Anti-Alzheimer Activity of Combinations of Cocoa with Vinpocetine or Other Nutraceuticals in Rat Model: Modulation of Wnt3/β-Catenin/GSK-3β/Nrf2/HO-1 and PERK/CHOP/Bcl-2 Pathways
Abstract
1. Introduction
2. Materials and Methods
2.1. Ethical Approval
2.2. Materials
2.2.1. Drugs and Chemicals
2.2.2. Animals
2.3. Methods
2.3.1. Experimental Design
2.3.2. Behavioral Tests
Y Maze Test
Conditioned Avoidance Test (CA)
Morris Water Maze Test
Swimming Test
2.3.3. Tissue Sampling and Preparation
2.3.4. Histopathological Examination of Brain Tissue
2.3.5. Biochemical Measurements
Fluorometric Technique
Colorimetric Technique
ELISA Technique
Real-Time Quantitative Polymerase Chain Reaction
2.4. Statistical Analysis
3. Results
3.1. Behavioral Tests
3.1.1. Y-Maze Test (Percent of Spontaneous Alterations; Assessment of Reference Memory)
3.1.2. Conditioned Avoidance Test (CA) (Assessment of Acquired or Learned Response)
3.2. Biochemical Measurements
3.2.1. The Effect of Cocoa Alone and in Combination with VIN or Other Nutraceuticals on Oxidative Stress and Antioxidant Biomarkers in Brain Tissues in AlCl3-Induced AD
3.2.2. Effect of Cocoa Alone and in Combination with VIN or Other Nutraceuticals on the Inflammatory Biomarkers in Brain Tissues
3.2.3. Effect of Cocoa Alone and in Combination with VIN or Other Nutraceuticals on GSK-3β/BDNF and Wnt/β-catenin Pathways in AlCl3-Induced AD
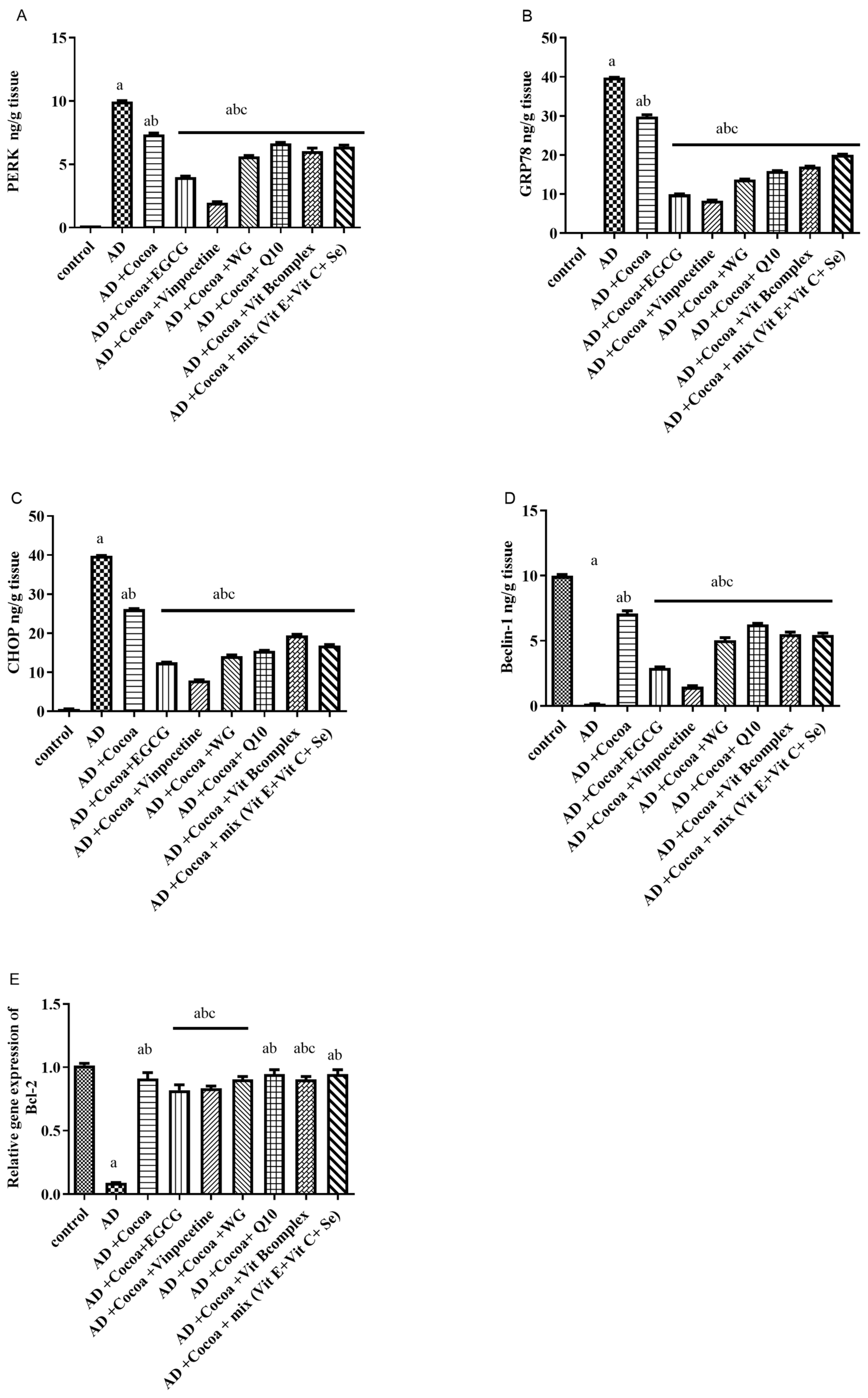
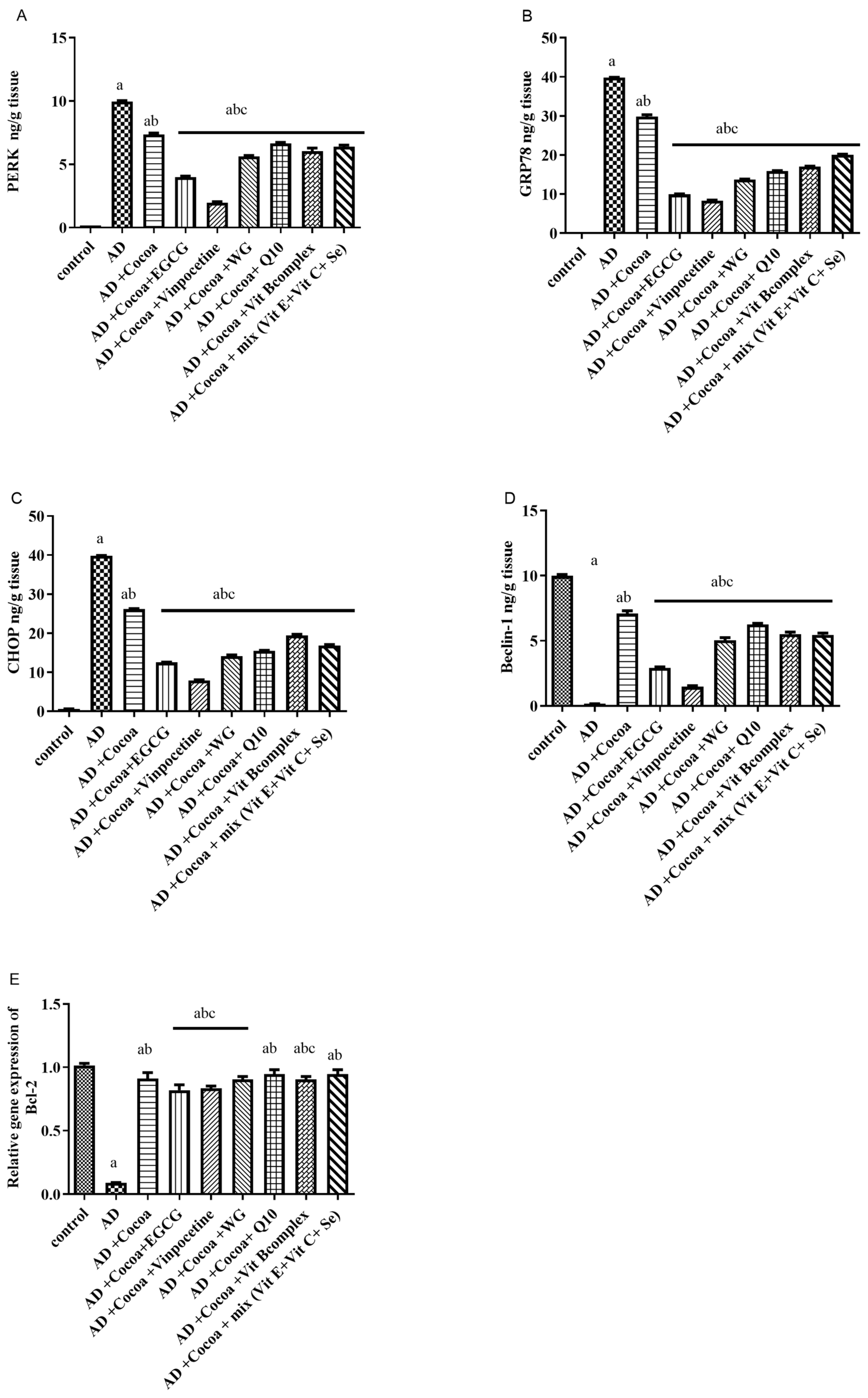
3.2.4. Effect of Cocoa Alone and in Combination with VIN or Other Nutraceuticals on ER Stress, Autophagy, and Apoptotic Markers in AlCl3-Induced AD
3.2.5. Effect of Cocoa Alone and in Combination with VIN or Other Nutraceuticals on the Brain Neurotransmitters; Monoamines and ACHE Activity in AlCl3-Induced AD
3.3. Histopathological Alterations of Brain Tissue in Different Regions
4. Discussion
5. Conclusions
Author Contributions
Funding
Institutional Review Board Statement
Informed Consent Statement
Data Availability Statement
Acknowledgments
Conflicts of Interest
References
- Zhang, H.; Wei, W.; Zhao, M.; Ma, L.; Jiang, X.; Pei, H.; Cao, Y.; Li, H. Interaction between Aβ and Tau in the Pathogenesis of Alzheimer’s Disease. Int. J. Biol. Sci. 2021, 17, 2181–2192. [Google Scholar] [CrossRef]
- Kumar, V.; Bal, A.; Gill, K.D. Aluminium-induced oxidative DNA damage recognition and cell-cycle disruption in different regions of rat brain. Toxicology 2009, 264, 137–144. [Google Scholar] [CrossRef]
- Calkins, M.J.; Johnson, D.A.; Townsend, J.A.; Vargas, M.R.; Dowell, J.A.; Williamson, T.P.; Kraft, A.D.; Lee, J.-M.; Li, J.; Johnson, J.A. The Nrf2/ARE Pathway as a Potential Therapeutic Target in Neurodegenerative Disease. Antioxid. Redox Signal 2009, 11, 497–508. [Google Scholar] [CrossRef]
- Hamdan, A.M.E.; Alharthi, F.H.J.; Alanazi, A.H.; El-Emam, S.Z.; Zaghlool, S.S.; Metwally, K.; Albalawi, S.A.; Abdu, Y.S.; Mansour, R.E.-S.; Salem, H.A.; et al. Neuroprotective Effects of Phytochemicals against Aluminum Chloride-Induced Alzheimer’s Disease through ApoE4/LRP1, Wnt3/β-Catenin/GSK3β, and TLR4/NLRP3 Pathways with Physical and Mental Activities in a Rat Model. Pharmaceuticals 2022, 15, 1008. [Google Scholar] [CrossRef]
- Zare-shahabadi; Masliah, E.; Johnson, G.V.W.; Rezaei, N. Autophagy in Alzheimer’s disease. Rev. Neurosci. 2015, 26, 385–395. [Google Scholar] [CrossRef]
- Hashimoto, S.; Ishii, A.; Kamano, N.; Watamura, N.; Saito, T.; Ohshima, T.; Yokosuka, M.; Saido, T.C. Endoplasmic reticulum stress responses in mouse models of Alzheimer’s disease: Overexpression paradigm versus knockin paradigm. J. Biol. Chem. 2018, 293, 3118–3125. [Google Scholar] [CrossRef]
- da Rosa, M.M.; de Amorim, L.C.; de O, J.V.; da Silva, I.F.; da Silva, F.G.; da Silva, M.V.; Santos, M.T.C.D. The promising role of natural products in Alzheimer’s disease. Brain Disord. 2022, 7, 100049. [Google Scholar] [CrossRef]
- Wang, J.; Varghese, M.; Ono, K.; Yamada, M.; Levine, S.; Tzavaras, N.; Gong, B.; Hurst, W.J.; Blitzer, R.D.; Pasinetti, G.M. Cocoa Extracts Reduce Oligomerization of Amyloid-β: Implications for Cognitive Improvement in Alzheimer’s Disease. J. Alzheimer’s Dis. 2014, 41, 643–650. [Google Scholar] [CrossRef] [PubMed]
- Patyar, S.; Prakash, A.; Modi, M.; Medhi, B. Role of vinpocetine in cerebrovascular diseases. Pharmacol. Rep. 2011, 63, 618–628. [Google Scholar] [CrossRef] [PubMed]
- Singh, R.; Akhtar, N.; Haqqi, T.M. Green tea polyphenol epigallocatechi3-gallate: Inflammation and arthritis. Life Sci. 2010, 86, 907–918. [Google Scholar] [CrossRef]
- Ganeshpurkar, A.; Dubey, N.; Bansal, D.; Khan, N. Immunoprophylactic potential of wheat grass extract on benzene-induced leukemia: An in vivo study on murine model. Indian J. Pharmacol. 2015, 47, 394. [Google Scholar] [CrossRef] [PubMed]
- Chen, P.-Y.; Hou, C.-W.; Shibu, M.A.; Day, C.H.; Pai, P.; Liu, Z.-R.; Lin, T.-Y.; Viswanadha, V.P.; Kuo, C.-H.; Huang, C.-Y. Protective effect of Co-enzyme Q10 On doxorubicin-induced cardiomyopathy of rat hearts. Environ. Toxicol. 2017, 32, 679–689. [Google Scholar] [CrossRef] [PubMed]
- El-Aal, S.A.A.; El-Fattah, M.A.A.; El-Abhar, H.S. CoQ10 Augments Rosuvastatin Neuroprotective Effect in a Model of Global Ischemia via Inhibition of NF-κB/JNK3/Bax and Activation of Akt/FOXO3A/Bim Cues. Front. Pharmacol. 2017, 8, 735. [Google Scholar] [CrossRef] [PubMed]
- Yang, X.; Yang, Y.; Li, G.; Wang, J.; Yang, E.S. Coenzyme Q10 Attenuates β-Amyloid Pathology in the Aged Transgenic Mice with Alzheimer Presenilin 1 Mutation. J. Mol. Neurosci. 2008, 34, 165–171. [Google Scholar] [CrossRef] [PubMed]
- Steele, M.; Stuchbury, G.; Münch, G. The molecular basis of the prevention of Alzheimer’s disease through healthy nutrition. Exp. Gerontol. 2007, 42, 28–36. [Google Scholar] [CrossRef]
- Jolivalt, C.G.; Mizisin, L.M.; Nelson, A.; Cunha, J.M.; Ramos, K.M.; Bonke, D.; Calcutt, N.A. B vitamins alleviate indices of neuropathic pain in diabetic rats. Eur. J. Pharmacol. 2009, 612, 41–47. [Google Scholar] [CrossRef]
- Rock, C.L.; Jacob, R.A.; Bowen, P.E. Update on the Biological Characteristics of the Antioxidant Micronutrients. J Am Diet Assoc. 1996, 96, 693–702. [Google Scholar] [CrossRef]
- Mark, S.D. Prospective Study of Serum Selenium Levels and Incident Esophageal and Gastric Cancers. J. Natl. Cancer Inst. 2000, 92, 1753–1763. [Google Scholar] [CrossRef]
- MKhalil, G.; Ali, A.A.; Hassanin, S.O.; Al-Najjar, A.H.; Ghosh, S.; Mahmoud, M.O. Comparative study on the effect of EGCG and wheat grass together with mental and physical activities against induction of Alzheimer’s disease in both isolated and socialized rats. Phytomedicine Plus 2022, 2, 100146. [Google Scholar] [CrossRef]
- Ali, A.A.; Kamal, M.M.; Khalil, M.G.; Ali, S.A.; Elariny, H.A.; Bekhit, A.; Wahid, A. Behavioral, Biochemical and Histopathological effects of Standardised Pomegranate extract with Vinpocetine, Propolis or Cocoa in a rat model of Parkinson’s disease. Exp. Aging Res. 2022, 48, 191–210. [Google Scholar] [CrossRef]
- Bisson, J.-F.; Nejdi, A.; Rozan, P.; Hidalgo, S.; Lalonde, R.; Messaoudi, M. Effects of long-term administration of a cocoa polyphenolic extract (Acticoa powder) on cognitive performances in aged rats. Br. J. Nutr. 2008, 100, 94–101. [Google Scholar] [CrossRef] [PubMed]
- Rasoolijazi, H.; Joghataie, M.T.; Roghani, M.; Nobakht, M. The beneficial effect of (-)-epigallocatechin-3-gallate in an experimental model of Alzheimer’s disease in rat: A behavioral analysis. Iran Biomed. J. 2007, 11, 237–243. Available online: http://www.ncbi.nlm.nih.gov/pubmed/18392085 (accessed on 3 May 2023). [PubMed]
- Abdel-Salam, O.M.E.; Hamdy, S.M.; Seadawy, S.A.M.; Galal, A.F.; Abouelfadl, D.M.; Atrees, S.S. Effect of piracetam, vincamine, vinpocetine, and donepezil on oxidative stress and neurodegeneration induced by aluminum chloride in rats. Comp. Clin. Path. 2016, 25, 305–318. [Google Scholar] [CrossRef]
- Andreassen, O.A.; Weber, C.; JØrgensen, H.A. Coenzyme Q10 Does Not Prevent Oral Dyskinesias Induced by Long-Term Haloperidol Treatment of Rats. Pharmacol. Biochem. Behav. 1999, 64, 637–642. [Google Scholar] [CrossRef]
- Ahmed, H.H.; Shousha, W.G.; Hussien, R.M.; Farrag, A.R.H. Potential role of some nutraceuticals in the regression of Alzheimer’s disease in an experimental animal model. Turk J. Med. Sci. 2011, 41, 455–466. [Google Scholar] [CrossRef]
- Lakshmi, B.V.S.; Sudhakar, M.; Prakash, K.S. Protective Effect of Selenium Against Aluminum Chloride-Induced Alzheimer’s Disease: Behavioral and Biochemical Alterations in Rats. Biol. Trace Elem. Res. 2015, 165, 67–74. [Google Scholar] [CrossRef]
- Shivavedi, N.; Tej, G.N.V.C.; Neogi, K.; Nayak, P.K. Ascorbic acid therapy: A potential strategy against comorbid depression-like behavior in streptozotocin-nicotinamide-induced diabetic rats. Biomed. Pharmacother. 2019, 109, 351–359. [Google Scholar] [CrossRef]
- Hritcu, L.; Cioanca, O.; Hancianu, M. Effects of lavender oil inhalation on improving scopolamine-induced spatial memory impairment in laboratory rats. Phytomedicine 2012, 19, 529–534. [Google Scholar] [CrossRef] [PubMed]
- Foyet, H.S.; Hritcu, L.; Ciobica, A.; Stefan, M.; Kamtchouing, P.; Cojocaru, D. Methanolic extract of Hibiscus asper leaves improves spatial memory deficits in the 6-hydroxydopamine-lesion rodent model of Parkinson’s disease. J. Ethnopharmacol. 2011, 133, 773–779. [Google Scholar] [CrossRef]
- Garofalo, P.; Colombo, S.; Lanza, M.; Revel, L.; Makovec, F. CR 2249: A New Putative Memory Enhancer. Behavioural Studies on Learning and Memory in Rats and Mice. J. Pharm. Pharmacol. 2011, 48, 1290–1297. [Google Scholar] [CrossRef]
- Morris, R. Developments of a water-maze procedure for studying spatial learning in the rat. J. Neurosci. Methods. 1984, 11, 47–60. [Google Scholar] [CrossRef] [PubMed]
- Ali, A.A.; Khalil, M.G.; Elariny, H.A.; Elfotuh, K.A. Study on Social Isolation as a Risk Factor in Development of Alzheimer’s Disease in Rats. Brain Disord. Ther. 2017, 6, 1000230. [Google Scholar] [CrossRef]
- Zanfirescu, A.; Ungurianu, A.; Tsatsakis, A.M.; Ni, G.M.; Kouretas, D.; Veskoukis, A.; Tsoukalas, D.; Engin, A.B.; Aschner, M.; Margină, D. A Review of the Alleged Health Hazards of Monosodium Glutamate. Compr. Rev. Food Sci. Food Saf. 2019, 18, 1111–1134. [Google Scholar] [CrossRef] [PubMed]
- Bancroft, J.D.; Layton, C. The hematoxylins and eosin. In Bancroft’s Theory and Practice of Histological Techniques; Elsevier: Amsterdam, The Netherlands, 2013; pp. 173–186. [Google Scholar] [CrossRef]
- Ciarlone, A.E. Further modification of a fluorometric method for analyzing brain amines. Microchem. J. 1978, 23, 9–12. [Google Scholar] [CrossRef]
- Nishikimi, M.; Rao, N.A.; Yagi, K. The occurrence of superoxide anion in the reaction of reduced phenazine methosulfate and molecular oxygen. Biochem. Biophys. Res. Commun. 1972, 46, 849–854. [Google Scholar] [CrossRef]
- Gu, H.; Long, D.; Song, C.; Li, X. Recombinant human NGF-loaded microspheres promote survival of basal forebrain cholinergic neurons and improve memory impairments of spatial learning in the rat model of Alzheimer’s disease with fimbria-fornix lesion. Neurosci. Lett. 2009, 453, 204–209. [Google Scholar] [CrossRef] [PubMed]
- Abdel-Aal, R.A.; Assi, A.-A.A.; Kostandy, B.B. Rivastigmine reverses aluminum-induced behavioral changes in rats. Eur. J. Pharmacol. 2011, 659, 169–176. [Google Scholar] [CrossRef]
- Saba; Khan, S.; Parvez, S.; Chaudhari, B.; Ahmad, F.; Anjum, S.; Raisuddin, S. Ellagic acid attenuates bleomycin and cyclophosphamide-induced pulmonary toxicity in Wistar rats. Food Chem. Toxicol. 2013, 58, 210–219. [Google Scholar] [CrossRef]
- Vauzour, D.; Vafeiadou, K.; Rodriguez-Mateos, A.; Rendeiro, C.; Spencer, J.P.E. The neuroprotective potential of flavonoids: A multiplicity of effects. Genes Nutr. 2008, 3, 115–126. [Google Scholar] [CrossRef]
- Muss, C.; Mosgoeller, W.; Endler, T.; Muss, C. Mood improving Potential of a Vitamin Trace Element Composition-A randomized, double blind, placebo controlled clinical study with healthy volunteers, NEL370116A06. Neuroendocrinol. Lett. 2016, 37, 26994381. [Google Scholar]
- Kitagishi, Y.; Nakanishi, A.; Ogura, Y.; Matsuda, S. Dietary regulation of PI3K/AKT/GSK-3β pathway in Alzheimer’s disease. Alzheimer’s Res. Ther. 2014, 6, 35. [Google Scholar] [CrossRef]
- Salem, H.A.; Elsherbiny, N.; Alzahrani, S.; Alshareef, H.M.; Elmageed, Z.Y.A.; Ajwah, S.M.; Hamdan, A.M.E.; Abdou, Y.S.; Galal, O.O.; El Azazy, M.K.A.; et al. Neuroprotective Effect of Morin Hydrate against Attention-Deficit/Hyperactivity Disorder (ADHD) Induced by MSG and/or Protein Malnutrition in Rat Pups: Effect on Oxidative/Monoamines/Inflammatory Balance and Apoptosis. Pharmaceuticals 2022, 15, 1012. [Google Scholar] [CrossRef]
- Ngo, V.; Duennwald, M.L. Nrf2 and Oxidative Stress: A General Overview of Mechanisms and Implications in Human Disease. Antioxidants 2022, 11, 2345. [Google Scholar] [CrossRef]
- Saha, S.; Buttari, B.; Profumo, E.; Tucci, P.; Saso, L. A Perspective on Nrf2 Signaling Pathway for Neuroinflammation: A Potential Therapeutic Target in Alzheimer’s and Parkinson’s Diseases. Front. Cell Neurosci. 2022, 15, 787258. [Google Scholar] [CrossRef]
- Fakhri, S.; Pesce, M.; Patruno, A.; Moradi, S.Z.; Iranpanah, A.; Farzaei, M.H.; Sobarzo-Sánchez, E. Attenuation of Nrf2/Keap1/ARE in Alzheimer’s Disease by Plant Secondary Metabolites: A Mechanistic Review. Molecules 2020, 25, 4926. [Google Scholar] [CrossRef]
- Martín, M.Á.; Serrano, A.B.G.; Ramos, S.; Pulido, M.I.; Bravo, L.; Goya, L. Cocoa flavonoids up-regulate antioxidant enzyme activity via the ERK1/2 pathway to protect against oxidative stress-induced apoptosis in HepG2 cells. J. Nutr. Biochem. 2010, 21, 196–205. [Google Scholar] [CrossRef]
- Cheng, Y.-T.; Lu, C.-C.; Yen, G.-C. Phytochemicals enhance antioxidant enzyme expression to protect against NSAID-induced oxidative damage of the gastrointestinal mucosa. Mol. Nutr. Food Res. 2017, 61, 1600659. [Google Scholar] [CrossRef]
- Fattori, V.; Borghi, S.M.; Guazelli, C.F.S.; Giroldo, A.C.; Crespigio, J.; Bussmann, A.J.C.; Coelho-Silva, L.; Ludwig, N.G.; Mazzuco, T.L.; Casagrande, R.; et al. Vinpocetine reduces diclofenac-induced acute kidney injury through inhibition of oxidative stress, apoptosis, cytokine production, and NF-κB activation in mice. Pharmacol. Res. 2017, 120, 10–22. [Google Scholar] [CrossRef]
- Keskes-Ammar, L.; Feki-Chakroun, N.; Rebai, T.; Sahnoun, Z.; Ghozzi, H.; Hammami, S.; Zghal, K.; Fki, H.; Damak, J.; Bahloul, A. Sperm Oxidative Stress and the Effect of an Oral Vitamin E and Selenium Supplement on Semen Quality in Infertile Men. Arch. Androl. 2003, 49, 83–94. [Google Scholar] [CrossRef]
- Packer, L. Oxidants, antioxidant nutrients and the athlete. J. Sports Sci. 1997, 15, 353–363. [Google Scholar] [CrossRef] [PubMed]
- Davies, D.A.; Adlimoghaddam, A.; Albensi, B.C. Role of Nrf2 in Synaptic Plasticity and Memory in Alzheimer’s Disease. Cells 2021, 10, 1884. [Google Scholar] [CrossRef] [PubMed]
- McKim, S.E.; Konno, A.; Gäbele, E.; Uesugi, T.; Froh, M.; Sies, H.; Thurman, R.G.; Arteel, G.E. Cocoa extract protects against early alcohol-induced liver injury in the rat. Arch. Biochem. Biophys. 2002, 406, 40–46. [Google Scholar] [CrossRef] [PubMed]
- Abu-Elfotuh, K.; Ragab, G.M.; Salahuddin, A.; Jamil, L.; Al Haleem, E.N.A. Attenuative Effects of Fluoxetine and Triticum aestivum against Aluminum-Induced Alzheimer’s Disease in Rats: The Possible Consequences on Hepatotoxicity and Nephrotoxicity. Molecules 2021, 26, 6752. [Google Scholar] [CrossRef] [PubMed]
- Payne; Nahashon, S.; Taka, E.; Adinew, G.M.; Soliman, K.F.A. Epigallocatechin-3-Gallate (EGCG): New Therapeutic Perspectives for Neuroprotection, Aging, and Neuroinflammation for the Modern Age. Biomolecules 2022, 12, 371. [Google Scholar] [CrossRef] [PubMed]
- Neiva, R.F.; Al-Shammari, K.; Nociti, F.H.; Soehren, S.; Wang, H.-L. Effects of Vitamin-B Complex Supplementation on Periodontal Wound Healing. J. Periodontol. 2005, 76, 1084–1091. [Google Scholar] [CrossRef]
- Canter, P.H.; Wider, B.; Ernst, E. The antioxidant vitamins A, C, E and selenium in the treatment of arthritis: A systematic review of randomized clinical trials. Rheumatology 2007, 46, 1223–1233. [Google Scholar] [CrossRef]
- Ma, T.; Klann, E. Amyloid β: Linking synaptic plasticity failure to memory disruption in Alzheimer’s disease. J. Neurochem. 2012, 120, 140–148. [Google Scholar] [CrossRef]
- Deshmukh, R.; Sharma, V.; Mehan, S.; Sharma, N.; Bedi, K.L. Amelioration of intracerebroventricular streptozotocin induced cognitive dysfunction and oxidative stress by vinpocetine—A PDE1 inhibitor. Eur. J. Pharmacol. 2009, 620, 49–56. [Google Scholar] [CrossRef]
- Rezai-Zadeh, K.; Shytle, D.; Sun, N.; Mori, T.; Hou, H.; Jeanniton, D.; Ehrhart, J.; Townsend, K.; Zeng, J.; Morgan, D.; et al. Green Tea Epigallocatechin-3-Gallate (EGCG) Modulates Amyloid Precursor Protein Cleavage and Reduces Cerebral Amyloidosis in Alzheimer Transgenic Mice. J. Neurosci. 2005, 25, 8807–8814. [Google Scholar] [CrossRef]
- Dumont, M.; Kipiani, K.; Yu, F.; Wille, E.; Katz, M.; Calingasan, N.Y.; Gouras, G.K.; Lin, M.T.; Beal, M.F. Coenzyme Q10 Decreases Amyloid Pathology and Improves Behavior in a Transgenic Mouse Model of Alzheimer’s Disease. J. Alzheimer’s Dis. 2011, 27, 211–223. [Google Scholar] [CrossRef]
- Godoi, G.L.; de Oliveira Porciúncula, L.; Schulz, J.F.; Kaufmann, F.N.; da Rocha, J.B.; de Souza, D.O.G.; Ghisleni, G.; de Almeida, H.L. Selenium Compounds Prevent Amyloid β-Peptide Neurotoxicity in Rat Primary Hippocampal Neurons. Neurochem. Res. 2013, 38, 2359–2363. [Google Scholar] [CrossRef] [PubMed]
- Lahiri, D.K.; Maloney, B. The “LEARn” (Latent Early-life Associated Regulation) model integrates environmental risk factors and the developmental basis of Alzheimer’s disease, and proposes remedial steps. Exp Gerontol. 2010, 45, 291–296. [Google Scholar] [CrossRef] [PubMed]
- Ahmed, H.I.; Abdel-Sattar, S.A.; Zaky, H.S. Vinpocetine halts ketamine-induced schizophrenia-like deficits in rats: Impact on BDNF and GSK-3β/β-catenin pathway. Naunyn Schmiedebergs Arch. Pharmacol. 2018, 391, 1327–1338. [Google Scholar] [CrossRef] [PubMed]
- Sayas, C.L.; Ávila, J. GSK-3 and Tau: A Key Duet in Alzheimer’s Disease. Cells 2021, 10, 721. [Google Scholar] [CrossRef]
- Chen, J.; Long, Z.; Li, Y.; Luo, M.; Luo, S.; He, G. Alteration of the Wnt/GSK3β/β-catenin signalling pathway by rapamycin ameliorates pathology in an Alzheimer’s disease model. Int. J. Mol. Med. 2019, 44, 313–323. [Google Scholar] [CrossRef]
- Mousa, H.H.; Sharawy, M.H.; Nader, M.A. Empagliflozin enhances neuroplasticity in rotenone-induced parkinsonism: Role of BDNF, CREB and Npas4. Life Sci. 2023, 312, 121258. [Google Scholar] [CrossRef]
- Shi, S.; Zhao, J.; Yang, L.; Nie, X.; Han, J.; Ma, X.; Wan, C.; Jiang, J. KHSRP Participates in Manganese-Induced Neurotoxicity in Rat Striatum and PC12 Cells. J. Mol. Neurosci. 2015, 55, 454–465. [Google Scholar] [CrossRef]
- Wang, B.; Tian, T.; Kalland, K.-H.; Ke, X.; Qu, Y. Targeting Wnt/β-Catenin Signaling for Cancer Immunotherapy. Trends Pharmacol. Sci. 2018, 39, 648–658. [Google Scholar] [CrossRef]
- Laske, C.; Stellos, K.; Hoffmann, N.; Stransky, E.; Straten, G.; Eschweiler, G.W.; Leyhe, T. Higher BDNF serum levels predict slower cognitive decline in Alzheimer’s disease patients. Int. J. Neuropsychopharmacol. 2011, 14, 399–404. [Google Scholar] [CrossRef]
- Cimini, A.; Gentile, R.; D’Angelo, B.; Benedetti, E.; Cristiano, L.; Avantaggiati, M.L.; Giordano, A.; Ferri, C.; Desideri, G. Cocoa powder triggers neuroprotective and preventive effects in a human Alzheimer’s disease model by modulating BDNF signaling pathway. J. Cell. Biochem. 2013, 114, 2209–2220. [Google Scholar] [CrossRef]
- Tian, W.; Han, X.-G.; Liu, Y.-J.; Tang, G.-Q.; Liu, B.; Wang, Y.-Q.; Xiao, B.; Xu, Y.-F. Intrathecal Epigallocatechin Gallate Treatment Improves Functional Recovery After Spinal Cord Injury by Upregulating the Expression of BDNF and GDNF. Neurochem. Res. 2013, 38, 772–779. [Google Scholar] [CrossRef]
- Ajoolabady, A.; Lindholm, D.; Ren, J.; Pratico, D. ER stress and UPR in Alzheimer’s disease: Mechanisms, pathogenesis, treatments. Cell Death Dis. 2022, 13, 706. [Google Scholar] [CrossRef]
- Ghemrawi, R.; Khair, M. Endoplasmic Reticulum Stress and Unfolded Protein Response in Neurodegenerative Diseases. Int. J. Mol. Sci. 2020, 21, 6127. [Google Scholar] [CrossRef]
- Saha, A.; Saleem, S.; Kumar, P.R.; Biswas, S.C. BH3-only proteins Puma and Beclin1 regulate autophagic death in neurons in response to Amyloid-β. Cell. Death Discov. 2021, 7, 356. [Google Scholar] [CrossRef] [PubMed]
- Bieri, G.; Lucin, K.M.; O’Brien, C.E.; Zhang, H.; Villeda, S.A.; Wyss-Coray, T. Proteolytic cleavage of Beclin 1 exacerbates neurodegeneration. Mol. Neurodegener. 2018, 13, 68. [Google Scholar] [CrossRef]
- Shen, J.; Xu, S.; Zhou, H.; Liu, H.; Jiang, W.; Hao, J.; Hu, Z. IL-1β induces apoptosis and autophagy via mitochondria pathway in human degenerative nucleus pulposus cells. Sci. Rep. 2017, 7, 41067. [Google Scholar] [CrossRef] [PubMed]
- Guan, H.; Lin, Y.; Bai, L.; An, Y.; Shang, J.; Wang, Z.; Zhao, S.; Fan, J.; Liu, E. Dietary Cocoa Powder Improves Hyperlipidemia and Reduces Atherosclerosis in apoE Deficient Mice through the Inhibition of Hepatic Endoplasmic Reticulum Stress. Mediators Inflamm. 2016, 2016, 1937572. [Google Scholar] [CrossRef]
- Zhang, S.; Cao, M.; Fang, F. The Role of Epigallocatechin-3-Gallate in Autophagy and Endoplasmic Reticulum Stress (ERS)-Induced Apoptosis of Human Diseases. Med. Sci. Monit. 2020, 26, e924558. [Google Scholar] [CrossRef]
- Liang, S.; Ping, Z.; Ge, J. Coenzyme Q10 Regulates Antioxidative Stress and Autophagy in Acute Myocardial Ischemia-Reperfusion Injury. Oxidative Med. Cell. Longev. 2017, 2017, 9863181. [Google Scholar] [CrossRef]
- Shyam, C.; Dhawan, D.K.; Chadha, V.D. In Vivo Radioprotective Effects Of Wheatgrass (Triticum Aestivum) Extract Against X-Irradaition-Induced Oxidative Stress And Apoptosis In Peripheral Blood Lymphocytes In Rats. Asian J. Pharm. Clin. Res. 2018, 11, 239. [Google Scholar] [CrossRef]
- Tripathi, M.; Zhang, C.W.; Singh, B.K.; Sinha, R.A.; Moe, K.T.; DeSilva, D.A.; Yen, P.M. Hyperhomocysteinemia causes ER stress and impaired autophagy that is reversed by Vitamin B supplementation. Cell Death Dis. 2016, 7, e2513. [Google Scholar] [CrossRef] [PubMed]
- Shamseldeen, A.M.; Hamzawy, M.; Mahmoud, N.A.; Rashed, L.; Kamar, S.S.; Harb, L.A.; Sharawy, N. inhibition of endoplasmic reticulum stress and activation of autophagy-protect intestinal and renal tissues from western diet-induced dysbiosis and abrogate inflammatory response to LPS: Role of vitamin E. J. Biol. Regul. Homeost. Agents 2021, 35, 457–471. [Google Scholar]
- Sadeghi, A.; Ghahari, L. Vitamin E As an Antioxidant Reduces Apoptosis of Cells in Rat Hippocampus Following Exposure to Polyvinyl Chloride. Ann. Mil. Health Sci. Res. 2018, 16, 257–263. [Google Scholar] [CrossRef]
- Sangani, R.; Periyasamy-Thandavan, S.; Pathania, R.; Ahmad, S.; Kutiyanawalla, A.; Kolhe, R.; Bhattacharyya, M.H.; Chutkan, N.; Hunter, M.; Hill, W.D.; et al. The crucial role of vitamin C and its transporter (SVCT2) in bone marrow stromal cell autophagy and apoptosis. Stem Cell. Res. 2015, 15, 312–321. [Google Scholar] [CrossRef]
- Wang, F.; Sun, N.; Zeng, H.; Gao, Y.; Zhang, N.; Zhang, W. Selenium Deficiency Leads to Inflammation, Autophagy, Endoplasmic Reticulum Stress, Apoptosis and Contraction Abnormalities via Affecting Intestinal Flora in Intestinal Smooth Muscle of Mice. Front. Immunol. 2022, 13, e924558. [Google Scholar] [CrossRef]
- Kiss, B.; Szporny, L. On the possible role of central monoaminergic systems in the central nervous system actions of vinpocetine. Drug Dev. Res. 1988, 14, 263–279. [Google Scholar] [CrossRef]
- Lin, S.-M.; Wang, S.-W.; Ho, S.-C.; Tang, Y.-L. Protective effect of green tea (-)-epigallocatechin-3-gallate against the monoamine oxidase B enzyme activity increase in adult rat brains. Nutrition 2010, 26, 1195–1200. [Google Scholar] [CrossRef]
- Mazzio, E.; Harris, N.; Soliman, K. Food Constituents Attenuate Monoamine Oxidase Activity and Peroxide Levels in C6 Astrocyte Cells. Planta Med. 1998, 64, 603–606. [Google Scholar] [CrossRef]
- Ganguly; Guha, D. Alteration of brain monoamines & EEG wave pattern in rat model of Alzheimer’s disease & protection by Moringa oleifera. He Indian J. Med. Res. 2008, 128, 744–751. [Google Scholar]
- Brenes, J.C.; Rodríguez, O.; Fornaguera, J. Differential effect of environment enrichment and social isolation on depressive-like behavior, spontaneous activity and serotonin and norepinephrine concentration in prefrontal cortex and ventral striatum. Pharmacol. Biochem. Behav. 2008, 89, 85–93. [Google Scholar] [CrossRef]
- Kaizer, R.R.; Corrêa, M.C.; Gris, L.R.S.; da Rosa, C.S.; Bohrer, D.; Morsch, V.M.; Schetinger, M.R.C. Effect of Long-Term Exposure to Aluminum on the Acetylcholinesterase Activity in the Central Nervous System and Erythrocytes. Neurochem. Res. 2008, 33, 2294–2301. [Google Scholar] [CrossRef] [PubMed]
- Ryter, S.W.; Alam, J.; Choi, A.M.K. Heme Oxygenase-1/Carbon Monoxide: From Basic Science to Therapeutic Applications. Physiol. Rev. 2006, 86, 583–650. [Google Scholar] [CrossRef] [PubMed]
- Biasibetti, R.; Tramontina, A.C.; Costa, A.P.; Dutra, M.F.; Quincozes-Santos, A.; Nardin, P.; Bernardi, C.L.; Wartchow, K.M.; Lunardi, P.S.; Gonçalves, C.-A. Green tea (−)epigallocatechin-3-gallate reverses oxidative stress and reduces acetylcholinesterase activity in a streptozotocin-induced model of dementia. Behav. Brain Res. 2013, 236, 186–193. [Google Scholar] [CrossRef] [PubMed]
- Ishrat, T.; Khan, M.B.; Hoda, M.N.; Yousuf, S.; Ahmad, M.; Ansari, M.A.; Ahmad, A.S.; Islam, F. Coenzyme Q10 modulates cognitive impairment against intracerebroventricular injection of streptozotocin in rats. Behav. Brain Res. 2006, 171, 9–16. [Google Scholar] [CrossRef]
- Mazzanti, C.M.; Spanevello, R.; Ahmed, M.; Pereira, L.B.; Gonçalves, J.F.; Corrêa, M.; Schmatz, R.; Stefanello, N.; Leal, D.B.R.; Mazzanti, A.; et al. Pre-treatment with ebselen and vitamin E modulate acetylcholinesterase activity: Interaction with demyelinating agents. Int. J. Dev. Neurosci. 2009, 27, 73–80. [Google Scholar] [CrossRef] [PubMed]
- Lima, D.D.-D.; Wollinger, L.F.; Casagrande, A.C.M.; Delwing, F.; Cruz, J.G.P.; Wyse, A.T.S. Delwing-Dal Magro, Guanidino compounds inhibit acetylcholinesterase and butyrylcholinesterase activities: Effect neuroprotector of vitamins E plus C. Int. J. Dev. Neurosci. 2010, 28, 465–473. [Google Scholar] [CrossRef]
- Melo, J.B.; Agostinho, P.; Oliveira, C.R. Involvement of oxidative stress in the enhancement of acetylcholinesterase activity induced by amyloid beta-peptide. Neurosci. Res. 2003, 45, 117–127. [Google Scholar] [CrossRef]







| Gene | Primer Sequence | Accession Number | Product Size (bp) | Annealing Temp. (°C) |
|---|---|---|---|---|
| Nrf2 | F: 5′-CTCTCTGGAGACGGCCATGACT-3′ R: 5′-CTGGGCTGGGGACAGTGGTAGT-3′ | NM_031789 | 149 bp | 68.4 |
| HO-1 | F: 5′-CACCAGCCACACAGCACTAC-3′ R: 5′-CACCCACCCCTCAAAAGACA-3′ | NM_012580 | 1043 bp | 65.3 |
| GSK-3β | F: 5′-AGCCTATATCCATTCCTTGG-3′ R: 5′-CCTCGGACCAGCTGCTTT-3′ | NM_032080 | 701 bp | 59.1 |
| Bcl-2 | F: 5′-GGATGACTTCTCTCGTCGCTAC-3′ R: 5′-TGACATCTCCCTGTTGACGCT-3′ | NM_016993 | 199 bp | 64.9 |
| β-actin | F: 5′-CCGTAAAGACCTCTATGCCA-3′ R: 5′-AAGAAAGGGTGTAAAACGCA-3′ | NM_031144 | 299 bp | 61.8 |
| Groups’ Histopathology | Control | AD Group | AD-Treated. with Cocoa | The AD-Induced Group Treated with a Combination of Cocoa with | ||||||
|---|---|---|---|---|---|---|---|---|---|---|
| EGCG | VIN | WG | CoQ10 | Vit B Complex | Vit E + Vit C + Se | |||||
| Histopathological Changes | Brain Region | |||||||||
| Nuclear pyknosis and degeneration in the neuronal cells of the of | cerebral cortex | - | +++ | + | + | - | + | - | + | - |
| the subiculum | - | +++ | + | - | - | - | - | + | - | |
| the fascia dentate of the hippocampus | - | +++ | - | - | + | + | + | + | + | |
| Focal eosinophilic plagues in of | the striatum | - | +++ | - | - | + | + | + | - | - |
| Atrophy in the neuronal cells | the cerebellum | - | - | - | - | - | - | - | - | - |
Disclaimer/Publisher’s Note: The statements, opinions and data contained in all publications are solely those of the individual author(s) and contributor(s) and not of MDPI and/or the editor(s). MDPI and/or the editor(s) disclaim responsibility for any injury to people or property resulting from any ideas, methods, instructions or products referred to in the content. |
© 2023 by the authors. Licensee MDPI, Basel, Switzerland. This article is an open access article distributed under the terms and conditions of the Creative Commons Attribution (CC BY) license (https://creativecommons.org/licenses/by/4.0/).
Share and Cite
Abu-Elfotuh, K.; Tolba, A.M.A.; Hussein, F.H.; Hamdan, A.M.E.; Rabeh, M.A.; Alshahri, S.A.; Ali, A.A.; Mosaad, S.M.; Mahmoud, N.A.; Elsaeed, M.Y.; et al. Anti-Alzheimer Activity of Combinations of Cocoa with Vinpocetine or Other Nutraceuticals in Rat Model: Modulation of Wnt3/β-Catenin/GSK-3β/Nrf2/HO-1 and PERK/CHOP/Bcl-2 Pathways. Pharmaceutics 2023, 15, 2063. https://doi.org/10.3390/pharmaceutics15082063
Abu-Elfotuh K, Tolba AMA, Hussein FH, Hamdan AME, Rabeh MA, Alshahri SA, Ali AA, Mosaad SM, Mahmoud NA, Elsaeed MY, et al. Anti-Alzheimer Activity of Combinations of Cocoa with Vinpocetine or Other Nutraceuticals in Rat Model: Modulation of Wnt3/β-Catenin/GSK-3β/Nrf2/HO-1 and PERK/CHOP/Bcl-2 Pathways. Pharmaceutics. 2023; 15(8):2063. https://doi.org/10.3390/pharmaceutics15082063
Chicago/Turabian StyleAbu-Elfotuh, Karema, Amina M. A. Tolba, Furqan H. Hussein, Ahmed M. E. Hamdan, Mohamed A. Rabeh, Saad A. Alshahri, Azza A. Ali, Sarah M. Mosaad, Nihal A. Mahmoud, Magdy Y. Elsaeed, and et al. 2023. "Anti-Alzheimer Activity of Combinations of Cocoa with Vinpocetine or Other Nutraceuticals in Rat Model: Modulation of Wnt3/β-Catenin/GSK-3β/Nrf2/HO-1 and PERK/CHOP/Bcl-2 Pathways" Pharmaceutics 15, no. 8: 2063. https://doi.org/10.3390/pharmaceutics15082063
APA StyleAbu-Elfotuh, K., Tolba, A. M. A., Hussein, F. H., Hamdan, A. M. E., Rabeh, M. A., Alshahri, S. A., Ali, A. A., Mosaad, S. M., Mahmoud, N. A., Elsaeed, M. Y., Abdelglil, R. M., El-Awady, R. R., Galal, E. R. M., Kamal, M. M., Elsisi, A. M. M., Darwish, A., Gowifel, A. M. H., & Mahran, Y. F. (2023). Anti-Alzheimer Activity of Combinations of Cocoa with Vinpocetine or Other Nutraceuticals in Rat Model: Modulation of Wnt3/β-Catenin/GSK-3β/Nrf2/HO-1 and PERK/CHOP/Bcl-2 Pathways. Pharmaceutics, 15(8), 2063. https://doi.org/10.3390/pharmaceutics15082063

