Understanding Discordance between In Vitro Dissolution, Local Gut and Systemic Bioequivalence of Budesonide in Healthy and Crohn’s Disease Patients through PBPK Modeling
Abstract
:1. Introduction
2. Materials and Methods
2.1. Workflow
2.2. Software
2.3. Data Package Used in Modeling
2.4. Model Development and Validation
2.4.1. Physicochemical Data
2.4.2. Distribution
2.4.3. Metabolism
2.4.4. Absorption
- 1.
- Permeability
- 2.
- Formulation
2.4.5. PBPK Model for Entocort® EC in Crohn’s Disease Patients
- 3.
- Local sensitivity analysis (LSA)
- 4.
- Demographic parameters for healthy volunteers and Crohn’s disease patients
2.5. Virtual Bioequivalence (VBE)
3. Results
3.1. PBPK Models for Entocort® EC in Healthy Volunteers and CD Patients
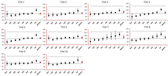
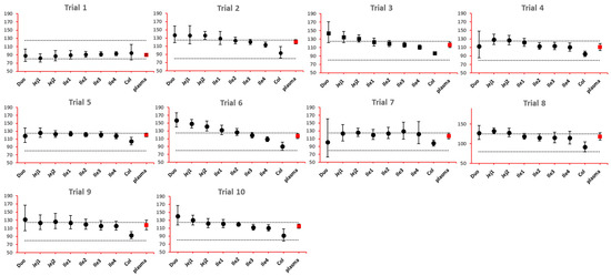
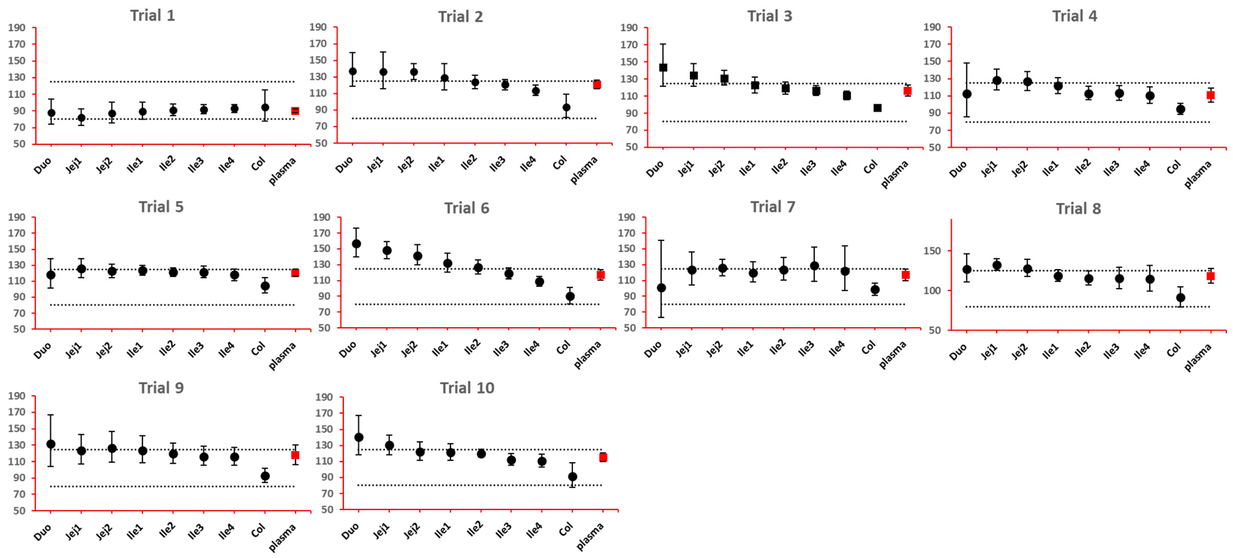
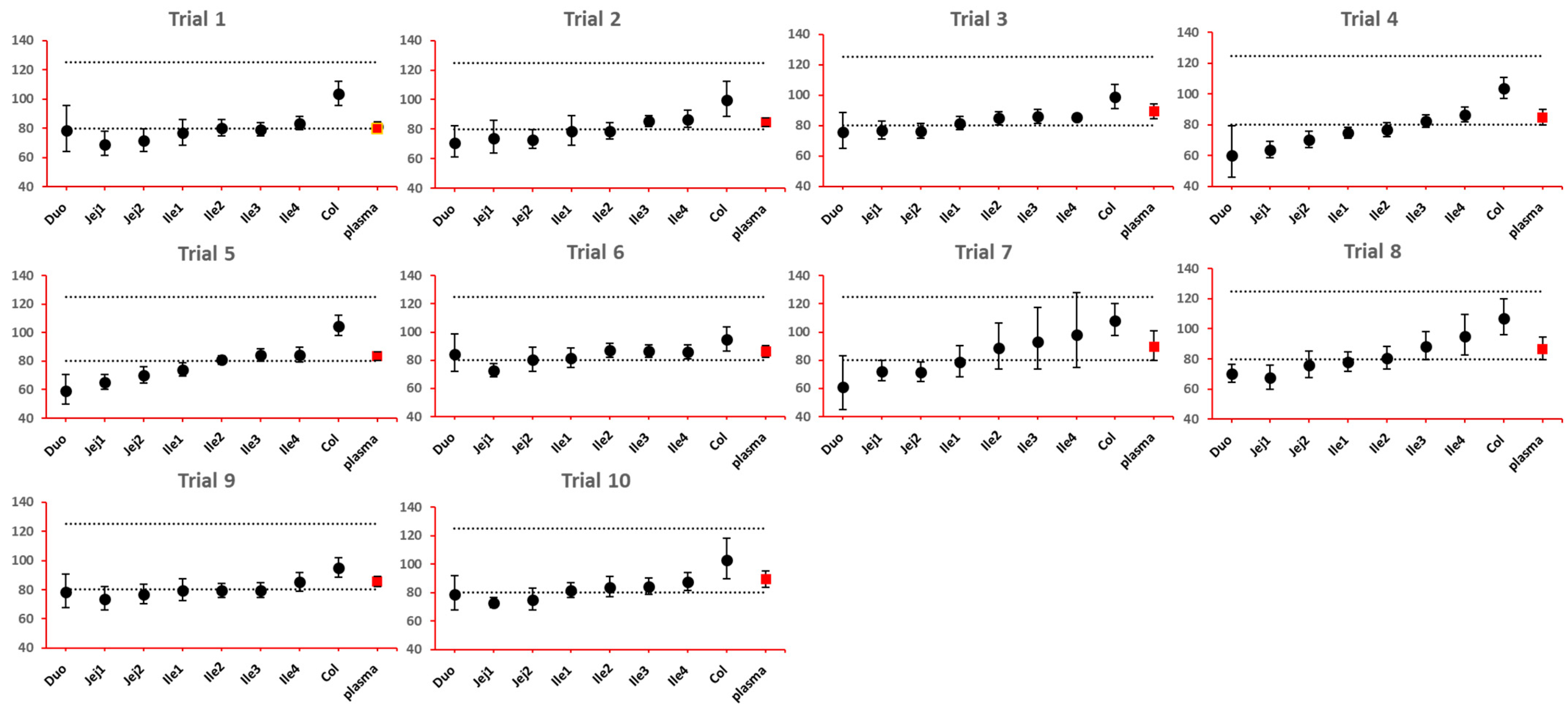
3.2. Virtual BE Heatmaps for Healthy Subjects
3.3. Virtual BE Heatmaps for CD Patients
4. Discussion
5. Conclusions
Supplementary Materials
Author Contributions
Funding
Institutional Review Board Statement
Informed Consent Statement
Data Availability Statement
Acknowledgments
Conflicts of Interest
References
- Yu, L.X.; Li, B.V. FDA Bioequivalence Standards; Springer: New York, NY, USA, 2014. [Google Scholar]
- CFR. Codes of Federal Regulations; Chapter 21, Part 314; CFR: New York, NY, USA, 2021. [Google Scholar]
- Amidon, G.L. Bioequivalence Testing for Locally Acting Gastrointestinal Drugs: Scientific Principles. In Proceedings of the FDA Meeting of the Advisory Committee for Pharmaceutical Science and Clinical Pharmacology, Rockville, MD, USA, 14 April 2004. [Google Scholar]
- Olivares-Morales, A.; Kamiyama, Y.; Darwich, A.S.; Aarons, L.; Rostami-Hodjegan, A. Analysis of the impact of controlled release formulations on oral drug absorption, gut wall metabolism and relative bioavailability of CYP3A substrates using a physiologically-based pharmacokinetic model. Eur. J. Pharm. Sci. 2015, 67, 32–44. [Google Scholar] [CrossRef] [PubMed]
- Loisios-Konstantinidis, I.; Cristofoletti, R.; Fotaki, N.; Turner, D.B.; Dressman, J. Establishing virtual bioequivalence and clinically relevant specifications using in vitro biorelevant dissolution testing and physiologically-based population pharmacokinetic modeling. case example: Naproxen. Eur. J. Pharm. Sci. 2020, 143, 105170. [Google Scholar] [CrossRef] [PubMed]
- DrugBank Online. Available online: https://go.drugbank.com/drugs/DB01222 (accessed on 12 April 2022).
- Nunes, T.; Acosta, M.B.; Marin-Jiménez, I.; Nos, P.; Sans, M. Oral locally active steroids in inflammatory bowel disease. J. Crohn’s Colitis 2013, 7, 183–191. [Google Scholar] [CrossRef] [PubMed]
- Edsbäcker, S.; Andersson, T. Pharmacokinetics of budesonide (Entocort™ EC) capsules for Crohn’s disease. Clin. Pharmacokinet. 2004, 43, 803–821. [Google Scholar]
- Wikberg, M.; Ulmius, J.; Ragnarsson, G. Review article: Targeted drug delivery in treatment of intestinal diseases. Aliment. Pharmacol. Ther. 1997, 11, 109–115. [Google Scholar] [CrossRef]
- Thorsson, L.; Edsbäcker, S.; Conradson, T.B. Lung deposition of budesonide from Turbuhaler is twice that from a pressurized metered-dose inhaler P-MDI. Eur. Respir. J. 1994, 7, 1839–1844. [Google Scholar] [CrossRef]
- Seidegård, J.; Nyberg, L.; Borgå, O. Presystemic elimination of budesonide in man when administered locally at different levels in the gut, with and without local inhibition by ketoconazole. Eur. J. Pharm. Sci. 2008, 35, 264–270. [Google Scholar] [CrossRef]
- Dilger, K.; Halter, J.R.; Bertz, H.; Lopez-Lazaro, L.; Gratwohl, A.; Finke, J.R. Pharmacokinetics and pharmacodynamic action of budesonide after buccal administration in healthy subjects and patients with oral chronic graft-versus-host disease. Biol. Blood Marrow Transplant. 2009, 15, 336–343. [Google Scholar] [CrossRef]
- Edsbäcker, S.; Bengtsson, B.; Larsson, P.; Lundin, P.; Nilsson, Å.; Ulmius, J.; Wollmer, P. A pharmacoscintigraphic evaluation of oral budesonide given as controlled-release (Entocort) capsules. Aliment. Pharmacol. Ther. 2003, 17, 525–536. [Google Scholar] [CrossRef]
- FDA. New Drug Application Entocort (21-324): Clinical Pharmacology and Biopharmaceutics Review; FDA: Silver Spring, MD, USA, 2000. [Google Scholar]
- Lundin, P.D.P.; Edsbäcker, S.; Bergstrand, M.; Ejderhamn, J.; Linander, H.; Högberg, L.; Persson, T.; Escher, J.C.; Lindquist, B. Pharmacokinetics of budesonide controlled ileal release capsules in children and adults with active Crohn’s disease. Aliment. Pharmacol. Ther. 2003, 17, 85–92. [Google Scholar] [CrossRef]
- Edsbäcker, S.; Larsson, P.; Bergstrand, M. Pharmacokinetics of budesonide controlled-release capsules when taken with omeprazole. Aliment. Pharmacol. Ther. 2003, 17, 403–408. [Google Scholar] [CrossRef] [PubMed]
- Seidegård, J. Reduction of the inhibitory effect of ketoconazole on budesonide pharmacokinetics by separation of their time of administration. Clin. Pharmacol. Ther. 2000, 68, 13–17. [Google Scholar] [CrossRef] [PubMed]
- Seidegård, J.; Simonsson, M.; Edsbäcker, S. Effect of an oral contraceptive on the plasma levels of budesonide and prednisolone and the influence on plasma cortisol. Clin. Pharmacol. Ther. 2000, 67, 373–381. [Google Scholar] [CrossRef] [PubMed]
- Seidegård, J.; Randvall, G.; Nyberg, L.; Borga, O. Grapefruit juice interaction with oral budesonide: Equal effect on immediate-release and delayed-release formulations. Pharmazie 2009, 64, 461–465. [Google Scholar]
- Lundin, P.; Naber, T.; Nilsson, M.; Edsbäcker, S. Effect of food on the pharmacokinetics of budesonide controlled ileal release capsules in patients with active Crohn’s disease. Aliment. Pharmacol. Ther. 2001, 15, 45–51. [Google Scholar] [CrossRef]
- Wilson, A.; Tirona, R.G.; Kim, R.B. CYP3A4 activity is markedly lower in patients with Crohn’s disease. Inflamm. Bowel Dis. 2017, 23, 804–813. [Google Scholar] [CrossRef]
- Effinger, A.; O’Driscoll, C.M.; McAllister, M.; Fotaki, N. Predicting budesonide performance in healthy subjects and patients with Crohn’s disease using biorelevant in vitro dissolution testing and PBPK modeling. Eur. J. Pharm. Sci. 2021, 157, 105617. [Google Scholar] [CrossRef]
- Alrubia, S.; Mao, J.; Chen, Y.; Barber, J.; Rostami-Hodjegan, A. Altered bioavailability and pharmacokinetics in Crohn’s disease: Capturing systems parameters for PBPK to assist with predicting the fate of orally administered drugs. Clin. Pharmacokinet. 2022, 61, 1365–1392. [Google Scholar] [CrossRef]
- Fagerberg, J.H.; Sjögren, E.; Bergström, C.A.S. Concomitant intake of alcohol may increase the absorption of poorly soluble drugs. Eur. J. Pharm. Sci. 2015, 67, 12–20. [Google Scholar] [CrossRef]
- Robinson, G.M.; Orrego, H.; Israel, Y.; Devenyi, P.; Kapur, B.M. Low-molecular-weight polyethylene glycol as a probe of gastrointestinal permeability after alcohol ingestion. Dig. Dis. Sci. 1981, 26, 971–977. [Google Scholar] [CrossRef]
- Zhang, Y.; Huo, M.; Zhou, J.; Zou, A.; Li, W.; Yao, C.; Xie, S. DDSolver: An add-In program for modeling and comparison of drug dissolution profiles. AAPS J. 2010, 12, 263–271. [Google Scholar] [CrossRef] [PubMed]
- FDA. SUPAC-IR: Immediate-Release Solid Oral Dosage Forms: Scale-Up and Post-Approval Changes: Chemistry, Manufacturing and Controls, In Vitro Dissolution Testing, and In Vivo Bioequivalence Documentation; FDA: Silver Spring, MD, USA, 1995. [Google Scholar]
- Alrubia, S.; Al-Majdoub, Z.M.; Achour, B.; Rostami-Hodjegan, A.; Barber, J. Quantitative assessment of the impact of Crohn’s disease on protein abundance of human intestinal drug-metabolising enzymes and transporters. J. Pharm. Sci. 2022, 111, 2917–2929. [Google Scholar] [CrossRef] [PubMed]
- FDA. Draft Guidance on Budesonide; FDA: Silver Spring, MD, USA, 2021. [Google Scholar]










| No. | Formulation | Dose | No. of Subjects (Gender) a | Age | Weight (Kg) | Reference |
|---|---|---|---|---|---|---|
| 1 | IV | 0.5 mg | 12 (M); 12 (F) | 22–53 | 45–92 | [10] |
| 2 | Solution (local) | 2.6 mg (1 mL) | 8 (M) | 20–44 | 63–111 | [11] |
| 3 | Solution | 3 mg (10 mL) | 6 (M); 6 (F) | 43.7 ± 7.1 | 71.5 ± 10.3 | [12] |
| 4 | Entocort® EC | 18 mg | 8 (M) | 40–53 | 77–94 | [13] |
| 5 | Entocort® EC | 3, 9, 15 mg | 5 (M); 8 (F) | NA | NA | [14] |
| 6 | Entocort® EC | 4.5 mg | 6 (M) | 43–56 | NA | [15] |
| 7 | Entocort® EC | 9 mg | 6 (M); 6 (F) | 21–42 | NA | [16] |
| 8 | Entocort® EC | 3 mg | 8 (M) | 22–40 | 85 (66–107) | [17] |
| 9 | Entocort® EC | 4.5 mg | 40 (F) | 19–38 | 61.5 (46–86) | [18] |
| 10 | Entocort® EC | 3 mg | 8 (M) | 20–42 | 75 (60–91) | [19] |
| 11 | Entocort® EC | 9 mg | 4 (M); 4 (F) | 24–50 | BMI 24.9 (18.5–29.7) | [20] |
| 12 | Entocort® EC | 1 mg | 1 (M); 7 (F) | 25–70 | 57.4–104 | [21] |
| Formulation | f2 | Similarity between R and T | Fmax | α | β | Trigger pH |
|---|---|---|---|---|---|---|
| Entocort® EC | - | - | 100 | 3.12 | 0.94 | 5.5 |
| +20% | 36.1 | N | 100 | 1.53 | 0.87 | 5.5 |
| +10% | 50.8 | Y | 100 | 2.14 | 0.89 | 5.5 |
| +5% | 65.5 | Y | 100 | 2.56 | 0.91 | 5.5 |
| +3% | 75.8 | Y | 100 | 2.77 | 0.92 | 5.5 |
| −5% | 65.5 | Y | 100 | 3.90 | 1.01 | 5.5 |
| −10% | 50.8 | Y | 100 | 5.01 | 1.09 | 5.5 |
| pH threshold = 5 | - | - | 100 | 3.12 | 0.94 | 5 |
| pH threshold = 6 | - | - | 100 | 3.12 | 0.94 | 6 |
| Parameters | Ranges Covered by LSA | Range in HV | Reported Ranges in CD Patients | ||
|---|---|---|---|---|---|
| [22] | [23] | [28] | |||
| Gastric MRT (h) | 0.27–2.5 | 0.27 | 0–2.5 | 0.26 (Active); 0.3 (Inactive) | |
| SI MRT (h) | 3.4–6 | 3.4 | 3–6 | 4.2 (Active); 3.2 (Inactive) | |
| Liver CYP3A4 abundance (pmol/mg protein) | 34.35–137 | 137 | 31.5 (M), 45.75 (F) (low); 38.49 (M), 55.91 (F) (high) | 55.4 (M); 80.5 (F) | |
| SI CYP3A4 abundance (nmol/SI) | 8.6–65.4 | 65.4 | 60.53 (low); 98.53 (high) | 52.3 | 8.6 (Inflamed); 15.6 (Noninflamed) |
| HSA (g/L) | 30–50 | 50.34 (M); 49.38 (F) | 31.72 (M), 27.2 (F) (low); 41 (high) | Study one: 30.13 (M); 25.2 (F) Study two: 44.8 (M); 43.9 (F) | |
| Colon CYP3A4 abundance (nmol/colon) | 0.2–1.99 | 1.99 | 2.4 | 0.2 (Inflamed); 0.5 (Noninflamed) | |
| Transporter abundance (pmol/mg total membrane protein) | Jejunum I: 0.075–0.4 | Jejunum I: 0.4 | Ileum I–IV:1.2 Colon: 0.17 (Active); 0.55 (Inactive) | Jejunum I: 0.12 (Inflamed); 0.075 (Noninflamed) | |
| Parameter | HV | CD | Reference |
|---|---|---|---|
| Liver CYP3A4 abundance (pmol/mg protein) | 137 | 55.4 (M); 80.5 (F) | [23] |
| SI CYP3A4 abundance (nmol/SI) | 65.4 | 8.6 | [28] |
| Colon CYP3A4 abundance (nmol/colon) | 1.99 | 0.2 | [28] |
| HSA (g/L) | 50.34 (M); 49.38 (F) | 30.13 (M); 25.2 (F) | [23] |
| Parameters | Variation (CV%) | Minimum Limit | Parameter Value | Maximum Limit |
|---|---|---|---|---|
| Fasted MRT Stomach Fluid | 38.217 | 0.01 | 0.27 | 12 |
| Fasted MRT SI Fluid | 21.132 | 0.5 | 3.4 | 12 |
| Male WColon MRT Fluid | 44.962 | 0.1 | 37.5 | 240 |
| Male AColon MRT Fluid | 44.962 | 0.1 | 18.91 | 72 |
| Female WColon MRT Fluid | 44.962 | 0.1 | 55.75 | 240 |
| Female AColon MRT Fluid | 44.962 | 0.1 | 23.11 | 72 |
| Clinical Study | Subject | Formulation | Dose (mg) | Observed Values | Simulated Values | Ratio: sim/obs | |||
|---|---|---|---|---|---|---|---|---|---|
| AUC0–t (nM × h) | Cmax (nM) | AUC0-t (nM × h) | Cmax (nM) | AUC0–t | Cmax | ||||
| 1 | HV | IV bolus | 0.5 | 15.27 | 11.1 | 12.66 | 9.12 | 0.83 | 0.82 |
| 2-1 | HV | Solution (Jejunum) * | 2.6 (1 mL) | 8.52 | 3.14 | 8.19 | 3.38 | 0.96 | 1.08 |
| 2-2 | HV | Solution (Ileum) * | 2.6 (1 mL) | 11.77 | 5.31 | 11.18 | 5.19 | 0.95 | 0.98 |
| 2-3 | HV | Solution (Colon) * | 2.6 (1 mL) | 8.56 | 2.36 | 10.05 | 2.44 | 1.17 | 1.03 |
| 3 | HV | Solution (Oral) | 3 (10 mL) | 6.58 | 2.15 | 8.30 | 1.84 | 1.26 | 0.86 |
| 4 | HV | Entocort® EC | 18 | 51.49 | 5.92 | 54.78 | 5.74 | 1.06 | 0.97 |
| 5-1 | HV | Entocort® EC | 3 | 12.98 | 1.77 | 9.17 | 0.96 | 0.71 | 0.54 |
| 5-2 | HV | Entocort® EC | 9 | 38.65 | 3.74 | 27.68 | 2.95 | 0.72 | 0.79 |
| 5-3 | HV | Entocort® EC | 15 | 59.37 | 7.08 | 45.83 | 4.81 | 0.77 | 0.68 |
| 6 | HV | Entocort® EC | 4.5 | 18.72 | 2.21 | 14.06 | 1.47 | 0.75 | 0.67 |
| 7 | HV | Entocort® EC | 9 | 26.41 | 4.18 | 21.47 | 2.80 | 0.81 | 0.67 |
| 8 | HV | Entocort® EC | 3 | 12.24 | 1.16 | 8.23 | 0.87 | 0.67 | 0.75 |
| 9 | HV | Entocort® EC | 4.5 | 13.15 | 1.39 | 14.03 | 1.45 | 1.07 | 1.04 |
| 10 | HV | Entocort® EC | 3 | 11.75 | 1.28 | 8.23 | 0.88 | 0.70 | 0.69 |
| 11 | CD patients | Entocort® EC | 9 | 27.27 | 4.32 | 45.35 | 5.39 | 1.66 | 1.25 |
| 12 | CD patients | Entocort® EC | 1 | 4.41 | 0.56 | 4.35 | 0.52 | 0.99 | 0.93 |
| Endpoint | tmax (h) Lumen/Enterocyte | Cmax,lumen (nM) | Cmax,enterocyte (nM) |
|---|---|---|---|
| Plasma | 3 | 0.94 | - |
| Duodenum | 1/0.5 | 459 | 2.67 |
| Jejunum I | 1/1 | 10,455 | 43.2 |
| Jejunum II | 2/2 | 16,745 | 31.3 |
| Ileum I | 2/2 | 20,767 | 102 |
| Ileum II | 3/2 | 17,769 | 91.1 |
| Ileum III | 3/3 | 17,825 | 83.3 |
| Ileum IV | 3/3 | 15,935 | 75.2 |
| Colon | 6/6 | 152,267 | 1092 |
Disclaimer/Publisher’s Note: The statements, opinions and data contained in all publications are solely those of the individual author(s) and contributor(s) and not of MDPI and/or the editor(s). MDPI and/or the editor(s) disclaim responsibility for any injury to people or property resulting from any ideas, methods, instructions or products referred to in the content. |
© 2023 by the authors. Licensee MDPI, Basel, Switzerland. This article is an open access article distributed under the terms and conditions of the Creative Commons Attribution (CC BY) license (https://creativecommons.org/licenses/by/4.0/).
Share and Cite
Han, C.; Sun, T.; Chirumamilla, S.K.; Bois, F.Y.; Xu, M.; Rostami-Hodjegan, A. Understanding Discordance between In Vitro Dissolution, Local Gut and Systemic Bioequivalence of Budesonide in Healthy and Crohn’s Disease Patients through PBPK Modeling. Pharmaceutics 2023, 15, 2237. https://doi.org/10.3390/pharmaceutics15092237
Han C, Sun T, Chirumamilla SK, Bois FY, Xu M, Rostami-Hodjegan A. Understanding Discordance between In Vitro Dissolution, Local Gut and Systemic Bioequivalence of Budesonide in Healthy and Crohn’s Disease Patients through PBPK Modeling. Pharmaceutics. 2023; 15(9):2237. https://doi.org/10.3390/pharmaceutics15092237
Chicago/Turabian StyleHan, Chunyan, Tiancheng Sun, Siri Kalyan Chirumamilla, Frederic Y. Bois, Mandy Xu, and Amin Rostami-Hodjegan. 2023. "Understanding Discordance between In Vitro Dissolution, Local Gut and Systemic Bioequivalence of Budesonide in Healthy and Crohn’s Disease Patients through PBPK Modeling" Pharmaceutics 15, no. 9: 2237. https://doi.org/10.3390/pharmaceutics15092237
APA StyleHan, C., Sun, T., Chirumamilla, S. K., Bois, F. Y., Xu, M., & Rostami-Hodjegan, A. (2023). Understanding Discordance between In Vitro Dissolution, Local Gut and Systemic Bioequivalence of Budesonide in Healthy and Crohn’s Disease Patients through PBPK Modeling. Pharmaceutics, 15(9), 2237. https://doi.org/10.3390/pharmaceutics15092237

