New Nanostructured Materials Based on Mesoporous Silica Loaded with Ru(II)/Ru(III) Complexes with Anticancer and Antimicrobial Properties
Abstract
1. Introduction
2. Materials and Methods
2.1. Materials
2.2. Characterization Methods
2.3. Synthesis of the Materials
2.3.1. Synthesis of Ru(III) Complexes
- RuSalpnol: IR data (KBr, cm−1): 3400 m, 3053 m, 2976 s, 2936 s, 2738 m, 2677 s, 2603 sh, 2492 s, 1600 vs, 1521 s, 1480 s, 1434 vs, 1398 s, 1306 m, 1187 w, 1149 w, 1093 s, 1036 s, 902 w, 849 w, 805 w, 752 s, 696 vs, 615 w, 524 vs, 460 w. Elemental chemical analysis (%) for C35H33N2O3ClPRu: C, 60.29; H, 4.73; N, 4.01 (calcd); C, 59.19; H, 3.98; N, 4.96 (found).
- RuSalfen: IR data (KBr, cm−1): 3054 m, 2976 m, 2939 m, 2738 m, 2675 m, 2603 m, 2498 m, 1600 vs, 1567 s, 1518 vs, 1481 s, 1456 s, 1432 vs, 1397 vw, 1314 s, 1182 s, 1146 s, 1127 vw, 1092 s, 1035 m, 997 w, 924 m, 850 s, 799 vs, 744 vs, 695 vs, 616 w, 558 w, 539 s, 524 vs, 463 w. Elemental chemical analysis (%) for C38H29N2O2ClPRu: C, 63.99; H, 4.06; N, 3.92 (calcd); C, 62.88; H, 3.79; N, 4.28 (found).
- RuSaldiam: IR data (KBr, cm−1): 3417 m, 3055 m, 2980 m, 2933 m, 2742 w, 2676 m, 2603 sh, 2496 m, 1597 vs, 1527 s, 1481 m, 1461 w, 1433 vs, 1397 w, 1318 m, 1302 s, 1188 s, 1148 m, 1093 m, 1034 w, 997 w, 899 m, 853 m, 806 w, 753 s, 695 vs, 608 w, 525 m, 458 w. Elemental chemical analysis (%) for C38H37N2O3ClPRu: C, 61.90; H, 5.02; N, 3.80 (calcd); C, 60.85; H, 4.90; N, 4.29 (found).
2.3.2. Synthesis of Ru(II) Complexes
- RuSalampy: IR data (KBr, cm−1): 3392 m, 3199 w, 3050 m, 2977 w, 2944 w, 2743 vw, 2669 m, 2496 m, 2359 m, 1597 s, 1541 m, 1505 m, 1480 s, 1433 vs, 1397 sh, 1342 m, 1278 m, 1187 m, 1156 w, 1124 w, 1091 m, 1058 w, 1039 m, 1010 w, 850 w, 748 s, 695 vs, 618 w, 530 s, 515 vs, 458 w. Elemental chemical analysis (%) for C31H26N2OClPRu: C, 61.03; H, 4.26; N, 4.59 (calcd); C, 60.73; H, 5.01; N, 4.12 (found).
- RuSalaepy: IR data (KBr, cm−1): 3399 m, 3052 m, 2980 w, 2941 w, 2676 w, 2484 w, 2350 w, 1595 vs, 1536 s, 1479 vs, 1434 vs, 1287 s, 1185 w, 1154 w, 1090 m, 1028 w, 997 w, 901 w, 750 m, 696 vs, 529 vs, 514 s, 455 w. Elemental chemical analysis(%) for C32H28N2OClPRu: C, 61.70; H, 4.42; N, 4.42 (calcd); C, 61.22; H, 4.09; N, 3.98 (found).
2.3.3. Synthesis of SBA–15 and SBA15–NH2
2.3.4. Immobilization of Ruthenium Complexes on SBA–15
2.4. Biological Evaluation
2.4.1. Antibacterial Activity Assay
2.4.2. Cytotoxicity Assay
2.4.3. Statistical Analysis
3. Results and Discussion
3.1. Characterization of the Ruthenium Complexes
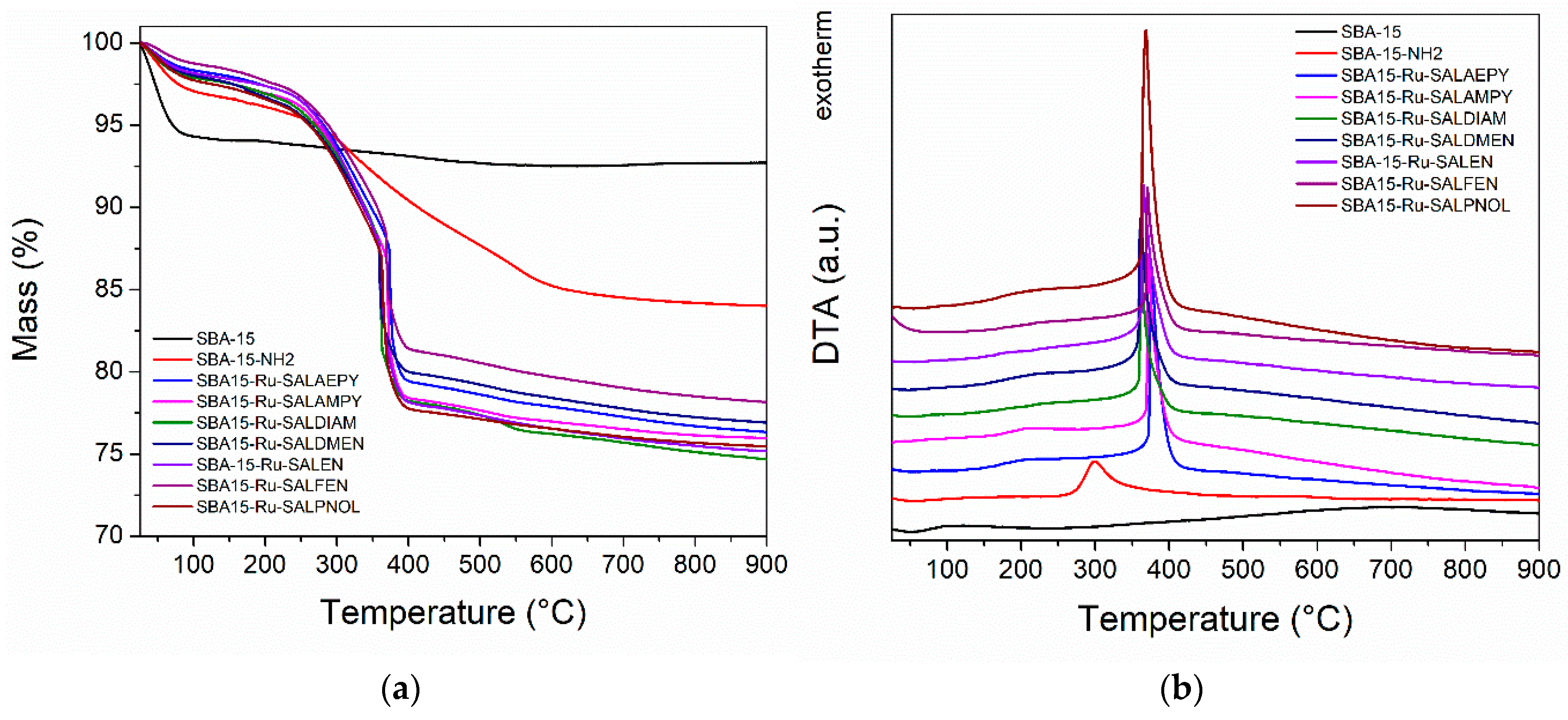
3.2. Characterization of SBA–15 Functionalized with Ruthenium Complexes
3.3. Biological Evaluation
3.3.1. Antimicrobial Activity
3.3.2. Cytotoxicity Evaluation
4. Conclusions
Supplementary Materials
Author Contributions
Funding
Institutional Review Board Statement
Informed Consent Statement
Data Availability Statement
Acknowledgments
Conflicts of Interest
References
- Ellahioui, Y.; Patra, M.; Mari, C.; Kaabi, R.; Karges, J.; Gasser, G.; Gómez-Ruiz, S. Mesoporous Silica Nanoparticles Functionalised with a Photoactive Ruthenium(ii) Complex: Exploring the Formulation of a Metal-Based Photodynamic Therapy Photosensitiser. Dalton Trans. 2019, 48, 5940–5951. [Google Scholar] [CrossRef] [PubMed]
- Lenis-Rojas, O.A.; Cabral, R.; Carvalho, B.; Friães, S.; Roma-Rodrigues, C.; Fernández, J.A.A.; Vila, S.F.; Sanchez, L.; Gomes, C.S.B.; Fernandes, A.R.; et al. Triazole-Based Half-Sandwich Ruthenium(II) Compounds: From In Vitro Antiproliferative Potential to In Vivo Toxicity Evaluation. Inorg. Chem. 2021, 60, 8011–8026. [Google Scholar] [CrossRef]
- Lazić, D.; Scheurer, A.; Ćoćić, D.; Milovanović, J.; Arsenijević, A.; Stojanović, B.; Arsenijević, N.; Milovanović, M.; Rilak Simović, A. A New Bis-Pyrazolylpyridine Ruthenium (iii) Complex as a Potential Anticancer Drug: In Vitro and in Vivo Activity in Murine Colon Cancer. Dalton Trans. 2021, 50, 7686–7704. [Google Scholar] [CrossRef]
- Zhang, C.; Guo, X.; Da, X.; Yao, Y.; Xiao, H.; Wang, X.; Zhou, Q. UCNP@BSA@Ru Nanoparticles with Tumor-Specific and NIR-Triggered Efficient PACT Activity in Vivo. Dalton Trans. 2021, 50, 7715–7724. [Google Scholar] [CrossRef]
- Liang, L.; Wu, X.; Shi, C.; Wen, H.; Wu, S.; Chen, J.; Huang, C.; Wang, Y.; Liu, Y. Synthesis and Characterization of Polypyridine Ruthenium(II) Complexes and Anticancer Efficacy Studies in Vivo and in Vitro. J. Inorg. Biochem. 2022, 236, 111963. [Google Scholar] [CrossRef] [PubMed]
- Hartinger, C.G.; Jakupec, M.A.; Zorbas-Seifried, S.; Groessl, M.; Egger, A.; Berger, W.; Zorbas, H.; Dyson, P.J.; Keppler, B.K. KP1019, A New Redox-Active Anticancer Agent—Preclinical Development and Results of a Clinical Phase I Study in Tumor Patients. Chem. Biodivers. 2008, 5, 2140–2155. [Google Scholar] [CrossRef]
- Bergamo, A.; Sava, G. Ruthenium Anticancer Compounds: Myths and Realities of the Emerging Metal-Based Drugs. Dalton Trans. 2011, 40, 7817. [Google Scholar] [CrossRef]
- Trondl, R.; Heffeter, P.; Kowol, C.R.; Jakupec, M.A.; Berger, W.; Keppler, B.K. NKP-1339, the First Ruthenium-Based Anticancer Drug on the Edge to Clinical Application. Chem. Sci. 2014, 5, 2925–2932. [Google Scholar] [CrossRef]
- Li, L.; Wong, Y.-S.; Chen, T.; Fan, C.; Zheng, W. Ruthenium Complexes Containing Bis-Benzimidazole Derivatives as a New Class of Apoptosis Inducers. Dalton Trans. 2012, 41, 1138–1141. [Google Scholar] [CrossRef]
- Conti, L.; Macedi, E.; Giorgi, C.; Valtancoli, B.; Fusi, V. Combination of Light and Ru(II) Polypyridyl Complexes: Recent Advances in the Development of New Anticancer Drugs. Coord. Chem. Rev. 2022, 469, 214656. [Google Scholar] [CrossRef]
- De Sousa, A.P.; Gondim, A.C.S.; Sousa, E.H.S.; De Vasconcelos, M.A.; Teixeira, E.H.; Bezerra, B.P.; Ayala, A.P.; Martins, P.H.R.; Lopes, L.G.D.F.; Holanda, A.K.M. An Unusual Bidentate Methionine Ruthenium(II) Complex: Photo-Uncaging and Antimicrobial Activity. J. Biol. Inorg. Chem. 2020, 25, 419–428. [Google Scholar] [CrossRef] [PubMed]
- Munteanu, A.-C.; Uivarosi, V. Ruthenium Complexes in the Fight against Pathogenic Microorganisms. An Extensive Review. Pharmaceutics 2021, 13, 874. [Google Scholar] [CrossRef] [PubMed]
- Martínez-Carmona, M.; Ho, Q.P.; Morand, J.; García, A.; Ortega, E.; Erthal, L.C.S.; Ruiz-Hernandez, E.; Santana, M.D.; Ruiz, J.; Vallet-Regí, M.; et al. Amino-Functionalized Mesoporous Silica Nanoparticle-Encapsulated Octahedral Organoruthenium Complex as an Efficient Platform for Combatting Cancer. Inorg. Chem. 2020, 59, 10275–10284. [Google Scholar] [CrossRef]
- Wani, W.A.; Prashar, S.; Shreaz, S.; Gómez-Ruiz, S. Nanostructured Materials Functionalized with Metal Complexes: In Search of Alternatives for Administering Anticancer Metallodrugs. Coord. Chem. Rev. 2016, 312, 67–98. [Google Scholar] [CrossRef]
- Senapati, S.; Mahanta, A.K.; Kumar, S.; Maiti, P. Controlled Drug Delivery Vehicles for Cancer Treatment and Their Performance. Signal Transduct. Target Ther. 2018, 3, 7. [Google Scholar] [CrossRef] [PubMed]
- Vallet-Regi, M.; Rámila, A.; Del Real, R.P.; Pérez-Pariente, J. A New Property of MCM-41: Drug Delivery System. Chem. Mater. 2001, 13, 308–311. [Google Scholar] [CrossRef]
- Qu, F.; Zhu, G.; Huang, S.; Li, S.; Sun, J.; Zhang, D.; Qiu, S. Controlled Release of Captopril by Regulating the Pore Size and Morphology of Ordered Mesoporous Silica. Microporous Mesoporous Mater. 2006, 92, 1–9. [Google Scholar] [CrossRef]
- Doadrio, J.C.; Sousa, E.M.B.; Izquierdo-Barba, I.; Doadrio, A.L.; Perez-Pariente, J.; Vallet-Regí, M. Functionalization of Mesoporous Materials with Long Alkyl Chains as a Strategy for Controlling Drug Delivery Pattern. J. Mater. Chem. 2006, 16, 462–466. [Google Scholar] [CrossRef]
- Lai, C.-Y.; Trewyn, B.G.; Jeftinija, D.M.; Jeftinija, K.; Xu, S.; Jeftinija, S.; Lin, V.S.-Y. A Mesoporous Silica Nanosphere-Based Carrier System with Chemically Removable CdS Nanoparticle Caps for Stimuli-Responsive Controlled Release of Neurotransmitters and Drug Molecules. J. Am. Chem. Soc. 2003, 125, 4451–4459. [Google Scholar] [CrossRef]
- Pérez-Quintanilla, D.; Gómez-Ruiz, S.; Žižak, Z.; Sierra, I.; Prashar, S.; del Hierro, I.; Fajardo, M.; Juranić, Z.D.; Kaluđerović, G.N. A New Generation of Anticancer Drugs: Mesoporous Materials Modified with Titanocene Complexes. Chem. Eur. J. 2009, 15, 5588–5597. [Google Scholar] [CrossRef]
- Rojas, S.; Carmona, F.J.; Barea, E.; Maldonado, C.R. Inorganic Mesoporous Silicas as Vehicles of Two Novel Anthracene-Based Ruthenium Metalloarenes. J. Inorg. Biochem. 2017, 166, 87–93. [Google Scholar] [CrossRef]
- Edeler, D.; Arlt, S.; Petković, V.; Ludwig, G.; Drača, D.; Maksimović-Ivanić, D.; Mijatović, S.; Kaluđerović, G.N. Delivery of [Ru(H6-p-Cymene)Cl2{Ph2P(CH2)3SPh-ΚP}] Using Unfunctionalized and Mercapto Functionalized SBA-15 Mesoporous Silica: Preparation, Characterization and in Vitro Study. J. Inorg. Biochem. 2018, 180, 155–162. [Google Scholar] [CrossRef]
- Wen, J.; Yan, H.; Xia, P.; Xu, Y.; Li, H.; Sun, S. Mesoporous Silica Nanoparticles-Assisted Ruthenium(II) Complexes for Live Cell Staining. Sci. China Chem. 2017, 60, 799–805. [Google Scholar] [CrossRef]
- Lv, G.; Qiu, L.; Liu, G.; Wang, W.; Li, K.; Zhao, X.; Lin, J. PH Sensitive Chitosan-Mesoporous Silica Nanoparticles for Targeted Delivery of a Ruthenium Complex with Enhanced Anticancer Effects. Dalton Trans. 2016, 45, 18147–18155. [Google Scholar] [CrossRef] [PubMed]
- Frasconi, M.; Liu, Z.; Lei, J.; Wu, Y.; Strekalova, E.; Malin, D.; Ambrogio, M.W.; Chen, X.; Botros, Y.Y.; Cryns, V.L.; et al. Photoexpulsion of Surface-Grafted Ruthenium Complexes and Subsequent Release of Cytotoxic Cargos to Cancer Cells from Mesoporous Silica Nanoparticles. J. Am. Chem. Soc. 2013, 135, 11603–11613. [Google Scholar] [CrossRef]
- He, S.; Krippes, K.; Ritz, S.; Chen, Z.; Best, A.; Butt, H.-J.; Mailänder, V.; Wu, S. Ultralow-Intensity near-Infrared Light Induces Drug Delivery by Upconverting Nanoparticles. Chem. Commun. 2015, 51, 431–434. [Google Scholar] [CrossRef] [PubMed]
- González, B.; Colilla, M.; Díez, J.; Pedraza, D.; Guembe, M.; Izquierdo-Barba, I.; Vallet-Regí, M. Mesoporous Silica Nanoparticles Decorated with Polycationic Dendrimers for Infection Treatment. Acta Biomater. 2018, 68, 261–271. [Google Scholar] [CrossRef]
- Michailidis, M.; Sorzabal-Bellido, I.; Adamidou, E.A.; Diaz-Fernandez, Y.A.; Aveyard, J.; Wengier, R.; Grigoriev, D.; Raval, R.; Benayahu, Y.; D’Sa, R.A.; et al. Modified Mesoporous Silica Nanoparticles with a Dual Synergetic Antibacterial Effect. ACS Appl. Mater. Interfaces 2017, 9, 38364–38372. [Google Scholar] [CrossRef]
- Díaz-García, D.; Ardiles, P.; Prashar, S.; Rodríguez-Diéguez, A.; Páez, P.; Gómez-Ruiz, S. Preparation and Study of the Antibacterial Applications and Oxidative Stress Induction of Copper Maleamate-Functionalized Mesoporous Silica Nanoparticles. Pharmaceutics 2019, 11, 30. [Google Scholar] [CrossRef]
- He, L.; Huang, Y.; Zhu, H.; Pang, G.; Zheng, W.; Wong, Y.-S.; Chen, T. Cancer-Targeted Monodisperse Mesoporous Silica Nanoparticles as Carrier of Ruthenium Polypyridyl Complexes to Enhance Theranostic Effects. Adv. Funct. Mater. 2014, 24, 2754–2763. [Google Scholar] [CrossRef]
- Sun, D.; Wang, Z.; Zhang, P.; Yin, C.; Wang, J.; Sun, Y.; Chen, Y.; Wang, W.; Sun, B.; Fan, C. Ruthenium-Loaded Mesoporous Silica as Tumor Microenvironment-Response Nano-Fenton Reactors for Precise Cancer Therapy. J. Nanobiotechnol. 2021, 19, 98. [Google Scholar] [CrossRef] [PubMed]
- Harun, S.N.; Ahmad, H.; Lim, H.N.; Chia, S.L.; Gill, M.R. Synthesis and Optimization of Mesoporous Silica Nanoparticles for Ruthenium Polypyridyl Drug Delivery. Pharmaceutics 2021, 13, 150. [Google Scholar] [CrossRef] [PubMed]
- Marinescu, G.; Culita, D.C.; Romanitan, C.; Somacescu, S.; Ene, C.D.; Marinescu, V.; Negreanu, D.G.; Maxim, C.; Popa, M.; Marutescu, L.; et al. Novel Hybrid Materials Based on Heteroleptic Ru(III) Complexes Immobilized on SBA-15 Mesoporous Silica as Highly Potent Antimicrobial and Cytotoxic Agents. Appl. Surf. Sci. 2020, 520, 146379. [Google Scholar] [CrossRef]
- Marinescu, G.; Madalan, A.M.; Andruh, M. New Heterometallic Coordination Polymers Based on Zinc(II) Complexes with Schiff-Base Ligands and Dicyanometallates: Synthesis, Crystal Structures, and Luminescent Properties. J. Coord. Chem. 2015, 68, 479–490. [Google Scholar] [CrossRef]
- Marinescu, G.; Madalan, A.M.; Tiseanu, C.; Andruh, M. New D10 Heterometallic Coordination Polymers Based on Compartmental Schiff-Base Ligands. Synthesis, Structure and Luminescence. Polyhedron 2011, 30, 1070–1075. [Google Scholar] [CrossRef]
- Sarwar, M.; Madalan, A.M.; Tiseanu, C.; Novitchi, G.; Maxim, C.; Marinescu, G.; Luneau, D.; Andruh, M. A New Synthetic Route towards Binuclear 3d–4f Complexes, Using Non-Compartmental Ligands Derived from o-Vanillin. Syntheses, Crystal Structures, Magnetic and Luminescent Properties. New J. Chem. 2013, 37, 2280. [Google Scholar] [CrossRef]
- Stephenson, T.A.; Wilkinson, G. New Complexes of Ruthenium (II) and (III) with Triphenylphosphine, Triphenylarsine, Trichlorostannate, Pyridine and Other Ligands. J. Inorg. Nucl. Chem. 1966, 28, 945–956. [Google Scholar] [CrossRef]
- Murray, K.; Van, D.B.A.; West, B. Ruthenium Complexes with a Tetradentate Salicylaldimine Schiff Base. Aust. J. Chem. 1978, 31, 203. [Google Scholar] [CrossRef]
- Zhao, D.; Huo, Q.; Feng, J.; Chmelka, B.F.; Stucky, G.D. Nonionic Triblock and Star Diblock Copolymer and Oligomeric Surfactant Syntheses of Highly Ordered, Hydrothermally Stable, Mesoporous Silica Structures. J. Am. Chem. Soc. 1998, 120, 6024–6036. [Google Scholar] [CrossRef]
- Tang, L.-H.; Wu, F.; Lin, H.; Jia, A.-Q.; Zhang, Q.-F. Synthesis, Structure and Catalytic Alcohol Oxidation by Ruthenium(III) Supported by Schiff Base and Triphenylphosphine Ligands. Inorg. Chim. Acta 2018, 477, 212–218. [Google Scholar] [CrossRef]
- Venkatachalam, G.; Ramesh, R. Ruthenium(III) Schiff Base Complexes of [ONNO]-Type Mediated Transfer Hydrogenation of Ketones. Inorg. Chem. Commun. 2005, 8, 1009–1013. [Google Scholar] [CrossRef]
- Ramesh, R. Spectral and Catalytic Studies of Ruthenium(III) Schiff Base Complexes. Inorg. Chem. Commun. 2004, 7, 274–276. [Google Scholar] [CrossRef]
- Bai, L.-X.; Liu, X.; Wang, W.-Z.; Liao, D.-Z.; Wang, Q.-L. A Novel Ruthenium(III) and Lithium Complex: Synthesis, Crystal Structure, and Magnetic Properties. Z. Anorg. Allg. Chem. 2004, 630, 1143–1146. [Google Scholar] [CrossRef]
- Das, A.K.; Peng, S.-M.; Bhattacharya, S. Ruthenium-Mediated Reduction of Oximes to Imines. Synthesis, Characterization and Redox Properties of Imine Complexes of Ruthenium. J. Chem. Soc. Dalton Trans. 2000, 181–184. [Google Scholar] [CrossRef]
- Garza-Ortiz, A.; Uma Maheswari, P.; Siegler, M.; Spek, A.L.; Reedijk, J. A New Family of Ru(Ii) Complexes with a Tridentate Pyridine Schiff-Base Ligand and Bidentate Co-Ligands: Synthesis, Characterization, Structure and in Vitro Cytotoxicity Studies. New J. Chem. 2013, 37, 3450. [Google Scholar] [CrossRef]
- Nairi, V.; Magnolia, S.; Piludu, M.; Nieddu, M.; Caria, C.A.; Sogos, V.; Vallet-Regì, M.; Monduzzi, M.; Salis, A. Mesoporous Silica Nanoparticles Functionalized with Hyaluronic Acid. Effect of the Biopolymer Chain Length on Cell Internalization. Colloids Surf. Biointerfaces 2018, 168, 50–59. [Google Scholar] [CrossRef] [PubMed]
- Park, S.S.; Jung, M.H.; Lee, Y.-S.; Bae, J.-H.; Kim, S.-H.; Ha, C.-S. Functionalised Mesoporous Silica Nanoparticles with Excellent Cytotoxicity against Various Cancer Cells for PH-Responsive and Controlled Drug Delivery. Mater. Des. 2019, 184, 108187. [Google Scholar] [CrossRef]
- Thommes, M.; Kaneko, K.; Neimark, A.V.; Olivier, J.P.; Rodriguez-Reinoso, F.; Rouquerol, J.; Sing, K.S.W. Physisorption of Gases, with Special Reference to the Evaluation of Surface Area and Pore Size Distribution (IUPAC Technical Report). Pure Appl. Chem. 2015, 87, 1051–1069. [Google Scholar] [CrossRef]
- AbouAitah, K.; Swiderska-Sroda, A.; Farghali, A.A.; Wojnarowicz, J.; Stefanek, A.; Gierlotka, S.; Opalinska, A.; Allayeh, A.K.; Ciach, T.; Lojkowski, W. Folic Acid-Conjugated Mesoporous Silica Particles as Nanocarriers of Natural Prodrugs for Cancer Targeting and Antioxidant Action. Oncotarget 2018, 9, 26466–26490. [Google Scholar] [CrossRef]
- Lu, Y.; Zhu, D.; Le, Q.; Wang, Y.; Wang, W. Ruthenium-Based Antitumor Drugs and Delivery Systems from Monotherapy to Combination Therapy. Nanoscale 2022, 14, 16339–16375. [Google Scholar] [CrossRef]
- Mahmud, K.M.; Niloy, M.S.; Shakil, M.S.; Islam, M.A. Ruthenium Complexes: An Alternative to Platinum Drugs in Colorectal Cancer Treatment. Pharmaceutics 2021, 13, 1295. [Google Scholar] [CrossRef]
- Santos, P.; Murtinho, D.; Pires Lourenço, A.S.; Araújo, J.; Martins, R.; Abrantes, A.M.; Botelho, M.F.; Serra, M.E.S. PO-416 Cytotoxicity of Ru (II) and Ru (III) Salen Complexes against Breast and Colorectal Cancer Cell Lines. ESMO Open 2018, 3, A186. [Google Scholar] [CrossRef]
- Fennell, D.A.; Summers, Y.; Cadranel, J.; Benepal, T.; Christoph, D.C.; Lal, R.; Das, M.; Maxwell, F.; Visseren-Grul, C.; Ferry, D. Cisplatin in the modern era: The backbone of first-line chemotherapy for non-small cell lung cancer. Cancer Treat. Rev. 2016, 44, 42–50. [Google Scholar] [CrossRef] [PubMed]
- Sever, B.; Altıntop, M.D.; Akalın Çiftçi, G. In vitro and in silico assessment of antiproliferative activity of new acetamides bearing 1,3,4-oxadiazole and pyrimidine cores via COX inhibition. J. Res. Pharm. 2020, 24, 656–669. [Google Scholar] [CrossRef]
- Li, C.-Q.; Pang, B.; Kiziltepe, T.; Trudel, L.J.; Engelward, B.P.; Dedon, P.C.; Wogan, G.N. Threshold Effects of Nitric Oxide-Induced Toxicity and Cellular Responses in Wild-Type and P53-Null Human Lymphoblastoid Cells. Chem. Res. Toxicol. 2006, 19, 399–406. [Google Scholar] [CrossRef]

















| Sample | SBET (m2g−1) | Pore Volume (cm3g−1) | Average Pore Size (nm) | Zeta Potential (mV) |
|---|---|---|---|---|
| SBA−15 | 778.8 | 1.177 | 6.04 | −24.7 |
| SBA15−NH2 | 417.5 | 0.700 | 5.37 | +24.4 |
| SBA15−RuSaldiam | 292.0 | 0.508 | 5.35 | +28.6 |
| SBA15−RuSalfen | 324.1 | 0.562 | 5.39 | +32.9 |
| SBA15−RuSalpnol | 305.2 | 0.485 | 4.98 | +30.8 |
| SBA15−RuSalen | 284.7 | 0.484 | 5.22 | +29.1 |
| SBA15−RuSaldmen | 321.7 | 0.524 | 5.10 | +42.7 |
| SBA15−RuSalampy | 297.8 | 0.497 | 5.26 | +35.4 |
| SBA15−RuSalaepy | 309.1 | 0.532 | 5.35 | +30.2 |
| Sample | Silica (% wt.) | Silanol (% wt.) | Aminopropyl (% wt.) | Ligand (% wt.) |
|---|---|---|---|---|
| SBA−15 | 98.3 | 1.7 | ||
| SBA15−NH2 | 86.8 | 1.5 | 11.7 | |
| SBA15−RuSalaepy | 78.1 | 1.3 | 10.5 | 10.1 |
| SBA15−RuSalampy | 77.8 | 1.3 | 10.5 | 10.4 |
| SBA15−RuSaldmen | 78.9 | 1.3 | 10.6 | 9.2 |
| SBA15−RuSaldiam | 76.8 | 1.3 | 10.3 | 11.6 |
| SBA15−RuSalen | 77.0 | 1.3 | 10.4 | 11.4 |
| SBA15−RuSalfen | 79.6 | 1.3 | 10.7 | 8.4 |
| SBA15−RuSalpnol | 77.5 | 1.3 | 10.4 | 10.7 |
| Sample | Strain | |||
|---|---|---|---|---|
| S. aureus | E. faecalis | E. coli | P. aeruginosa | |
| SBA−15 | - | - | - | - |
| SBA15−RuSaldiam | 10 | 10 | 4 | - |
| SBA15−RuSalpnol | 7 | 6 | 4.5 | - |
| SBA15−RuSalfen | 6 | 6 | 5 | - |
| SBA15−RuSalen | 10.5 | 10 | 5 | - |
| SBA15−RuSaldmen | 6 | 5.5 | 5 | - |
| SBA15−RuSalampy | 7 | 7 | 5 | - |
| SBA15−RuSalaepy | 11 | 16 | 5 | - |
| Ciprofloxacin | 25 | 24 | 30 | 27 |
| Sample | Strain | |||
|---|---|---|---|---|
| S. aureus | E. faecalis | E. coli | P. aeruginosa | |
| SBA−15 | 625 | 234 | 625 | 625 |
| SBA15−RuSaldiam | 9 | 2 | 625 | 468.5 |
| SBA15−RuSalpnol | 117 | 39 | 625 | 625 |
| SBA15−RuSalfen | 39 | 117 | 1250 | 625 |
| SBA15−RuSalen | 3 | 19 | 625 | 625 |
| SBA15−RuSaldmen | 156 | 117 | 625 | 625 |
| SBA15−RuSalampy | 156 | 78 | 937,5 | 625 |
| SBA15−RuSalaepy | 78 | 19 | 625 | 625 |
| Ciprofloxacin | 0.15 | 0.31 | 0.009 | 0.15 |
| Sample | Strain | |||
|---|---|---|---|---|
| S. aureus | E. faecalis | E. coli | P. aeruginosa | |
| SBA−15 | 2500 | 625 | 937.5 | 625 |
| SBA15−RuSaldiam | 39 | 117 | 625 | 937.5 |
| SBA15−RuSalpnol | 468.5 | 1250 | 625 | 313.12 |
| SBA15−RuSalfen | 58.5 | 625 | 625 | 625 |
| SBA15−RuSalen | 234 | 234 | 625 | 625 |
| SBA15−RuSaldmen | 468.5 | 937.5 | 625 | 625 |
| SBA15−RuSalampy | 625 | 937.5 | 937.5 | 625 |
| SBA15−RuSalaepy | 234 | 937.5 | 625 | 625 |
| Ciprofloxacin | 0.15 | 0.31 | 0.009 | 0.15 |
| Sample | IC50 (μg/mL) | |||
|---|---|---|---|---|
| A549 Lung Tumor Cells | MRC-5 Lung Non-Tumoral Cells | |||
| 24 h | 72 h | 24 h | 72 h | |
| SBA−15 | 872.3 | 244.2 | 2386.1 | 916.9 |
| SBA15−RuSaldiam | 151.0 | 112.6 | 144.1 | 134.9 |
| SBA15−RuSalpnol | 118.9 | 56.0 | 218.3 | 76.8 |
| SBA15−RuSalfen | 126.1 | 48.1 | 92.4 | 68.5 |
| SBA15−RuSalen | 62.6 | 23.9 | 53.0 | 57.8 |
| SBA15−RuSaldmen | 682.0 | 141.1 | 625.3 | 323.3 |
| SBA15−RuSalampy | 303.6 | 93.3 | 283.6 | 315.4 |
| SBA15−RuSalaepy | 219.0 | 50.3 | 284.0 | 126.4 |
Disclaimer/Publisher’s Note: The statements, opinions and data contained in all publications are solely those of the individual author(s) and contributor(s) and not of MDPI and/or the editor(s). MDPI and/or the editor(s) disclaim responsibility for any injury to people or property resulting from any ideas, methods, instructions or products referred to in the content. |
© 2023 by the authors. Licensee MDPI, Basel, Switzerland. This article is an open access article distributed under the terms and conditions of the Creative Commons Attribution (CC BY) license (https://creativecommons.org/licenses/by/4.0/).
Share and Cite
Marinescu, G.; Culita, D.C.; Mocanu, T.; Mitran, R.-A.; Petrescu, S.; Stan, M.S.; Chifiriuc, M.C.; Popa, M. New Nanostructured Materials Based on Mesoporous Silica Loaded with Ru(II)/Ru(III) Complexes with Anticancer and Antimicrobial Properties. Pharmaceutics 2023, 15, 1458. https://doi.org/10.3390/pharmaceutics15051458
Marinescu G, Culita DC, Mocanu T, Mitran R-A, Petrescu S, Stan MS, Chifiriuc MC, Popa M. New Nanostructured Materials Based on Mesoporous Silica Loaded with Ru(II)/Ru(III) Complexes with Anticancer and Antimicrobial Properties. Pharmaceutics. 2023; 15(5):1458. https://doi.org/10.3390/pharmaceutics15051458
Chicago/Turabian StyleMarinescu, Gabriela, Daniela C. Culita, Teodora Mocanu, Raul-Augustin Mitran, Simona Petrescu, Miruna S. Stan, Mariana C. Chifiriuc, and Marcela Popa. 2023. "New Nanostructured Materials Based on Mesoporous Silica Loaded with Ru(II)/Ru(III) Complexes with Anticancer and Antimicrobial Properties" Pharmaceutics 15, no. 5: 1458. https://doi.org/10.3390/pharmaceutics15051458
APA StyleMarinescu, G., Culita, D. C., Mocanu, T., Mitran, R.-A., Petrescu, S., Stan, M. S., Chifiriuc, M. C., & Popa, M. (2023). New Nanostructured Materials Based on Mesoporous Silica Loaded with Ru(II)/Ru(III) Complexes with Anticancer and Antimicrobial Properties. Pharmaceutics, 15(5), 1458. https://doi.org/10.3390/pharmaceutics15051458

