Synthesis, Pharmacological Properties, and Potential Molecular Mechanisms of Antitumor Activity of Betulin and Its Derivatives in Gastrointestinal Cancers
Abstract
:1. Introduction
2. Properties and Molecular Mechanisms of Betulin and Its Derivatives against Cancer Diseases
2.1. Pharmacological Properties of Betulin and Its Derivatives
2.2. Effects on Interleukin-Related Pathways
2.3. Activation of Nrf2 Pathway
2.4. Activation of NF-kB Pathway
2.5. Induction of Apoptosis Associated with MAPK Pathway Activation
2.6. Inhibition of ROS Production in Cancer Cells
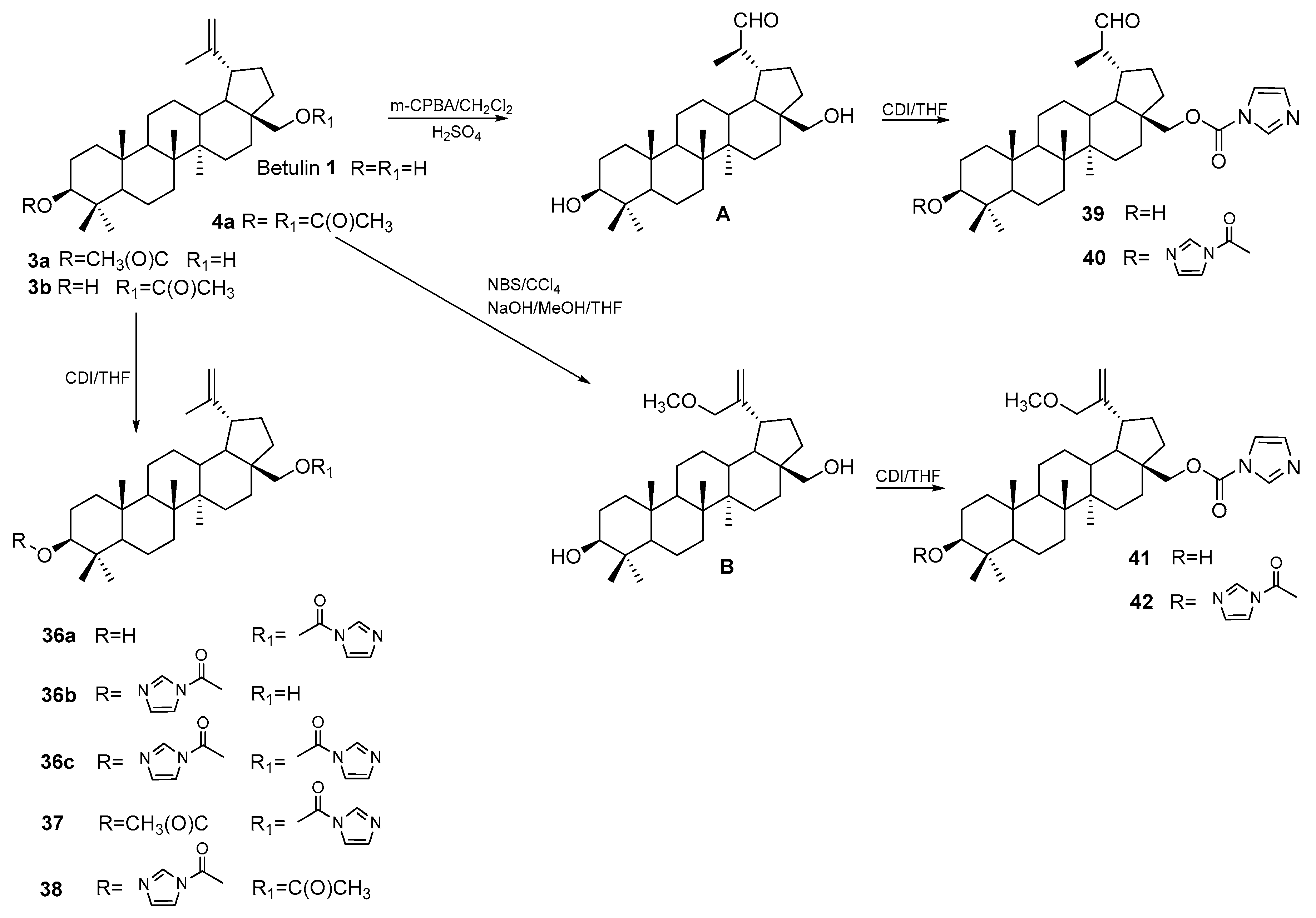
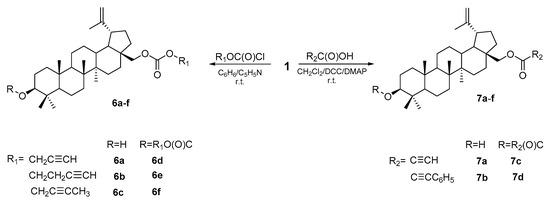
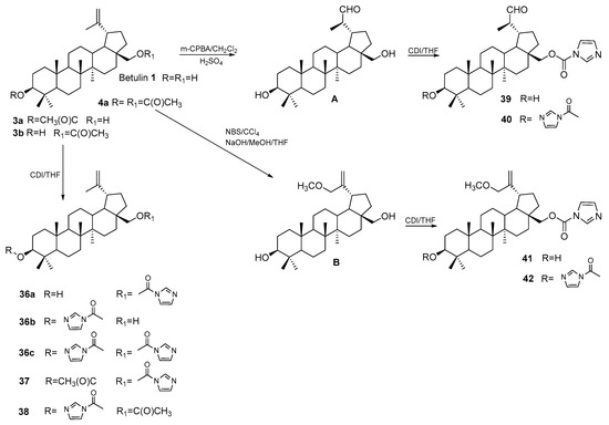
3. Synthesis of Betulin Derivatives
4. Effects of Betulin and Its Derivatives on Gastrointestinal Tract-Related Cancers
4.1. Colorectal Cancer
4.2. Hepatocellular Carcinoma
4.3. Gastric Cancer
4.4. Esophageal Cancer
4.5. Pharmacokinetic Profile and Animal Studies of Betulin and Its Derivatives in Gastrointestinal Cancers
5. Conclusions
Author Contributions
Funding
Institutional Review Board Statement
Informed Consent Statement
Data Availability Statement
Conflicts of Interest
References
- Jardim, S.R.; de Souza, L.M.P.; de Souza, H.S.P. The rise of gastrointestinal cancers as a global phenomenon: Unhealthy behavior or progress? Int. J. Environ. Res. Public Health 2023, 20, 3640. [Google Scholar] [CrossRef] [PubMed]
- Malkani, N.; Rashid, M.U. Systemic diseases and gastrointestinal cancer risk. J. Cancer Allied Spec. 2023, 9, 473. [Google Scholar] [CrossRef] [PubMed]
- Machlowska, J.; Baj, J.; Sitarz, M.; Maciejewski, R.; Sitarz, R. Gastric cancer: Epidemiology, risk factors, classification, genomic characteristics and treatment strategies. Int. J. Mol. Sci. 2020, 21, 4012. [Google Scholar] [CrossRef] [PubMed]
- Damato, A.; Ghidini, M.; Dottorini, L.; Tomasello, G.; Iaculli, A.; Ghidini, A.; Luciani, A.; Petrelli, F. Chemotherapy duration for various indications in colorectal cancer: A review. Curr. Oncol. Rep. 2023, 25, 341–352. [Google Scholar] [CrossRef] [PubMed]
- Amiri, S.; Dastghaib, S.; Ahmadi, M.; Mehrbod, P.; Khadem, F.; Behrouj, H.; Aghanoori, M.R.; Machaj, F.; Ghamsari, M.; Rosik, J.; et al. Betulin and its derivatives as novel compounds with different pharmacological effects. Biotechnol. Adv. 2020, 38, 107409. [Google Scholar] [CrossRef] [PubMed]
- Takibayeva, A.T.; Zhumabayeva, G.K.; Bakibaev, A.A.; Demets, O.V.; Lyapunova, M.V.; Mamaeva, E.A.; Yerkassov, R.S.; Kassenov, R.Z.; Ibrayev, M.K. Methods of analysis and identification of betulin and its derivatives. Molecules 2023, 28, 5946. [Google Scholar] [CrossRef] [PubMed]
- Kubina, R.; Krzykawski, K.; Sokal, A.; Madej, M.; Dziedzic, A.; Kadela-Tomanek, M. New propargyloxy derivatives of galangin, kaempferol and fisetin-synthesis, spectroscopic analysis and in vitro anticancer activity on head and neck cancer cells. Cells 2023, 12, 2288. [Google Scholar] [CrossRef]
- Boparai, A.; Niazi, J.; Bajwa, N.; Singh, P.S. Betulin a pentacyclic tri–terpenoid: An hour to rethink the compound. J. Trans. Med. Res. 2017, 1, 53–59. [Google Scholar]
- Cîntă-Pînzaru, S.; Dehelean, C.A.; Soica, C.; Culea, M.; Borcan, F. Evaluation and differentiation of the Betulaceae birch bark species and their bioactive triterpene content using analytical FT-vibrational spectroscopy and GC-MS. Chem. Cent. J. 2012, 6, 67. [Google Scholar] [CrossRef]
- Fridén, M.E.; Jumaah, F.; Gustavsson, C.; Enmark, M.; Fornstedt, T.; Turner, C.; Sjöberg, P.J.R.; Samuelsson, J. Evaluation and analysis of environmentally sustainable method-ologies for extraction of betulin from birch bark with a focus on industrial feasibility. Green Chem. 2016, 18, 516–523. [Google Scholar] [CrossRef]
- Demets, O.V.; Takibayeva, A.T.; Kassenov, R.Z.; Aliyeva, M.R. Methods of betulin extraction from birch bark. Molecules 2022, 27, 3621. [Google Scholar] [CrossRef] [PubMed]
- Ressmann, A.K.; Strassl, K.; Gaertner, P.; Zhao, B.; Greinerb, L.; Bica, K. New aspects for biomass processing with ionic liquids: Towards the isolation of pharmaceutically active betulin. Green Chem. 2012, 14, 940–944. [Google Scholar] [CrossRef]
- Armbruster, M.; Mönckedieck, M.; Scherließ, R.; Daniels, R.; Wahl, M.A. Birch bark dry extract by supercritical fluid technology: Extract characterisation and use for stabilisation of semisolid systems. Appl. Sci. 2017, 7, 292. [Google Scholar] [CrossRef]
- Guidoin, M.F.; Yang, J.; Pichette, A.; Roy, C. Betulin isolation from birch bark by vacuum and atmospheric sublimation. A thermogravimetric study. Thermochim. Acta 2003, 398, 153–166. [Google Scholar] [CrossRef]
- Oliveira-Costa, J.F.; Meira, C.S.; Neves, M.V.G.D.; Dos Reis, B.P.Z.C.; Soares, M.B.P. Anti-inflammatory activities of betulinic acid: A review. Front. Pharmacol. 2022, 13, 883857. [Google Scholar] [CrossRef] [PubMed]
- Schwiebs, A.; Radeke, H.H. Immunopharmacological activity of betulin in inflammation-associated carcinogenesis. Anticancer Agents Med. Chem. 2018, 18, 645–651. [Google Scholar] [CrossRef] [PubMed]
- Nistor, M.; Rugina, D.; Diaconeasa, Z.; Socaciu, C.; Socaciu, M.A. Pentacyclic triterpenoid phytochemicals with anticancer activity: Updated studies on mechanisms and targeted delivery. Int. J. Mol. Sci. 2023, 24, 12923. [Google Scholar] [CrossRef]
- Bębenek, E.; Jastrzębska, M.; Kadela-Tomanek, M.; Chrobak, E.; Orzechowska, B.; Zwolińska, K.; Latocha, M.; Mertas, A.; Czuba, Z.; Boryczka, S. Novel triazole hybrids of betulin: Synthesis and biological activity profile. Molecules 2017, 22, 1876. [Google Scholar] [CrossRef]
- Pavlova, N.I.; Savinova, O.V.; Nikolaeva, S.N.; Boreko, E.I.; Flekhter, O.B. Antiviral activity of betulin, betulinic and betulonic acids against some enveloped and non-enveloped viruses. Fitoterapia 2003, 74, 489–492. [Google Scholar] [CrossRef]
- Alhadrami, H.A.; Sayed, A.M.; Sharif, A.M.; Azhar, E.I.; Rateb, M.E. Olive-derived triterpenes suppress SARS-CoV-2 main protease: A promising scaffold for future therapeutics. Molecules 2021, 26, 2654. [Google Scholar] [CrossRef]
- Peyrat, L.A.; Eparvier, V.; Eydoux, C.; Guillemot, J.; Litaudon, M.; Stien, D. Betulinic acid, the first lupane-type triterpenoid isolated from both a Phomopsis sp. and its host plant Diospyros carbonaria Benoist. Chem. Biodivers. 2017, 14, e1600171. [Google Scholar] [CrossRef] [PubMed]
- Gong, Y.; Raj, K.M.; Luscombe, C.A.; Gadawski, I.; Tam, T.; Chu, J.; Gibson, D.; Carlson, R.; Sacks, S.L. The synergistic effects of betulin with acyclovir against herpes simplex viruses. Antivir. Res. 2004, 64, 127–130. [Google Scholar] [CrossRef] [PubMed]
- Karagöz, A.Ç.; Leidenberger, M.; Hahn, F.; Hampel, F.; Friedrich, O.; Marschall, M.; Kappes, B.; Tsogoeva, S.B. Synthesis of new betulinic acid/betulin-derived dimers and hybrids with potent antimalarial and antiviral activities. Bioorg. Med. Chem. 2019, 27, 110–115. [Google Scholar] [CrossRef] [PubMed]
- Kamińska, T.; Kaczor, J.; Rzeski, W.; Wejksza, K.; Kandefer-Szerszeń, M.; Witek, M. A comparison of the antiviral activity of three triterpenoids isolated from Betula alba bark. Ann. Univ. Mariae Curie-Sklodowska Sect. C Biol. 2004, 59, 7–13. [Google Scholar]
- Farzan, M.; Farzan, M.; Shahrani, M.; Navabi, S.P.; Vardanjani, H.R.; Amini-Khoei, H.; Shabani, S. Neuroprotective properties of betulin, betulinic acid, and ursolic acid as triterpenoids derivatives: A comprehensive review of mechanistic studies. Nutr. Neurosci. 2023, 1–18. [Google Scholar] [CrossRef]
- Ostapiuk, A.; Kurach, Ł.; Strzemski, M.; Kurzepa, J.; Hordyjewska, A. Evaluation of antioxidative mechanisms in vitro and triterpenes composition of extracts from silver birch (Betula pendula Roth) and black birch (Betula obscura Kotula) barks by FT-IR and HPLC-PDA. Molecules 2021, 26, 4633. [Google Scholar] [CrossRef]
- Kruszniewska-Rajs, C.; Strzałka-Mrozik, B.; Kimsa-Dudek, M.; Synowiec-Wojtarowicz, A.; Chrobak, E.; Bębenek, E.; Boryczka, S.; Głuszek, S.; Gola, J.M. The influence of betulin and its derivatives EB5 and ECH147 on the antioxidant status of human renal proximal tubule epithelial cells. Int. J. Mol. Sci. 2022, 23, 2524. [Google Scholar] [CrossRef]
- Briukhovetska, D.; Dörr, J.; Endres, S.; Libby, P.; Dinarello, C.A.; Kobold, S. Interleukins in cancer: From biology to therapy. Nat. Rev. Cancer 2021, 21, 481–499. [Google Scholar] [CrossRef]
- Li, J.; Huang, L.; Zhao, H.; Yan, Y.; Lu, J. The role of interleukins in colorectal cancer. Int. J. Biol. Sci. 2020, 16, 2323–2339. [Google Scholar] [CrossRef]
- Borowczak, J.; Szczerbowski, K.; Maniewski, M.; Kowalewski, A.; Janiczek-Polewska, M.; Szylberg, A.; Marszałek, A.; Szylberg, Ł. The role of inflammatory cytokines in the pathogenesis of colorectal carcinoma-recent findings and review. Biomedicines 2022, 10, 1670. [Google Scholar] [CrossRef]
- Tuli, H.S.; Sak, K.; Gupta, D.S.; Kaur, G.; Aggarwal, D.; Chaturvedi Parashar, N.; Choudhary, R.; Yerer, M.B.; Kaur, J.; Kumar, M.; et al. Anti-inflammatory and anticancer properties of birch bark-derived betulin: Recent developments. Plants 2021, 10, 2663. [Google Scholar] [CrossRef] [PubMed]
- Li, J.; Chen, D.; Shen, M. Tumor microenvironment shapes colorectal cancer progression, metastasis, and treatment responses. Front. Med. 2022, 9, 869010. [Google Scholar] [CrossRef] [PubMed]
- Szlasa, W.; Ślusarczyk, S.; Nawrot-Hadzik, I.; Abel, R.; Zalesińska, A.; Szewczyk, A.; Sauer, N.; Preissner, R.; Saczko, J.; Drąg, M.; et al. Betulin and its derivatives reduce inflammation and COX-2 activity in macrophages. Inflammation 2023, 46, 573–583. [Google Scholar] [CrossRef] [PubMed]
- Yadav, V.R.; Prasad, S.; Sung, B.; Kannappan, R.; Aggarwal, B.B. Targeting inflammatory pathways by triterpenoids for prevention and treatment of cancer. Toxins 2010, 2, 2428–2466. [Google Scholar] [CrossRef] [PubMed]
- Adepoju, F.O.; Duru, K.C.; Li, E.; Kovaleva, E.G.; Tsurkan, M.V. Pharmacological potential of betulin as a multitarget compound. Biomolecules 2023, 13, 1105. [Google Scholar] [CrossRef] [PubMed]
- Zhao, H.; Liu, Z.; Liu, W.; Han, X.; Zhao, M. Betulin attenuates lung and liver injuries in sepsis. Int. Immunopharmacol. 2016, 30, 50–56. [Google Scholar] [CrossRef] [PubMed]
- Bębenek, E.; Chrobak, E.; Wietrzyk, J.; Kadela, M.; Chrobak, A.; Kusz, J.; Książek, M.; Jastrzębska, M.; Boryczka, S. Synthesis, structure and cytotoxic activity of acetylenic derivatives of betulonic and betulinic acids. J. Mol. Struct. 2016, 1106, 210–219. [Google Scholar] [CrossRef]
- Lubczyńska, A.; Bębenek, E.; Garncarczyk, A.; Wcisło-Dziadecka, D. Evaluation of the effect of betulin and its alkynyl derivatives on the profile of changes in gene expression of the inflammatory process of colorectal adenocarcinoma cells (HT-29 cell Line). Processes 2023, 11, 2676. [Google Scholar] [CrossRef]
- Li, J.; Wang, D.; Liu, Y.; Zhou, Y. Role of NRF2 in colorectal cancer prevention and treatment. Technol. Cancer Res. Treat. 2022, 21, 15330338221105736. [Google Scholar] [CrossRef]
- Farkhondeh, T.; Pourbagher-Shahri, A.M.; Azimi-Nezhad, M.; Forouzanfar, F.; Brockmueller, A.; Ashrafizadeh, M.; Talebi, M.; Shakibaei, M.; Samarghandian, S. Roles of Nrf2 in gastric cancer: Targeting for therapeutic strategies. Molecules 2021, 26, 3157. [Google Scholar] [CrossRef]
- Dong, L.; He, J.; Luo, L.; Wang, K. Targeting the interplay of autophagy and ROS for cancer therapy: An updated overview on phytochemicals. Pharmaceuticals 2023, 16, 92. [Google Scholar] [CrossRef] [PubMed]
- Zhang, J.; Zhou, B.; Sun, J.; Chen, H.; Yang, Z. Betulin ameliorates 7,12-dimethylbenz(a)anthracene-induced rat mammary cancer by modulating MAPK and AhR/Nrf-2 signaling pathway. J. Biochem. Mol. Toxicol. 2021, 35, e22779. [Google Scholar] [CrossRef] [PubMed]
- Loboda, A.; Rojczyk-Golebiewska, E.; Bednarczyk-Cwynar, B.; Lucjusz, Z.; Jozkowicz, A.; Dulak, J. Targeting nrf2-mediated gene transcription by triterpenoids and their derivatives. Biomol. Ther. 2012, 20, 499–505. [Google Scholar] [CrossRef] [PubMed]
- Ci, X.; Zhou, J.; Lv, H.; Yu, Q.; Peng, L.; Hua, S. Betulin exhibits anti-inflammatory activity in LPS-stimulated macrophages and endotoxin-shocked mice through an AMPK/AKT/Nrf2-dependent mechanism. Cell Death Dis. 2017, 8, e2798. [Google Scholar] [CrossRef] [PubMed]
- González-Quezada, B.A.; Santana-Bejarano, U.F.; Corona-Rivera, A.; Pimentel-Gutiérrez, H.J.; Silva-Cruz, R.; Ortega-De-la-Torre, C.; Franco-Topete, R.; Franco-Topete, K.; Centeno-Flores, M.W.; Maciel-Gutiérrez, V.M.; et al. Expression profile of NF-κB regulated genes in sporadic colorectal cancer patients. Oncol. Lett. 2018, 15, 7344–7354. [Google Scholar] [PubMed]
- Zhang, T.; Ma, C.; Zhang, Z.; Zhang, H.; Hu, H. NF-κB signaling in inflammation and cancer. MedComm 2021, 2, 618–653. [Google Scholar] [CrossRef] [PubMed]
- Chauhan, A.; Islam, A.U.; Prakash, H.; Singh, S. Phytochemicals targeting NF-κB signaling: Potential anti-cancer interventions. J. Pharm. Anal. 2022, 12, 394–405. [Google Scholar] [CrossRef]
- Anaya-Eugenio, G.D.; Eggers, N.A.; Ren, Y.; Rivera-ChÁvez, J.; Kinghorn, A.D.; Carcache, D.E.; Blanco, E.J. Apoptosis induced by (+)-betulin through NF-κB inhibition in MDA-MB-231 breast cancer cells. Anticancer Res. 2020, 40, 6637–6647. [Google Scholar] [CrossRef]
- Huang, Y.; Yang, W.; Yang, L.; Wang, T.; Li, C.; Yu, J.; Zhang, P.; Yin, Y.; Li, R.; Tao, K. Nrf2 inhibition increases sensitivity to chemotherapy of colorectal cancer by promoting ferroptosis and pyroptosis. Sci. Rep. 2023, 13, 14359. [Google Scholar] [CrossRef]
- Wang, Y.; Shan, X.; Chen, G.; Jiang, L.; Wang, Z.; Fang, Q.; Liu, X.; Wang, J.; Zhang, Y.; Wu, W.; et al. MD-2 as the target of a novel small molecule, L6H21, in the attenuation of LPS-induced inflammatory response and sepsis. Br. J. Pharmacol. 2015, 172, 4391–4405. [Google Scholar] [CrossRef]
- Lei, Z.N.; Teng, Q.X.; Tian, Q.; Chen, W.; Xie, Y.; Wu, K.; Zeng, Q.; Zeng, L.; Pan, Y.; Chen, Z.S.; et al. Signaling pathways and therapeutic interventions in gastric cancer. Signal Transduct. Target. Ther. 2022, 7, 358. [Google Scholar] [CrossRef] [PubMed]
- Braicu, C.; Buse, M.; Busuioc, C.; Drula, R.; Gulei, D.; Raduly, L.; Rusu, A.; Irimie, A.; Atanasov, A.G.; Slaby, O.; et al. A comprehensive review on MAPK: A promising therapeutic target in cancer. Cancers 2019, 11, 1618. [Google Scholar] [CrossRef] [PubMed]
- Stefani, C.; Miricescu, D.; Stanescu-Spinu, I.I.; Nica, R.I.; Greabu, M.; Totan, A.R.; Jinga, M. Growth factors, PI3K/AKT/mTOR and MAPK signaling pathways in colorectal cancer pathogenesis: Where are we now? Int. J. Mol. Sci. 2021, 22, 10260. [Google Scholar] [CrossRef] [PubMed]
- Ahmadu, A.A.; Delehouzé, C.; Haruna, A.; Mustapha, L.; Lawal, B.A.; Udobre, A.; Baratte, B.; Triscornia, C.; Autret, A.; Robert, T.; et al. Betulin, a newly characterized compound in Acacia auriculiformis bark, is a multi-target protein kinase inhibitor. Molecules 2021, 26, 4599. [Google Scholar] [CrossRef] [PubMed]
- Szuster-Ciesielska, A.; Plewka, K.; Daniluk, J.; Kandefer-Szerszeń, M. Betulin and betulinic acid attenuate ethanol-induced liver stellate cell activation by inhibiting reactive oxygen species (ROS), cytokine (TNF-α, TGF-β) production and by influencing intracellular signaling. Toxicology 2011, 280, 152–163. [Google Scholar] [CrossRef] [PubMed]
- Król, S.K.; Kiełbus, M.; Rivero-Müller, A.; Stepulak, A. Comprehensive review on betulin as a potent anticancer agent. Biomed. Res. Int. 2015, 2015, 584189. [Google Scholar] [CrossRef] [PubMed]
- Liu, Y.; Shi, Y.; Han, R.; Liu, C.; Qin, X.; Li, P.; Gu, R. Signaling pathways of oxidative stress response: The potential therapeutic targets in gastric cancer. Front. Immunol. 2023, 14, 1139589. [Google Scholar] [CrossRef]
- Biagioni, A.; Peri, S.; Versienti, G.; Fiorillo, C.; Becatti, M.; Magnelli, L.; Papucci, L. Gastric cancer vascularization and the contribution of reactive oxygen species. Biomolecules 2023, 13, 886. [Google Scholar] [CrossRef]
- Bardelčíková, A.; Šoltys, J.; Mojžiš, J. Oxidative stress, inflammation and colorectal cancer: An overview. Antioxidants 2023, 12, 901. [Google Scholar] [CrossRef]
- Shen, M.; Hu, Y.; Yang, Y.; Wang, L.; Yang, X.; Wang, B.; Huang, M. Betulinic acid induces ROS-dependent apoptosis and S-phase arrest by inhibiting the NF-κB pathway in human multiple myeloma. Oxidative Med. Cell. Longev. 2019, 2019, 5083158. [Google Scholar] [CrossRef]
- Jain, D.; Murti, Y.; Khan, W.U.; Hossain, R.; Hossain, M.N.; Agrawal, K.K.; Ashraf, R.A.; Islam, M.T.; Janmeda, P.; Taheri, Y.; et al. Roles of therapeutic bioactive compounds in hepatocellular carcinoma. Oxidative Med. Cell. Longev. 2021, 2021, 9068850. [Google Scholar] [CrossRef] [PubMed]
- Zhou, L.; Zhang, Z.; Huang, Z.; Nice, E.; Zou, B.; Huang, C. Revisiting cancer hallmarks: Insights from the interplay between oxidative stress and non-coding RNAs. Mol. Biomed. 2020, 1, 4. [Google Scholar] [CrossRef] [PubMed]
- Parmar, S.K.; Sharma, T.P.; Airao, V.B.; Bhatt, R.; Aghara, R.; Chavda, S.; Rabadiya, S.O.; Gangwal, A.P. Neuropharmacological effects of triterpenoids. Phytopharmacology 2013, 4, 354–372. [Google Scholar]
- Banerjee, S.; Bose, S.; Mandal, S.C.; Dawn, S.; Sahoo, U.; Ramadan, M.A.; Mandal, S.K. Pharmacological property of pentacyclic triterpenoids. Egypt. J. Chem. 2019, 62, 13–35. [Google Scholar] [CrossRef]
- Yang, H.; Kim, H.W.; Kim, Y.C.; Sung, S.H. Cytotoxic activities of naturally occurring oleanane-, ursane-, and lupane-type triterpenes on HepG2 and AGS cells. Pharmacogn. Mag. 2017, 13, 118–122. [Google Scholar] [CrossRef] [PubMed]
- Ghante, M.H.; Jamkhande, P.G. Role of pentacyclic triterpenoids in chemoprevention and anticancer treatment: An overview on targets and underling mechanisms. J. Pharmacopunct. 2019, 22, 55–67. [Google Scholar] [CrossRef] [PubMed]
- Su, D.; Gao, Y.Q.; Dai, W.B.; Hu, Y.; Wu, Y.F.; Mei, Q.X. Helicteric acid, oleanic acid, and betulinic acid, three triterpenes from Helicteres angustifolia L., inhibit proliferation and induce apoptosis in HT-29 colorectal cancer cells via suppressing NF-κB and STAT3 signaling. Evid. Based Complement. Altern. Med. 2017, 2017, 5180707. [Google Scholar] [CrossRef]
- Kwasnica, M.; Sarek, J.; Klinotova, E.; Dzubak, P.; Hajduch, M. Synthesis of phthalates of betulinic acid and betulin with cytotoxic activity. Bioorg. Med. Chem. 2005, 13, 3447–3454. [Google Scholar] [CrossRef]
- Kommera, H.; Kaluđerović, G.N.; Kalbitz, J.; Paschke, R. Lupane triterpenoids—Betulin and betulinic acid derivatives induce apoptosis in tumor cells. Investig. New Drugs 2011, 29, 266–272. [Google Scholar] [CrossRef]
- Kommera, H.; Kaluđerović, G.N.; Kalbitz, J.; Paschke, R. Synthesis and anticancer activity of novel betulinic acid and betulin derivatives. Arch. Pharm. Chem. Life Sci. 2010, 8, 449–457. [Google Scholar] [CrossRef]
- Rzepka, Z.; Bębenek, E.; Chrobak, E.; Wrześniok, D. Synthesis and anticancer activity of indole-functionalized ferivatives of betulin. Pharmaceutics 2022, 14, 2372. [Google Scholar] [CrossRef] [PubMed]
- Boryczka, S.; Bębenek, E.; Wietrzyk, J.; Kempińska, K.; Jastrzębska, M.; Kusz, J.; Nowak, M. Synthesis, structure and cytotoxic activity of new acetylenic derivatives of betulin. Molecules 2013, 18, 4526–4543. [Google Scholar] [CrossRef] [PubMed]
- Grymel, M.; Lalik, A.; Kazek-Kęsik, A.; Szewczyk, M.; Grabiec, P.; Erfurt, K. Design, synthesis and preliminary evaluation of the cytotoxicity and antibacterial activity of novel triphenylphosphonium derivatives of betulin. Molecules 2022, 27, 5156. [Google Scholar] [CrossRef] [PubMed]
- Kommera, H.; Kaluđerović, G.N.; Bette, M.; Kalbitz, J.; Fuchs, P.; Fulda, S.; Mier, W.; Paschke, R. In vitro anticancer studies of α- and β-D-glucopyranose betulin anomers. Chem.-Biol. Interact. 2010, 185, 128–136. [Google Scholar] [CrossRef] [PubMed]
- Gauthier, C.; Legault, J.; Lebrun, M.; Dufour, P.; Pichette, A. Glycosidation of lupane-type triterpenoids as potent in vitro cytotoxic agents. Bioorg. Med. Chem. 2006, 14, 6713–6725. [Google Scholar] [CrossRef] [PubMed]
- Gauthier, C.; Legault, J.; Lavoie, S.; Rondeau, S.; Tremblay, S.; Pichette, A. Synthesis and cytotoxicity of bidesmosidic betulin and betulinic acid saponins. J. Nat. Prod. 2009, 72, 72–81. [Google Scholar] [CrossRef] [PubMed]
- Grymel, M.; Pastuch-Gawołek, G.; Lalik, A.; Zawojak, M.; Boczek, S.; Krawczyk, M.; Erfurt, K. Glycoconjugation of betulin derivatives using copper-catalyzed 1,3-dipolar azido-alkyne cycloaddition reaction and a preliminary assay of cytotoxicity of the obtained compounds. Molecules 2020, 25, 6019. [Google Scholar] [CrossRef]
- Kommera, H.; Kaluđerović, G.N.; Dittrich, S.; Kalbitz, J.; Dräger, B.; Mueller, T.; Paschke, R. Carbamate derivatives of betulinic acid and betulin with selective cytotoxic activity. Bioorg. Med. Chem. Lett. 2010, 20, 3409–3412. [Google Scholar] [CrossRef]
- Wang, J.; Wu, J.; Han, Y.; Zhang, J.; Lin, Y.; Wang, H.; Wang, J.; Liu, J.; Bu, M. Design and synthesis of novel betulin derivatives containing thio-/semicarbazone moieties as apoptotic inducers through mitochindria-related pathways. Molecules 2021, 26, 6356. [Google Scholar] [CrossRef]
- Wu, J.; Wang, J.; Han, Y.; Lin, Y.; Wang, J.; Bu, M. Synthesis and cytotoxic activity of novel betulin derivatives containing hydrazide-hydrazone moieties. Nat. Prod. Commun. 2021, 16, 1–7. [Google Scholar] [CrossRef]
- Wang, J.; Wu, J.; Han, Y.; Zhang, J.; Lin, Y.; Wang, H.; Wang, J.; Bu, M. Synthesis and Biological Evaluation of Novel Betulin Derivatives with Aromatic Hydrazone Side Chain as Potential Anticancer Agents. J. Braz. Chem. Soc. 2022, 33, 227–237. [Google Scholar] [CrossRef]
- Csuk, R.; Barthel, A.; Schwarz, S.; Kommera, H.; Paschke, R. Synthesis and biological evaluation of antitumor-active gamma-butyrolactone substituted betulin derivatives. Bioorg. Med. Chem. 2010, 18, 2549–2558. [Google Scholar] [CrossRef] [PubMed]
- Flekhter, O.B.; Karachurina, L.T.; Poroikov, V.V.; Nigmatullina, L.P.; Baltina, L.A.; Zarudii, F.S.; Davydova, V.A.; Spirikhin, L.V.; Baikova, I.P.; Galin, F.Z.; et al. The synthesis and hepatoprotective activity of esters of the lupane group triterpenoids. Russ. J. Bioorg. Chem. 2000, 26, 192–200. [Google Scholar] [CrossRef]
- Yamansarov, E.Y.; Lopatukhina, E.V.; Evteev, S.A.; Skvortsov, D.A.; Lopukhov, A.V.; Kovalev, S.V.; Vaneev, A.N.; Shkil’, D.O.; Akasov, R.A.; Lobov, A.N.; et al. Discovery of bivalent GalNAc-conjugated betulin as a potent ASGPR-directed agent against hepatocellular carcinoma. Bioconjug. Chem. 2021, 32, 763–781. [Google Scholar] [CrossRef] [PubMed]
- Zhuo, Z.J.; Xiao, M.J.; Lin, H.R.; Luo, J.; Wang, T. Novel betulin derivative induces anti-proliferative activity by G2/M phase cell cycle arrest and apoptosis in Huh7 cells. Oncol. Lett. 2018, 15, 2097–2104. [Google Scholar] [CrossRef]
- Santos, R.C.; Salvador, J.A.; Marín, S.; Cascante, M. Novel semisynthetic derivatives of betulin and betulinic acid with cytotoxic activity. Bioorg. Med. Chem. 2009, 17, 6241–6250. [Google Scholar] [CrossRef]
- Yang, S.J.; Liu, M.C.; Xiang, H.M.; Zhao, Q.; Xue, W.; Yang, S. Synthesis and in vitro antitumor evaluation of betulin acid ester derivatives as novel apoptosis inducers. Eur. J. Med. Chem. 2015, 102, 249–255. [Google Scholar] [CrossRef]
- Xu, J.; Wang, X.; Zhang, H.; Yue, J.; Sun, Y.; Zhang, X.; Zhao, Y. Synthesis of triterpenoid derivatives and their anti-tumor and anti-hepatic fibrosis activities. Nat. Prod. Res. 2020, 34, 766–772. [Google Scholar] [CrossRef]
- Saraiva, M.R.; Rosa, I.; Claro, I. Early-onset colorectal cancer: A review of current knowledge. World J. Gastroenterol. 2023, 29, 1289–1303. [Google Scholar] [CrossRef]
- Hernandez Dominguez, O.; Yilmaz, S.; Steele, S.R. Stage IV colorectal cancer management and treatment. J. Clin. Med. 2023, 12, 2072. [Google Scholar] [CrossRef]
- Kumar, A.; Gautam, V.; Sandhu, A.; Rawat, K.; Sharma, A.; Saha, L. Current and emerging therapeutic approaches for colorectal cancer: A comprehensive review. World J. Gastrointest. Surg. 2023, 15, 495–519. [Google Scholar] [CrossRef] [PubMed]
- Formslag, C.R.; Zhao, L.; Heslin, A.J.; Lewis, C.C.; Miller, C.W.; Bai, Q.; Wakefield, M.R.; Fang, Y. The past, present, and future of immunotherapy for colorectal cancer. Med. Oncol. 2023, 40, 95. [Google Scholar] [CrossRef] [PubMed]
- Han, Y.H.; Mun, J.G.; Jeon, H.D.; Kee, J.Y.; Hong, S.H. Betulin inhibits lung metastasis by inducing cell cycle arrest, autophagy, and apoptosis of metastatic colorectal cancer cells. Nutrients 2019, 12, 66. [Google Scholar] [CrossRef] [PubMed]
- Rzeski, W.; Stepulak, A.; Szymański, M.; Juszczak, M.; Grabarska, A.; Sifringer, M.; Kaczor, J.; Kandefer-Szerszeń, M. Betulin elicits anti-cancer effects in tumour primary cultures and cell lines in vitro. Basic Clin. Pharmacol. Toxicol. 2009, 105, 425–432. [Google Scholar] [CrossRef] [PubMed]
- Foglia, B.; Turato, C.; Cannito, S. Hepatocellular carcinoma: Latest research in pathogenesis, detection and treatment. Int. J. Mol. Sci. 2023, 24, 12224. [Google Scholar] [CrossRef] [PubMed]
- Ganesan, P.; Kulik, L.M. Hepatocellular carcinoma: New developments. Clin. Liver Dis. 2023, 27, 85–102. [Google Scholar] [CrossRef] [PubMed]
- Nguyen, D.T.; Nguyen, D.H.; Nguyen, V.T.H. Sorafenib as first-line treatment for patients with primary hepatocellular carcinoma: An outcome evaluation. J. Int. Med. Res. 2023, 51, 3000605231179928. [Google Scholar] [CrossRef]
- Soliman, S.; Hamoda, A.M.; El-Shorbagi, A.A.; El-Keblawy, A.A. Novel betulin derivative is responsible for the anticancer folk use of Ziziphus spina-christi from the hot environmental habitat of UAE. J. Ethnopharmacol. 2019, 231, 403–408. [Google Scholar] [CrossRef]
- Liu, W.; Li, S.; Qu, Z.; Luo, Y.; Chen, R.; Wei, S.; Yang, X.; Wang, Q. Betulinic acid induces autophagy-mediated apoptosis through suppression of the PI3K/AKT/mTOR signaling pathway and inhibits hepatocellular carcinoma. Am. J. Transl. Res. 2019, 11, 6952–6964. [Google Scholar]
- Li, Y.; He, K.; Huang, Y.; Zheng, D.; Gao, C.; Cui, L.; Jin, Y.H. Betulin induces mitochondrial cytochrome c release associated apoptosis in human cancer cells. Mol. Carcinog. 2010, 49, 630–640. [Google Scholar] [CrossRef]
- Conti, C.B.; Agnesi, S.; Scaravaglio, M.; Masseria, P.; Dinelli, M.E.; Oldani, M.; Uggeri, F. Early gastric cancer: Update on prevention, diagnosis and treatment. Int. J. Environ. Res. Public Health 2023, 20, 2149. [Google Scholar] [CrossRef] [PubMed]
- Mantziari, S.; St Amour, P.; Abboretti, F.; Teixeira-Farinha, H.; Gaspar Figueiredo, S.; Gronnier, C.; Schizas, D.; Demartines, N.; Schäfer, M. A comprehensive review of prognostic factors in patients with gastric adenocarcinoma. Cancers 2023, 15, 1628. [Google Scholar] [CrossRef]
- Guan, W.L.; He, Y.; Xu, R.H. Gastric cancer treatment: Recent progress and future perspectives. J. Hematol. Oncol. 2023, 16, 57. [Google Scholar] [CrossRef] [PubMed]
- Li, Y.; Liu, X.; Jiang, D.; Lin, Y.; Wang, Y.; Li, Q.; Liu, L.; Jin, Y.H. Betulin induces reactive oxygen species-dependent apoptosis in human gastric cancer SGC7901 cells. Arch. Pharm. Res. 2016, 39, 1257–1265. [Google Scholar] [CrossRef] [PubMed]
- Chen, X.; Yuan, X.N.; Zhang, Z.; Gong, P.J.; Yin, W.N.; Jiang, Q.; Xu, J.; Xu, X.L.; Gao, Y.; Chen, W.L.; et al. Betulinic acid inhibits cell proliferation and migration in gastric cancer by targeting the NF-κB/VASP pathway. Eur. J. Pharmacol. 2020, 889, 173493. [Google Scholar] [CrossRef] [PubMed]
- Sheikh, M.; Roshandel, G.; McCormack, V.; Malekzadeh, R. Current status and future prospects for esophageal cancer. Cancers 2023, 15, 765. [Google Scholar] [CrossRef] [PubMed]
- Wang, Y.; Yang, W.; Wang, Q.; Zhou, Y. Mechanisms of esophageal cancer metastasis and treatment progress. Front. Immunol. 2023, 14, 1206504. [Google Scholar] [CrossRef]
- Chen, J.; Peng, R.; Niu, Z.; Zhou, H.; Kang, C. Betulinic acid enhanced the chemical sensitivity of esophageal cancer cells to cisplatin by inducing cell pyroptosis and reducing cell stemness. Ann. Palliat. Med. 2020, 9, 1912–1920. [Google Scholar] [CrossRef]
- Nowak, I.; Madej, M.; Secemska, J.; Sarna, R.; Strzalka-Mrozik, B. Virus-based biological systems as next-generation carriers for the therapy of central nervous system diseases. Pharmaceutics 2023, 15, 1931. [Google Scholar] [CrossRef]
- Drag, M.; Surowiak, P.; Drag-Zalesinska, M.; Dietel, M.; Lage, H.; Oleksyszyn, J. Comparision of the cytotoxic effects of birch bark extract, betulin and betulinic acid towards human gastric carcinoma and pancreatic carcinoma drug-sensitive and drug-resistant cell lines. Molecules 2009, 14, 1639–1651. [Google Scholar] [CrossRef]
- Chen, Y.; Wu, X.; Liu, C.; Zhou, Y. Betulinic acid triggers apoptosis and inhibits migration and invasion of gastric cancer cells by impairing EMT progress. Cell Biochem. Funct. 2020, 38, 702–709. [Google Scholar] [CrossRef] [PubMed]
- Yamai, H.; Sawada, N.; Yoshida, T.; Seike, J.; Takizawa, H.; Kenzaki, K.; Miyoshi, T.; Kondo, K.; Bando, Y.; Ohnishi, Y.; et al. Triterpenes augment the inhibitory effects of anticancer drugs on growth of human esophageal carcinoma cells in vitro and suppress experimental metastasis in vivo. Int. J. Cancer 2009, 125, 952–960. [Google Scholar] [CrossRef] [PubMed]
- Jäger, S.; Laszczyk, M.N.; Scheffler, A. A preliminary pharmacokinetic study of betulin, the main pentacyclic triterpene from extract of outer bark of birch (Betulae alba cortex). Molecules 2008, 13, 3224–3235. [Google Scholar] [CrossRef] [PubMed]
- Pozharitskaya, O.N.; Karlina, M.V.; Shikov, A.N.; Kosman, V.M.; Makarov, V.G.; Casals, E.; Rosenholm, J.M. Pharmacokinetics and tissue disposition of nanosystem-entrapped betulin after endotracheal administration to rats. Eur. J. Drug Metab. Pharmacokinet. 2017, 42, 327–332. [Google Scholar] [CrossRef]
























| Derivative | CRC Cell Lines | Effects | IC50 | Ref. |
|---|---|---|---|---|
| 1 | DLD-1 | Leads to a change in the morphology of CRC cells and affects the induction of apoptosis and reduction in motility | 6.6 μM | [75,76] |
| HCT-8 | n/d | n/d | ||
| HCT-116 | 30.02 ± 1.22 μM 27.46 μM 25.7 ± 2.07 μM | [79,80,81] | ||
| HT-29 | 4.3 μM | [94] | ||
| SW480 | n/d | n/d | ||
| 3d (Figure 7) | HT-29 | Hight cytotoxic effect against CRC line than BA (IC50 = 84.5 ± 6.6 μM); the obtained derivatives show higher polarity | 13.6 ± 5.7 μM | [68] |
| 4c=3b (Figure 7) | HT-29 | The compound 28-O-chloroacetylbetulin shows greater selectivity towards specific neoplastic cells; induces apoptosis in HT-29 cell line; and compound 4c=3b exhibits higher cytotoxic effect than BA (IC50 = 13.93 ± 0.46 μM) | 10.96 ± 0.87 μM | [69] |
| 4d (Figure 7) | 27.63 ± 1.88 μM | |||
| 4c=3b (Figure 7) | DLD-1, HCT-8, HCT-116, HT-29, SW480 | α-monomer of d-glucopyranoside induces apoptosis in neoplastic cells through activation of caspase 2 and 8. Cytotoxicity similar to the BA (IC50 = 11.87 ± 0.29 μM; 13.10 ± 0.50 μM; 10.80 ± 0.24 μM; 13.93 ± 0.46 μM; and 6.48 ± 0.12 μM, respectively), although the derivatives exhibit improved properties | DLD-1—13.12 ± 1.05 μM HCT-8—17.98 ± 0.44 μM HCT-116—10.71 ± 0.65 μM HT-29—10.96 ± 0.87 μM SW480—13.68 ± 0.39 μM | [74] |
| 10a (Figure 11) | DLD-1—4.45 ± 0.23 μM HCT-8—10.19 ± 0.03 μM HCT-116—7.46 ± 1.43 μM HT-29—9.80 ± 0.05 μM SW480—9.52 ± 0.04 μM | |||
| 18a (Figure 14) | DLD-1, HCT-8, HCT-116, HT-29, SW480 | Higher cytotoxicity against colon cancer cells than the effect of BA (IC50 = 11.87 μM; 13.10 μM; 10.80 μM; 13.93 μM; and 6.48 μM, respectively) | DLD-1—8.32 μM HCT-8—3.91 μM HCT-116—3.84 μM HT-29—6.20 μM SW480—2.77 μM | [78] |
| 19a (Figure 14) | DLD-1—6.93 μM HCT-8—3.99 μM HCT-116—4.30 μM HT-29—5.07 μM SW480—1.77 μM | |||
| 13b (Figure 12) | DLD-1 | Cytotoxic activity towards neovascular cells; exhibits higher cytotoxic effect than BE (IC50 = 6.6 ± 0.3 μM) and BA (IC50 = 10.3 ± 0.4 μM); and high polarity of the obtained compounds allows their formulation via injection for in vivo studies | 1.9 ± 0.9 μM | [76] |
| 22f (Figure 16) | HCT-116 | Stronger anticancer activity compared to BE (IC50 = 25.7 ± 2.03 μM) | 16.7 ± 1.14 μM | [80] |
| 22i (Figure 16) | 18.0 ± 1.14 μM | |||
| 22d (Figure 16) | 13.7 ± 0.077 μM | |||
| 26a (Figure 17) | DLD-1, HCT-8, HCT-116, HT-29, SW480 | Higher cytotoxic effect than BA (IC50 = 17.5 μM; 17.8 μM; 13.3 μM; 16.1 μM; and 6.4 μM respectively); the strength of the effect depends on the cell line | DLD-1—6.0 μM HCT-8—2.6 μM HCT-116—4.8 μM HT-29—4.9 μM SW480—5.9 μM | [82] |
| 26b (Figure 17) | DLD-1—3.6 μM HCT-8—6.0 μM HCT-116—3.5 μM HT-29—5.0 μM SW480—3.6 μM | |||
| 26c (Figure 17) | DLD-1—5.7 μM HCT-8—8.2 μM HCT-116—3.5 μM HT-29—4.7 μM SW480—5.5 μM |
| Derivative | HCC Cell Lines/Animal | Effects | IC50 | Ref. |
|---|---|---|---|---|
| 1 | HepG2; SK-HEP-1 | HepG2 cells are more sensitive to betulin than SK-HEP-1 cells, due to lower expression of caspase-9 in the SK-HEP-1 line; higher expression of caspase-9 results in cell resistance to betulin; and betulin triggers apoptosis through a mitochondrial pathway related to caspase-9 and through the release of cytochrome c and Smac | HepG2—10.1 ± 1.38 μM; SK-HEP-1—58.5 ± 3.00 μM | [100] |
| 32a (Figure 19) | HepG2, Huh7/BALB/c mice | Investigated conjugates of betulin derivatives show high selectivity against HCC cells in both in vitro and in vivo models; exhibit a high cytotoxic effect by generating reactive oxygen species | >50 μM for all cancer lines | [84] |
| 32b (Figure 19) | HepG2—25.9 μM; Huh7—47.2 μM | |||
| 35 (Figure 20) | Huh7 | The obtained betulin derivative downregulates the expression of Bcl-2 protein resulting in loss of mitochondrial membrane potential and release of cytochrome c; arrests the cell cycle in the G2/M phase and induces cell apoptosis | 13.1 ± 1.37 μM | [85] |
| 36a (Figure 21) | HepG2 | Higher cytotoxicity than BE (IC50 = 36.4 ± 1.5 μM) and BA (IC50 = 4.2 ± 0.3 μM) | 4.20 ± 0.03 μM | [86] |
| 36b (Figure 21) | 2.00 ± 0.4 μM | |||
| 41 (Figure 21) | 8.3 ± 0.4 μM | |||
| 20a (Figure 15) | HepG2 | Higher cytotoxicity than BE (IC50 = 20.42 ± 1.22 μM) | 11.64 ± 0.62 μM | [79] |
| 21b (Figure 15) | 8.40 ± 0.34 μM | |||
| 21f (Figure 15) | 6.87 ± 0.76 μM | |||
| 22i (Figure 16) | HepG2 | Higher cytotoxic effect on HCC cells than BE (IC50 = 21.0 ± 0.72 μM) | 9.3 μM | [81] [80] |
| 23k (Figure 16) | 9.32 μM |
| Derivative | Cell Lines/Animal | Effects | IC50 | Cancer | Ref. |
|---|---|---|---|---|---|
| 1 | EPG85-257P | Strong cytotoxicity of compounds against drug-resistant cell lines; betulinic acid shows a higher cytotoxic effect than betulin | 18.74 μM | GC | [110] |
| 2 | 6.16 μM | ||||
| 46c (Figure 22) | MGC-803 | The betulin derivative shows a high cytotoxic effect against gastric cancer line; in addition, induces morphological changes and inhibits proliferation by inducing apoptosis | 4.3 ± 0.4 μM | GC | [87] |
| 1 | SGC7901 | Inhibition of tumor cell proliferation; influence on pathways related to mitochondria and reactive oxygen species | 5.75 μM | GC | [104] |
| 1 | BGC823 | Betulin shows weaker cytotoxic effect against BGC823 lines than betulinic acid (IC50 = 46.26 ± 3.75 μM) | >100 μM | GC | [88] |
| 2 | NCI-N87; SNU-16/BALB/c mice | Compound inhibits proliferation and promotes apoptosis; inhibits the EMT pathway and, in a mouse model, delays tumor growth | n/d | GC | [111] |
| 2 | YES-2/SCID mice | Betulinic acid inhibits YES-2 cell line proliferation; betulinic acid induces an additive interaction together with irinotecan in a mouse model | YES-2—5.09 ± 1.10 μM | EC | [112] |
Disclaimer/Publisher’s Note: The statements, opinions and data contained in all publications are solely those of the individual author(s) and contributor(s) and not of MDPI and/or the editor(s). MDPI and/or the editor(s) disclaim responsibility for any injury to people or property resulting from any ideas, methods, instructions or products referred to in the content. |
© 2023 by the authors. Licensee MDPI, Basel, Switzerland. This article is an open access article distributed under the terms and conditions of the Creative Commons Attribution (CC BY) license (https://creativecommons.org/licenses/by/4.0/).
Share and Cite
Madej, M.; Gola, J.; Chrobak, E. Synthesis, Pharmacological Properties, and Potential Molecular Mechanisms of Antitumor Activity of Betulin and Its Derivatives in Gastrointestinal Cancers. Pharmaceutics 2023, 15, 2768. https://doi.org/10.3390/pharmaceutics15122768
Madej M, Gola J, Chrobak E. Synthesis, Pharmacological Properties, and Potential Molecular Mechanisms of Antitumor Activity of Betulin and Its Derivatives in Gastrointestinal Cancers. Pharmaceutics. 2023; 15(12):2768. https://doi.org/10.3390/pharmaceutics15122768
Chicago/Turabian StyleMadej, Marcel, Joanna Gola, and Elwira Chrobak. 2023. "Synthesis, Pharmacological Properties, and Potential Molecular Mechanisms of Antitumor Activity of Betulin and Its Derivatives in Gastrointestinal Cancers" Pharmaceutics 15, no. 12: 2768. https://doi.org/10.3390/pharmaceutics15122768
APA StyleMadej, M., Gola, J., & Chrobak, E. (2023). Synthesis, Pharmacological Properties, and Potential Molecular Mechanisms of Antitumor Activity of Betulin and Its Derivatives in Gastrointestinal Cancers. Pharmaceutics, 15(12), 2768. https://doi.org/10.3390/pharmaceutics15122768

