparticle-incorporated orthodontic appliances, including brackets, molar bands, archwires, elastomeric ligatures, mini-implants, and acrylic retainers. Silver nanoparticles and modified silver nanoparticles exhibit robust antibacterial activity when applied to the surfaces of orthodontic appliances. However, there are exceptions in which, on a few orthodontic appliances, the silver nanoparticle incorporation actually increased biofilm formation. Moreover, a silver nanoparticle incorporation may introduce adverse effects, such as cytotoxicity, and increase surface roughness. It is also worth noting that most of the studies were conducted in vitro. Long-term clinical studies are necessary to evaluate the stability, safety, and clinical efficacy of silver nanoparticle-incorporated orthodontic appliances under real-world conditions. Full article
(This article belongs to the Special Issue Materials for Dentistry: Experiments and Practice)
21 pages, 4079 KB  
Article
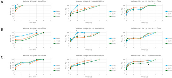
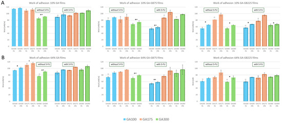
Development of Drug-Loaded Gelatin-Based Hydrogel Films for Impaired Wound Healing in Simulated Chronic Conditions
by María del Carmen Morán, Alessia Cocci Grifoni, Francesca Cirisano and Michele Ferrari
Pharmaceutics 2026, 18(1), 43; https://doi.org/10.3390/pharmaceutics18010043 - 29 Dec 2025
Viewed by 142
Abstract
Background/Objectives: Chronic wounds are considered a silent epidemic, affecting a significant portion of the global population and often leading to severe complications. In particular, wounds resulting from burns or trauma can give rise to squamous cell carcinoma (SCC), a form of skin [...] Read more.
Background/Objectives: Chronic wounds are considered a silent epidemic, affecting a significant portion of the global population and often leading to severe complications. In particular, wounds resulting from burns or trauma can give rise to squamous cell carcinoma (SCC), a form of skin cancer that arises under chronic inflammatory conditions. This study aims to develop and evaluate pH-responsive gelatin-based hydrogel films incorporating 5-fluorouracil (5-FU) for targeted treatment of SCC in chronic wound environments. Methods: Hydrogel films were formulated using gelatin and loaded with 5-FU. The design leveraged the pH differences between healthy skin and chronic wounds to enable stimuli-responsive drug release. The hydrofilms were characterized by evaluating their surface properties, including transparency, contact angle, and nanoscale morphology. In vitro swelling and dissolution behaviors were analyzed under varying pH conditions. Hemocompatibility was assessed through standard blood interaction assays. Cytotoxicity and selective toxicity were tested using both non-tumoral and tumoral representative skin cell lines. Results: The hydrogel films demonstrated pH-dependent swelling and dissolution, aligning with the neutral and basic environment of chronic wounds. Surface analysis revealed suitable transparency, wettability, and nanoscale uniformity for wound application. In vitro studies showed excellent hemocompatibility. Cytotoxicity assays confirmed good selective toxicity against the A431 skin carcinoma cell line, with minimal effects on healthy cells. Conclusions: The developed gelatin-based hydrogel films exhibit promising characteristics for targeted SCC therapy in chronic wounds. Their pH responsiveness, biocompatibility, and selective antitumor activity support their potential as effective and safe delivery systems. This platform may offer a novel therapeutic approach for managing malignancies arising in non-healing wound environments. Full article
(This article belongs to the Special Issue Hydrogels for Localized and Controlled Drug Delivery)
Show Figures

Figure 1

25 pages, 5525 KB  
Article
Identification of Novel JAK2 Inhibitors from Amino Derivatives of Epoxyalantolactone: In Silico and In Vitro Studies
by Duangjai Todsaporn, Kamonpan Sanachai, Chanat Aonbangkhen, Rungtiva P. Poo-arporn, Victor Kartsev, Sergey Pukhov, Svetlana Afanasyeva, Athina Geronikaki and Thanyada Rungrotmongkol
Int. J. Mol. Sci. 2026, 27(1), 329; https://doi.org/10.3390/ijms27010329 - 28 Dec 2025
Viewed by 153
Abstract
Janus kinase 2 (JAK2) is a key mediator of oncogenic signaling and a promising therapeutic target in cervical cancer. This study employed a combination of in silico and in vitro approach to discover sesquiterpene lactone (SL) derivatives with JAK2 inhibitory activity. [...] Read more.
Janus kinase 2 (JAK2) is a key mediator of oncogenic signaling and a promising therapeutic target in cervical cancer. This study employed a combination of in silico and in vitro approach to discover sesquiterpene lactone (SL) derivatives with JAK2 inhibitory activity. Molecular docking of forty SL derivatives, followed by drug-likeness and toxicity prediction, led to the selection of six candidates for synthesis and biological evaluation. Among these, SL10 (12.7 nM) and SL35 (21.7 nM) demonstrated potent JAK2 inhibition and exhibited selective cytotoxicity toward HeLa cervical cancer cells, outperforming ruxolitinib. Flow cytometry confirmed apoptosis induction and ROS elevation, suggesting ROS-mediated cytotoxic mechanisms. The 1 µs MD simulations demonstrated that both hydrogen bonding and hydrophobic interactions are critical determinants in stabilizing potent SLs–JAK2 complexes. These findings support SL10 and SL35 as promising scaffolds for further development of JAK2-targeted therapies in cervical cancer. Full article
(This article belongs to the Section Molecular Informatics)
Show Figures

Figure 1

20 pages, 6127 KB  
Article
Potentiation of Electrochemotherapy by Anti-PD-1 Immunotherapy in Murine Tumors with Distinct Immune Profiles
by Masa Omerzel, Simona Kranjc Brezar, Ursa Lampreht Tratar, Tanja Jesenko, Barbara Lisec, Gregor Sersa and Maja Cemazar
Cancers 2026, 18(1), 90; https://doi.org/10.3390/cancers18010090 - 27 Dec 2025
Viewed by 188
Abstract
Background: Electrochemotherapy (ECT) is a clinically validated local ablative treatment increasingly recognized for its ability to induce immunogenic cell death and stimulate antitumor immunity. Its combination with immune checkpoint inhibitors, such as anti-PD-1 antibodies, may enhance systemic immune responses and improve therapeutic [...] Read more.
Background: Electrochemotherapy (ECT) is a clinically validated local ablative treatment increasingly recognized for its ability to induce immunogenic cell death and stimulate antitumor immunity. Its combination with immune checkpoint inhibitors, such as anti-PD-1 antibodies, may enhance systemic immune responses and improve therapeutic efficacy, particularly in poorly immunogenic tumors. Methods: We evaluated the antitumor effectiveness of ECT combined with a murine analog of the anti-PD-1 antibody in four syngeneic murine tumor models with differing histology and immune status: WEHI fibrosarcoma, CT26 and MC38 colorectal carcinoma, and 4T1 mammary carcinoma. In vitro cytotoxicity assays assessed tumor cell sensitivity to ECT, while in vivo experiments evaluated complete response (CR) rates, immune cell infiltration, and long-term immune memory through secondary tumor challenge. Immunohistochemical analysis of CD4+, CD8+, and granzyme B+ effector cells. Results: In vitro, WEHI cells exhibited the highest sensitivity to ECT. In vivo, ECT monotherapy induced CRs in 100% of WEHI tumors, 60% of CT26, 17% of 4T1, and 15% of MC38. The addition of anti-PD-1 significantly enhanced outcomes in less responsive models, increasing CRs to 90% in CT26, 91% in MC38, and 53% in 4T1. Combination therapy promoted pronounced infiltration of CD4+, CD8+, and granzyme B+ T cells and the formation of tertiary lymphoid structure, particularly in MC38 tumors. Secondary challenge experiments confirmed long-term immune memory in CT26 and MC38 models and induced memory in 4T1, which was absent following monotherapy. Conclusions: ECT synergizes with PD-1 blockade to potentiate local and systemic antitumor immunity, overcoming immune resistance in poorly immunogenic tumors. These findings support further clinical development of ECT in combination with immune checkpoint inhibitors as a component of personalized cancer immunotherapy. Full article
(This article belongs to the Special Issue Advances in Electroporation-Based Technologies for Cancer Treatment)
Show Figures

Figure 1

Back to TopTop