Combining Polymer and Cyclodextrin Strategy for Drug Release of Sulfadiazine from Electrospun Fibers
Abstract
1. Introduction
2. Materials and Methods
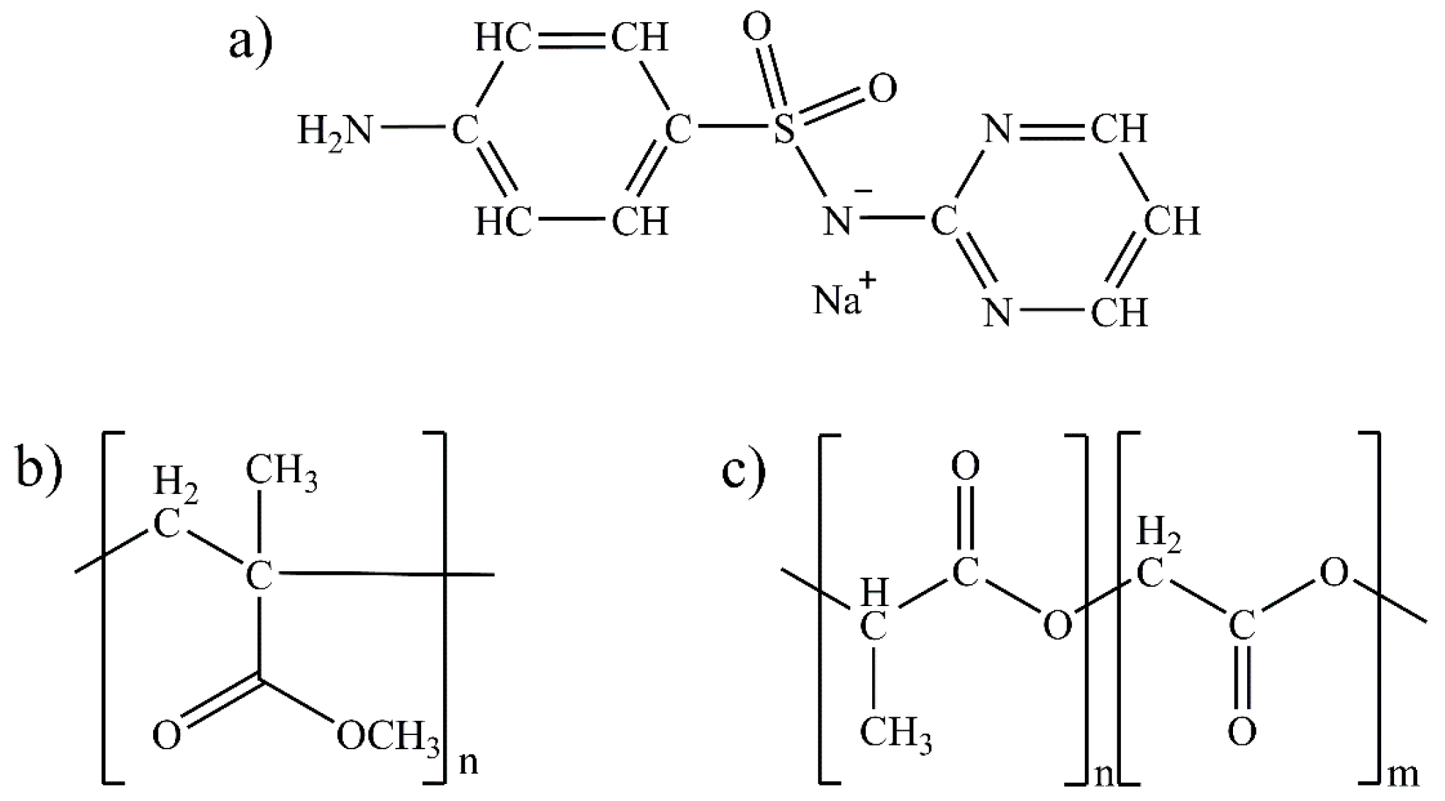
2.1. Reagents
2.2. Fabrication of Fibers by Electrospinning
2.3. Contact Angle Goniometry
2.4. Scanning Electron Microscopy
2.5. Water Vapor Permeability
2.6. Drug Content and In Vitro Drug Release
2.7. Cell Cytotoxicity
2.8. In Vitro Wound Healing
2.9. Primary Screening for Material Bioactivity
2.10. Evaluation of Antibacterial Activity in Biofilms
2.11. Statistical Analysis
3. Results and Discussion
3.1. Morphological Analyses
3.2. Surface Properties
3.3. Surface Properties
3.4. Cell Cytotoxicity
3.5. In Vitro Wound Healing
3.6. Primary Screening for Material Bioactivity
3.7. Evaluation of Antibacterial Activity in Biofilms
4. Conclusions
Supplementary Materials
Author Contributions
Funding
Institutional Review Board Statement
Informed Consent Statement
Data Availability Statement
Acknowledgments
Conflicts of Interest
References
- Yeh, C.J.; Chen, C.C.; Leu, Y.L.; Lin, M.W.; Chiu, M.M.; Wang, S.H. The Effects of Artocarpin on Wound Healing: In Vitro and In Vivo Studies. Sci. Rep. 2017, 7, 15599. [Google Scholar] [CrossRef] [PubMed]
- Boateng, J.S.; Matthews, K.H.; Stevens, H.N.E.; Eccleston, G.M. Wound Healing Dressings and Drug Delivery Systems: A Review. J. Pharm. Sci. 2008, 97, 2892–2923. [Google Scholar] [CrossRef] [PubMed]
- Han, G.; Ceilley, R. Chronic Wound Healing: A Review of Current Management and Treatments. Adv. Ther. 2017, 34, 599–610. [Google Scholar] [CrossRef]
- Shpichka, A.; Butnaru, D.; Bezrukov, E.A.; Sukhanov, R.B.; Atala, A.; Burdukovskii, V.; Zhang, Y.; Timashev, P. Skin Tissue Regeneration for Burn Injury. Stem Cell Res. Ther. 2019, 10, 94. [Google Scholar] [CrossRef]
- Goutos, I.; Nicholas, R.S.; Pandya, A.A.; Ghosh, S.J. Diabetes Mellitus and Burns. Part I-Basic Science and Implications for Management. Int. J. Burns Trauma. 2015, 5, 1–12. [Google Scholar]
- Rahmati, M.; Blaker, J.J.; Lyngstadaas, S.P.; Mano, J.F.; Haugen, H.J. Designing Multigradient Biomaterials for Skin Regeneration. Mater. Today Adv. 2020, 5, 100051. [Google Scholar] [CrossRef]
- Farokhi, M.; Mottaghitalab, F.; Fatahi, Y.; Khademhosseini, A.; Kaplan, D.L. Overview of Silk Fibroin Use in Wound Dressings. Trends Biotechnol. 2018, 36, 907–922. [Google Scholar] [CrossRef] [PubMed]
- Sköld, O. Sulfonamide Resistance: Mechanisms and Trends. Drug Resist. Updates 2000, 3, 155–160. [Google Scholar] [CrossRef]
- Fischbach, M.A.; Walsh, C.T. Antibiotics for Emerging Pathogens. Science 2009, 325, 1089–1093. [Google Scholar] [CrossRef]
- Souza, S.O.L.; Cotrim, M.A.P.; Oréfice, R.L.; Carvalho, S.G.; Dutra, J.A.P.; de Paula Careta, F.; Resende, J.A.; Villanova, J.C.O. Electrospun Poly(ε-Caprolactone) Matrices Containing Silver Sulfadiazine Complexed with β-Cyclodextrin as a New Pharmaceutical Dosage Form to Wound Healing: Preliminary Physicochemical and Biological Evaluation. J. Mater. Sci. Mater. Med. 2018, 29, 67. [Google Scholar] [CrossRef]
- Perlovich, G.L.; Kazachenko, V.P.; Strakhova, N.N.; Raevsky, O.A. Impact of Sulfonamide Structure on Solubility and Transfer Processes in Biologically Relevant Solvents. J. Chem. Eng. Data 2014, 59, 4217–4226. [Google Scholar] [CrossRef]
- da Silva, P.V.; Denadai, Â.M.L.; Ribeiro, G.C.; Sachs, D.; De Sousa, F.B. Physical–Chemical and Antimicrobial Activity of Sulfadiazine Sodium Salt with β-Cyclodextrin Supramolecular Systems. Chem. Pap. 2021, 75, 3881–3890. [Google Scholar] [CrossRef]
- Suzuki, R.; Kuroyanagi, Y. Safety and Utility of a PMMA-Based Tissue Adhesive for Closure of Surgical Incision Wounds. J. Biomater. Sci. Polym. Ed. 2013, 24, 287–300. [Google Scholar] [CrossRef]
- Atila, D.; Hasirci, V.; Tezcaner, A. Coaxial Electrospinning of Composite Mats Comprised of Core/Shell Poly(Methyl Methacrylate)/Silk Fibroin Fibers for Tissue Engineering Applications. J. Mech. Behav. Biomed. Mater. 2022, 128, 105105. [Google Scholar] [CrossRef] [PubMed]
- Simões, M.C.R.; Cragg, S.M.; Barbu, E.; De Sousa, F.B. The Potential of Electrospun Poly(Methyl Methacrylate)/Polycaprolactone Core–Sheath Fibers for Drug Delivery Applications. J. Mater. Sci. 2019, 54, 5712–5725. [Google Scholar] [CrossRef]
- Karatepe, U.Y.; Ozdemir, T. Improving Mechanical and Antibacterial Properties of PMMA via Polyblend Electrospinning with Silk Fibroin and Polyethyleneimine towards Dental Applications. Bioact. Mater. 2020, 5, 510–515. [Google Scholar] [CrossRef] [PubMed]
- Ali, U.; Karim, K.J.B.A.; Buang, N.A. A Review of the Properties and Applications of Poly (Methyl Methacrylate) (PMMA). Polym. Rev. 2015, 55, 678–705. [Google Scholar] [CrossRef]
- Shen, X.; Li, T.; Xie, X.; Feng, Y.; Chen, Z.; Yang, H.; Wu, C.; Deng, S.; Liu, Y. PLGA-Based Drug Delivery Systems for Remotely Triggered Cancer Therapeutic and Diagnostic Applications. Front. Bioeng. Biotechnol. 2020, 8, 381. [Google Scholar] [CrossRef]
- Lin, Y.C.; Hu, S.C.S.; Huang, P.H.; Lin, T.C.; Yen, F.L. Electrospun Resveratrol-Loaded Polyvinylpyrrolidone/Cyclodextrin Nanofibers and Their Biomedical Applications. Pharmaceutics 2020, 12, 552. [Google Scholar] [CrossRef]
- Oliveira, M.F.; Suarez, D.; Rocha, J.C.B.; De Carvalho Teixeira, A.V.N.; Cortés, M.E.; De Sousa, F.B.; Sinisterra, R.D. Electrospun Nanofibers of PolyCD/PMAA Polymers and Their Potential Application as Drug Delivery System. Mater. Sci. Eng. C 2015, 54, 252–261. [Google Scholar] [CrossRef]
- Greiner, A.; Wendorff, J.H. Electrospinning: A Fascinating Method for the Preparation of Ultrathin Fibers. Angew. Chem.—Int. Ed. 2007, 46, 5670–5703. [Google Scholar] [CrossRef] [PubMed]
- Luraghi, A.; Peri, F.; Moroni, L. Electrospinning for Drug Delivery Applications: A Review. J. Control Release 2021, 334, 463–484. [Google Scholar] [CrossRef] [PubMed]
- Sill, T.J.; von Recum, H.A. Electrospinning: Applications in Drug Delivery and Tissue Engineering. Biomaterials 2008, 29, 1989–2006. [Google Scholar] [CrossRef] [PubMed]
- Hamedani, Y.; Balan, M.; Pal, S.; Bhowmick, S. The Role of Polymer Carrier and Process Parameters for Small Molecule Drug Delivery via Blended Electrospinning. Nano Life 2021, 11, 2150001. [Google Scholar] [CrossRef]
- Hamori, M.; Yoshimatsu, S.; Hukuchi, Y.; Shimizu, Y.; Fukushima, K.; Sugioka, N.; Nishimura, A.; Shibata, N. Preparation and Pharmaceutical Evaluation of Nano-Fiber Matrix Supported Drug Delivery System Using the Solvent-Based Electrospinning Method. Int. J. Pharm. 2014, 464, 243–251. [Google Scholar] [CrossRef]
- Doostmohammadi, M.; Forootanfar, H.; Ramakrishna, S. Regenerative Medicine and Drug Delivery: Progress via Electrospun Biomaterials. Mater. Sci. Eng. C 2020, 109, 110521. [Google Scholar] [CrossRef]
- Akhgari, A.; Farahmand, F.; Afrasiabi Garekani, H.; Sadeghi, F.; Vandamme, T.F. Permeability and Swelling Studies on Free Films Containing Inulin in Combination with Different Polymethacrylates Aimed for Colonic Drug Delivery. Eur. J. Pharm. Sci. 2006, 28, 307–314. [Google Scholar] [CrossRef]
- Maurya, H.; Kumar, S. An Overview on Advance Vesicles Formulation as a Drug Carrier for N Neuroprotective Potential of Swietenia. Eur. J. Biomed. Pharm. Sci. 2018, 5, 292–303. [Google Scholar]
- ISO 10993-5. Tests for in Vitro Cytotoxicity, 3rd ed. ISO: Geneva, Switzerland, 2009.
- Mosmann, T. Benzimidazole Based Pt(II) Complexes with Better Normal Cell Viability than Cisplatin: Synthesis, Substitution Behavior, Cytotoxicity, DNA Binding and DFT Study. J. Immunol. Methods 1983, 65, 55–63. [Google Scholar] [CrossRef]
- ISO 10993-12. Biological Evaluation of Medical Devices—Part 12: Sample Preparation and Reference Materials, 4th ed. ISO: Geneva, Switzerland, 2012.
- Cappiello, F.; Casciaro, B.; Mangoni, M.L. A Novel in Vitro Wound Healing Assay to Evaluate Cell Migration. J. Vis. Exp. 2018, 133, 10–15. [Google Scholar] [CrossRef]
- NCCLS. Performance Standards for Antimicrobial Disk Susceptibility Tests; Approved Standard—Eighth Edition; NCCLS Document M2-A8; National Committee for Clinical Laboratory Standards: Albany, NY, USA, 2003; ISBN 1-56238-485-6. [Google Scholar]
- Fontana, C.R.; Abernethy, A.D.; Som, S.; Ruggiero, K.; Doucette, S.; Marcantonio, R.C.; Boussios, C.I.; Kent, R.; Goodson, J.M.; Tanner, A.C.R.; et al. The Antibacterial Effect of Photodynamic Therapy in Dental Plaque-Derived Biofilms. J. Periodontal Res. 2009, 44, 751–759. [Google Scholar] [CrossRef]
- Schoeller, J.; Itel, F.; Wuertz-Kozak, K.; Gaiser, S.; Luisier, N.; Hegemann, D.; Ferguson, S.J.; Fortunato, G.; Rossi, R.M. PH-Responsive Chitosan/Alginate Polyelectrolyte Complexes on Electrospun PLGA Nanofibers for Controlled Drug Release. Nanomaterials 2021, 11, 1850. [Google Scholar] [CrossRef] [PubMed]
- Jenkins, L.M.; Donald, A.M. Contact Angle Measurements on Fibers in the Environmental Scanning Electron Microscope. Langmuir 1999, 15, 7829–7835. [Google Scholar] [CrossRef]
- Ayyoob, M.; Kim, Y.J. Effect of Chemical Composition Variant and Oxygen Plasma Treatments on Thewettability of PLGA Thin Films, Synthesized by Direct Copolycondensation. Polymers 2018, 10, 1132. [Google Scholar] [CrossRef] [PubMed]
- Bertuzzi, M.A.; Castro Vidaurre, E.F.; Armada, M.; Gottifredi, J.C. Water Vapor Permeability of Edible Starch Based Films. J. Food Eng. 2007, 80, 972–978. [Google Scholar] [CrossRef]
- Tan, B.; Thomas, N.L. A Review of the Water Barrier Properties of Polymer/Clay and Polymer/Graphene Nanocomposites. J. Memb. Sci. 2016, 514, 595–612. [Google Scholar] [CrossRef]
- Paczkowska-Walendowska, M.; Miklaszewski, A.; Cielecka-Piontek, J. Is It Possible to Improve the Bioavailability of Resveratrol and Polydatin Derived from Polygoni Cuspidati Radix as a Result of Preparing Electrospun Nanofibers Based on Polyvinylpyrrolidone/Cyclodextrin. Nutrients 2022, 14, 3897. [Google Scholar] [CrossRef]
- Toprak, Ö.; Topuz, B.; Monsef, Y.A.; Oto, Ç.; Orhan, K.; Karakeçili, A. BMP-6 Carrying Metal Organic Framework-Embedded in Bioresorbable Electrospun Fibers for Enhanced Bone Regeneration. Mater. Sci. Eng. C 2021, 120, 111738. [Google Scholar] [CrossRef]
- Xie, Z.; Buschle-Diller, G. Electrospun Poly(D,L-Lactide) Fibers for Drug Delivery: The Influence of Cosolvent and the Mechanism of Drug Release. J. Appl. Polym. Sci. 2010, 115, 1–8. [Google Scholar] [CrossRef]
- Peng, Y.; Ma, Y.; Bao, Y.; Liu, Z.; Chen, L.; Dai, F.; Li, Z. Electrospun PLGA/SF/Artemisinin Composite Nanofibrous Membranes for Wound Dressing. Int. J. Biol. Macromol. 2021, 183, 68–78. [Google Scholar] [CrossRef]
- Kruse, M.; Walter, P.; Bauer, B.; Rutten, S.; Schaefer, K.; Plange, N.; Gries, T.; Jockenhovel, S.; Fuest, M. Electro-spun Membranes as Scaffolds for Human Corneal Endothelial Cells. Curr. Eye Res. 2018, 43, 709–716. [Google Scholar] [CrossRef] [PubMed]
- Vale, F.M.; Castro, M.; Monteiro, J.; Couto, F.S.; Pinto, R.; Gião Toscano Rico, J.M. Acrylic bone cement induces the production of free radicals by cultured human fibroblasts. Biomaterials 1997, 18, 1133–1135. [Google Scholar] [CrossRef] [PubMed]
- Stromberg, Z.R.; Lisa Phipps, M.; Magurudeniya, H.D.; Pedersen, C.A.; Rajale, T.; Sheehan, C.J.; Courtney, S.J.; Bradfute, S.B.; Hraber, P.; Rush, M.N.; et al. Formulation of Stabilizer-Free, Nontoxic PLGA and Elastin-PLGA Nanoparticle Delivery Systems. Int. J. Pharm. 2021, 597, 120340. [Google Scholar] [CrossRef] [PubMed]
- Girondi, C.M.; De Oliveira, A.B.; Prado, J.A.; Koga-Ito, C.Y.; Borges, A.C.; Botazzo Delbem, A.C.; Alves Pereira, D.F.; Salvador, M.J.; Brighenti, F.L. Screening of Plants with Antimicrobial Activity against Enterobacteria, Pseudomonas Spp. and Staphylococcus Spp. Future Microbiol. 2017, 12, 671–681. [Google Scholar] [CrossRef]







| Fibers | Flow Rate (mL/h) | DC Voltage (kV) | Collector Distance (cm) |
|---|---|---|---|
| PMMA | 2.0 | 15 | 24 |
| PMMA SDS | 1.5 | 14 | 16 |
| PMMA SDS/HPβCD | 1.4 | 14 | 16 |
| PLGA | 1.2 | 19 | 14 |
| PLGA SDS | 1.0 | 15 | 18 |
| PLGA SDS/HPβCD | 1.0 | 19 | 12 |
| Fibers | Thickness (mm) | WVP (g mm h−1 m−2 Pa)·10−7 |
|---|---|---|
| PMMA | 0.262 | 4.29 ± 0.35 a,* |
| PMMA SDS | 0.227 | 4.74 ± 0.48 a,* |
| PMMA SDS/HPβCD | 0.125 | 6.44 ± 0.16 a,** |
| PLGA | 0.154 | 3.23 ± 0.25 b,* |
| PLGA SDS | 0.166 | 4.90 ± 0.22 b,** |
| PLGA SDS/HPβCD | 0.139 | 8.21 ± 0.72 b,*** |
| Fibers | Drug Loading Rate (%) |
|---|---|
| PMMA SDS | 40.6 ± 2.0 |
| PMMA SDS/HPβCD | 47.5 ± 2.5 |
| PLGA SDS | 41.2 ± 2.6 |
| PLGA SDS/HPβCD | 43.0 ± 0.3 |
| Mathematical Models | PMMA SDS | PMMA SDS/HPβCD | PLGA SDS | PLGA SDS/HPβCD |
|---|---|---|---|---|
| First Order | r2 = 0.7354 | r2 = 0.8155 | r2 = 0.8017 | r2 = 0.6991 |
| k = 1.19 × 10−4 | k = 1.57 × 10−4 | k = 3.21 × 10−4 | k = 4.54 × 10−4 | |
| Higuchi | r2 = 0.9087 | r2 = 0.8489 | r2 = 0.8900 | r2 = 0.9376 |
| k = 0.9949 | k = 1.3800 | k = 0.4405 | k = 0.5440 | |
| Peppas | r2 = 0.9843 | r2 = 0.9915 | r2 = 0.9809 | r2 = 0.9600 |
| k = 2.0659 | k = 2.1388 | k = 2.2780 | k = 2.5366 | |
| n = 0.12519 | n = 0.1434 | n = 0.2284 | n = 0.2994 | |
| Weibull | r2 = 0.9751 | r2 = 0.9870 | r2 = 0.9648 | r2 = 0.9416 |
| k = 1.1440 | k = 1.2107 | k = 1.2312 | k = 1.2572 | |
| b = 0.1467 | b = 0.1688 | b = 0.2657 | b = 0.3472 | |
| Zero Order | r2 = 0.6280 | r2 = 0.7598 | r2 = 0.7501 | r2 = 0.7508 |
| k = 0.0115 | k = 0.0281 | k = 0.0365 | k = 0.0391 | |
| Hixon and Crowell | r2 = 0.6823 | r2 = 0.7798 | r2 = 0.7599 | r2 = 0.6198 |
| k = 0.0083 | k = 0.01141 | k = 0.0213 | k = 0.0283 |
| Groups | S. aureus | E. coli |
|---|---|---|
| Negative Control | 0 | 0 |
| CHX | 0.5 | 0.5 |
| PMMA | 0 | 0 |
| PLGA | 0 | 0 |
| PMMA SDS | 0 | 0 |
| PMMA SDS/HPβCD | 0 | 0 |
| PLGA SDS | 0.2 | 0.3 |
| PLGA SDS/HPβCD | 0.7 | 0.5 |
Disclaimer/Publisher’s Note: The statements, opinions and data contained in all publications are solely those of the individual author(s) and contributor(s) and not of MDPI and/or the editor(s). MDPI and/or the editor(s) disclaim responsibility for any injury to people or property resulting from any ideas, methods, instructions or products referred to in the content. |
© 2023 by the authors. Licensee MDPI, Basel, Switzerland. This article is an open access article distributed under the terms and conditions of the Creative Commons Attribution (CC BY) license (https://creativecommons.org/licenses/by/4.0/).
Share and Cite
Morais, D.C.; Fontes, M.L.; Oliveira, A.B.; Gabbai-Armelin, P.R.; Ferrisse, T.M.; De Oliveira, L.F.C.; Brighenti, F.L.; Barud, H.S.; De Sousa, F.B. Combining Polymer and Cyclodextrin Strategy for Drug Release of Sulfadiazine from Electrospun Fibers. Pharmaceutics 2023, 15, 1890. https://doi.org/10.3390/pharmaceutics15071890
Morais DC, Fontes ML, Oliveira AB, Gabbai-Armelin PR, Ferrisse TM, De Oliveira LFC, Brighenti FL, Barud HS, De Sousa FB. Combining Polymer and Cyclodextrin Strategy for Drug Release of Sulfadiazine from Electrospun Fibers. Pharmaceutics. 2023; 15(7):1890. https://doi.org/10.3390/pharmaceutics15071890
Chicago/Turabian StyleMorais, Diego C., Marina L. Fontes, Analú B. Oliveira, Paulo R. Gabbai-Armelin, Túlio M. Ferrisse, Luiz F. C. De Oliveira, Fernanda Lourenção Brighenti, Hernane S. Barud, and Frederico B. De Sousa. 2023. "Combining Polymer and Cyclodextrin Strategy for Drug Release of Sulfadiazine from Electrospun Fibers" Pharmaceutics 15, no. 7: 1890. https://doi.org/10.3390/pharmaceutics15071890
APA StyleMorais, D. C., Fontes, M. L., Oliveira, A. B., Gabbai-Armelin, P. R., Ferrisse, T. M., De Oliveira, L. F. C., Brighenti, F. L., Barud, H. S., & De Sousa, F. B. (2023). Combining Polymer and Cyclodextrin Strategy for Drug Release of Sulfadiazine from Electrospun Fibers. Pharmaceutics, 15(7), 1890. https://doi.org/10.3390/pharmaceutics15071890

