Montelukast and Telmisartan as Inhibitors of SARS-CoV-2 Omicron Variant
Abstract
1. Introduction
2. Materials and Methods
2.1. Protein Structure
2.2. Molecular Docking
2.3. Molecular Dynamics (MD) Simulations
2.4. Principal Component Analysis (PCA)
2.5. Binding Energy Calculations
2.6. AutoQSAR Modeling
2.7. Chemicals
2.8. Vero Cell Culture
2.9. Cell Viability Assay
2.10. Antiviral Plaque Assay
2.11. Antiviral Testing Using RT-qPCR
2.12. Enzyme-Linked Immunosorbent Assay (ELISA)
2.13. Biolayer Interferometry (BLI)
3. Results
3.1. Molecular Docking
3.2. MD Simulations
3.3. PCA
3.4. Binding Energy Calculations
3.5. AutoQSAR Model
3.6. In Vitro Anti-SARS-CoV-2 Activity
3.7. ELISA
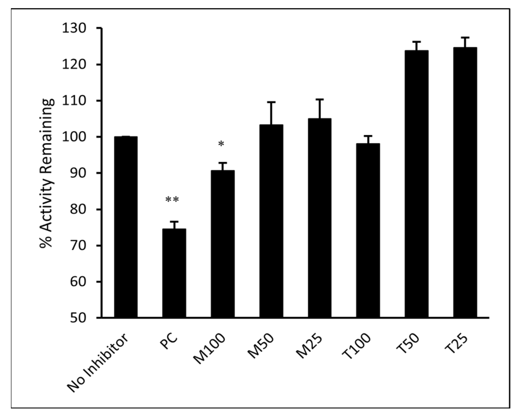
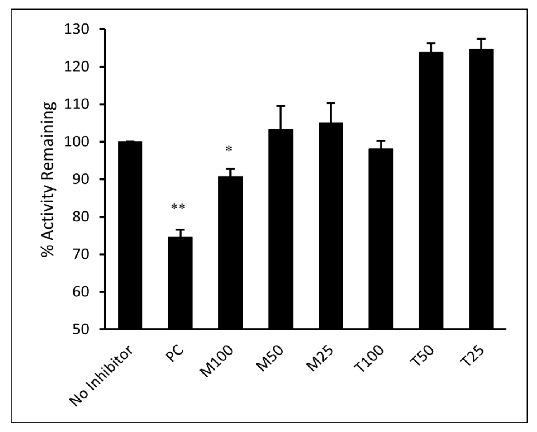
3.8. BLI
4. Discussion
5. Conclusions
Supplementary Materials
Author Contributions
Funding
Institutional Review Board Statement
Informed Consent Statement
Data Availability Statement
Acknowledgments
Conflicts of Interest
References
- Docea, A.O.; Tsatsakis, A.; Albulescu, D.; Cristea, O.; Zlatian, O.; Vinceti, M.; Moschos, S.A.; Tsoukalas, D.; Goumenou, M.; Drakoulis, N. A new threat from an old enemy: Re-emergence of coronavirus. Int. J. Mol. Med. 2020, 45, 1631–1643. [Google Scholar] [CrossRef]
- Weiss, S.R.; Navas-Martin, S. Coronavirus pathogenesis and the emerging pathogen severe acute respiratory syndrome coronavirus. Microbiol. Mol. Biol. Rev. 2005, 69, 635–664. [Google Scholar] [PubMed]
- Saberi, A.; Gulyaeva, A.A.; Brubacher, J.L.; Newmark, P.A.; Gorbalenya, A.E. A planarian nidovirus expands the limits of RNA genome size. PLoS Pathog. 2018, 14, e1007314. [Google Scholar] [CrossRef] [PubMed]
- Su, S.; Wong, G.; Shi, W.; Liu, J.; Lai, A.C.; Zhou, J.; Liu, W.; Bi, Y.; Gao, G.F. Epidemiology, genetic recombination, and pathogenesis of coronaviruses. Trends Microbiol. 2016, 24, 490–502. [Google Scholar] [CrossRef]
- Zhu, N.; Zhang, D.; Wang, W.; Li, X.; Yang, B.; Song, J.; Zhao, X.; Huang, B.; Shi, W.; Lu, R. A Novel Coronavirus from Patients with Pneumonia in China, 2019. N. Eng. J. Med. 2020, 382, 727–733. [Google Scholar] [CrossRef]
- WHO. WHO|Novel Coronavirus–China; WHO: Geneva, Switzerland, 2020. [Google Scholar]
- Dong, E.; Du, H.; Gardner, L. An interactive web-based dashboard to track COVID-19 in real time. Lancet Infect. Dis. 2020, 20, 533–534. [Google Scholar] [CrossRef] [PubMed]
- (CDC), Centers for Disaese Control and Prevention. SARS-CoV-2 Variant Classifications and Definitions. Available online: https://www.cdc.gov/coronavirus/2019-ncov/variants/variant-classifications.html (accessed on 5 April 2023).
- Hoffmann, M.; Kleine-Weber, H.; Schroeder, S.; Krüger, N.; Herrler, T.; Erichsen, S.; Schiergens, T.S.; Herrler, G.; Wu, N.-H.; Nitsche, A. SARS-CoV-2 cell entry depends on ACE2 and TMPRSS2 and is blocked by a clinically proven protease inhibitor. Cell 2020, 181, 271–280. [Google Scholar] [CrossRef]
- Letko, M.; Marzi, A.; Munster, V. Functional assessment of cell entry and receptor usage for SARS-CoV-2 and other lineage B betacoronaviruses. Nat. Microbiol. 2020, 5, 562–569. [Google Scholar] [CrossRef]
- Zhou, P.; Yang, X.-L.; Wang, X.-G.; Hu, B.; Zhang, L.; Zhang, W.; Si, H.-R.; Zhu, Y.; Li, B.; Huang, C.-L. A pneumonia outbreak associated with a new coronavirus of probable bat origin. Nature 2020, 579, 270–273. [Google Scholar] [CrossRef]
- Wrapp, D.; Wang, N.; Corbett, K.S.; Goldsmith, J.A.; Hsieh, C.-L.; Abiona, O.; Graham, B.S.; McLellan, J.S. Cryo-EM structure of the 2019-nCoV spike in the prefusion conformation. Science 2020, 367, 1260–1263. [Google Scholar] [CrossRef]
- Lan, J.; Ge, J.; Yu, J.; Shan, S.; Zhou, H.; Fan, S.; Zhang, Q.; Shi, X.; Wang, Q.; Zhang, L. Structure of the SARS-CoV-2 spike receptor-binding domain bound to the ACE2 receptor. Nature 2020, 581, 215–220. [Google Scholar] [CrossRef] [PubMed]
- Geng, Q.; Shi, K.; Ye, G.; Zhang, W.; Aihara, H.; Li, F. Structural Basis for Human Receptor Recognition by SARS-CoV-2 Omicron Variant BA. 1. J. Virol. 2022, 96, e00249-22. [Google Scholar] [CrossRef] [PubMed]
- Cohen, J. ‘Incredible Milestone for Science’. Pfizer and BioNTech Update Their Promising COVID-19 Vaccine Result; American Association for the Advancement of Science: Washington, DC, USA, 2020. [Google Scholar] [CrossRef]
- The New York Times. Coronavirus Vaccine Tracker. Available online: https://www.nytimes.com/interactive/2020/science/coronavirus-vaccine-tracker (accessed on 31 August 2022).
- (FDA) U.S. Food and Drug Administration. FDA Approves First Treatment for COVID-19. Available online: https://www.fda.gov/news-events/press-announcements/fda-approves-first-treatment-covid-19 (accessed on 22 October 2020).
- Cohen, J.; Kupferschmidt, K. ‘A Very, Very Bad Look’ for Remdesivir; American Association for the Advancement of Science: Washington, DC, USA, 2020. [Google Scholar]
- Durdagi, S.; Avsar, T.; Orhan, M.D.; Serhatli, M.; Balcioglu, B.K.; Ozturk, H.U.; Kayabolen, A.; Cetin, Y.; Aydinlik, S.; Bagci-Onder, T. The neutralization effect of montelukast on SARS-CoV-2 is shown by multiscale in silico simulations and combined in vitro studies. Mol. Ther. 2022, 30, 963–974. [Google Scholar] [CrossRef]
- Luedemann, M.; Stadler, D.; Cheng, C.-C.; Protzer, U.; Knolle, P.A.; Donakonda, S. Montelukast is a dual-purpose inhibitor of SARS-CoV-2 infection and virus-induced IL-6 expression identified by structure-based drug repurposing. Comput. Struct. Biotechnol. J. 2022, 20, 799–811. [Google Scholar] [CrossRef]
- Reus, P.; Schneider, A.-K.; Ulshöfer, T.; Henke, M.; Bojkova, D.; Cinatl, J.; Ciesek, S.; Geisslinger, G.; Laux, V.; Grättinger, M. Characterization of ACE Inhibitors and AT1R Antagonists with Regard to Their Effect on ACE2 Expression and Infection with SARS-CoV-2 Using a Caco-2 Cell Model. Life 2021, 11, 810. [Google Scholar] [CrossRef]
- Shang, J.; Ye, G.; Shi, K.; Wan, Y.; Luo, C.; Aihara, H.; Geng, Q.; Auerbach, A.; Li, F. Structural basis of receptor recognition by SARS-CoV-2. Nature 2020, 581, 221–224. [Google Scholar] [CrossRef]
- Berman, H.M.; Westbrook, J.; Feng, Z.; Gilliland, G.; Bhat, T.N.; Weissig, H.; Shindyalov, I.N.; Bourne, P.E. The Protein Data Bank. Nucleic Acids Res. 2000, 28, 235–242. [Google Scholar] [CrossRef]
- Wizard, P.P. Epik; Version 2.8; Schrödinger, LLC: New York, NY, USA, 2014. [Google Scholar]
- Mulgaonkar, N.; Wang, H.; Mallawarachchi, S.; Růžek, D.; Martina, B.; Fernando, S. In silico and in vitro evaluation of imatinib as an inhibitor for SARS-CoV-2. J. Biomol. Struct. Dyn. 2022, 41, 3052–3061. [Google Scholar] [CrossRef]
- Release, S. 4: Glide; Schrödinger, LLC: New York, NY, USA, 2018. [Google Scholar]
- Guimarães, C.R.; Cardozo, M. MM-GB/SA rescoring of docking poses in structure-based lead optimization. J. Chem. Inf. Model. 2008, 48, 958–970. [Google Scholar] [CrossRef] [PubMed]
- Release, S. 4: Desmond Molecular Dynamics System; DE Shaw Research: New York, NY, USA, 2017. [Google Scholar]
- Roos, K.; Wu, C.J.; Damm, W.; Reboul, M.; Stevenson, J.M.; Lu, C.; Dahlgren, M.K.; Mondal, S.; Chen, W.; Wang, L.L.; et al. OPLS3e: Extending Force Field Coverage for Drug-Like Small Molecules. J. Chem. Theory Comput. 2019, 15, 1863–1874. [Google Scholar] [CrossRef]
- David, C.C.; Jacobs, D.J. Principal component analysis: A method for determining the essential dynamics of proteins. In Protein Dynamics; Springer: Berlin/Heidelberg, Germany, 2014; pp. 193–226. [Google Scholar]
- Humphrey, W.; Dalke, A.; Schulten, K. VMD: Visual molecular dynamics. J. Mol. Graph. 1996, 14, 33–38. [Google Scholar] [CrossRef] [PubMed]
- McGibbon, R.T.; Beauchamp, K.A.; Harrigan, M.P.; Klein, C.; Swails, J.M.; Hernández, C.X.; Schwantes, C.R.; Wang, L.-P.; Lane, T.J.; Pande, V.S. MDTraj: A modern open library for the analysis of molecular dynamics trajectories. Biophys. J. 2015, 109, 1528–1532. [Google Scholar] [CrossRef]
- Hunter, J.D. Matplotlib: A 2D graphics environment. Comput. Sci. Eng. 2007, 9, 90–95. [Google Scholar] [CrossRef]
- van der Walt, S.; Colbert, S.C.; Varoquaux, G. The NumPy Array: A Structure for Efficient Numerical Computation. Comput. Sci. Eng. 2011, 13, 22–30. [Google Scholar] [CrossRef]
- Srinivasan, J.; Cheatham, T.E.; Cieplak, P.; Kollman, P.A.; Case, D.A. Continuum solvent studies of the stability of DNA, RNA, and phosphoramidate—DNA helices. J. Am. Chem. Soc. 1998, 120, 9401–9409. [Google Scholar] [CrossRef]
- Li, J.; Abel, R.; Zhu, K.; Cao, Y.; Zhao, S.; Friesner, R.A. The VSGB 2.0 model: A next generation energy model for high resolution protein structure modeling. Proteins Struct. Funct. Bioinform. 2011, 79, 2794–2812. [Google Scholar]
- Hou, T.; Wang, J.; Li, Y.; Wang, W. Assessing the performance of the MM/PBSA and MM/GBSA methods. 1. The accuracy of binding free energy calculations based on molecular dynamics simulations. J. Chem. Inf. Model. 2011, 51, 69–82. [Google Scholar] [CrossRef] [PubMed]
- Wang, E.; Sun, H.; Wang, J.; Wang, Z.; Liu, H.; Zhang, J.Z.; Hou, T. End-point binding free energy calculation with MM/PBSA and MM/GBSA: Strategies and applications in drug design. Chem. Rev. 2019, 119, 9478–9508. [Google Scholar] [CrossRef]
- AutoQSAR. Schrödinger Release 2023-1; Schrödinger, LLC: New York, NY, USA, 2021. [Google Scholar]
- Chaki, S.P.; Kahl-McDonagh, M.M.; Neuman, B.W.; Zuelke, K.A. Receptor-Binding-Motif-Targeted Sanger Sequencing: A Quick and Cost-Effective Strategy for Molecular Surveillance of SARS-CoV-2 Variants. Microbiol. Spectr. 2022, 10, e00665-22. [Google Scholar] [CrossRef]
- Li, F. Structural analysis of major species barriers between humans and palm civets for severe acute respiratory syndrome coronavirus infections. J. Virol. 2008, 82, 6984–6991. [Google Scholar] [CrossRef]
- Wu, K.; Peng, G.; Wilken, M.; Geraghty, R.J.; Li, F. Mechanisms of host receptor adaptation by severe acute respiratory syndrome coronavirus. J. Biol. Chem. 2012, 287, 8904–8911. [Google Scholar] [CrossRef]
- Sitzmann, M.; Weidlich, I.E.; Filippov, I.V.; Liao, C.; Peach, M.L.; Ihlenfeldt, W.-D.; Karki, R.G.; Borodina, Y.V.; Cachau, R.E.; Nicklaus, M.C. PDB ligand conformational energies calculated quantum-mechanically. J. Chem. Inf. Model. 2012, 52, 739–756. [Google Scholar] [CrossRef] [PubMed]
- Dixon, S.L.; Duan, J.; Smith, E.; Von Bargen, C.D.; Sherman, W.; Repasky, M.P. AutoQSAR: An automated machine learning tool for best-practice quantitative structure–activity relationship modeling. Future Med. Chem. 2016, 8, 1825–1839. [Google Scholar] [CrossRef]
- De, S.; Mamidi, P.; Ghosh, S.; Keshry, S.S.; Mahish, C.; Pani, S.S.; Laha, E.; Ray, A.; Datey, A.; Chatterjee, S. Telmisartan restricts Chikungunya virus infection in vitro and in vivo through the AT1/PPAR-γ/MAPKs pathways. Antimicrob. Agents Chemother. 2022, 66, e01489-21. [Google Scholar] [CrossRef]
- Petersen, E.; Koopmans, M.; Go, U.; Hamer, D.H.; Petrosillo, N.; Castelli, F.; Storgaard, M.; Al Khalili, S.; Simonsen, L. Comparing SARS-CoV-2 with SARS-CoV and influenza pandemics. Lancet Infect. Dis. 2020, 20, e238–e244. [Google Scholar] [CrossRef]
- Pushpakom, S.; Iorio, F.; Eyers, P.A.; Escott, K.J.; Hopper, S.; Wells, A.; Doig, A.; Guilliams, T.; Latimer, J.; McNamee, C. Drug repurposing: Progress, challenges and recommendations. Nat. Rev. Drug Discov. 2019, 18, 41–58. [Google Scholar] [CrossRef] [PubMed]
- Wishart, D.S.; Knox, C.; Guo, A.C.; Cheng, D.; Shrivastava, S.; Tzur, D.; Gautam, B.; Hassanali, M. DrugBank: A knowledgebase for drugs, drug actions and drug targets. Nucleic Acids Res. 2008, 36 (Suppl. 1), D901–D906. [Google Scholar] [CrossRef] [PubMed]
- Bocci, G.; Bradfute, S.B.; Ye, C.; Garcia, M.J.; Parvathareddy, J.; Reichard, W.; Surendranathan, S.; Bansal, S.; Bologa, C.G.; Perkins, D.J. Virtual and In Vitro Antiviral Screening Revive Therapeutic Drugs for COVID-19. ACS Pharmacol. Translat. Sci. 2020, 3, 1278–1292. [Google Scholar] [CrossRef]
- Cagno, V.; Magliocco, G.; Tapparel, C.; Daali, Y. The tyrosine kinase inhibitor nilotinib inhibits SARS-CoV-2 In Vitro. Basic Clin. Pharmacol. Toxicol. 2020, 128, 621–624. [Google Scholar]
- Musarrat, F.; Chouljenko, V.; Dahal, A.; Nabi, R.; Chouljenko, T.; Jois, S.D.; Kousoulas, K.G. The anti-HIV Drug Nelfinavir Mesylate (Viracept) is a Potent Inhibitor of Cell Fusion Caused by the SARS-CoV-2 Spike (S) Glycoprotein Warranting further Evaluation as an Antiviral against COVID-19 infections. J. Med. Virol. 2020, 92, 2087–2095. [Google Scholar] [CrossRef]
- Kumar, S.; Singh, B.; Kumari, P.; Kumar, P.V.; Agnihotri, G.; Khan, S.; Beuria, T.K.; Syed, G.H.; Dixit, A. Identification of multipotent drugs for COVID-19 therapeutics with the evaluation of their SARS-CoV2 inhibitory activity. Comput. Struct. Biotechnol. J. 2021, 19, 1998–2017. [Google Scholar] [CrossRef] [PubMed]
- Banerjee, S.; Yadav, S.; Banerjee, S.; Fakayode, S.O.; Parvathareddy, J.; Reichard, W.; Surendranathan, S.; Mahmud, F.; Whatcott, R.; Thammathong, J. Drug Repurposing to Identify Nilotinib as a Potential SARS-CoV-2 Main Protease Inhibitor: Insights from a Computational and In Vitro Study. J. Chem. Inf. Model. 2021, 61, 5469–5483. [Google Scholar] [CrossRef] [PubMed]
- Ge, Y.; Tian, T.; Huang, S.; Wan, F.; Li, J.; Li, S.; Wang, X.; Yang, H.; Hong, L.; Wu, N. An integrative drug repositioning framework discovered a potential therapeutic agent targeting COVID-19. Signal Transduct. Target. Ther. 2021, 6, 1–16. [Google Scholar] [CrossRef] [PubMed]
- Malayala, S.V.; Raza, A. A case of COVID-19-induced vestibular neuritis. Cureus 2020, 12, e8918. [Google Scholar] [CrossRef]
- Liu, J.; Zhang, Y.; Han, L.; Guo, S.; Wu, S.; Doud, E.H.; Wang, C.; Chen, H.; Rubart-von der Lohe, M.; Wan, J. Genome-wide analyses reveal the detrimental impacts of SARS-CoV-2 viral gene Orf9c on human pluripotent stem cell-derived cardiomyocytes. Stem Cell Rep. 2022, 17, 522–537. [Google Scholar] [CrossRef]
- Khan, A.; Misdary, C.; Yegya-Raman, N.; Kim, S.; Narayanan, N.; Siddiqui, S.; Salgame, P.; Radbel, J.; De Groote, F.; Michel, C. Montelukast in hospitalized patients diagnosed with COVID-19. J. Asthma 2020, 59, 780–786. [Google Scholar] [CrossRef]
- May, B.C.; Gallivan, K.H. Levocetirizine and montelukast in the COVID-19 treatment paradigm. Int. Immunopharmacol. 2022, 103, 108412. [Google Scholar] [CrossRef]
- Sacco, M.D.; Hu, Y.; Gongora, M.V.; Meilleur, F.; Kemp, M.T.; Zhang, X.; Wang, J.; Chen, Y. The P132H mutation in the main protease of Omicron SARS-CoV-2 decreases thermal stability without compromising catalysis or small-molecule drug inhibition. Cell Res. 2022, 32, 498–500. [Google Scholar] [CrossRef]
- Duarte, M.; Pelorosso, F.; Nicolosi, L.N.; Salgado, M.V.; Vetulli, H.; Aquieri, A.; Azzato, F.; Castro, M.; Coyle, J.; Davolos, I. Telmisartan for treatment of Covid-19 patients: An open multicenter randomized clinical trial. EClinicalMedicine 2021, 37, 100962. [Google Scholar] [CrossRef]
- Alyammahi, S.K.; Abdin, S.M.; Alhamad, D.W.; Elgendy, S.M.; Altell, A.T.; Omar, H.A. The dynamic association between COVID-19 and chronic disorders: An updated insight into prevalence, mechanisms and therapeutic modalities. Infect. Genet. Evol. 2021, 87, 104647. [Google Scholar] [CrossRef]
- Kow, C.S.; Hasan, S.S. The Potential Benefit of Telmisartan to Protect Overweight Patients with COPD from the Acquisition of COVID-19. Obesity 2020, 28, 2035. [Google Scholar] [CrossRef] [PubMed]
- Rothlin, R.P.; Vetulli, H.M.; Duarte, M.; Pelorosso, F.G. Telmisartan as tentative angiotensin receptor blocker therapeutic for COVID-19. Drug Dev. Res. 2020, 81, 768–770. [Google Scholar] [CrossRef] [PubMed]
- Wu, A.; Chik, S.; Chan, A.; Li, Z.; Tsang, K.; Li, W. Anti-inflammatory effects of high-dose montelukast in an animal model of acute asthma. Clin. Exp. Allergy 2003, 33, 359–366. [Google Scholar] [CrossRef] [PubMed]
- Chen, Y.; Li, Y.; Wang, X.; Zou, P. Montelukast, an Anti-asthmatic Drug, Inhibits Zika Virus Infection by Disrupting Viral Integrity. Front. Microbiol. 2020, 10, 3079. [Google Scholar] [CrossRef]
- Han, J.; Jia, Y.; Takeda, K.; Shiraishi, Y.; Okamoto, M.; Dakhama, A.; Gelfand, E.W. Montelukast during primary infection prevents airway hyperresponsiveness and inflammation after reinfection with respiratory syncytial virus. Am. J. Respir. Crit. Care Med. 2010, 182, 455–463. [Google Scholar] [CrossRef]
- Kloepfer, K.M.; DeMore, J.P.; Vrtis, R.F.; Swenson, C.A.; Gaworski, K.L.; Bork, J.A.; Evans, M.D.; Gern, J.E. Effects of montelukast on patients with asthma after experimental inoculation with human rhinovirus 16. Ann. Allergy Asthma Immunol. 2011, 106, 252–257. [Google Scholar] [CrossRef]
- Landeras-Bueno, S.; Fernández, Y.; Falcón, A.; Oliveros, J.C.; Ortín, J. Chemical genomics identifies the PERK-mediated unfolded protein stress response as a cellular target for influenza virus inhibition. MBio 2016, 7, 10–1128. [Google Scholar] [CrossRef]
- Ruiz, I.; Nevers, Q.; Hernández, E.; Ahnou, N.; Brillet, R.; Softic, L.; Donati, F.; Berry, F.; Hamadat, S.; Fourati, S. MK-571, a cysteinyl leukotriene receptor 1 antagonist, inhibits hepatitis C virus replication. Antimicrob. Agents Chemother. 2020, 64, 10–1128. [Google Scholar] [CrossRef]
- Sharpe, M.; Jarvis, B.; Goa, K.L. Telmisartan. Drugs 2001, 61, 1501–1529. [Google Scholar] [CrossRef]
- Reiss, T.F.; Altman, L.C.; Chervinsky, P.; Bewtra, A.; Stricker, W.E.; Noonana, G.P.; Kundu, S.; Zhang, J. Effects of montelukast (MK-0476), a new potent cysteinyl leukotriene (LTD 4) receptor antagonist, in patients with chronic asthma. J. Allergy Clin. Immunol. 1996, 98, 528–534. [Google Scholar] [CrossRef]
- (FDA) U.S. Food and Drug Administration. FDA Requires Boxed Warning about Serious Mental Health Side Effects for Asthma and Allergy Drug Montelukast (Singulair); Advises Restricting Use for Allergic Rhinitis. Available online: https://www.fda.gov/drugs/drug-safety-and-availability/fda-requires-boxed-warning-about-serious-mental-health-side-effects-asthma-and-allergy-drug (accessed on 4 March 2020).














| Sr. No | Name | XP GScore (kcal/mol) | H-Bond | π-π Stacking | π-Cation | Polar | Hydrophobic | Negative Charged | Positive Charged | Glycine | Halogen Bond |
|---|---|---|---|---|---|---|---|---|---|---|---|
| 1 | Nilotinib | −7.159 | - | A: His34 | A: Arg393; E: Lys403 | A: His34, Thr324 | A: Phe356, Ala387; E: Tyr453, Tyr495, Val503, Tyr505 | A: Glu37, Asp38 | A: Lys353, Arg393; E: Lys403 | A: Gly354; E: Gly496, Gly502, Gly504 | - |
| 2 | Viroptic | −6.919 | A: Arg393; E: Gly496 | - | - | A: Asn33, His34 | E: Tyr453, Tyr495, Tyr505 | - | A: Lys353, Arg393; E: Lys403 | E: Gly496 | - |
| 3 | Darifenacin | −6.501 | - | A: His34 | A: His34; E: Lys403 | A: Asn33, His34; E: Ser494 | A: Ala386, Ala387, Pro389; E: Val417, Tyr495, Tyr505 | A: Glu37, Asp38; E: Asp405 | A: Lys353, Arg393; E: Lys403 | E: Gly496 | - |
| 4 | Olaparib | −6.41 | E: Gly496 | A: His34 | E: Lys403 | A: His34 | A: Ala386, Ala387; E: Tyr453, Tyr495, Phe497, Tyr505 | A: Glu37 | A: Lys353, Arg393; E: Lys403 | A: Gly354; E: Gly496 | - |
| 5 | Nebivolol | −6.368 | A: Asn33, Arg393 | A: His34 | - | A: Asn33, His34; E: Gln409 | E: Val417, Ile418, Tyr453, Tyr495, Tyr505 | A: Glu37 | A: Arg393 | E: Gly496 | - |
| 6 | Meclizine | −6.335 | - | A: His34 | A: His34 | A: Asn33, His34, Gln388 | A: Ala387, Pro389; E: Val417, Ile418, Tyr453, Tyr495, Tyr505 | A: Asp30, Glu37 | A: Arg393; E: Lys403 | E: Gly496 | E: Gly496 |
| 7 | Montelukast | −6.144 | E: Arg408, Tyr505 | - | A: Arg393 | A: Asn33, His34; E: Gln409, Gln493 | A: Ala386, Ala387; E: Val417, Ile418, Tyr453, Tyr505 | A: Glu37, Asp38; E: Asp406 | A: Lys353, Arg393; E: Lys403, Arg408 | E: Gly496 | E: Gln493 |
| 8 | Nelfinavir | −6.063 | A: Ala387 | A: His34 | - | A: Asn33, His34; E: Gln409 | A: Ala387, Pro389; E: Val417, Ile418, Tyr453, Tyr495, Tyr505 | A: Asp30, Glu37 | A: Arg393; E: Lys403 | E: Gly496 | - |
| 9 | Telmisartan | −5.961 | E: Tyr505 | E: Tyr505 | E: Lys403 | A: His34; E: Gln409, Gln493 | A: Phe356, Ala386, Ala387; E: Val417, Tyr453, Tyr495, Tyr505 | A: Glu37, Asp350; E: Asp405, Asp406 | A: Arg393; E: Lys403 | A: Gly352, Gly354; E: Gly496 | - |
| 10 | Lifitegrast | −5.701 | A: Ala386, Arg393 | - | - | A: Asn33, His34, Gln388 | A: Ala386, Ala387; E: Tyr495, Tyr505 | A: Glu37, Asp38 | A: Lys353, Arg393; E: Lys403 | E: Gly496 | - |
| Name | ΔGCoulomb | ΔGCovalent | ΔGLipophilic | ΔGvdW | ΔGGB solv | ΔGBind | ΔEStrain |
|---|---|---|---|---|---|---|---|
| Nilotinib | −12.33 ± 4.06 | 4.33 ± 2.57 | −17.07 ± 1.75 | −54.51 ± 5.00 | 33.82 ± 3.42 | −50.57 ± 6.12 | 3.77 ± 1.80 |
| Viroptic | −18.27 ± 3.12 | 2.66 ± 1.12 | −6.52 ± 0.45 | −32.27 ± 1.29 | 21.72 ± 2.11 | −34.51 ± 3.24 | 2.63 ± 0.97 |
| Darifenacin | −20.25 ± 9.51 | 1.85 ± 0.78 | −16.28 ± 5.43 | −44.29 ± 5.44 | 29.64 ± 10.96 | −52.05 ± 9.26 | 5.71 ± 5.66 |
| Olaparib | −6.36 ± 3.80 | 3.28 ± 2.02 | −15.91 ± 1.92 | −49.06 ± 2.97 | 27.87 ± 2.99 | −43.15 ± 5.12 | 3.94 ± 1.46 |
| Nebivolol | −22.29 ± 7.77 | 2.78 ± 0.99 | −18.50 ± 1.41 | −44.49 ± 2.03 | 36.69 ± 7.60 | −48.48 ± 6.18 | 2.86 ± 1.37 |
| Meclizine | −29.68 ± 7.63 | 2.09 ± 0.96 | −22.14 ± 1.73 | −43.05 ± 2.82 | 47.27 ± 5.78 | −48.57 ± 4.47 | 2.51 ± 0.84 |
| Montelukast | 20.92 ± 13.07 | 2.92 ± 0.73 | −21.38 ± 1.22 | −63.13 ± 2.17 | 6.61 ± 12.47 | −61.40 ± 3.85 | 8.51 ± 2.13 |
| Nelfinavir | −29.11 ± 8.49 | 1.86 ± 3.19 | −17.28 ± 5.00 | −49.58 ± 4.65 | 44.57 ± 6.65 | −53.16 ± 12.01 | 6.78 ± 3.77 |
| Telmisartan | 41.34 ± 11.97 | 4.66 ± 1.88 | −20.18 ± 1.03 | −65.95 ± 2.44 | −20.26 ± 9.41 | −67.69 ± 5.51 | 3.26 ± 0.70 |
| Lifitegrast | −32.99 ± 11.30 | 1.89 ± 0.99 | −16.16 ± 2.38 | −39.30 ± 3.24 | 38.70 ± 9.67 | −50.18 ± 7.75 | 3.22 ± 1.48 |
| Name | Binding Affinity (kcal/mol) | Predicted Affinity (kcal/mol) | RMSE (kcal/mol) |
|---|---|---|---|
| Nilotinib | −7.159 | −4.876 | 2.283 |
| Viroptic | −6.919 | −3.892 | 3.027 |
| Darifenacin | −6.501 | −3.445 | 3.056 |
| Olaparib | −6.41 | −4.087 | 2.323 |
| Nebivolol | −6.368 | −5.435 | 0.933 |
| Meclizine | −6.335 | −3.861 | 2.474 |
| Montelukast | −6.144 | −4.266 | 1.878 |
| Nelfinavir | −6.063 | −4.759 | 1.304 |
| Telmisartan | −5.961 | −4.599 | 1.362 |
| Lifitegrast | −5.701 | −5.363 | 0.338 |
Disclaimer/Publisher’s Note: The statements, opinions and data contained in all publications are solely those of the individual author(s) and contributor(s) and not of MDPI and/or the editor(s). MDPI and/or the editor(s) disclaim responsibility for any injury to people or property resulting from any ideas, methods, instructions or products referred to in the content. |
© 2023 by the authors. Licensee MDPI, Basel, Switzerland. This article is an open access article distributed under the terms and conditions of the Creative Commons Attribution (CC BY) license (https://creativecommons.org/licenses/by/4.0/).
Share and Cite
Mulgaonkar, N.; Wang, H.; Zhang, J.; Roundy, C.M.; Tang, W.; Chaki, S.P.; Pauvolid-Corrêa, A.; Hamer, G.L.; Fernando, S. Montelukast and Telmisartan as Inhibitors of SARS-CoV-2 Omicron Variant. Pharmaceutics 2023, 15, 1891. https://doi.org/10.3390/pharmaceutics15071891
Mulgaonkar N, Wang H, Zhang J, Roundy CM, Tang W, Chaki SP, Pauvolid-Corrêa A, Hamer GL, Fernando S. Montelukast and Telmisartan as Inhibitors of SARS-CoV-2 Omicron Variant. Pharmaceutics. 2023; 15(7):1891. https://doi.org/10.3390/pharmaceutics15071891
Chicago/Turabian StyleMulgaonkar, Nirmitee, Haoqi Wang, Junrui Zhang, Christopher M. Roundy, Wendy Tang, Sankar Prasad Chaki, Alex Pauvolid-Corrêa, Gabriel L. Hamer, and Sandun Fernando. 2023. "Montelukast and Telmisartan as Inhibitors of SARS-CoV-2 Omicron Variant" Pharmaceutics 15, no. 7: 1891. https://doi.org/10.3390/pharmaceutics15071891
APA StyleMulgaonkar, N., Wang, H., Zhang, J., Roundy, C. M., Tang, W., Chaki, S. P., Pauvolid-Corrêa, A., Hamer, G. L., & Fernando, S. (2023). Montelukast and Telmisartan as Inhibitors of SARS-CoV-2 Omicron Variant. Pharmaceutics, 15(7), 1891. https://doi.org/10.3390/pharmaceutics15071891

