Low-Frequency Raman Spectroscopy: An Exceptional Tool for Exploring Metastability Driven States Induced by Dehydration
Abstract
1. Introduction
- (i)
- The external motions corresponding to collective vibrations detected below 150 cm−1. In crystals, they are named lattice vibrations or phonons and they provide the crystalline fingerprint. Molecular disorder induces the broadening of phonon peaks up to the total disorder of the amorphous state, the low-frequency spectrum consisting of a vibrational density of states reflecting the short-range order. Information about collective motions can also be obtained from terahertz spectroscopy, with different selection rules inherent to the crystalline symmetry.
- (ii)
- The internal motions, corresponding to vibration within the molecule, including the 500–1800 cm−1 region distinctive of the molecular fingerprint and the X–H stretching region (between 2800 and 3800 cm−1, X = C, N, O), provide information about H-bonding associations.
- (iii)
- The semi-internal (or external) motions corresponding to very low-frequency rotations of a group of atoms within the molecule or the whole molecule.
2. Materials and Methods
2.1. Materials
2.2. Methods
Raman Spectroscopy
- Low-frequency Raman investigations were performed on a very high-dispersive XY-Dilor spectrometer, composed of three gratings in a configuration characterized by a focal length of 800 mm and equipped with a Cobolt laser emitting at 660 nm (250 mW). The monochromatic laser beam was focused on the powder sample via an achromatic lens for analyzing the largest possible volume of material (approximately 1 mm3). This configuration makes possible high elastic scattering rejection and a reduction in the detection of a Raman signal down to 5 cm−1. The acquisition time of each spectrum was 3 min, and they were collected in situ during dehydration within two different devices described below depending on the relative humidity and temperature conditions.
- Dehydration methods
- Data pre-processing
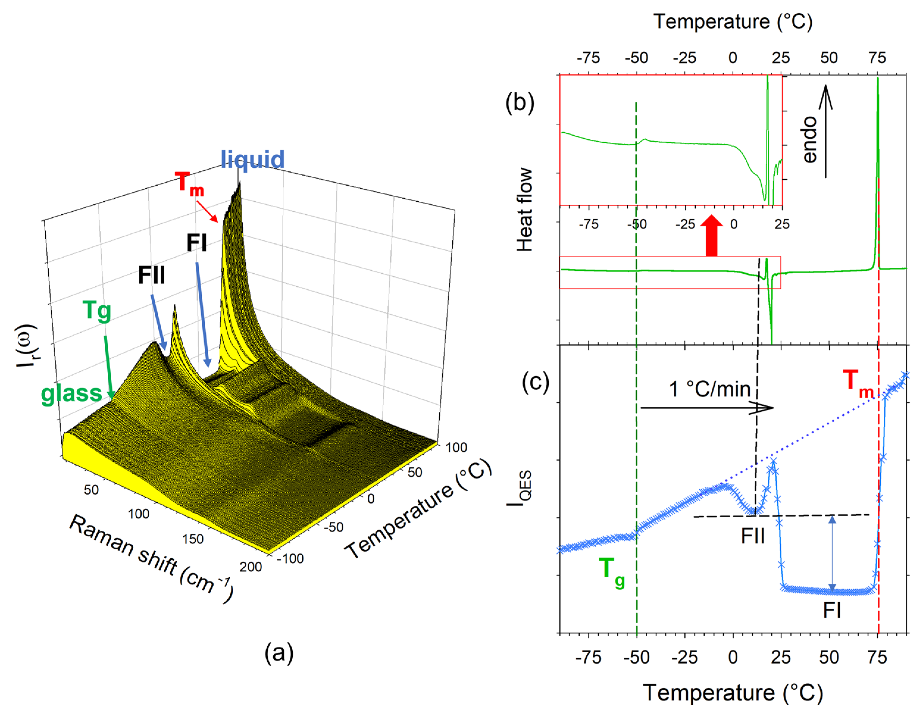
- Representations of the LFRS of disordered molecular materials
- Using LFRS to analyze the phase transformations in disordered molecular materials
3. Results
3.1. Analysis of the LFRS of Theophylline and Caffeine
3.1.1. Analysis of TPh Dehydration
3.1.2. Analysis of CAFh Dehydration
4. Discussion
5. Conclusions
Author Contributions
Funding
Institutional Review Board Statement
Informed Consent Statement
Data Availability Statement
Acknowledgments
Conflicts of Interest
Appendix A

Appendix B

Appendix C



Appendix D

Appendix E. Dehydration of Caffeine

References
- Hédoux, A.; Guinet, Y.; Descamps, M. The contribution of Raman spectroscopy to the analysis of phase transformations in pharmaceutical compounds. Int. J. Pharm. 2011, 417, 17–31. [Google Scholar] [CrossRef]
- Hédoux, A. Recent developments in the Raman and infrared investigations of amorphous pharmaceuticals and protein formulations: A review. Adv. Drug Deliv. Rev. 2016, 100, 133–146. [Google Scholar] [CrossRef]
- Larkin, P.J.; Dabros, M.; Sarsfield, B.; Chan, E.; Carriere, J.; Smith, B.C. Polymorph characterization of active pharmaceutical ingredients (APIs) using low-frequency Raman spectroscopy. Appl. Spectr. 2014, 68, 758–776. [Google Scholar] [CrossRef]
- Larkin, P.; Wasylyk, J.; Raglione, M. Application of Low- and Mid-Frequency Raman Spectroscopy to Characterize the Amorphous-Crystalline Transformation of Indomethacin. Appl. Spectrosc. 2015, 69, 1217–1228. [Google Scholar] [CrossRef]
- Ruggiero, M.; Sutton, J.; Fraser-Miller, S.; Zaczek, A.; Korter, T.; Gordon, K.; Zeitler, J. Revisiting the Thermodynamic Stability of Indomethacin Polymorphs with Low-Frequency Vibrational Spectroscopy and Quantum Mechanical Simulations. Cryst. Growth Des. 2018, 18, 6513–6520. [Google Scholar] [CrossRef]
- Otaki, T.; Tanabe, Y.; Kojima, T.; Miura, M.; Ikeda, Y.; Koide, T.; Fukami, T. In situ monitoring of cocrystals in formulation development using lowfrequency Raman spectroscopy. Int. J. Pharm. 2018, 542, 56–65. [Google Scholar] [CrossRef] [PubMed]
- Nemtsov, I.; Mastai, Y.; Tischler, Y.; Aviv, H. Chiral Purity of Crystals Using Low-Frequency Raman Spectroscopy. Chem. Phys. Chem. 2018, 19, 3116–3121. [Google Scholar] [CrossRef] [PubMed]
- Lipiainen, T.; Fraser-Miller, S.; Gordon, K.; Strachan, C. Direct comparison of low- and mid-frequency Raman spectroscopy for quantitative solid-state pharmaceutical analysis. J. Pharm. Biomed. Anal. 2018, 149, 343–350. [Google Scholar] [CrossRef]
- Iwata, K.; Karashima, M.; Ikeda, Y.; Inoue, M.; Fukami, T. Discrimination and quantification of sulfathiazole polytypes using low-frequency Raman spectroscopy. Cryst. Eng. Comm. 2018, 20, 1928–1934. [Google Scholar] [CrossRef]
- Walker, G.; Romann, P.; Poller, B.; Lobmann, K.; Grohganz, H.; Rooney, J.; Huff, G.; Smith, G.; Rades, T.; Gordon, K.; et al. Probing Pharmaceutical Mixtures during Milling: The Potency of Low-Frequency Raman Spectroscopy in Identifying Disorder. Mol. Pharm. 2017, 14, 4675–4684. [Google Scholar] [CrossRef]
- Berzins, K.; Fraser-Miller, S.; Gordon, K. Recent advances in low-frequency Raman spectroscopy for pharmaceutical applications. Int. J. Pharm. 2021, 592, 120034. [Google Scholar] [CrossRef]
- Shibata, T.; Mori, T.; Kojima, S. Low-frequency vibrational properties of crystallineand glassy indomethacin probed by terahertz time-domain spectroscopy and low-frequency Raman scattering. Spectrochim. Acta A 2015, 150, 207–211. [Google Scholar] [CrossRef]
- Inoue, M.; Hisada, H.; Koide, T.; Carriere, J.; Heyler, R.; Fukami, T. In situ monitoring of crystalline transformation of carbamazepine using probe-type low-frequency spectroscopy. Org. Process Res. Dev. 2017, 21, 262–265. [Google Scholar] [CrossRef]
- Hédoux, A.; Guinet, Y.; Paccou, L.; Danede, F.; Derollez, P. Polymorphic transformation of anhydrous caffeine upon grinding and hydrostatic pressurizing analyzed by low-frequency Raman spectroscopy. J. Pharm. Sci. 2013, 102, 162–170. [Google Scholar] [CrossRef] [PubMed]
- Hédoux, A.; Paccou, L.; Derollez, P.; Guinet, Y. Dehydration mechanism of caffeine hydrate and structural description of driven metastable anhydrates analyzed by micro Raman spectroscopy. Int. J. Pharm. 2015, 486, 331–338. [Google Scholar] [CrossRef]
- Long, D.A. Raman Spectroscopy; McGraw-Hill International Book Company: New York, NY, USA, 1977. [Google Scholar]
- Brooker, M.H.; Nielsen, O.F.; Praestgaard, E. Assessment of correction procedures for reduction of Raman spectra. J. Raman Spectrosc. 1988, 19, 71–78. [Google Scholar] [CrossRef]
- Galeener, F.L.; Sen, P.N. Theory for the first-order vibrational spectra of disordered solids. Phys. Rev. B 1978, 17, 1928–1933. [Google Scholar] [CrossRef]
- Hédoux, A.; Guinet, Y.; Paccou, L.; Derollez, P.; Danede, F. Vibrational and structural properties of amorphous n-butanol: A complementary Raman spectroscopy and X-ray diffraction study. J. Chem. Phys. 2013, 138, 214506. [Google Scholar] [CrossRef]
- Hédoux, A.; Decroix, A.-A.; Guinet, Y.; Paccou, L.; Derollez, P.; Descamps, M. Low and high-frequency investigations on caffeine: Polymorphism, disorder and phase transformation. J. Phys. Chem. B 2011, 115, 5746–5753. [Google Scholar] [CrossRef]
- Guinet, Y.; Sauvajol, J.-L.; Muller, M. Raman sudies of orientational disorder in crystals. The 1.fluoroadamantane plastic phase. Mol. Phys. 1988, 65, 723–738. [Google Scholar] [CrossRef]
- Shuker, R.; Gammon, R. Raman-scattering selection-rule breaking and the density of states in amorphous materials. Phys. Rev. Lett. 1970, 25, 222–225. [Google Scholar] [CrossRef]
- Bothe, H.; Cammenga, H.K. Phase transitions and thermodynamic properties of anhydrous caffeine. J. Therm. Anal. 1979, 16, 267–275. [Google Scholar] [CrossRef]
- Cesaro, A.; Starec, G. Thermodynamic Properties of Caffeine Crystal Forms. J. Phys. Chem. 1980, 84, 1345–1346. [Google Scholar] [CrossRef]
- Derollez, P.; Correia, N.; Danede, F.; Affouard, F.; Lefebvre, J.; Descamps, M. Ab initio structure determination of the high-temperature phase of anhydrous caffeine by X-ray powder diffraction. Acta Crystallogr. 2005, B61, 329–334. [Google Scholar] [CrossRef] [PubMed]
- Lehto, V.P.; Laine, E. A kinetic study of polymorphic transition of anhydrous caffeine with micocalorimeter. Thermocim. Acta 1998, 317, 47–58. [Google Scholar] [CrossRef]
- Smith, E.D.L.; Hammond, R.B.; Jones, M.J.; Roberts, K.J.; Mitchell, J.B.O.; Price, S.L.; Harris, R.K.; Apperley, D.C.; Cherryman, J.C.; Docherty, R. The determination of the crystal structure of anhydrous Theophylline by X-ray powder diffraction with a systematic search algorithm, lattice energy calculations, and 13C and 15N solid-state NMR: A question of polymorphism in a given unit cell. J. Phys. Chem. B 2001, 105, 5818–5826. [Google Scholar] [CrossRef]
- Enright, G.; Terskikh, V.; Brouwer, D.; Rpmeester, J. The Structure of Two Anhydrous Polymorphs of Caffeine from Single-Crystal Diffraction and Ultrahigh-Field Solid-State C NMR Spectroscopy. Cryst. Growth Des. 2007, 7, 1406–1410. [Google Scholar] [CrossRef]
- Khawam, A.; Flanagan, D.R. Solid-state kinetic models: Basics and mathematical fundamentals. J. Phys. Chem. B 2006, 110, 17315–17328. [Google Scholar] [CrossRef]
- Galwey, A.K. Structure and order in thermal dehydrations of crystalline solids. Thermochim. Acta 2000, 355, 181–238. [Google Scholar] [CrossRef]
- Jander, W. Reaktionen im festen Zustande bei hoheren temperaturen. Reaktiongeschwindigkeiten endotherm verlaufender umsetzungen. Z. Anorg. Allg. Chem. 1927, 163, 1–30. [Google Scholar] [CrossRef]
- Bothe, H.; Cammenga, H.K. Composition, properties, stability and thermal dehydrationof crystalline caffeine hydrate. Thermochim. Acta 1980, 40, 29–39. [Google Scholar] [CrossRef]
- Otsuka, M.; Kaneniwa, N. A kinetic study of the crystallization process of noncrystalline indomethacin under isothermal conditions. Chem. Pharm. Bull. 1988, 36, 4026–4032. [Google Scholar] [CrossRef] [PubMed]
- Suzuki, E.; Shimomura, K.; Sekiguchi, K. Thermochemical study of theophylline and its hydrate. Chem. Pharm. Bull. 1989, 37, 493–497. [Google Scholar] [CrossRef]
- Airaksinen, S.; Karjalainen, M.; Rasanen, E.; Rantanen, J.; Yliruusi, J. Comparison of the effects of two drying methods on polymorphism of theophylline. Int. J. Pharm. 2004, 276, 129–141. [Google Scholar] [CrossRef] [PubMed]
- Amado, A.; Nolasco, M.; Ribeiro-Claro, P. Probing Pseudopolymorphic Transitions in Pharmaceutical Solids using Raman Spectroscopy: Hydration and Dehydration of Theophylline. J. Pharm. Sci. 2007, 96, 1366–1379. [Google Scholar] [CrossRef]
- Seton, L.; Khamar, D.; Bradshaw, I.J.; Hutcheon, G.A. Solid tate forms of theophilline: Presenting a new anhydrous polymorph. Cryst. Growth Des. 2010, 10, 3879–3886. [Google Scholar] [CrossRef]
- Griesser, U.J.; Burger, A. The effect of water vapor pressure on desolvation kinetics of caffeine 4/5 hydrate. Int. J. Pharm. 1995, 120, 83–93. [Google Scholar] [CrossRef]
- Phadnis, N.; Surayanarayanan, R. Polymorphism in anhydrous theophylline—Implications on the dissolution rate of theophylline tablets. J. Pharm. Sci. 1997, 86, 1256. [Google Scholar] [CrossRef]
- Matsuo, K.; Matsuoka, M. Solid-state polymorphic transition of theophylline anhydrate and humidity effect. Cryst. Growth Des. 2006, 7, 411–415. [Google Scholar] [CrossRef]
- Nunes, C.; Mahendrasingam, A.; Surayanarayanan, R. Investigation of the multi-step dehydration reaction of theophylline monohydrate using 2-dimensional powder X-ray diffractometry. Pharm. Res. 2006, 23, 2393–2404. [Google Scholar] [CrossRef] [PubMed]
- Paiva, E.M.; Li, Q.; Zaczek, A.J.; Pereira, C.F.; Rodrigues Rohewdder, J.J.; Zeitler, J.A. Understanding the metastability of theophylline FIII by means of low-vibrational spectroscopy. Mol. Pharm. 2021, 18, 3578–3587. [Google Scholar] [CrossRef] [PubMed]
- Hubert, S.; Briancon, S.; Hédoux, A.; Guinet, Y.; Paccou, L.; Fessi, H.; Puel, F. Process induced transformations during tablet manufacturing: Phase transition analysis of caffeine using DSC and low frequency micro-Raman spectroscopy. Int. J. Pharm. 2011, 420, 76–83. [Google Scholar] [CrossRef] [PubMed]
















Disclaimer/Publisher’s Note: The statements, opinions and data contained in all publications are solely those of the individual author(s) and contributor(s) and not of MDPI and/or the editor(s). MDPI and/or the editor(s) disclaim responsibility for any injury to people or property resulting from any ideas, methods, instructions or products referred to in the content. |
© 2023 by the authors. Licensee MDPI, Basel, Switzerland. This article is an open access article distributed under the terms and conditions of the Creative Commons Attribution (CC BY) license (https://creativecommons.org/licenses/by/4.0/).
Share and Cite
Guinet, Y.; Paccou, L.; Hédoux, A. Low-Frequency Raman Spectroscopy: An Exceptional Tool for Exploring Metastability Driven States Induced by Dehydration. Pharmaceutics 2023, 15, 1955. https://doi.org/10.3390/pharmaceutics15071955
Guinet Y, Paccou L, Hédoux A. Low-Frequency Raman Spectroscopy: An Exceptional Tool for Exploring Metastability Driven States Induced by Dehydration. Pharmaceutics. 2023; 15(7):1955. https://doi.org/10.3390/pharmaceutics15071955
Chicago/Turabian StyleGuinet, Yannick, Laurent Paccou, and Alain Hédoux. 2023. "Low-Frequency Raman Spectroscopy: An Exceptional Tool for Exploring Metastability Driven States Induced by Dehydration" Pharmaceutics 15, no. 7: 1955. https://doi.org/10.3390/pharmaceutics15071955
APA StyleGuinet, Y., Paccou, L., & Hédoux, A. (2023). Low-Frequency Raman Spectroscopy: An Exceptional Tool for Exploring Metastability Driven States Induced by Dehydration. Pharmaceutics, 15(7), 1955. https://doi.org/10.3390/pharmaceutics15071955

