Characterization and Molecular Modelling of Non-Antibiotic Nanohybrids for Wound Healing Purposes
Abstract
1. Introduction
2. Materials and Methods
2.1. Materials
2.2. Methods
2.2.1. Preparation of Drug–Clay Nanohybrids
Intercalation Solution Technique
Spray Drying
2.2.2. Characterization of the Nanohybrids
Solid-State Characterization Techniques
Zeta Potential Measurements
2.2.3. Molecular Modeling Methodology and Models
Models
Molecular Modeling Methodology
2.2.4. In Vitro Biocompatibility and Cell Migration Properties Measurements
2.2.5. Time-Kill Studies
3. Results and Discussion
3.1. Characterization of the Nanohybrids
3.1.1. Solid-State Characterizations
3.1.2. Zeta Potential Measurements
3.2. Molecular Modeling
3.2.1. CHX Adsorption on the Internal and External Surfaces of the Halloysite
3.2.2. CHX Adsorption in the Interlayer Space of the Bentonite
3.3. In Vitro Biocompatibility and Cell Migration Properties Measurements
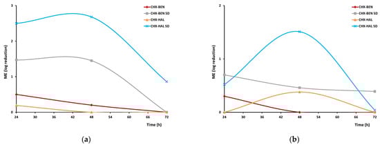
3.4. Time-Kill Studies
4. Conclusions
Author Contributions
Funding
Conflicts of Interest
References
- Greaves, N.S.; Ashcroft, K.J.; Baguneid, M.; Bayat, A. Current understanding of molecular and cellular mechanisms in fibroplasia and angiogenesis during acute wound healing. J. Dermatol. Sci. 2013, 72, 206–217. [Google Scholar] [CrossRef] [PubMed]
- Malik, A.; Mohammad, Z.; Ahmad, J. The diabetic foot infections: Biofilms and antimicrobial resistance. Diabetes Metab. Syndr. 2013, 7, 101–107. [Google Scholar] [CrossRef] [PubMed]
- Pîrvănescu, H.; Bălăşoiu, M.; Ciurea, M.E.; Bălăşoiu, A.T.; Mănescu, R. Wound infections with multi-drug resistant bacteria. Chirurgia 2014, 109, 73–79. [Google Scholar] [PubMed]
- Wijesooriya, L.I.; Waidyathilake, D. Antimicrobial properties of nonantibiotic agents for effective treatment of localized wound infections: A minireview. Int. J. Low. Extrem. Wounds 2022, 21, 207–218. [Google Scholar] [CrossRef]
- Brown, J.L.; Townsend, E.; Short, R.D.; Williams, C.; Woodall, C.; Nile, C.J.; Ramage, G. Assessing the inflammatory response to in vitro polymicrobial wound biofilms in a skin epidermis model. NPJ Biofilms Microbiomes 2022, 8, 19. [Google Scholar] [CrossRef]
- Mangindaan, D.; Kuo, W.-H.; Wang, M.-J. Two-dimensional amine-functionality gradient by plasma polymerization. Biochem. Eng. J. 2013, 78, 198–204. [Google Scholar] [CrossRef]
- Mangindaan, D.; Kuo, W.-H.; Kurniawan, H.; Wang, M.-J. Creation of biofunctionalized plasma polymerized allylamine gradients. J. Polym. Sci. B Polym. Phys. 2013, 51, 1361–1367. [Google Scholar] [CrossRef]
- Liu, X.; Xie, Y.; Shi, S.; Feng, Q.; Bachhuka, A.; Guo, X.; She, Z.; Tan, R.; Cai, Q.; Vasilev, K. The co-effect of surface topography gradient fabricated via immobilization of gold nanoparticles and surface chemistry via deposition of plasma polymerized film of allylamine/acrylic acid on osteoblast-like cell behavior. Appl. Surf. Sci. 2019, 473, 838–847. [Google Scholar] [CrossRef]
- Aguzzi, C.; Sandri, G.; Cerezo, P.; Carazo, E.; Viseras, C. Health and Medical Applications of Tubular Clay Minerals. In Developments in Clay Science; Yuan, P., Thill, A., Bergaya, F., Eds.; Elsevier: Amsterdam, NL, USA, 2016; Volume 7, Chapter 26; pp. 708–725. [Google Scholar]
- Sandri, G.; Bonferoni, M.C.; Rossi, S.; Ferrari, F.; Aguzzi, C.; Viseras, C.; Caramella, C. Clay Minerals for Tissue Regeneration, Repair, and Engineering. In Wound Healing Biomaterials; Ågren, M.S., Ed.; Woodhead Publishing: Sawston, UK, 2016; Chapter 19; pp. 385–402. [Google Scholar]
- García-Villén, F.; Carazo, E.; Borrego-Sánchez, A.; Sánchez-Espejo, R.; Cerezo, P.; Viseras, C.; Aguzzi, C. Clay Minerals in Drug Delivery Systems. In Modified Clay and Zeolite Nanocomposite Materials; Mercurio, M., Sarkar, B., Langella, A., Eds.; Elsevier: Amsterdam, NL, USA, 2019; Chapter 6; pp. 129–166. [Google Scholar]
- Kheirabadi, B.S.; Edens, J.W.; Terrazas, I.B.; Estep, J.S.; Klemcke, H.G.; Dubick, M.A.; Holcomb, J.B. Comparison of new hemostatic granules/powders with currently deployed hemostatic products in a lethal model of extremity arterial hemorrhage in swine. J. Trauma Inj. Infect. Crit. Care 2009, 66, 316–328. [Google Scholar] [CrossRef]
- Aguzzi, C.; Cerezo, P.; Viseras, C.; Caramella, C. Use of clays as drug delivery systems: Possibilities and limitations. Appl. Clay Sci. 2007, 36, 22–36. [Google Scholar] [CrossRef]
- Mobaraki, M.; Karnik, S.; Li, Y.; Mills, D.K. Therapeutic applications of halloysite. Appl. Sci. 2022, 12, 87. [Google Scholar] [CrossRef]
- Wang, Y.; Zhu, L.; Dong, Z.; Xie, S.; Chen, X.; Lu, M.; Wang, X.; Li, X.; Zhou, W. Preparation and stability study of norfloxacin-loaded solid lipid nanoparticle suspensions. Colloids Surf. B Biointerfaces 2012, 98, 105–111. [Google Scholar] [CrossRef]
- Viseras, M.T.; Aguzzi, C.; Cerezo, P.; Viseras, C.; Valenzuela, C. Equilibrium and kinetics of 5-aminosalicylic acid adsorption by halloysite. Micropor. Mesopor. Mater. 2008, 108, 112–116. [Google Scholar] [CrossRef]
- Aguzzi, C.; Cerezo, P.; Sandri, G.; Ferrari, F.; Rossi, S.; Bonferoni, C.; Caramella, C.; Viseras, C. Intercalation of tetracycline into layered clay mineral material for drug delivery purposes. Mater. Technol. 2014, 29 (Suppl. 3), B96–B99. [Google Scholar] [CrossRef]
- Carazo, E.; Borrego-Sánchez, A.; García-Villén, F.; Sánchez-Espejo, R.; Aguzzi, C.; Viseras, C.; Sainz-Díaz, C.I.; Cerezo, P. Assessment of halloysite nanotubes as vehicles of isoniazid. Colloids Surf. B Biointerfaces 2017, 160, 337–344. [Google Scholar] [CrossRef]
- Carazo, E.; Borrego-Sánchez, A.; Sánchez-Espejo, R.; García-Villén, F.; Cerezo, P.; Aguzzi, C.; Viseras, C. Kinetic and thermodynamic assessment on isoniazid/montmorillonite adsorption. Appl. Clay Sci. 2018, 165, 82–90. [Google Scholar] [CrossRef]
- Moritz, M.; Geszke-Moritz, M. Mesoporous silica materials with different structures as the carriers for antimicrobial agent. Modeling of chlorhexidine adsorption and release. Appl. Surf. Sci. 2015, 356, 1327–1340. [Google Scholar] [CrossRef]
- Biovia, Materials Studio, Version 2018; Biovia: San Diego, CA, USA, 2018.
- Guimarães, L.; Enyashin, A.N.; Seifert, G.; Duarte, H.A. Structural, electronic, and mechanical properties of single-walled halloysite nanotube models. J. Phys. Chem. C 2010, 114, 11358–11363. [Google Scholar] [CrossRef]
- Borrego-Sánchez, A.; Sainz-Díaz, C.I.; Perioli, L.; Viseras, C. Theoretical study of retinol, niacinamide and glycolic acid with halloysite clay mineral as active ingredients for topical skin care formulations. Molecules 2021, 26, 4392. [Google Scholar] [CrossRef]
- Massaro, M.; Borrego-Sánchez, A.; Sánchez-Espejo, R.; Viseras, C.; Cavallaro, G.; García-Villén, F.; Guernelli, S.; Lazzara, G.; Miele, D.; Sainz-Díaz, C.I.; et al. Ciprofloxacin carrier systems based on hectorite/halloysite hybrid hydrogels for potential wound healing applications. Appl. Clay Sci. 2021, 215, 106310. [Google Scholar] [CrossRef]
- Borrego-Sánchez, A.; Muñoz-Santiburcio, D.; Viseras, C.; Hernández-Laguna, A.; Sainz-Díaz, C.I. Melatonin/nanoclay hybrids for skin delivery. Appl. Clay Sci. 2022, 218, 106417. [Google Scholar] [CrossRef]
- Heinz, H.; Lin, T.-J.; Mishra, R.K.; Emami, F.S. Thermodynamically consistent force fields for the assembly of inorganic, organic, and biological nanostructures: The INTERFACE force field. Langmuir 2013, 29, 1754–1765. [Google Scholar] [CrossRef] [PubMed]
- Vanderbilt, D. Soft self-consistent pseudopotentials in a generalized eigenvalue formalism. Phys. Rev. B 1990, 41, 7892–7895. [Google Scholar] [CrossRef] [PubMed]
- Fraise, A.P.; Masillard, J.-Y.; Sattar, S. Russell, Hugo and Ayliffe’s Principles and Practice of Disinfection, Preservation & Sterilization, 5th ed.; Wiley-Blackwell Publishing: Oxford, UK, 2013; pp. 1–624. [Google Scholar]
- De Souza, C.A.S.; Colombo, A.P.V.; Souto, R.M.; Silva-Boghossian, C.M.; Granjeiro, J.M.; Alves, G.G.; Rossi, A.M.; Rocha-Leão, M.H.M. Adsorption of chlorhexidine on synthetic hydroxyapatite and in vitro biological activity. Colloids Surf. B Biointerfaces 2011, 87, 310–318. [Google Scholar] [CrossRef] [PubMed]
- Elisei, E.; Willart, J.F.; Danède, F.; Siepman, J.; Siepman, F.; Descamps, M. Crystalline polymorphism emerging from a milling-induced amorphous form: The case of chlorhexidine dihydrochloride. Int. J. Pharm. 2018, 107, 121–126. [Google Scholar] [CrossRef]
- Macheca, A.D.; Mapossa, A.B.; Cumbane, A.J.; Sulemane, A.E.; Tichaponwa, S.M. Development and characterization of Na2CO3-activated mozambican bentonite: Prediction of optimal activation conditions using statistical design modeling. Minerals 2022, 12, 1116. [Google Scholar] [CrossRef]
- Garala, K.; Joshi, P.; Shah, M.; Ramkishan, A.; Patel, J. Formulation and evaluation of periodontal in situ gel. Int. J. Pharm. Investig. 2013, 3, 29–41. [Google Scholar] [CrossRef]
- Cavallaro, G.; Lazzara, G.; Milioto, S. Dispersions of nanoclays of different shapes into aqueous and solid biopolymeric matrices. Extended physicochemical study. Langmuir 2011, 27, 1158–1167. [Google Scholar] [CrossRef]
- Vane, L.M.; Zang, G.M. Effect of aqueous phase properties on clay particle zeta potential and electro-osmotic permeability: Implications for electro-kinetic soil remediation processes. J. Hazard. Mater. 1997, 55, 1–22. [Google Scholar] [CrossRef]
- Sriram, G.; Bigliardi, P.L.; Bigliardi-Qi, M. Fibroblast heterogeneity and its implications for engineering organotypic skin models in vitro. Eur. J. Cell Biol. 2015, 94, 483–512. [Google Scholar] [CrossRef]
- El Ghalbzouri, A.; Hensbergen, P.; Gibbs, S.; Kempenaar, J.; van der Schors, R.; Ponec, M. Fibroblasts facilitate re-epithelialization in wounded human skin equivalents. Lab. Investig. 2004, 84, 102–112. [Google Scholar] [CrossRef]
- García-Villén, F.; Faccendini, A.; Aguzzi, C.; Cerezo, P.; Bonferoni, M.; Rossi, S.; Grisoli, P.; Ruggeri, M.; Ferrari, F.; Sandri, G.; et al. Montmorillonite norfloxacin nanocomposite intended for healing of infected wounds. Int. J. Nanomed. 2019, 14, 5051–5060. [Google Scholar] [CrossRef]













| d10 (μm) | d50 (μm) | d90 (μm) | |
|---|---|---|---|
| BEN | 0.969 ± 0.0078 | 2.890 ± 0.0516 | 9.369 ± 0.2524 |
| HAL | 1.495 ± 0.0163 | 5.175 ± 0.0304 | 14.663 ± 0.0962 |
Disclaimer/Publisher’s Note: The statements, opinions and data contained in all publications are solely those of the individual author(s) and contributor(s) and not of MDPI and/or the editor(s). MDPI and/or the editor(s) disclaim responsibility for any injury to people or property resulting from any ideas, methods, instructions or products referred to in the content. |
© 2023 by the authors. Licensee MDPI, Basel, Switzerland. This article is an open access article distributed under the terms and conditions of the Creative Commons Attribution (CC BY) license (https://creativecommons.org/licenses/by/4.0/).
Share and Cite
Valentino, C.; Martínez Rodríguez, T.; Borrego-Sánchez, A.; Hernández Benavides, P.; Arrebola Vargas, F.; Paredes, J.M.; Rossi, S.; Sainz Díaz, C.I.; Sandri, G.; Grisoli, P.; et al. Characterization and Molecular Modelling of Non-Antibiotic Nanohybrids for Wound Healing Purposes. Pharmaceutics 2023, 15, 1140. https://doi.org/10.3390/pharmaceutics15041140
Valentino C, Martínez Rodríguez T, Borrego-Sánchez A, Hernández Benavides P, Arrebola Vargas F, Paredes JM, Rossi S, Sainz Díaz CI, Sandri G, Grisoli P, et al. Characterization and Molecular Modelling of Non-Antibiotic Nanohybrids for Wound Healing Purposes. Pharmaceutics. 2023; 15(4):1140. https://doi.org/10.3390/pharmaceutics15041140
Chicago/Turabian StyleValentino, Caterina, Tomás Martínez Rodríguez, Ana Borrego-Sánchez, Pablo Hernández Benavides, Francisco Arrebola Vargas, José Manuel Paredes, Silvia Rossi, Claro Ignacio Sainz Díaz, Giuseppina Sandri, Pietro Grisoli, and et al. 2023. "Characterization and Molecular Modelling of Non-Antibiotic Nanohybrids for Wound Healing Purposes" Pharmaceutics 15, no. 4: 1140. https://doi.org/10.3390/pharmaceutics15041140
APA StyleValentino, C., Martínez Rodríguez, T., Borrego-Sánchez, A., Hernández Benavides, P., Arrebola Vargas, F., Paredes, J. M., Rossi, S., Sainz Díaz, C. I., Sandri, G., Grisoli, P., Medina Pérez, M. d. M., & Aguzzi, C. (2023). Characterization and Molecular Modelling of Non-Antibiotic Nanohybrids for Wound Healing Purposes. Pharmaceutics, 15(4), 1140. https://doi.org/10.3390/pharmaceutics15041140

