Spruce Balm-Based Semisolid Vehicles for Wound Healing: Effect of Excipients on Rheological Properties and Ex Vivo Skin Permeation
Abstract
1. Introduction
2. Materials and Methods
2.1. Materials
2.1.1. Plant Material
2.1.2. Other Materials
2.2. Preparation of Formulations
2.3. Rheological Characterization and Stability
2.4. Skin Permeation
2.4.1. Diffusion Cell Setup
2.4.2. Skin Permeation of Bioactive Substances
2.5. High-Performance Liquid Chromatography
2.6. Statistics
3. Results
3.1. Preparation and Organoleptic Appearance of Formulations
3.2. Rheological Properties and Stability
3.3. Solubility and Choice of Acceptor Medium
3.4. Skin Permeation of PSB Compounds
4. Discussion
4.1. Preparation of PSB Formulations and Storage Stability
4.2. Permeation of Bioactive Substances
4.3. Implications for the Successful Formulation of Semisolid Products with Plant-Based Materials
5. Conclusions
Supplementary Materials
Author Contributions
Funding
Institutional Review Board Statement
Informed Consent Statement
Data Availability Statement
Acknowledgments
Conflicts of Interest
References
- Schilrreff, P.; Alexiev, U. Chronic Inflammation in Non-Healing Skin Wounds and Promising Natural Bioactive Compounds Treatment. Int. J. Mol. Sci. 2022, 23, 4928. [Google Scholar] [CrossRef]
- Sen, C.K. Human Wound and Its Burden: Updated 2020 Compendium of Estimates. Adv. Wound Care 2021, 10, 281–292. [Google Scholar] [CrossRef]
- Medicinal Plant Names Services. Available online: https://mpns.science.kew.org/mpns-portal/ (accessed on 16 February 2023).
- Rautio, M.; Sipponen, A.; Peltola, R.; Lohi, J.; Jokinen, J.J.; Papp, A.; Carlson, P.; Sipponen, P. Antibacterial Effects of Home-Made Resin Salve from Norway Spruce (Picea abies). Apmis 2007, 115, 335–340. [Google Scholar] [CrossRef]
- Ammon, H.P.T.; Schubert-Zsilavecz, M. Hunnius Pharmazeutisches Wörterbuch, 11th ed.; De Gruyter: Berlin, Germany, 2014. [Google Scholar]
- Gerlach, S. Scientific Reflections on Traditional Medicines in Austria. Ph.D. Thesis, University of Vienna, Vienna, Austria, 2007. [Google Scholar]
- Gerlach, S.; Saukel, J.; Kubelka, W. Pflanzen in Der Österreichischen Volksmedizin—Die “Volksmed-Datenbank”. Sci. Pharm. 2006, 74, 36. [Google Scholar]
- Saukel, J.; Kubelka, W. VOLKSMED-Datenbank, Volksmedizinisch Verwendete Arzneipflanzen in Oesterreich. Sci. Pharm. 1994, 62, 100. [Google Scholar]
- Goels, T.; Eichenauer, E.; Langeder, J.; Hoeller, F.; Sykora, C.; Tahir, A.; Urban, E.; Heiss, E.H.; Saukel, J.; Glasl, S. Norway Spruce Balm: Phytochemical Composition and Ability to Enhance Re-Epithelialization In Vitro. Planta Med. 2020, 86, 1080–1088. [Google Scholar] [CrossRef] [PubMed]
- Österreichisches Arzneibuch (Pharmacopoea Austriaca); Verlag Österreich GmbH: Vienna, Austria, 2021; ISBN 978-3-7046-8820-0.
- Jokinen, J.J.; Sipponen, A. Refined Spruce Resin to Treat Chronic Wounds: Rebirth of an Old Folkloristic Therapy. Adv. Wound Care 2016, 5, 198–207. [Google Scholar] [CrossRef] [PubMed]
- Rautio, M.; Sipponen, A.; Lohi, J.; Lounatmaa, K.; Koukila-Kähkölä, P.; Laitinen, K. In Vitro Fungistatic Effects of Natural Coniferous Resin from Norway Spruce (Picea Abies). Eur. J. Clin. Microbiol. Infect. Dis. 2012, 31, 1783–1789. [Google Scholar] [CrossRef] [PubMed]
- Sipponen, A.; Jokinen, J.J.; Sipponen, P.; Papp, A.; Sarna, S.; Lohi, J. Beneficial Effect of Resin Salve in Treatment of Severe Pressure Ulcers: A Prospective, Randomized and Controlled Multicentre Trial. Br. J. Derm. 2008, 158, 1055–1062. [Google Scholar] [CrossRef]
- Sipponen, A.; Laitinen, K. Antimicrobial Properties of Natural Coniferous Rosin in the European Pharmacopoeia Challenge Test. APMIS 2011, 119, 720–724. [Google Scholar] [CrossRef] [PubMed]
- Sipponen, A.; Kuokkanen, O.; Tiihonen, R.; Kauppinen, H.; Jokinen, J.J. Natural Coniferous Resin Salve Used to Treat Complicated Surgical Wounds: Pilot Clinical Trial on Healing and Costs: Treatment of Surgical Wounds with Coniferous Resin Salve. Int. J. Dermatol. 2012, 51, 726–732. [Google Scholar] [CrossRef] [PubMed]
- Goels, T.; Eichenauer, E.; Tahir, A.; Prochaska, P.; Hoeller, F.; Heiß, E.H.; Glasl, S. Exudates of Picea Abies, Pinus Nigra, and Larix Decidua: Chromatographic Comparison and Pro-Migratory Effects on Keratinocytes In Vitro. Plants 2022, 11, 599. [Google Scholar] [CrossRef] [PubMed]
- Goels, T.; Eichenauer, E.; Langeder, J.; Aichner, G.F.; Mauser, G.; Amtmann, L.; Grienke, U.; Glasl, S. Ultra High-Performance Supercritical Fluid Chromatography for the Quantitation of Diterpene Resin Acids in Norway Spruce Samples. Front. Pharmacol. 2022, 13, 906411. [Google Scholar] [CrossRef] [PubMed]
- Holmbom, T.; Reunanen, M.; Fardim, P. Composition of Callus Resin of Norway Spruce, Scots Pine, European Larch and Douglas Fir. Holzforschung 2008, 62, 417–422. [Google Scholar] [CrossRef]
- De Oliveira Silva, E.; Batista, R. Ferulic Acid and Naturally Occurring Compounds Bearing a Feruloyl Moiety: A Review on Their Structures, Occurrence, and Potential Health Benefits. Comp. Rev. Food Sci. Food Saf. 2017, 16, 580–616. [Google Scholar] [CrossRef] [PubMed]
- Hwang, B.; Lee, J.; Liu, Q.-H.; Woo, E.-R.; Lee, D.G. Antifungal Effect of (+)-Pinoresinol Isolated from Sambucus williamsii. Molecules 2010, 15, 3507–3516. [Google Scholar] [CrossRef]
- Vuorela, S.; Kreander, K.; Karonen, M.; Nieminen, R.; Hämäläinen, M.; Galkin, A.; Laitinen, L.; Salminen, J.-P.; Moilanen, E.; Pihlaja, K.; et al. Preclinical Evaluation of Rapeseed, Raspberry, and Pine Bark Phenolics for Health Related Effects. J. Agric. Food Chem. 2005, 53, 5922–5931. [Google Scholar] [CrossRef]
- Belhadj Mostefa, M.; Abedini, A.; Voutquenne-Nazabadioko, L.; Gangloff, S.C.; Kabouche, A.; Kabouche, Z. Abietane Diterpenes from the Cones of Abies Numidica de Lannoy Ex Carrière (Pinaceae) and in Vitro Evaluation of Their Antimicrobial Properties. Nat. Prod. Res. 2017, 31, 568–571. [Google Scholar] [CrossRef] [PubMed]
- Yang, X.-W.; Feng, L.; Li, S.-M.; Liu, X.-H.; Li, Y.-L.; Wu, L.; Shen, Y.-H.; Tian, J.-M.; Zhang, X.; Liu, X.-R.; et al. Isolation, Structure, and Bioactivities of Abiesadines A–Y, 25 New Diterpenes from Abies Georgei Orr. Bioorg. Med. Chem. 2010, 18, 744–754. [Google Scholar] [CrossRef] [PubMed]
- Savluchinske-Feio, S.; Curto, M.J.M.; Gigante, B.; Roseiro, J.C. Antimicrobial Activity of Resin Acid Derivatives. Appl. Microbiol. Biotechnol. 2006, 72, 430–436. [Google Scholar] [CrossRef]
- De Lima Silva, M.G.; da Silva, L.Y.S.; de Freitas, T.S.; Rocha, J.E.; Pereira, R.L.S.; Tintino, S.R.; de Oliveira, M.R.C.; Bezerra Martins, A.O.B.P.; Lima, M.C.P.; Alverni da Hora, G.C.; et al. Antibacterial Effect and Evaluation of the Inhibitory Effect against Efflux Pump in Staphylococcus Aureus by Abietic Acid: In Vitro and in Silico Assays. Process. Biochem. 2022, 122, 363–372. [Google Scholar] [CrossRef]
- Lu, Y.-J.; Zhao, Z.-D.; Chen, Y.-X.; Wang, J.; Xu, S.-C.; Gu, Y. Synthesis and Biological Activity of Pyridine Acylhydrazone Derivatives of Isopimaric Acid. J. Asian Nat. Prod. Res. 2021, 23, 545–555. [Google Scholar] [CrossRef] [PubMed]
- Huang, D.; Cheng, J.; Mao, J.; Ma, S.; Du, Z.; Chen, W.; Zhang, F.; Sun, L. The LC-MS/MS-Based Measurement of Isopimaric Acid in Rat Plasma and Application of Pharmacokinetics. BioMed Res. Int. 2021, 2021, 2310422. [Google Scholar] [CrossRef]
- Mirgorodskaya, A.; Kushnazarova, R.; Pavlov, R.; Valeeva, F.; Lenina, O.; Bushmeleva, K.; Kuryashov, D.; Vyshtakalyuk, A.; Gaynanova, G.; Petrov, K.; et al. Supramolecular Tools to Improve Wound Healing and Antioxidant Properties of Abietic Acid: Biocompatible Microemulsions and Emulgels. Molecules 2022, 27, 6447. [Google Scholar] [CrossRef]
- Li, X.Q.; Chen, Y.; Dai, G.C.; Zhou, B.B.; Yan, X.N.; Tan, R.X. Abietic Acid Ameliorates Psoriasis-like Inflammation and Modulates Gut Microbiota in Mice. J. Ethnopharmacol. 2021, 272, 113934. [Google Scholar] [CrossRef]
- Kim, E.; Kang, Y.-G.; Kim, Y.-J.; Lee, T.R.; Yoo, B.C.; Jo, M.; Kim, J.H.; Kim, J.-H.; Kim, D.; Cho, J.Y. Dehydroabietic Acid Suppresses Inflammatory Response Via Suppression of Src-, Syk-, and TAK1-Mediated Pathways. Int. J. Mol. Sci. 2019, 20, 1593. [Google Scholar] [CrossRef] [PubMed]
- Dubinin, M.V.; Sharapov, V.A.; Semenova, A.A.; Parfenova, L.V.; Ilzorkina, A.I.; Khoroshavina, E.I.; Belosludtseva, N.V.; Gudkov, S.V.; Belosludtsev, K.N. Effect of Modified Levopimaric Acid Diene Adducts on Mitochondrial and Liposome Membranes. Membranes 2022, 12, 866. [Google Scholar] [CrossRef]
- Klang, V.; Schweiger, E.-M.; Strohmaier, S.; Walter, V.I.; Dekic, Z.; Tahir, A. Dermal Delivery of Korean Red Ginseng Extract: Impact on Storage Stability of Different Carrier Systems and Evaluation of Rg1 and Rb1 Skin Permeation Ex Vivo. Pharmaceutics 2022, 15, 56. [Google Scholar] [CrossRef] [PubMed]
- Keck, C.M.; Abdelkader, A.; Pelikh, O.; Wiemann, S.; Kaushik, V.; Specht, D.; Eckert, R.W.; Alnemari, R.M.; Dietrich, H.; Brüßler, J. Assessing the Dermal Penetration Efficacy of Chemical Compounds with the Ex-Vivo Porcine Ear Model. Pharmaceutics 2022, 14, 678. [Google Scholar] [CrossRef] [PubMed]
- Capó, X.; Martorell, M.; Tur, J.A.; Sureda, A.; Pons, A. 5-Dodecanolide, a Compound Isolated from Pig Lard, Presents Powerful Anti-Inflammatory Properties. Molecules 2021, 26, 7363. [Google Scholar] [CrossRef] [PubMed]
- Prokop, D.; Spergser, J.; Hagmüller, W.; Tichy, A.; Zitterl-Eglseer, K. Efficacy of Norway Spruce Ointments and Bacterial and Fungal Alterations in the Treatment of Castration Wounds in Piglets. Planta Med. 2022, 88, 300–312. [Google Scholar] [CrossRef] [PubMed]








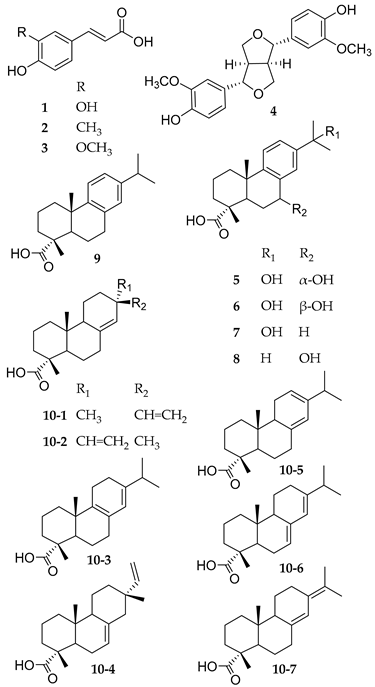
![]() | ||||
| Substance | Structure class | Effects contributing to wound healing | ||
| 1 | Caffeic acid | Hydroxy- cinnamic acids | antioxidant, antimicrobial, and anti-inflammatory effects [19] | |
| 2 | p-Coumaric acid | |||
| 3 | Ferulic acid | |||
| 4 | Pinoresinol | Lignans | antifungal [20], antioxidant, anti-inflammatory [21], and re-epithelialization boosting effects [9] | |
| 5 | 7α,15-Dihydroxy- | Hydroxylated resin acids | re-epithelialization boosting [9], antimicrobial [22], and anti-inflammatory effects [23] | |
| dehydroabietic acid | ||||
| 6 | 7β,15-Dihydroxy- | |||
| dehydroabietic acid | ||||
| 7 | 15-Hydroxy- dehydroabietic acid | |||
| 8 | 7-Hydroxy- dehydroabietic acid | |||
| 9 | Dehydroabietic acid | Diterpene resin acids (300 Da) | re-epithelialization boosting [9], anti-inflammatory [23], and antimicrobial effects [24] | |
| 10-1 | Pimaric acid | Diterpene resin acids (302 Da) | re-epithelialization boosting [9], antimicrobial [24,25,26,27], anti-inflammatory [28,29,30], and antioxidant effects [31] | |
| 10-2 | Sandaracopimaric acid | |||
| 10-3 | Palustric acid | |||
| 10-4 | Isopimaric acid | |||
| 10-5 | Levopimaric acid | |||
| 10-6 | Abietic acid | |||
| 10-7 | Neoabietic acid | |||
| Formulation | Composition | % w/w |
|---|---|---|
| petrolatum/paraffin | petrolatum | 60 |
| paraffin oil | 20 | |
| PSB | 20 | |
| wool wax/castor oil | wool wax | 60 |
| castor oil | 20 | |
| PSB | 20 | |
| wool wax/water | wool wax | 60 |
| distilled water | 20 | |
| PSB | 20 | |
| Ultrabas/castor oil | Ultrabas® | 73.33 |
| castor oil | 6.66 | |
| PSB | 20 | |
| Aerosil/castor oil | Aerosil® | 7 |
| castor oil | 73 | |
| PSB | 20 |
| PSB Compound | Vehicle | Mean Flux Based on AUC/cm2/h | Enhancement Factor | Sign. | Mean R2 |
|---|---|---|---|---|---|
| pinoresinol | wool wax/castor oil | 87.258 ± 27.553 | 2.8 | *** | 0.973 ± 0.030 |
| lard | 243.842 ± 93.731 | 0.989 ± 0.015 | |||
| 15-hydroxy-dehydroabietic acid | wool wax/castor oil | 13.606 ± 6.196 | 1.8 | ** | 0.985 ± 0.014 |
| lard | 25.558 ± 9.673 | 0.988 ± 0.010 | |||
| dehydroabietic acid | wool wax/castor oil | 21.848 ± 7.791 | 1.1 | n.s. | 0.964 ± 0.026 |
| lard | 24.041 ± 7.099 | 0.985 ± 0.012 | |||
| 302 g/mol DRAs | wool wax/castor oil | 21.797 ± 7.567 | 1.1 | n.s. | 0.985 ± 0.023 |
| lard | 22.847 ± 7.299 | 0.960 ± 0.035 |
Disclaimer/Publisher’s Note: The statements, opinions and data contained in all publications are solely those of the individual author(s) and contributor(s) and not of MDPI and/or the editor(s). MDPI and/or the editor(s) disclaim responsibility for any injury to people or property resulting from any ideas, methods, instructions or products referred to in the content. |
© 2023 by the authors. Licensee MDPI, Basel, Switzerland. This article is an open access article distributed under the terms and conditions of the Creative Commons Attribution (CC BY) license (https://creativecommons.org/licenses/by/4.0/).
Share and Cite
Eichenauer, E.; Jozić, M.; Glasl, S.; Klang, V. Spruce Balm-Based Semisolid Vehicles for Wound Healing: Effect of Excipients on Rheological Properties and Ex Vivo Skin Permeation. Pharmaceutics 2023, 15, 1678. https://doi.org/10.3390/pharmaceutics15061678
Eichenauer E, Jozić M, Glasl S, Klang V. Spruce Balm-Based Semisolid Vehicles for Wound Healing: Effect of Excipients on Rheological Properties and Ex Vivo Skin Permeation. Pharmaceutics. 2023; 15(6):1678. https://doi.org/10.3390/pharmaceutics15061678
Chicago/Turabian StyleEichenauer, Elisabeth, Martina Jozić, Sabine Glasl, and Victoria Klang. 2023. "Spruce Balm-Based Semisolid Vehicles for Wound Healing: Effect of Excipients on Rheological Properties and Ex Vivo Skin Permeation" Pharmaceutics 15, no. 6: 1678. https://doi.org/10.3390/pharmaceutics15061678
APA StyleEichenauer, E., Jozić, M., Glasl, S., & Klang, V. (2023). Spruce Balm-Based Semisolid Vehicles for Wound Healing: Effect of Excipients on Rheological Properties and Ex Vivo Skin Permeation. Pharmaceutics, 15(6), 1678. https://doi.org/10.3390/pharmaceutics15061678


