Development of Zeise’s Salt Derivatives Bearing Substituted Acetylsalicylic Acid Substructures as Cytotoxic COX Inhibitors
Abstract
1. Introduction
2. Materials and Methods
2.1. General Material and Methods
2.2. General Procedure for the Synthesis of Zeise’s Salt Derivatives
2.3. Capillary Electrophoresis
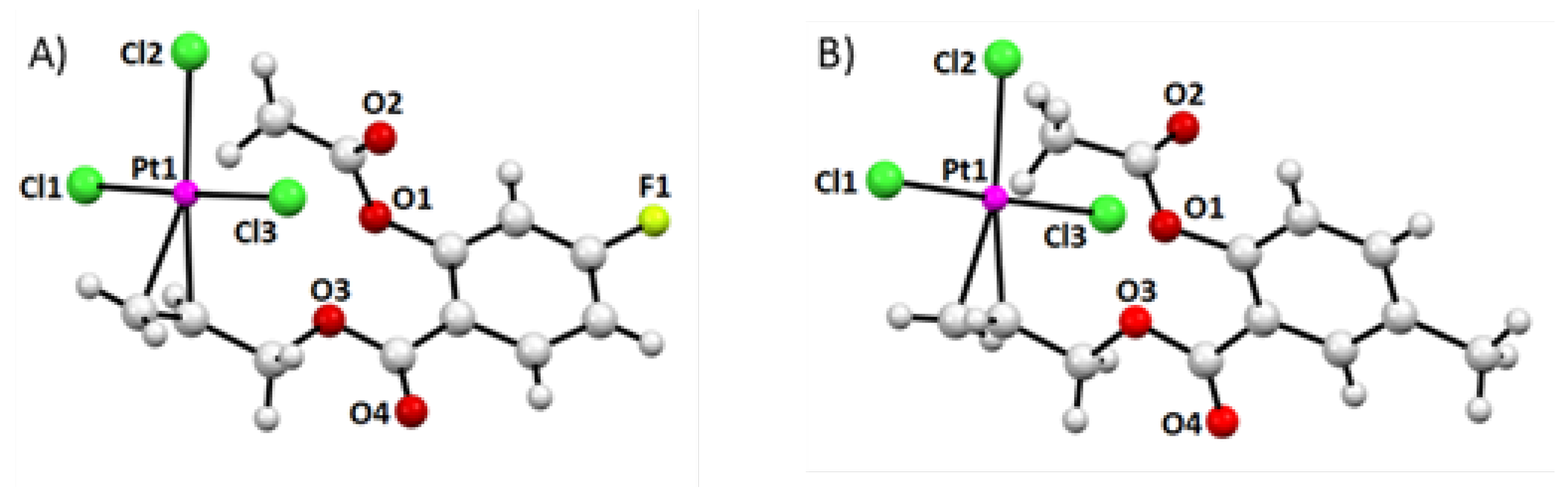
2.4. X-ray Crystallography
2.5. General Cell Culture Methods
2.6. Inhibition of COX-1/2 Isoenzyme
2.7. Inhibition of the PGE2 Synthesis in HT-29 Cells
2.8. Antiproliferative Effects
3. Results and Discussion
3.1. Synthesis and Structural Characterization
3.2. Evaluation of the Complex Stability
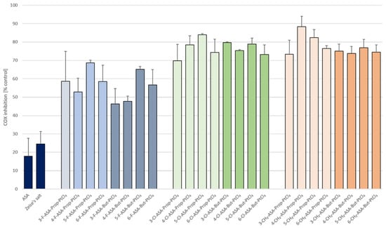
3.3. COX-1/2 Isoenzyme Inhibition
3.4. Inhibition of the PGE2 Synthesis in HT-29 Cells
3.5. Antiproliferative Effects
4. Conclusions
Supplementary Materials
Author Contributions
Funding
Institutional Review Board Statement
Informed Consent Statement
Data Availability Statement
Acknowledgments
Conflicts of Interest
References
- Smith, W.L.; DeWitt, D.L.; Garavito, R.M. Cyclooxygenases: Structural, cellular, and molecular biology. Annu. Rev. Biochem. 2000, 69, 145–182. [Google Scholar] [CrossRef] [PubMed]
- Phillis, J.W.; Horrocks, L.A.; Farooqui, A.A. Cyclooxygenases, lipoxygenases, and epoxygenases in CNS: Their role and involvement in neurological disorders. Brain Res. Rev. 2006, 52, 201–243. [Google Scholar] [CrossRef] [PubMed]
- Simmons, D.L.; Botting, R.M.; Hla, T. Cyclooxygenase isozymes: The biology of prostaglandin synthesis and inhibition. Pharmacol. Rev. 2004, 56, 387–437. [Google Scholar] [CrossRef] [PubMed]
- Regulski, M.; Regulska, K.; Prukala, W.; Piotowska, H.; Stanisz, B.; Murias, M. COX-2 inhibitors: A novel strategy in the management of breast cancer. Drug Discov. Today 2016, 21, 598–615. [Google Scholar] [CrossRef]
- Pannunzio, A.; Coluccia, M. Cyclooxygenase-1 (COX-1) and COX-1 Inhibitors in cancer: A review of oncology and medicinal chemistry literature. Pharmaceuticals 2018, 11, 101. [Google Scholar] [CrossRef]
- Jeong, H.-S.; Kim, J.-H.; Choi, H.Y.; Lee, E.-R.; Cho, S.-G. Induction of cell growth arrest and apoptotic cell death in human breast cancer MCF-7 cells by the COX-1 inhibitor FR122047. Oncol. Rep. 2010, 24, 351–356. [Google Scholar]
- McFadden, D.W.; Riggs, D.R.; Jackson, B.J.; Cunningham, C. Additive effects of COX-1 and COX-2 inhibition on breast cancer in vitro. Int. J. Oncol. 2006, 29, 1019–1023. [Google Scholar] [CrossRef]
- Li, W.; Wang, J.; Jiang, H.-R.; Xu, X.-L.; Zhang, J.; Liu, M.-L.; Zhai, L.-Y. Combined effects of cyclooxygenase-1 and cyclooxygenase-2 selective inhibitors on ovarian carcinoma in vivo. Int. J. Mol. Sci. 2011, 12, 668–681. [Google Scholar] [CrossRef]
- Ghosh, S. Cisplatin: The first metal based anticancer drug. Bioorg. Chem. 2019, 88, 102925. [Google Scholar] [CrossRef]
- Dasari, S.; Tchounwou, P.B. Cisplatin in cancer therapy: Molecular mechanisms of action. Eur. J. Pharmacol. 2014, 740, 364–378. [Google Scholar] [CrossRef]
- Fuertes, M.A.; Alonso, C.; Pérez, J.M. Biochemical modulation of cisplatin mechanisms of action: Enhancement of antitumor activity and circumvention of drug resistance. Chem. Rev. 2003, 103, 645–662. [Google Scholar] [CrossRef]
- Weninger, A.; Baecker, D.; Obermoser, V.; Egger, D.; Wurst, K.; Gust, R. Synthesis and biological evaluation of Zeise’s salt derivatives with acetylsalicylic acid substructure. Int. J. Mol. Sci. 2018, 19, 1612. [Google Scholar] [CrossRef]
- Thun, M.J.; Jacobs, E.J.; Patrono, C. The role of aspirin in cancer prevention. Nat. Rev. Clin. Oncol. 2012, 9, 259–267. [Google Scholar] [CrossRef]
- Nakanishi, M.; Rosenberg, D.W. Multifaceted roles of PGE2 in inflammation and cancer. Semin. Immunopathol. 2013, 35, 123–137. [Google Scholar] [CrossRef]
- Meieranz, S.; Stefanopoulou, M.; Rubner, G.; Bensdorf, K.; Kubutat, D.; Sheldrick, W.S.; Gust, R. The biological activity of Zeise’s salt and its derivatives. Angew. Chem. Int. Ed. Engl. 2015, 54, 2834–2837. [Google Scholar] [CrossRef]
- Ott, I.; Kircher, B.; Bagowski, C.P.; Vlecken, D.H.W.; Ott, E.B.; Will, J.; Bensdorf, K.; Sheldrick, W.S.; Gust, R. Modulation of the biological properties of aspirin by formation of a bioorganometallic derivative. Angew. Chem. Int. Ed. Engl. 2009, 48, 1160–1163. [Google Scholar] [CrossRef]
- Rubner, G.; Bensdorf, K.; Wellner, A.; Bergemann, S.; Gust, R. Synthesis, characterisation and biological evaluation of copper and silver complexes based on acetylsalicylic acid. Arch. Pharm. 2011, 344, 684–688. [Google Scholar] [CrossRef]
- Rubner, G.; Bensdorf, K.; Wellner, A.; Kircher, B.; Bergemann, S.; Ott, I.; Gust, R. Synthesis and biological activities of transition metal complexes based on acetylsalicylic acid as neo-anticancer agents. J. Med. Chem. 2010, 53, 6889–6898. [Google Scholar] [CrossRef]
- Ott, I.; Schmidt, K.; Kircher, B.; Schumacher, P.; Wiglenda, T.; Gust, R. Antitumor-active cobalt-alkyne complexes derived from acetylsalicylic acid: Studies on the mode of drug action. J. Med. Chem. 2005, 48, 622–629. [Google Scholar] [CrossRef]
- Hinz, B.; Brune, K. Cyclooxygenase-2—10 years later. J. Pharmacol. Exp. Ther. 2002, 300, 367–375. [Google Scholar] [CrossRef]
- Rouzer, C.A.; Marnett, L.J. Cyclooxygenases: Structural and functional insights. J. Lipid Res. 2009, 50, S29–S34. [Google Scholar] [CrossRef] [PubMed]
- Obermoser, V.; Baecker, D.; Schuster, C.; Braun, V.; Kircher, B.; Gust, R. Chlorinated cobalt alkyne complexes derived from acetylsalicylic acid as new specific antitumor agents. Dalton Trans. 2018, 47, 4341–4351. [Google Scholar] [CrossRef] [PubMed]
- Baecker, D.; Obermoser, V.; Kirchner, E.A.; Hupfauf, A.; Kircher, B.; Gust, R. Fluorination as tool to improve bioanalytical sensitivity and COX-2-selective antitumor activity of cobalt alkyne complexes. Dalton Trans. 2019, 48, 15856–15868. [Google Scholar] [CrossRef] [PubMed]
- Baecker, D.; Sagasser, J.; Karaman, S.; Hörmann, A.A.; Gust, R. Development of methylated cobalt-alkyne complexes with selective cytotoxicity against COX-positive cancer cell lines. Arch. Pharm. 2022, 355, e2100408. [Google Scholar] [CrossRef] [PubMed]
- Sheldrick, G.M. Crystal structure refinement with SHELXL. Acta Crystallogr. C Struct. Chem. 2015, 71, 3–8. [Google Scholar] [CrossRef]
- Sheldrick, G.M. SHELXL-2013/1, Program Suit for the Solution and Refinement of Crystal Structures; University of Göttingen: Göttingen, Germany, 2013. [Google Scholar]
- Obermoser, V.; Urban, M.E.; Murgueitio, M.S.; Wolber, G.; Kintscher, U.; Gust, R. New telmisartan-derived PPARγ agonists: Impact of the 3D-binding mode on the pharmacological profile. Eur. J. Med. Chem. 2016, 124, 138–152. [Google Scholar] [CrossRef]
- Love, R.A.; Koetzle, T.F.; Williams, G.J.B.; Andrews, L.C.; Bau, R. Neutron diffraction study of the structure of Zeise’s salt, KPtCl3(C2H4).H2O. Inorg. Chem. 1975, 14, 2653–2657. [Google Scholar] [CrossRef]
- Joy, J.R.; Orchin, M. Hydrolyse des Zeise-Salzes. Z. Anorg. Allg. Chem. 1960, 305, 236–240. [Google Scholar] [CrossRef]







| 4-F-ASA-Prop-PtCl3 | 5-CH3-ASA-Prop-PtCl3 | |||
|---|---|---|---|---|
| Empirical formula | C12H11Cl3FKO4Pt | C13H14Cl3KO4Pt | ||
| Formula weight | 578.75 | 574.80 | ||
| Temperature | 173(2) K | 173(2) K | ||
| Wavelength | 0.71073 Å | 0.71073 Å | ||
| Crystal system | Monoclinic | Monoclinic | ||
| Space group | P21/c (no. 14) | P21/c (no. 14) | ||
| Unit cell dimensions | a = 15.4348(9) Å | α = 90° | a = 11.1542(5) Å | α = 90° |
| b = 9.1776(5) Å | β = 98.677(2)° | b = 12.9486(4) Å | β = 106.491(1)° | |
| c = 11.7122(6) Å | γ = 90° | c = 16.2368(7) Å | γ = 90° | |
| Volume | 4 | 4 | ||
| Z | 2.344 mg/m³ | 1.917 mg/m³ | ||
| Density (calculated) | 9.319 mm−1 | 6.805 mm−1 | ||
| Absorption coefficient | 1088 | 1256 | ||
| F(000) | 0.060 × 0.060 × 0.010 mm³ | 0.160 × 0.050 × 0.030 mm³ | ||
| Crystal size | 2.590 to 23.999° | 2.046 to 25.250° | ||
| Theta range for data collection | −17 ≤ h ≤ 17, −10 ≤ k ≤ 10, −13 ≤ l ≤ 13 | −13 ≤ h ≤ 13, −15 ≤ k ≤ 15, −19 ≤ l ≤ 19 | ||
| Index ranges | 23154 | 36453 | ||
| Reflections collected | 2580 [R(int) = 0.0784] | 4075 [R(int) = 0.0354] | ||
| Independent reflections | 100.0% | 99.7% | ||
| Completeness to theta = 25.242° | Semi-empirical from equivalents | Semi-empirical from equivalents | ||
| Absorption correction | 0.888 and 0.747 | 0.745 and 0.598 | ||
| Max. and min. transmission | Full-matrix least-squares on F² | Full-matrix least-squares on F² | ||
| Refinement method | 2580/0/194 | 4075/3/287 | ||
| Data/restraints/parameters | 1.040 | 1.292 | ||
| Goodness-of-fit on F² | R1 = 0.0289, wR2 = 0.0527 | R1 = 0.0244, wR2 = 0.0505 | ||
| Final R indices [I > 2 sigma(I)] | R1 = 0.0479, wR2 = 0.0568 | R1 = 0.0284, wR2 = 0.0513 | ||
| R indices (all data) | n/a | n/a | ||
| Extinction coefficient | 0.706 and −0.758 eÅ−3 | 0.613 and −0.909 eÅ−3 | ||
| Largest diff. peak and hole | 4 | 4 | ||
| Compound | X = F | X = Cl | X = CH3 |
|---|---|---|---|
| [τ½/min] | [τ½/min] | [τ½/min] | |
| 3-X-ASA-Prop-PtCl3 | 30.5 ± 1.4 | 31.4 ± 1.7 | 35.1 ± 2.3 |
| 4-X-ASA-Prop-PtCl3 | 32.1 ± 1.1 | 32.7 ± 1.8 | 40.4 ± 1.1 |
| 5-X-ASA-Prop-PtCl3 | 27.6 ± 1.2 | 35.2 ± 0.9 | 36.7 ± 1.1 |
| 6-X-ASA-Prop-PtCl3 | 29.1 ± 0.3 | 39.5 ± 1.9 | 44.8 ± 1.1 |
| Compound | X = F | X = Cl | X = CH3 |
| [τ½/h] | [τ½/h] | [τ½/h] | |
| 3-X-ASA-But-PtCl3 | 51.9 ± 2.5 | 47.0 ± 14.0 | 45.9 ± 6.0 |
| 4-X-ASA-But-PtCl3 | 49.9 ± 4.5 | 39.5 ± 2.4 | 65.7 ± 7.2 |
| 5-X-ASA-But-PtCl3 | 48.1 ± 4.3 | 62.4 ± 1.6 | 52.4 ± 4.3 |
| 6-X-ASA-But-PtCl3 | 34.6 ± 1.5 | 51.8 ± 7.7 | 35.0 ± 3.7 |
| Compound | X = F | X = Cl | X = CH3 | |||
|---|---|---|---|---|---|---|
| IC50 [µM] | IC50 [µM] | IC50 [µM] | ||||
| HT-29 | MCF-7 | HT-29 | MCF-7 | HT-29 | MCF-7 | |
| 3-X-ASA-Prop-PtCl3 | 86.9 ± 3.9 | 85.2 ± 21.8 | 89.7 ± 25.7 | 56.3 ± 5.8 | 27.8 ± 3.4 | 71.4 ± 3.1 |
| 4-X-ASA-Prop-PtCl3 | 106.6 ± 3.1 | 150.1 ± 33.6 | 89.8 ± 23.9 | 70.7 ± 3.6 | 24.2 ± 2.4 | 62.9 ± 1.6 |
| 5-X-ASA-Prop-PtCl3 | 109.7 ± 21.7 | 106.4 ± 4.1 | 53.4 ± 0.7 | 52.8 ± 9.2 | 21.9 ± 4.6 | 70.2 ± 2.8 |
| 6-X-ASA-Prop-PtCl3 | 113.7 ± 7.1 | ≥200 | 38.4 ± 3.4 | 85.9 ± 9.2 | 27.4 ± 1.4 | 76.2 ± 1.4 |
| 3-X-ASA-But-PtCl3 | 69.4 ± 1.5 | 97.4 ± 17.6 | 43.0 ± 10.9 | 33.5 ± 1.9 | 18.0 ± 2.4 | 45.6 ± 7.2 |
| 4-X-ASA-But-PtCl3 | 89.2 ± 3.5 | 105.9 ± 0.4 | 35.2 ± 9.3 | 31.7 ± 8.7 | 27.1 ± 1.5 | 38.8 ± 6.5 |
| 5-X-ASA-But-PtCl3 | 75.8 ± 13.2 | 93.8 ± 10.8 | 49.1 ± 6.2 | 28.2 ± 4.5 | 16.2 ± 2.5 | 32.5 ± 4.4 |
| 6-X-ASA-But-PtCl3 | 99.7 ± 0.4 | 92.6 ± 23.8 | 57.5 ± 19.2 | 42.3 ± 8.3 | 20.2 ± 0.2 | 35.3 ± 0.9 |
Disclaimer/Publisher’s Note: The statements, opinions and data contained in all publications are solely those of the individual author(s) and contributor(s) and not of MDPI and/or the editor(s). MDPI and/or the editor(s) disclaim responsibility for any injury to people or property resulting from any ideas, methods, instructions or products referred to in the content. |
© 2023 by the authors. Licensee MDPI, Basel, Switzerland. This article is an open access article distributed under the terms and conditions of the Creative Commons Attribution (CC BY) license (https://creativecommons.org/licenses/by/4.0/).
Share and Cite
Weninger, A.; Sagasser, J.; Obermoser, V.; Egger, J.; Wisboeck, S.; Qiu, Q.; Ladstaetter, M.; Cucchiaro, A.; Wurst, K.; Baecker, D.; et al. Development of Zeise’s Salt Derivatives Bearing Substituted Acetylsalicylic Acid Substructures as Cytotoxic COX Inhibitors. Pharmaceutics 2023, 15, 1573. https://doi.org/10.3390/pharmaceutics15061573
Weninger A, Sagasser J, Obermoser V, Egger J, Wisboeck S, Qiu Q, Ladstaetter M, Cucchiaro A, Wurst K, Baecker D, et al. Development of Zeise’s Salt Derivatives Bearing Substituted Acetylsalicylic Acid Substructures as Cytotoxic COX Inhibitors. Pharmaceutics. 2023; 15(6):1573. https://doi.org/10.3390/pharmaceutics15061573
Chicago/Turabian StyleWeninger, Alexander, Jessica Sagasser, Victoria Obermoser, Josef Egger, Susanna Wisboeck, Qianqian Qiu, Miriam Ladstaetter, Andrea Cucchiaro, Klaus Wurst, Daniel Baecker, and et al. 2023. "Development of Zeise’s Salt Derivatives Bearing Substituted Acetylsalicylic Acid Substructures as Cytotoxic COX Inhibitors" Pharmaceutics 15, no. 6: 1573. https://doi.org/10.3390/pharmaceutics15061573
APA StyleWeninger, A., Sagasser, J., Obermoser, V., Egger, J., Wisboeck, S., Qiu, Q., Ladstaetter, M., Cucchiaro, A., Wurst, K., Baecker, D., & Gust, R. (2023). Development of Zeise’s Salt Derivatives Bearing Substituted Acetylsalicylic Acid Substructures as Cytotoxic COX Inhibitors. Pharmaceutics, 15(6), 1573. https://doi.org/10.3390/pharmaceutics15061573

