Bovine Serum Albumin Nanoparticles Enhanced the Intranasal Bioavailability of Silybin in Rats
Abstract
:1. Introduction
2. Materials and Methods
2.1. Materials
2.2. Preparation of Bovine Serum Albumin Nanoparticles Containing Silybin (BSA-NP/SLB)
2.3. Physicochemical Characterization
2.3.1. Particle Size and Zeta Potential Analysis
2.3.2. Morphological Examination
2.3.3. X-ray Diffraction (XRD) and Fourier Transform Infrared Spectroscopy (FTIR) Analysis
2.3.4. Determining Entrapment Efficiency
2.4. In Vitro Release Assay
2.5. Stability Assessment
2.6. Pharmacokinetic Study
2.6.1. UPLC-MS/MS Analysis
2.6.2. Treatment
2.6.3. Sample Preparation
2.6.4. Data Analysis
2.7. Statistical Analysis
3. Results and Discussion
3.1. Preparation and Characterization of BSA-NP/SLB
3.2. In Vitro Release Assessment
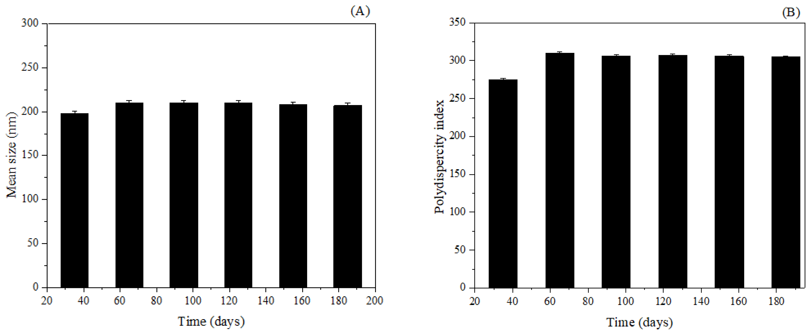
3.3. Stability Assessment
3.4. Pharmacokinetic Study
4. Conclusions
Author Contributions
Funding
Institutional Review Board Statement
Informed Consent Statement
Data Availability Statement
Conflicts of Interest
References
- Bijak, M. Silybin, a Major Bioactive Component of Milk Thistle (Silybum marianum L. Gaernt.)—Chemistry, Bioavailability, and Metabolism. Molecules 2017, 22, 1942. [Google Scholar] [CrossRef] [PubMed]
- Federico, A.; Dallio, M.; Loguercio, C. Silymarin/Silybin and Chronic Liver Disease: A Marriage of Many Years. Molecules 2017, 22, 191. [Google Scholar] [CrossRef] [PubMed]
- Loguercio, C.; Festi, D. Silybin and the Liver: From Basic Research to Clinical Practice. World J. Gastroenterol. 2011, 17, 2288–2301. [Google Scholar] [CrossRef] [PubMed]
- Lee, M.-H.; Huang, Z.; Kim, D.J.; Kim, S.-H.; Kim, M.O.; Lee, S.-Y.; Xie, H.; Park, S.J.; Kim, J.Y.; Kundu, J.K.; et al. Direct Targeting of MEK1/2 and RSK2 by Silybin Induces Cell-Cycle Arrest and Inhibits Melanoma Cell Growth. Cancer Prev. Res. 2013, 6, 455–465. [Google Scholar] [CrossRef] [PubMed]
- Agarwal, C.; Wadhwa, R.; Deep, G.; Biedermann, D.; Gažák, R.; Křen, V.; Agarwal, R. Anti-Cancer Efficacy of Silybin Derivatives—A Structure-Activity Relationship. PLoS ONE 2013, 8, e60074. [Google Scholar] [CrossRef]
- Wei, Z.; Ye, S.; Feng, H.; Zeng, C.; Dong, X.; Zeng, X.; Zeng, L.; Lin, X.; Liu, Q.; Yao, J. Silybin Suppresses Ovarian Cancer Cell Proliferation by Inhibiting Isocitrate Dehydrogenase 1 Activity. Cancer Sci. 2022, 113, 3032–3043. [Google Scholar] [CrossRef]
- Lama, S.; Vanacore, D.; Diano, N.; Nicolucci, C.; Errico, S.; Dallio, M.; Federico, A.; Loguercio, C.; Stiuso, P. Ameliorative Effect of Silybin on Bisphenol A Induced Oxidative Stress, Cell Proliferation and Steroid Hormones Oxidation in HepG2 Cell Cultures. Sci. Rep. 2019, 9, 3228. [Google Scholar] [CrossRef]
- Khazim, K.; Gorin, Y.; Cavaglieri, R.C.; Abboud, H.E.; Fanti, P. The Antioxidant Silybin Prevents High Glucose-Induced Oxidative Stress and Podocyte Injury In Vitro and In Vivo. Am. J. Physiol. Ren. Physiol. 2013, 305, F691–F700. [Google Scholar] [CrossRef]
- Sciacca, M.F.M.; Romanucci, V.; Zarrelli, A.; Monaco, I.; Lolicato, F.; Spinella, N.; Galati, C.; Grasso, G.; D’Urso, L.; Romeo, M.; et al. Inhibition of Aβ Amyloid Growth and Toxicity by Silybins: The Crucial Role of Stereochemistry. ACS Chem. Neurosci. 2017, 8, 1767–1778. [Google Scholar] [CrossRef]
- Lee, Y.; Chun, H.J.; Lee, K.M.; Jung, Y.-S.; Lee, J. Silibinin Suppresses Astroglial Activation in a Mouse Model of Acute Parkinson’s Disease by Modulating the ERK and JNK Signaling Pathways. Brain Res. 2015, 1627, 233–242. [Google Scholar] [CrossRef]
- Yuan, Z.-W.; Li, Y.-Z.; Liu, Z.-Q.; Feng, S.-L.; Zhou, H.; Liu, C.-X.; Liu, L.; Xie, Y. Role of Tangeretin as a Potential Bioavailability Enhancer for Silybin: Pharmacokinetic and Pharmacological Studies. Pharmacol. Res. 2018, 128, 153–166. [Google Scholar] [CrossRef] [PubMed]
- Xu, P.; Zhou, H.; Li, Y.-Z.; Yuan, Z.-W.; Liu, C.-X.; Liu, L.; Xie, Y. Baicalein Enhances the Oral Bioavailability and Hepatoprotective Effects of Silybin through the Inhibition of Efflux Transporters BCRP and MRP2. Front. Pharmacol. 2018, 9, 1115. [Google Scholar] [CrossRef]
- Xie, Y.; Zhang, D.; Zhang, J.; Yuan, J. Metabolism, Transport and Drug-Drug Interactions of Silymarin. Molecules 2019, 24, 3693. [Google Scholar] [CrossRef]
- Wen, Z.; Dumas, T.E.; Schrieber, S.J.; Hawke, R.L.; Fried, M.W.; Smith, P.C. Pharmacokinetics and Metabolic Profile of Free, Conjugated, and Total Silymarin Flavonolignans in Human Plasma after Oral Administration of Milk Thistle Extract. Drug Metab. Dispos. 2008, 36, 65–72. [Google Scholar] [CrossRef] [PubMed]
- Křen, V.; Marhol, P.; Purchartová, K.; Gabrielová, E.; Modrianský, M. Biotransformation of Silybin and Its Congeners. Curr. Drug Metab. 2013, 14, 1009–1021. [Google Scholar] [CrossRef]
- Guan, X.-L.; Zhao, S.-Z.; Hou, R.-J.; Yang, S.-H.; Zhang, Q.-L.; Yin, S.-L.; Wang, S.-J. Pharmacokinetics of Silybin Nanoparticles in Mice Bearing SKOV-3 Human Ovarian Carcinoma Xenocraft. Int. J. Clin. Exp. Med. 2015, 8, 17406–17417. [Google Scholar]
- Sahibzada, M.U.K.; Sadiq, A.; Khan, S.; Faidah, H.S.; Naseemullah; Khurram, M.; Amin, M.U.; Haseeb, A. Fabrication, Characterization and In Vitro Evaluation of Silibinin Nanoparticles: An Attempt to Enhance Its Oral Bioavailability. Drug Des. Dev. Ther. 2017, 11, 1453–1464. [Google Scholar] [CrossRef]
- Liang, J.; Liu, Y.; Liu, J.; Li, Z.; Fan, Q.; Jiang, Z.; Yan, F.; Wang, Z.; Huang, P.; Feng, N. Chitosan-Functionalized Lipid-Polymer Hybrid Nanoparticles for Oral Delivery of Silymarin and Enhanced Lipid-Lowering Effect in NAFLD. J. Nanobiotechnol. 2018, 16, 64. [Google Scholar] [CrossRef]
- Kianfar, E. Protein Nanoparticles in Drug Delivery: Animal Protein, Plant Proteins and Protein Cages, Albumin Nanoparticles. J. Nanobiotechnol. 2021, 19, 159. [Google Scholar] [CrossRef]
- Wiggers, H.A.; Fin, M.T.; Khalil, N.M.; Mainardes, R.M. Polyethylene Glycol-Stabilized Zein Nanoparticles Containing Gallic Acid. Food Technol. Biotechnol. 2022, 60, 145–154. [Google Scholar] [CrossRef]
- Herrera Estrada, L.P.; Champion, J.A. Protein Nanoparticles for Therapeutic Protein Delivery. Biomater. Sci. 2015, 3, 787–799. [Google Scholar] [CrossRef] [PubMed]
- Karimi, M.; Bahrami, S.; Ravari, S.B.; Zangabad, P.S.; Mirshekari, H.; Bozorgomid, M.; Shahreza, S.; Sori, M.; Hamblin, M.R. Albumin Nanostructures as Advanced Drug Delivery Systems. Expert Opin. Drug Deliv. 2016, 13, 1609–1623. [Google Scholar] [CrossRef] [PubMed]
- Shen, X.; Liu, X.; Li, T.; Chen, Y.; Chen, Y.; Wang, P.; Zheng, L.; Yang, H.; Wu, C.; Deng, S.; et al. Recent Advancements in Serum Albumin-Based Nanovehicles toward Potential Cancer Diagnosis and Therapy. Front. Chem. 2021, 9, 746646. [Google Scholar] [CrossRef] [PubMed]
- Younis, F.A.; Saleh, S.R.; El-Rahman, S.S.A.; Newairy, A.-S.A.; El-Demellawy, M.A.; Ghareeb, D.A. Preparation, Physicochemical Characterization, and Bioactivity Evaluation of Berberine-Entrapped Albumin Nanoparticles. Sci. Rep. 2022, 12, 17431. [Google Scholar] [CrossRef]
- An, F.-F.; Zhang, X.-H. Strategies for Preparing Albumin-Based Nanoparticles for Multifunctional Bioimaging and Drug Delivery. Theranostics 2017, 7, 3667–3689. [Google Scholar] [CrossRef]
- Keller, L.-A.; Merkel, O.; Popp, A. Intranasal Drug Delivery: Opportunities and Toxicologic Challenges during Drug Development. Drug Deliv. Transl. Res. 2022, 12, 735–757. [Google Scholar] [CrossRef]
- Mainardes, R.M.; Khalil, N.M.; Gremião, M.P.D. Intranasal Delivery of Zidovudine by PLA and PLA-PEG Blend Nanoparticles. Int. J. Pharm. 2010, 395, 266–271. [Google Scholar] [CrossRef]
- da Silva Santos, J.; Diedrich, C.; Machado, C.S.; da Fonseca, C.O.; Khalil, N.M.; Mainardes, R.M. Intranasal Administration of Perillyl Alcohol–Loaded Nanoemulsion and Pharmacokinetic Study of Its Metabolite Perillic Acid in Plasma and Brain of Rats Using Ultra-Performance Liquid Chromatography/Tandem Mass Spectrometry. Biomed. Chromatogr. 2020, 35, e5037. [Google Scholar] [CrossRef]
- Fonseca, D.P.; Khalil, N.M.; Mainardes, R.M. Bovine Serum Albumin-Based Nanoparticles Containing Resveratrol: Characterization and Antioxidant Activity. J. Drug Deliv. Sci. Technol. 2017, 39, 147–155. [Google Scholar] [CrossRef]
- Galisteo-González, F.; Molina-Bolívar, J.A. Systematic Study on the Preparation of BSA Nanoparticles. Colloids Surf. B Biointerfaces 2014, 123, 286–292. [Google Scholar] [CrossRef]
- Weber, C.; Coester, C.; Kreuter, J.; Langer, K. Desolvation Process and Surface Characterisation of Protein Nanoparticles. Int. J. Pharm. 2000, 194, 91–102. [Google Scholar] [CrossRef]
- González-Monje, P.; Ayala García, A.; Ruiz-Molina, D.; Roscini, C. Encapsulation and Sedimentation of Nanomaterials through Complex Coacervation. J. Colloid Interface Sci. 2021, 589, 500–510. [Google Scholar] [CrossRef] [PubMed]
- Pooja, D.; Babu Bikkina, D.J.; Kulhari, H.; Nikhila, N.; Chinde, S.; Raghavendra, Y.M.; Sreedhar, B.; Tiwari, A.K. Fabrication, Characterization and Bioevaluation of Silibinin Loaded Chitosan Nanoparticles. Int. J. Biol. Macromol. 2014, 69, 267–273. [Google Scholar] [CrossRef] [PubMed]
- Xiang, H.; Wang, S.; Wang, R.; Zhou, Z.; Peng, C.; Zhu, M. Synthesis and Characterization of an Environmentally Friendly PHBV/PEG Copolymer Network as a Phase Change Material. Sci. China Chem. 2013, 56, 716–723. [Google Scholar] [CrossRef]
- Dubey, R.D.; Alam, N.; Saneja, A.; Khare, V.; Kumar, A.; Vaidh, S.; Mahajan, G.; Sharma, P.R.; Singh, S.K.; Mondhe, D.M.; et al. Development and Evaluation of Folate Functionalized Albumin Nanoparticles for Targeted Delivery of Gemcitabine. Int. J. Pharm. 2015, 492, 80–91. [Google Scholar] [CrossRef]
- Kaboli, S.F.; Mehrnejad, F.; Nematollahzadeh, A. Molecular Modeling Prediction of Albumin-Based Nanoparticles and Experimental Preparation, Characterization, and In-Vitro Release Kinetics of Prednisolone from the Nanoparticles. J. Drug Deliv. Sci. Technol. 2021, 64, 102588. [Google Scholar] [CrossRef]
- León, A.; Reuquen, P.; Garín, C.; Segura, R.; Vargas, P.; Zapata, P.; Orihuela, P.A. FTIR and Raman Characterization of TiO2 Nanoparticles Coated with Polyethylene Glycol as Carrier for 2-Methoxyestradiol. Appl. Sci. 2017, 7, 49. [Google Scholar] [CrossRef]
- Migneault, I.; Dartiguenave, C.; Bertrand, M.J.; Waldron, K.C. Glutaraldehyde: Behavior in Aqueous Solution, Reaction with Proteins, and Application to Enzyme Crosslinking. Biotechniques 2004, 37, 790–802. [Google Scholar] [CrossRef]
- Qing, H.; Yanlin, H.; Fenlin, S.; Zuyi, T. Effects of PH and Metal Ions on the Conformation of Bovine Serum Albumin in Aqueous Solution an Attenuated Total Reflection (ATR) FTIR Spectroscopic Study. Spectrochim. Acta Part A Mol. Biomol. Spectrosc. 1996, 52, 1795–1800. [Google Scholar] [CrossRef]
- Corsaro, C.; Neri, G.; Mezzasalma, A.M.; Fazio, E. Weibull Modeling of Controlled Drug Release from Ag-PMA Nanosystems. Polymers 2021, 13, 2897. [Google Scholar] [CrossRef]
- Siepmann, J.; Peppas, N.A. Modeling of Drug Release from Delivery Systems Based on Hydroxypropyl Methylcellulose (HPMC). Adv. Drug Deliv. Rev. 2001, 48, 139–157. [Google Scholar] [CrossRef] [PubMed]
- Sultana, S.; Alzahrani, N.; Alzahrani, R.; Alshamrani, W.; Aloufi, W.; Ali, A.; Najib, S.; Siddiqui, N.A. Stability Issues and Approaches to Stabilised Nanoparticles Based Drug Delivery System. J. Drug Target. 2020, 28, 468–486. [Google Scholar] [CrossRef] [PubMed]
- Diedrich, C.; Camargo Zittlau, I.; Schineider Machado, C.; Taise Fin, M.; Maissar Khalil, N.; Badea, I.; Mara Mainardes, R. Mucoadhesive Nanoemulsion Enhances Brain Bioavailability of Luteolin after Intranasal Administration and Induces Apoptosis to SH-SY5Y Neuroblastoma Cells. Int. J. Pharm. 2022, 626, 122142. [Google Scholar] [CrossRef] [PubMed]
- Islam, S.U.; Shehzad, A.; Ahmed, M.B.; Lee, Y.S. Intranasal Delivery of Nanoformulations: A Potential Way of Treatment for Neurological Disorders. Molecules 2020, 25, 1929. [Google Scholar] [CrossRef]








| Sample | Mean Size ± SD (nm) | PDI ± SD | Zeta Potential + SD (mV) |
|---|---|---|---|
| BSA-NP/SLB 1 | 197 ± 17 | 0.275 ± 0.081 | −34 ± 1 |
| Unloaded BSA-NP 1 | 245 ± 15 | 0.220 ± 0.010 | −32 ± 2 |
| BSA-NP/SLB 2 | 280 ± 15 | 0.300 ± 0.050 | −34 ± 1 |
| Unloaded BSA-NP 2 | 301 ± 12 | 0.310 ± 0.012 | −32 ± 1 |
| Model | R |
|---|---|
| Zero order | 0.751 |
| First order | 0.426 |
| Second order | 0.145 |
| Third order | 0.790 |
| Korsmeyer-Peppas | 0.559 |
| Higuchi | 0.840 |
| Weibull | 0.937 |
| Hickson-Crowell | 0.900 |
| Pharmacokinetic Parameters | BSA-NP/SLB | Free SLB |
|---|---|---|
| Cmax (ng/mL) | 184.10 | 101.4 |
| Tmax (h) | 0.5 | 0.5 |
| Kel (1/h) | 0.0245 | 0.0762 |
| Cl (L/h) | 0.011 | 0.045 |
| t1/2 (h) | 28 | 9 |
| AUC0–24h (ng·h/mL) | 921.89 | 218.17 |
Disclaimer/Publisher’s Note: The statements, opinions and data contained in all publications are solely those of the individual author(s) and contributor(s) and not of MDPI and/or the editor(s). MDPI and/or the editor(s) disclaim responsibility for any injury to people or property resulting from any ideas, methods, instructions or products referred to in the content. |
© 2023 by the authors. Licensee MDPI, Basel, Switzerland. This article is an open access article distributed under the terms and conditions of the Creative Commons Attribution (CC BY) license (https://creativecommons.org/licenses/by/4.0/).
Share and Cite
Tartari, A.P.S.; Peczek, S.H.; Fin, M.T.; Ziebarth, J.; Machado, C.S.; Mainardes, R.M. Bovine Serum Albumin Nanoparticles Enhanced the Intranasal Bioavailability of Silybin in Rats. Pharmaceutics 2023, 15, 2648. https://doi.org/10.3390/pharmaceutics15122648
Tartari APS, Peczek SH, Fin MT, Ziebarth J, Machado CS, Mainardes RM. Bovine Serum Albumin Nanoparticles Enhanced the Intranasal Bioavailability of Silybin in Rats. Pharmaceutics. 2023; 15(12):2648. https://doi.org/10.3390/pharmaceutics15122648
Chicago/Turabian StyleTartari, Ana Paula Santos, Samila Horst Peczek, Margani Taise Fin, Jeferson Ziebarth, Christiane Schineider Machado, and Rubiana Mara Mainardes. 2023. "Bovine Serum Albumin Nanoparticles Enhanced the Intranasal Bioavailability of Silybin in Rats" Pharmaceutics 15, no. 12: 2648. https://doi.org/10.3390/pharmaceutics15122648
APA StyleTartari, A. P. S., Peczek, S. H., Fin, M. T., Ziebarth, J., Machado, C. S., & Mainardes, R. M. (2023). Bovine Serum Albumin Nanoparticles Enhanced the Intranasal Bioavailability of Silybin in Rats. Pharmaceutics, 15(12), 2648. https://doi.org/10.3390/pharmaceutics15122648

